Abstract
Biodegradable paper mulch has the advantages of being easily degradable and environmentally benign, but its own performance and adaptability to harsh environments have not been tested. This paper uses scanning electron microscopy and three-dimensional morphometry to microscopically characterize biodegradable paper mulch and white plastic mulch. To analyze and compare their mechanical and hydrophobic properties, and weather resistance, the two mulches were measured through tensile tear load and static contact angle. A comparative analysis of the effect of mulching in the dry crop area of the Hexi Corridor was conducted by comparing the growth index, farm water heat, soil oxygen content, and yield using maize and flax. The test results show that biodegradable paper mulch films were slightly inferior to traditional white mulch films in terms of mechanical and hydrophobic properties, with inadequate insulation and moisture retention, but better in terms of aging resistance, soil oxygen content, and crop insulation and water storage capacity in the middle and growth stages. White mulch film had a better yield enhancement effect on maize, while with biodegradable paper mulch film, this was more significant with flax.
1. Introduction
The warming, soil moisture conservation, and weed control with the plastic film mulching technology have largely solved the problem of the fragile agricultural production capacity in arid areas, and cold and cool areas in Northwest China [1,2]. Plastic film mulch increased the surface soil temperature, water content, and water use efficiency, but also increased microbial carbon use, root biomass in the soil layer, and root activity at maturity [3,4,5,6,7]. Grain crops’ plastic film covering technology can increase production by about 30%, and economic crops can increase production by 20%–60% [8].
The potential problem is that, because the plastic mulch film is not recyclable in the soil, the film residue significantly changes the soil bulk density, porosity, saturation conductivity, field capacity, water repellency, and soil metabolism, and significantly interferes with the biosynthesis of secondary metabolites, and the biodegradation and metabolism of foreign organisms, causing a significant decline in the quality of agricultural products while also causing many potential environmental problems [9,10,11,12]. In order to eliminate the harmful effects of traditional mulch, degradable plastic mulch film is considered to be the best substitute for traditional mulch. The study found that degradable plastic mulch film could improve the fundamental physical properties of soil and achieved good comprehensive performance, which provides a new possibility for environmental protection, and efficient and sustainable agricultural practice [13,14,15]. However, there is uncertainty about degradable plastic mulch film degradation, and its additives are often ignored, and their safety has not been tested. The long-term effects of degradable plastic mulch film on plant diversity and organisms still need to be studied to ensure degradable plastic mulch film’s environmental safety and sustainability [16,17].
On this basis, the biodegradable paper mulch film shows environmental friendliness and provides a new direction for developing degradable plastic film, which is widely used in Japan. Its components mainly include chitosan and plant cellulose, which can promote the reproduction of soil bacteria favorable for the growth of crops [18,19]. In practical field trials, biodegradable paper mulch films improve soil properties and crop yield, and are fully biodegradable and can be used as a better green mulching alternative in farm mulching [20,21]. Li et al. [22,23,24,25] prepared ZnO/SiO2 biodegradable paper mulch film superhydrophobic coating with a simple coating process using ZnO and SiO2 as raw materials, and analyzed the aging performance, frictional wear study, and low-temperature environment of superhydrophobic biodegradable paper mulch film in order to provide a new way to improve the water resistance and weathering resistance of the biodegradable paper mulch film. The effect of degradable paper film covering on soil temperature, the conservation of soil water-holding capacity, the control ability of weed diseases and insect pests, and self-degradation are also affected by different geographical environments, rainfall, and other external factors [26].
The Hexi arid oasis irrigation agricultural area, the main agricultural production area in Gansu province, China, is rich in light resources, and significant evaporation, and has less precipitation; it mainly adopted irrigation agriculture, and is a typical arid inland river irrigation area [27,28]. Plastic film mulching is used to increase the temperature and conserve the soil moisture in this area all year round. However, with time, the problems of resource water shortage, wind erosion, and desertification have become more profound [29]. Biodegradable paper mulch film can meet the requirements of green environmental protection, and is pollution-free, thus promoting the sustainable development of agricultural production in the region [30]. There are few studies on biodegradable paper mulch film in the arid oasis irrigation area of Hexi, and its adaptability to soil physical and chemical properties, and different crops still needs to be studied. This study compares and analyzes the mechanical and hydrophobic properties, and weather resistance of biodegradable paper mulch film and traditional white plastic mulch film. In Hexi, biodegradable paper mulch film and white plastic mulch film were applied to the local field crop of maize and characteristic cash crop of flax. The mulch effects of different mulch materials were comprehensively evaluated with the agronomic traits of crops, soil hydrothermal environment, soil oxygen content, and fruit yield as indicators. Results show that the degradable paper film could replace traditional white plastic film for the organic planting of maize and flax in the Hexi arid oasis irrigation area, and is greener and environmentally friendlier.
