Abstract
Biofouling poses a significant challenge to the marine industry, resulting from the undesirable accumulation of various living organisms, including microorganisms, plants, shellfish, and others, on different surfaces submerged in seawater. The primary approach to address this issue involves the application of antifouling coatings, often incorporating active agents whose environmental impact has raised considerable concerns. In this article, we compare the effects of two natural and environmentally friendly antimicrobial compounds, capsaicin (CP) and Cinnamomum cassia oil (CO), when incorporated into hybrid sol–gel coatings. We tested formulations containing 4% and 8% by weight of each biocide for coating nylon substrates through immersion. This process yielded colorless, uniform surfaces with minimal defects and strong adhesion. We evaluated the antibacterial properties of the pure organic biocides against five bacterial strains commonly found in Chilean microfouling. Both compounds exhibited similar behavior against Gram-positive bacteria, but CP showed 2–5 times greater efficacy than CO against Gram-negative strains. Subsequently, we selected a Gram-negative strain for antibacterial tests on sol–gel/biocide samples. The results indicated that coatings with CP incorporation outperformed those with CO, achieving an efficiency of 99.9%. Lastly, leaching tests demonstrated that coatings with lower biocide concentrations (4%) exhibited a steady and gradual release of organic molecules, with sol–gel/CP 4% emerging as the most promising microfouling barrier coating for marine applications.
1. Introduction
Surfaces submerged in seawater are susceptible to biological damage and the accumulation of unwanted materials, resulting in significant environmental and economic impacts. This phenomenon is referred to as marine biofouling, and it occurs when microorganisms, plants, algae, or small animals adhere to a surface [1]. The process begins with the formation of a biofilm, a layer that develops through the adsorption of organic molecules and microorganisms onto the exposed surfaces, creating favorable conditions for the attachment of other species [2]. The use of antifouling coatings is essential to prevent the growth of marine organisms on submerged surfaces and has been proven to be effective in offering long-term performances [3]. Various metals and metal-based compounds have been used for decades as active ingredients in antifouling paints. In particular, tributyltin (TBT) has been the most successful in preventing biofouling on artificial marine structures. However, the severe environmental consequences and extensive damage to shellfish caused by the accumulation of TBT has prompted the exploration of new alternatives, primarily relying on copper compounds such as cuprous oxide and copper thiocyanate.
The Fisheries Development Institute of Chile (IFOP) in 2013 identified 20 antifouling paints used in the Chilean salmon farming industry. Of these, 85% were based on cuprous oxide, while the remaining 15% were comprised of zinc oxide and unspecified biodegradable biocidal compounds. Among these paints, the most commonly used were Steen-Hansen (e.g., Aquanet ®H6360, Bergen, Norway) and Sherwin-Williams paints (e.g., Seavoyage 100 CDP, Sevoyage HRD150. EEUU, Cleveland, OH, USA) [4]. Despite their effectiveness, concerns have arisen regarding antifouling paints based on copper compounds due to their potential release in real aquatic conditions, accumulation, and toxicity to marine species [5,6].
Recent efforts have focused on developing low-toxicity or non-toxic biocides, including natural products, inorganic nanoparticles, and ionic liquids [7]. Numerous bio-based and eco-friendly coatings have been reported. For instance, bioactive compounds currently used in coatings include daidzein, an isoflavone obtained from soy [8]; eugenol, found in cloves, nutmeg, and cinnamon [9]; butanolide-based compounds from Trichoderma fungi [10,11]; curcumin from Curcuma longa [12]; corn oil; and citric acid [13], among others.
Capsaicin (CP), the active component found in capsicum plants, has been proposed as a natural and non-toxic biocide with properties that make it more attractive than currently used chemically synthesized antifoulants. CP and its related compounds, known as capsaicinoids, are secondary metabolites naturally occurring in chili peppers and play a crucial role in plant defense, likely serving as repellents against animals. Because of their antimicrobial, antivirulence, antiparasitic, and antifouling properties, they have found applications in various industries including pharmaceuticals, health [14,15,16,17,18,19,20], food and packaging [21,22,23], textiles [24] as well as marine applications [3,25,26,27,28,29]. Given the promising potential of CP in marine applications, several studies have assessed its toxicity and environmental impact to ensure its safety as an emerging antifouling biocide. The findings indicate that CP exhibits remarkable bactericidal performance together with low toxicity, minimal mortality, and/or accumulation in specific species of algae, crustaceans, and fish [27,30,31]. These results suggest that CP is a viable candidate for marine antifouling applications, offering effective fouling prevention with minimal environmental risks.