2. Materials and Methods
2.1. Material
Fully biodegradable paper-based film (BM) from plant straw was manufactured by Tottori Prefecture, Japan. Specifications: 100 cm × 100 m; average thickness, 0.182 mm. White plastic mulch film (PM) is produced from conventional polyethylene and manufactured by Qingzhou Hengguan Plastic Co., Ltd., Qingzhou, China. Specifications: 100 cm × 100 m, average thickness of 0.01 mm (Figure 1a). The maize variety was silage maize Longsilage No.1, and the flax variety was Jidingya No. 13.
Figure 1.
(a) Soil covering materials used in this study. BM, biodegradable paper mulch film; PM, white plastic film. (b) Location of the study area.
2.2. Equipment and Instruments
Thickness gauge (QNIX4500, QNIX Company, Cologne, Germany); electronic balance (FA31047, Shanghai Jinghai Instrument Co., Ltd., Shanghai, China); interferometric three-dimensional surface topography tester (ST-400M, ZYGO, Middlefield, CT, USA); SEM 450 field emission scanning electron microscope (FESEM) (NOVANANO, Lincoln, NE, USA); electronic tensile tester (SMT-5000, Yangzhou Saisi Testing Equipment Co., Ltd., Yangzhou, China); contact angle tester (HKCA-15, Beijing Hacker Test Instrument Factory, Beijing, China); hot air aging tester (MU3040C, Moujing Industrial Co., Ltd., Shanghai, China); Shennong Water Meteorological Station (Henan Shangqiu Sensor Technology Co., Ltd., Shangqiu, China); handheld soil oxygen meter (MO-200, Apogee, Santa Monica, CA, USA).
2.3. Performance Testing and Characterization
An SEM450 field emission scanning electron microscope and ST-400M three-dimensional noncontact surface profiler were used to observe the surface microstructure of two different plastic films. The element types and element contents of four different types of paper surfaces were measured with EDS. The three-dimensional surface topography and roughness of the surface were tested using a three-dimensional surface topography instrument. The universal testing machine was used to stretch and tear the specimens before and after aging according to GB/T35975-2017. The tensile samples were dumbbell-shaped with a length of 115 mm, an end width of 25 mm, and a narrowest parallel width of 6 mm, and the right-angle-shaped tear specimens were 100 mm in length and 20 mm in width. A contact angle tester was used to test the static contact angles of both mulch films before and after aging to determine their hydrophobic properties. According to the GB/T 464-2008 standard, two kinds of coated paper were aged at 105 °C for 72 h.
2.4. Experimental Site Description
This experiment was conducted from April to September 2021 in the Minle County Experimental Base (100.625′ N, 38.375′ E, 1673 m ASL), Zhangye city, Gansu province, China (Figure 1b). The experimental area is located in the Hexi arid oasis irrigation area, with 1.6 million acres of irrigated farmland, with a temperate continental desert grassland climate. In winter, Leng Xia is hot and dry with little rain, the ground pressure is 837.81 hpa, the annual radiation temperature is 11.61 °C, and the annual average precipitation is 133.1 mm, of which nearly 50% occurs between June and August. The average annual sunshine hours are 1895.82 h, evaporation is 107.67 mm, annual average temperature is 11 °C, extreme low temperature occurs in April, the average temperature in April is 18.5 °C, and the extreme lowest temperature is 5 °C. The highest temperature occurred in July, with an average temperature of 28.4 °C and an extreme temperature of 39.0 °C (Figure 2). According to Chinese soil taxonomy, the soil type is Castanea mollissima, which develops from loess-like parent material. ECMWF analysis shows that it belongs to the medium-fine soil type, with a soil PH value of 8.5, and available water content of 1 mm.
Figure 2.
Meteorological radiation, temperature, and precipitation at the experimental site in Hexi arid oasis irrigation area, China. Values collected in the growing season of maize and flax in 2021 are plotted.
2.5. Experimental Design and Crop Management
Two treatments (BM, PM) and one control (CK), (i) biodegradable paper mulch film (BM), (ii) white plastic mulch film (PM), and (iii) no mulch (CK), were set up in the experiment. Green organic planting mode technology and mechanized harvesting technology were adopted. A random block design was adopted for the experiment with a plot area of 12 m2 and three repetitions (Figure 3a). Test varieties: maize, Long Silage 1 for high and stable yield with dense resistance to collapse, suitable for machine harvesting varieties. Flax was Ji ding ya no. 13. At the beginning of April 2021, maize and flax seeds were sown into the soil with a small seeder according to the standard of precision and semiprecision single-seed sowing. The row spacing and plant spacing of maize were 40 and 25 cm, respectively, and the row spacing and plant spacing of flax were 20 and 20 cm, respectively (Figure 4). All the maize and flax plants were irrigated with a drip irrigation system on the ground, and the irrigation time and amount in each plot were the same. The daily irrigation amount of each hole was 0.26–0.92 L, which could be adjusted according to different environments and growth periods. All adopt green organic planting mode technology, full film mulching, drip irrigation under film, integrated supporting wide and narrow row planting, reasonable increase of density, application of organic ferflaxizer, formula ferflaxization, green prevention and control of pests and diseases, timely late harvest, and mechanization technology of the whole process of cultivation and harvest.
Figure 3.
(a) Design drawing of test area group. (b) Sampling schematic diagram of temperature, moisture content, and oxygen content.
Figure 4.
Planting patterns and mulching positions of (a) maize and (b) flax (biodegradable paper mulch film or white plastic mulch film).
Maize was divided into the seedling (05.02–05.11), nodulation (05.12–06.02), tassel (06.03–07.18) and maturity (07.19–09.15) stages according to the growth cycle. Flax was divided into seedling (05.03–05.16), fir-shaped (05.17–06.08), bud (06.09–06.20), flowering (06.21–07.03) and maturity (07.04–08.10) stages.
2.6. Sampling and Measurement
2.6.1. Soil Water Content and Temperature
On sunny days, at different growth stages of maize and flax, the ground temperature of 5, 10, and 15 cm depth between any two plants, and the soil water content of 0–10 and 10–20 cm soil layers were measured at the Shennong water meteorological station in the middle of each treatment plot along the planting line at 8:00, 14:00, and 18:00, respectively (Figure 3b). The average value of the three measurements was taken as the soil temperature of the day, and it was continuously measured for three days.
2.6.2. Soil Oxygen Content
Figure 3b shows the sampled and measured oxygen content of the soil covered by plastic film. In each growth period of maize and flax, the oxygen content of the soil between any two plants along the planting line in the 0–10 and 10–20 cm soil layers was measured with a hand-held soil oxygen measuring instrument (model: MO-200). The measurement times were 8:00, 14:00, and 18:00. The average value of the three measurements was taken as the soil oxygen content of the day, the average value was taken for 3 consecutive days, and the relevant data were recorded.
2.6.3. Growth and Development Index
The seedling stages of corn and flax were recorded, and the emergence rate was counted. In the vigorous growth period (early July), tape measures were used to measure the plant height, stem diameter, and ear height of maize, and the main stem length and branch number of flax under different control conditions. The results were measured seven times, and the average value was obtained.
2.6.4. Grain Characters and Yield
At maturity, 10 plants were taken from each maize plot, and biological traits were determined. The ear length, diameter, grain number per ear, and 100-grain weight were measured with an FA31047 electronic balance and tape. Fifteen plants were taken from different communities of flax, and the number of fruit per plant, the number of fruit grains, and the weight of 1000 grains were measured. Maize and flax were harvested according to the plot in a single harvest, and the grain yield was measured and converted into yield per mu.
3. Results and Discussion
3.1. Microscopic Characterization
A scanning electron microscope (SEM) was used to observe the surface morphology of BM and PM, and EDS element analysis was carried out on their surfaces. The results are shown in Figure 5. Figure 5a,b show that there were many fiber bundles with irregular orientation on the surface of BM. The fibers were interlaced to form a web of fibers. Figure 5c shows that, on the surface of the paper mulching film, some paper fibers were scattered between fiber bundles, and there were many pores between fiber bundles. Therefore, BM paper fiber expanded after meeting water with strong hygroscopicity. Different from the BM surface, Figure 5d,e show that PM had good compatibility, a uniform and compact structure, and no obvious cracks or pores on the surface. On closer inspection, the PM surface only had some wrinkles and fine cracks. Compared with BM, PM had a tighter structure, and a more regular and stable surface shape. Figure 5g shows that the surface of biodegradable paper film contained 18% Al, 17% Si, and 22% Ca, in addition to C and O organic elements. Si can accelerate the decomposition of organic matter in the soil, condition the acidified soil, increase the type and number of microorganisms in the soil, and play a significant role in water and fertilizer retention.
Figure 5.
(a–c) SEM images of biodegradable paper film surface at different magnification; (d–f) SEM images of plastic white film surface at different magnification; (g) element content distribution on the surface of BM.
3.2. Mechanical Property
Figure 6a,b show that the tensile strength and tear strength of BM were lower than those of PM, which is consistent with the expectation. Because the main component of PM is polythene, the molecular force between bonding bonds is higher than that between fibers, which gives it higher strain and plasticity. After dry heat aging, the tensile strength of BM decreased by 22%, and the retention rate was 78%. The tear strength decreased by 10%, and the retention rate was 90%. After dry-hot aging, the maximal tensile strength of PM decreased by 26%, and the retention rate was 74%. The tear strength decreased by 14%, and the retention rate was 86%.
Figure 6.
(a) Tensile strength of BM paper film and PM white film before and after dry heat aging; (b) tear strength of BM and PM before and after dry heat aging; (c) tensile curve of BM paper film before and after aging; (d) tear curve of BM paper film before and after aging; (e) tensile curve of PM white film before and after aging; (f) tear curve of PM white film before and after aging.
In the same dry heat aging treatment, the retention rate of BM was slightly higher than that of PM after stretching and tearing treatment. This phenomenon indicates that BM could better reduce the adverse effect of high temperature on its mechanical properties. Figure 6c–f compare and analyze the basic mechanics of BM and PM plastic films before and after aging. On the whole, after aging treatment, the maximal force values available for BM and PM samples in tensile and tearing experiments decreased. However, since the thickness of BM was much larger than that of PM, the maximal force value in the BM tensile tear displacement curve was much larger than that of PM, including after aging treatment. As shown in Figure 6c,d, the maximal tensile load and right-angle tear load of BM were reduced by 11.5% and 18.3%, respectively. The paper fiber was damaged by dry thermal aging, which led to a significant reduction in the maximal force that BM could bear. Figure 6e,f show that the maximal tensile load of PM was also slightly reduced after aging. On the whole, PM had higher strength and better plasticity than BM, but BM achieved better mechanical performance under short-range load action. Moreover, after high-temperature treatment, the maximal force borne by PM was much lower than that of BM. Obviously, the basic mechanical properties of BM could still be maintained after high temperature, which met the conditions of our later field test.
3.3. Hydrophobic Property
As shown in Figure 7a, BM was hydrophobic (CA ≥ 90°), while PM was hydrophilic (CA < 90°). The contact angle of BM decreased by 51% after aging, changing from hydrophobic to hydrophilic due to the softening of BM surface fibers caused by dry thermal aging, resulting in a significant decrease in its hydrophobic properties; the contact angle of PM increased by 14% after dry thermal aging, changing from hydrophilic to hydrophobic. At the same time, 15 μL of water was dropped onto the surface of both as-is samples. Figure 7b shows that the water droplets that spread around the BM surface were slowly absorbed by the paper film and lastly converged into tiny water droplets. Figure 7c shows that the water droplets were partially spread out on the PM surface, unable to gather together and leave water stains in rolling. The comparison shows that the hydrophobic performance of BM was better than that of PM, but PM was more hydrophobic after dry heat aging.
Figure 7.
(a) Surface contact angle of BM and PM before and after dry heat aging; (b) physical image of BM; (c) physical image of PM.
3.4. Three-Dimensional Morphology and Roughness
The surface roughness of two kinds of plastic films before and after aging was measured by a three-dimensional noncontact surface profiler. Figure 8a,c show that the BM and PM surfaces were both distributed with convex structures. However, BM was an aggregated convex with uneven height, the PM surface convex was not aggregated with uniform height, and the vertical height of the highest and lowest points was more prominent. The Rq of BM and PM were 8.998 and 94.199 μm, respectively. Compared with Sa, the roughness of PM was much larger than that of BM. As shown in Figure 8b, the surface of BM after dry-heat aging still had a convex structure, but its height was relatively consistent. The average arithmetic height Sa decreased by 41%. Due to the high-temperature aging, the fiber structure on the surface of the paper film was destroyed, which reduced the average arithmetic height of the surface. Figure 8d shows the three-dimensional morphology of PM after dry-heat aging, with Sa reduced by 88%, and surface roughness significantly reduced. Compared with Figure 8c, PM’s surface structure changed from convex into flat and partially concave after dry-heat aging. When aging at a high temperature, the internal molecular chain of PM was destroyed due to the setting temperature of 105 °C. The thermal oxidation reaction of polythene and other polymers caused local degradation, which directly changed its surface morphology and arithmetic average height. To sum up, the thermal aging resistance of BM was better than that of PM.
Figure 8.
Three-dimensional morphology of (a) BM surface, (b) aged BM surface, (c) PM surface, and (d) aged PM surface.
3.5. Field Test
3.5.1. Soil Temperature
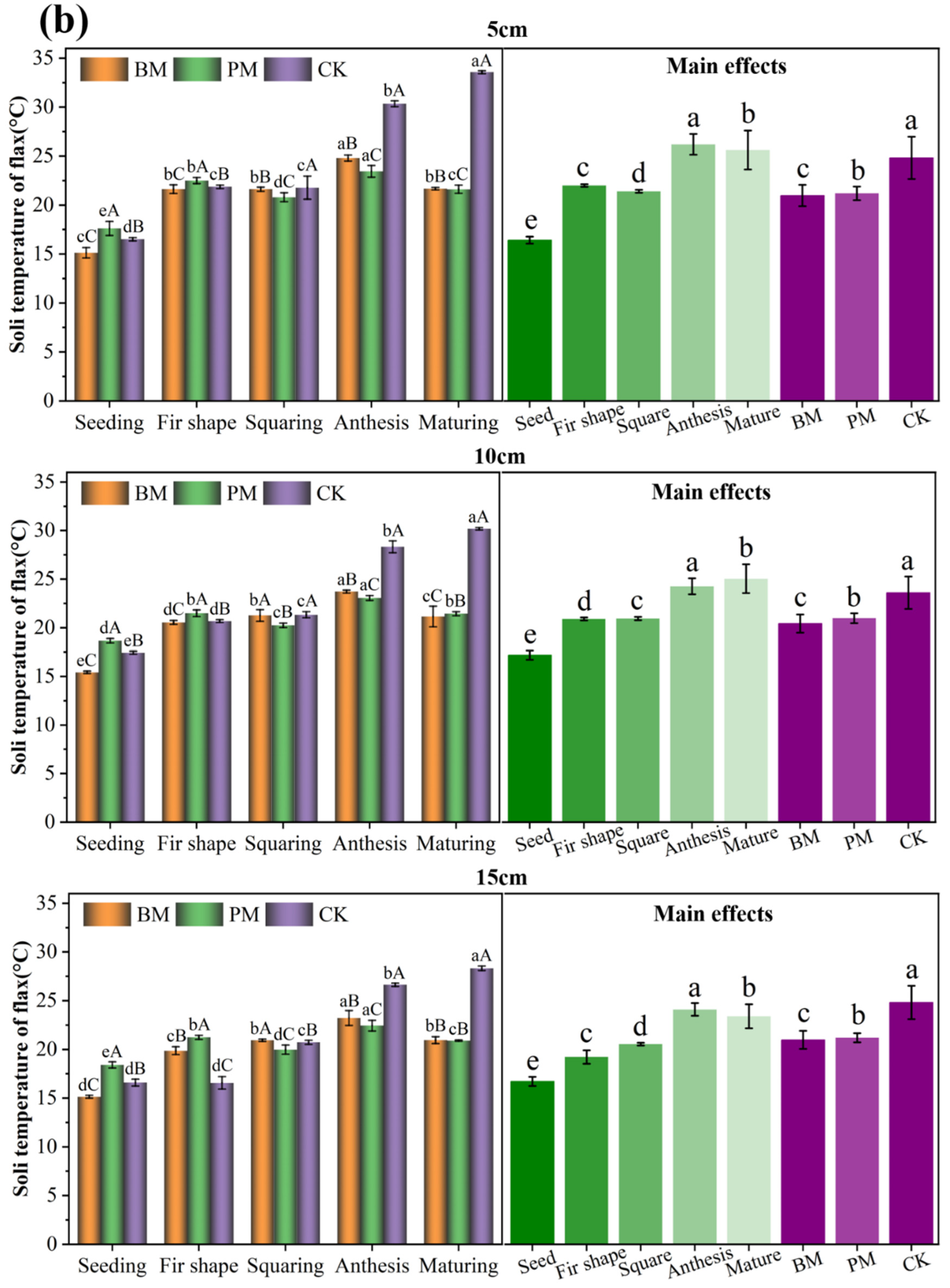
It can be seen from Figure 9 that there was higher ground temperature at the maize tasseling stage and lower at the maturity stage, and higher ground temperature at the flax flowering stage and lower at the seedling stage. The average ground temperature of both BM and PM was lower than that of CK due to lower rainfall, longer light hours, and more substantial drought stress and heat stress during the growing period in the region, resulting in higher bare ground temperature. The difference in mean ground temperature between BM and PM was not significant throughout the reproductive period of maize and flax. There was no significant difference (p < 0.05) in other fertility stages. In general, PM mulching was more effective in retaining heat in the early growth stage, and BM mulching was more effective in retaining heat in the middle and late growth stages. Moreover, both mulching samples had minor variations in ground temperature, and both could play a role in stabilizing ground temperature.

Figure 9.
Changes in plastic film mulching on soil temperature in 2021. (a) Soil temperature of maize at 5, 10, and 15 cm depth; (b) soil temperature of flax at 5, 10, and 15 cm depth. Values represent the mean ± standard deviation. Using Duncan’s multiple-range test, different lowercase letters indicate significant differences in soil temperature under different mulching methods at the same growth period (p < 0.05), and different capital letters indicate significant differences in soil temperature at different growth stages under the same mulch control (p < 0.05). BM, biodegradable paper mulch film; PM, white plastic mulch film; CK, not covered with film.
3.5.2. Soil Moisture Content
As seen in Figure 10a,b, soil water content was positively proportional to soil depth, and there was a significant decrease in water content with the growing season for both soil depths. Compared to CK, the average surface water content increased by 6% and 3% for BM and PM, respectively, during maize fertility, and by 5% and 2%, respectively, during flax fertility. The water retention effect of PM on maize and flax was better than that of BM because BM paper film was prepared from straw fibers. The internal fiber bundles were hygroscopic, especially after aging, the contact angle decreased significantly, which was less effective in improving the soil water content of crops under the film, and the subsequent surface modification improved its hydrophobic properties and thus enhanced moisture retention performance. In conclusion, both mulching methods increased the moisture content of the soil surface layer, following the relationship of PM > BM > CK, with significant differences between them (p < 0.05).

Figure 10.
Soil moisture content affected by mulching materials in (a) maize and (b) flax in 2021. Soil depth was 0–10 and 10–20 cm. Values represent the mean ± standard deviation. Using Duncan’s multiple-range test, different lowercase letters indicate significant differences in soil moisture content under different mulching methods at the same growth period (p < 0.05); different capital letters indicate significant differences in soil moisture content at different growth stages under the same mulch control (p < 0.05). BM, biodegradable paper mulch film; PM, white plastic mulch film; CK, not covered with film.
3.5.3. Soil Oxygen Content
As shown in Figure 11, the soil oxygen content remained stable during the growth period of maize and flax. Interestingly, there was no significant difference between BM and CK, while the soil oxygen content of PM was lower than that of CK, and the difference was significant (p < 0.05). The average soil oxygen content of maize covered by BM was 2% higher than that of PM (Figure 11a); The average soil oxygen content of flax covered by BM was 1% higher than that of PM (Figure 11b). The reason for this phenomenon may be that BM contains trace elements such as Si and Ca that can promote the decomposition of microorganisms in the soil, and thus increase the oxygen content in the soil. PM has poor air permeability, which inhibits root respiration and microbial metabolism during the growth period, resulting in the insufficient decomposition of organic matters and the generation of harmful gasses. At the same time, due to the nondegradability of PM white film itself, it exists in the soil in the form of microplastics, resulting in soil hardening.
Figure 11.
Soil oxygen content affected by mulching materials in (a) maize and (b) flax in 2021. Values represent the mean ± standard deviation. Using Duncan’s multiple-range test, different lowercase letters indicate significant differences in soil oxygen content under different mulching methods at the same growth period (p < 0.05); different capital letters indicate significant differences in soil oxygen content at different growth stages under the same mulch control (p < 0.05). BM, biodegradable paper mulch film; PM, white plastic mulch film; CK, not covered with film.
3.5.4. Growth and Development Index
Table 1 shows that maize under BM and PM mulching had better agronomic traits compared to with CK. Furthermore, the seedling emergence and ear height of maize under PM mulching were 3% and 5.11 cm higher, respectively, than those in BM with significant differences (p < 0.05). The high ears of maize can lead to poorer resistance to overturning, which is not conducive to mechanized harvesting. As seen in Table 2, there was no significant difference (p < 0.05) between BM and PM mulching for each growth trait of flax, and the main stem length and main stem number were significantly higher (p < 0.05) than those of CK. Thus, PM had a better effect on the agronomic traits of the crop compared to BM for maize application, while BM and PM had comparable effects for flax application.
Table 1.
Agronomic characters of maize covered with BM paper film and PM white film.
Table 2.
Agronomic characters of flax covered with BM paper film and PM white film.
3.5.5. Grain and Biomass Yields
Under the coverage of BM and PM, the yield of maize was improved. The grain yield and grain characteristics of maize are shown in Table 3. The yield under PM coverage was 19% higher than that under BM control. The ear length, diameter, and grain number per ear were 7.8%, 8.4%, and 18.6% higher than those of BM treatment. The 100-grain weight was 7% higher than that of BM treatment. The effect of PM on increasing maize yield was better. However, BM mulching significantly increased the grain yield of flax, while the grain yield under PM mulching was significantly lower than that without film mulching (Table 4). Compared with PM, BM mulching significantly increased flax grain yield by 136%, which was a tremendous increase. Because it is easy for flax to provoke weeds, PM had better heat preservation and moisture retention effects, and high light transmittance, which significantly promoted weed growth, inhibited flax growth, and significantly reduced the yield of flax. Compared with no film mulching, there was no significant difference between the two kinds of film mulching (p < 0.05). Weeds are thus the main factor affecting the yield of flax. To sum up, BM can improve the grain yield and grain characters of both maize and flax, and the yield-increasing effect of BM was slightly lower than that of PM, while that of flax was significantly better than that of PM.
Table 3.
Correlation between maize grain yield and covering materials in four growth stages.
Table 4.
Correlation between flax grain yield and covering materials in five growth stages.
4. Summary and Conclusions
In the Hexi arid oasis irrigation area, biodegradable paper mulch film performed well in flax and maize crop production. Compared with BM, the tensile tear strength of PM was 50% and 237% higher, respectively. The ground temperature of maize and flax was 17% and 19% higher at the seedling stage, respectively. The soil water content of maize and flax was 4% and 3% higher, respectively. The yield of maize increased by 19%. Compared with PM, BM’s static contact angle is 13% higher. After aging, the tensile and tear retention rates were higher by 3% and 4%, respectively. At the jointing stage of maize and budding stage of flax, the ground temperature was higher by 6% and 5%, respectively. During the growth period of maize and flax, the soil oxygen content was 2% and 1% higher, respectively. The output of flax increased by 136%. Although the mechanical properties, moisture retention performance, and warming performance of biodegradable paper mulch film were not as good as those of traditional white plastic film, its hydrophobic performance, antiaging performance, soil oxygen content and heat preservation, and water storage capacity in the middle and later stages of crops were better. Traditional white plastic mulch film was better in maize planting from the perspective of yield increasing performance.
In contrast, the application effect of biodegradable paper mulch film in flax planting was better. The mechanical and hydrophobic properties of biodegradable paper mulch film could also be improved with later surface modification. In addition, the biodegradable paper mulch film could improve soil properties, promote crop growth and development, and is environmentally friendly, which cannot be achieved with traditional white plastic mulch film. Therefore, the biodegradable paper mulch film can replace the white plastic mulch film in planting maize and flax in the Hexi arid oasis irrigation area, as it is a better substitution in the planting of flax.
Author Contributions
Conceptualization, Q.H. and Y.Z.; methodology, F.Z. (Fangyuan Zhang); software, L.L.; validation, Y.Z. and Q.H.; formal analysis, F.Z. (Fangyuan Zhang); investigation, F.Z. (Fangyuan Zhang); resources, X.Y.; data curation, L.L.; writing—original draft preparation, Y.Z.; writing—review and editing, W.Z.; visualization, Y.Z.; supervision, F.Z. (Fengwei Zhang); project administration, Q.H.; funding acquisition, Q.H. and W.Z. All authors have read and agreed to the published version of the manuscript.
Funding
This research project was supported by the National Modern Agricultural Industry Technology System (CARS-14-1-28).
Institutional Review Board Statement
Not applicable.
Informed Consent Statement
Not applicable.
Data Availability Statement
The data that support the findings of this study are available from the corresponding author, Zhao, Y, upon reasonable request.
Conflicts of Interest
The authors declare no conflict of interest.
References
- Ali, S.; Jan, A.; Zhang, P.; Khan, M.N.; Cai, T.; Wei, T.; Ren, X.; Jia, Q.; Han, Q.; Jia, Z. Effects of ridge-covering mulches on soil water storage and maize production under simulated rainfall in semiarid regions of China. Agric. Water Manag. 2016, 178, 1–11. [Google Scholar] [CrossRef]
- Yang, Y.; Yu, K.; Feng, H. Effects of straw mulching and plastic film mulching on improving soil organic carbon and nitrogen fractions, crop yield and water use efficiency in the Loess Plateau, China. Agric. Water Manag. 2018, 201, 133–143. [Google Scholar]
- Li, N.; Ma, X.; Bai, J.; Xu, H.; Feng, Y.; Ren, G.; Yang, G.; Han, X.; Wang, X.; Ren, C.; et al. Plastic film mulching mitigates the straw-induced soil greenhouse gas emissions in summer maize field. Appl. Soil Ecol. 2021, 162, 103876. [Google Scholar] [CrossRef]
- Ma, D.; Chen, L.; Qu, H.; Wang, Y.; Misselbrook, T.; Jiang, R. Impacts of plastic film mulching on crop yields, soil water, nitrate, and organic carbon in Northwestern China: A meta-analysis. Agric. Water Manag. 2018, 202, 166–173. [Google Scholar] [CrossRef]
- Mo, F.; Zhu, Y.; Wang, Z.Y.; Deng, H.L.; Li, P.F.; Sun, S.K.; Xiong, Y.C. Polyethylene film mulching enhances the microbial carbon-use efficiency, physical and chemical protection of straw-derived carbon in an Entisol of the Loess Plateau. Sci. Total Environ. 2021, 792, 148357. [Google Scholar] [CrossRef]
- Niu, L.; Yan, Y.; Hou, P.; Bai, W.; Zhao, R.; Wang, Y.; Li, S.; Du, T.; Zhao, M.; Song, J.; et al. Influence of plastic film mulching and planting density on yield, leaf anatomy, and root characteristics of maize on the Loess Plateau. Crop J. 2020, 8, 548–564. [Google Scholar] [CrossRef]
- Zhang, F.; Zhang, W.; Qi, J.; Li, F.M. A regional evaluation of plastic film mulching for improving crop yields on the Loess Plateau of China. Agric. Water Manag. 2018, 248, 458–468. [Google Scholar] [CrossRef]
- Xu, X.C.; Wang, C.Y. Current situation and prospect of plastic film mulching cultivation at home and abroad. China Hemp. Ind. 2006, 28, 6–11. [Google Scholar]
- Briassoulis, D. Mechanical behaviour of biodegradable agricultural films under real field conditions. Polym. Degrad. Stab. 2006, 91, 1256–1272. [Google Scholar] [CrossRef]
- Luo, L.; Wang, Z.; Huang, M.; Hui, X.; Wang, S.; Zhao, Y.; He, H.; Zhang, X.; Diao, C.; Cao, H.; et al. Plastic film mulch I ncreased winter wheat grain yield but reduced its protein content in dryland of northwest China. Field Crops Res. 2018, 218, 69–77. [Google Scholar] [CrossRef]
- Qi, Y.; Beriot, N.; Gort, G.; Lwanga, E.H.; Gooren, H.; Yang, X.; Geissen, V. Impact of plastic mulch film debris on soil physicochemical and hydrological properties. Environ. Poll. 2020, 266, 115097. [Google Scholar] [CrossRef] [PubMed]
- Wu, C.; Ma, Y.; Wang, D.; Shan, Y.; Song, X.; Hu, H.; Ren, X.; Ma, X.; Cui, J.; Ma, Y. Integrated microbiology and metabolomics analysis reveal plastic mulch film residue affects soil microorganisms and their metabolic functions. J. Hazard Mater. 2022, 423, 127258. [Google Scholar] [CrossRef] [PubMed]
- Briassoulis, D.; Giannoulis, A. Evaluation of the functionality of bio-based plastic mulching films. Polym. Test. 2018, 67, 99–109. [Google Scholar] [CrossRef]
- Gao, X.H.; Xie, D.; Yang, C. Effects of a PLA/PBAT biodegradable film mulch as a replacement of polyethylene film and their residues on crop and soil environment. Agric. Water Manag. 2021, 255, 107053. [Google Scholar] [CrossRef]
- Griffin-LaHue, D.; Ghimire, S.; Yu, Y.; Scheenstra, E.J.; Miles, C.A.; Flury, M. In-field degradation of soil-biodegradable plastic mulch films in a Mediterranean climate. Sci. Total Environ. 2022, 806, 150238. [Google Scholar] [CrossRef]
- Serrano-Ruiz, H.; Martin-Closas, L.; Pelacho, A.M. Biodegradable plastic mulches: Impact on the agricultural biotic environment. Sci. Total Environ. 2021, 750, 141228. [Google Scholar] [CrossRef]
- Sintim, H.Y.; Bary, A.I.; Hayes, D.G.; Wadsworth, L.C.; Anunciado, M.B.; English, M.E.; Bandopadhyay, S.; Schaeffer, S.M.; DeBruyn, J.M.; Miles, C.A.; et al. In situ degradation of biodegradable plastic mulch films in compost and agricultural soils. Sci. Total Environ. 2020, 727, 138668. [Google Scholar] [CrossRef]
- Han, Y.J.; Chen, H.T. Development status and thinking of paper mulch film at home and abroad. Agric. Mech. Res. 2008, 12, 244–246. [Google Scholar]
- Zhou, J.H.; Zhu, H.W. Research and application of paper mulching film. China Pap. Ind. 2002, 5, 58–60. [Google Scholar]
- Chen, N.; Li, X.; Šimůnek, J.; Shi, H.; Hu, Q.; Zhang, Y. Evaluating the effects of biodegradable and plastic film mulching on soil temperature in a drip-irrigated field. Soil Tillage Res. 2021, 213, 105116. [Google Scholar] [CrossRef]
- Ghimire, S.; Flury, M.; Scheenstra, E.J.; Miles, C.A. Sampling and degradation of biodegradable plastic and paper mulches in field after tillage incorporation. Sci. Total Environ. 2020, 703, 135577. [Google Scholar] [CrossRef] [PubMed]
- Li, A.; Han, J.; Ren, S.; Zhang, Y.; Zhang, F.; He, Q. Study on anti-aging properties of modified ZnO-SiO2 superhydrophobic coated paper mulch film. Colloid Surf. A 2021, 629, 127430. [Google Scholar] [CrossRef]
- Li, A.; Jia, Y.; Li, Z.; Ren, S.; Zhang, F.; He, Q. Study on the friction and wear properties of zinc oxide/silicon dioxide composite-coated paper mulch film. J. King Saud Univ. Eng. Sci. 2021, in press. [Google Scholar] [CrossRef]
- Li, A.; Kang, Q.; Ren, S.; Zhang, Y.; Zhang, F.; He, Q. Preparation of superhydrophobic composite paper mulching film. Arab. J. Chem. 2021, 14, 103247. [Google Scholar] [CrossRef]
- Li, A.; Li, K.; Zhang, F.; Ren, S.; Zhang, F.; He, Q. Research on low temperature performance of ZnO/SiO2 composite superhydrophobic paper mulch. J. Mater Res. Technol. 2021, 14, 851–863. [Google Scholar] [CrossRef]
- Li, A.; Li, K.; Zhang, F.; Ren, S.; Zhang, F. Research progress on preparation and field application of paper mulch. Environ. Technol. Innov. 2021, 24, 101949. [Google Scholar] [CrossRef]
- Huang, T.; Che, Z.X.; Zhao, X.N.; Yuan, J.H.; E, S.Z. Investigation and evaluation of soil nutrients in farmland plough layer in Hexi Oasis Irrigation Area, Gansu Province. J. Gansu Agric. Univ. 2021, 56, 126–132. [Google Scholar]
- Chen, G.P.; Ding, X.Q.; Fan, Z.L. Uflaxization characteristics of nitrogen and phosphorus among different crops in Hexi Oasis Irrigation Area, Gansu Province. Grassland Lawn 2020, 40, 53–58. [Google Scholar]
- Li, Y.K.; Li, J.J.; Zhou, L.P.; Liu, G.W.; Zhang, J.H.; Zhang, Z.P.; Zheng, Q.Z. Effects of conservation tillage on soil wind erosion characteristics in Hexi Oasis Irrigation Area. Chin. J. Eco-Agric. 2019, 27, 1421–1429. [Google Scholar]
- Singh, U.; Choudhary, A.K.; Sharma, S. Comparative performance of conservation agriculture vis-a-vis organic and conventional farming, in enhancing plant attributes and rhizospheric bacterial diversity in Cajanus cajan: A field study. Eur. J. Soil Biol. 2020, 99, 103197. [Google Scholar] [CrossRef]
Publisher’s Note: MDPI stays neutral with regard to jurisdictional claims in published maps and institutional affiliations. |
© 2022 by the authors. Licensee MDPI, Basel, Switzerland. This article is an open access article distributed under the terms and conditions of the Creative Commons Attribution (CC BY) license (https://creativecommons.org/licenses/by/4.0/).