On the other hand, plant essential oils (EOs) are well known for their diverse properties, including antimicrobial, antioxidant, pesticidal, and others. These compounds are volatile aromatic oily liquids extracted from plants, typically through distillation [32]. Cinnamon cassia oil (CO), derived from the leaves and twigs of Cinnamomum cassia and containing 75%–90% cinnamaldehyde, has been established to possess significant antimicrobial activity, finding applications primarily in the pharmaceutical [33,34,35,36,37] and food industries [32,38,39]. Furthermore, CO has been shown to be more effective than other essential oils, such as clove bud oil and allspice oil [32]. While there are numerous reports on antimicrobial films containing cinnamaldehyde [40], only a few have explored the use of essential oils, particularly CO, as bioactive compounds for antifouling purposes. For instance, Cuzman et al. [41] incorporated five antifouling natural agents, including cinnamaldehyde, into two commercial silicone-based coatings to inhibit phototrophic biofilm formation on stone surfaces. The results demonstrated inhibitory efficiency, particularly for alkylpyridinium salts and cinnamaldehyde. Additionally, in patent EP 2 281 855 A1 [42] a Cinnamomum cassia extract was employed as an antifouling additive for coating systems in contact with water.
Various types of matrices have been used to create coatings containing biocides, including silicones [43], fluorine-containing polymers [44], sol–gel based materials [44,45], hydrogel polymers [46], and others. Among these, hybrid materials based on the sol–gel process have garnered special attention in marine applications because the process is convenient and straightforward, allowing for the production of non-toxic coatings with the advantages of both organic and inorganic components [47]. Additionally, solid films prepared through sol–gel chemistry are highly porous, making them suitable matrices for trapping and gradually releasing organic molecules such as CP and CO.
In this study, we integrated two eco-friendly natural components with antimicrobial properties, CP and CO, into hybrid sol–gel coatings and applied them to polymeric substrates for marine antifouling applications. The sol–gel process involves the formation of solid materials starting with a solution of monomeric metal or metalloid alkoxide precursors M(OR)n, where M represents a network-forming element such as Si, Ti, Al, among others and R is, typically, an alkyl group. The sol–gel method offers several advantages over alternative techniques, including a low-temperature process, cost-effectiveness (requiring only a small amount of material for coating), ease of application, and suitability for coating substrates of various shapes and sizes [48]. In this case, we employed the sol–gel technique to fabricate a thin-film matrix capable of containing and gradually releasing the active biocides.
To the best of our knowledge, no other CP or CO doped hybrid sol–gel has been proposed as a coating to mitigate marine micro fouling on polymeric materials. Initially, we evaluated the antibacterial activity of these organic molecules against bacterial strains prevalent in the Chilean region of Bio-Bio (Concepción, Chile) and found it to be responsible for microfouling. Subsequently, we formulated sol–gel/biocides combinations, applied onto nylon substrates, and characterized them using SEM, crosshatch tests and ATR-FTIR analysis. Finally, we conducted antibacterial tests and leaching experiments to assess their effectiveness in inhibiting bacterial adhesion to the surface and to monitor the release dynamics of each proposed biocide compound.
2. Materials and Methods
Cinnamomum cassia oil (cinnamaldehyde >80% content), tetraethylorthosilicate 98%, 3-glycidoxypropylmethoxysilane 98% and hydrochloric acid 1 N were obtained from Merck. Capsaicin 68% was acquired from Hunan Insen Biotech (Changsha, China). Nylon substrates of 1.0 mm thickness were acquired from Plastigen (Santiago, Chile).
2.1. Evaluation of the Antibacterial Activity of CP and CO
Antibacterial activity of the proposed biocides was evaluated by the estimation of the minimum inhibitory concentration (MIC), using the microdilution method described as follows:
Firstly, CP and CO solutions in a concentration of 100 mg/L were prepared. These solutions were used as stock for a series of dilutions in decreasing order until the inhibitory concentration was reached. For this, a certain amount of the diluted biocides samples was poured into a plate (a 96-well plates experiment was used) and mixed with trypticase soy agar cell culture serum (TSA) prepared in NaCl 2% wt. Then, a bacterial inoculum of five types of strains labelled as C53, S56, C52, S53 and T41 was added to each plate from a previously prepared 24 h culture. The strains used in this study were characteristic of the microfouling and were isolated from the marine environment on the coast of the Bio-Bio region in Chile. The concentration of the representative bacteria was 0.5 Mc Farland (1×108 UFC/mL). Finally, the solutions with the representative bacteria were incubated at 21 °C, 120 rpm for 48 h.
2.2. Preparation of Hybrid Sols with Biocides
Sols were prepared using a methodology reported by Rahimi et al. [49] with some modifications. The procedure is described as follows: Tetraethylorthosilicate (TEOS) and 3-glycidoxypropylmethoxysilane (GPTMS) precursors in a proportion of 1:2 in volume was placed in a round bottom flask and vigorously mixed at room temperature for a few minutes. Then, a quantity of hydrochloride acid 0.04 N was added slowly to the mixture and left under constant stirring at room temperature for 5 h. Next, sols were left without agitation at room temperature for 24 h to complete the aging process.
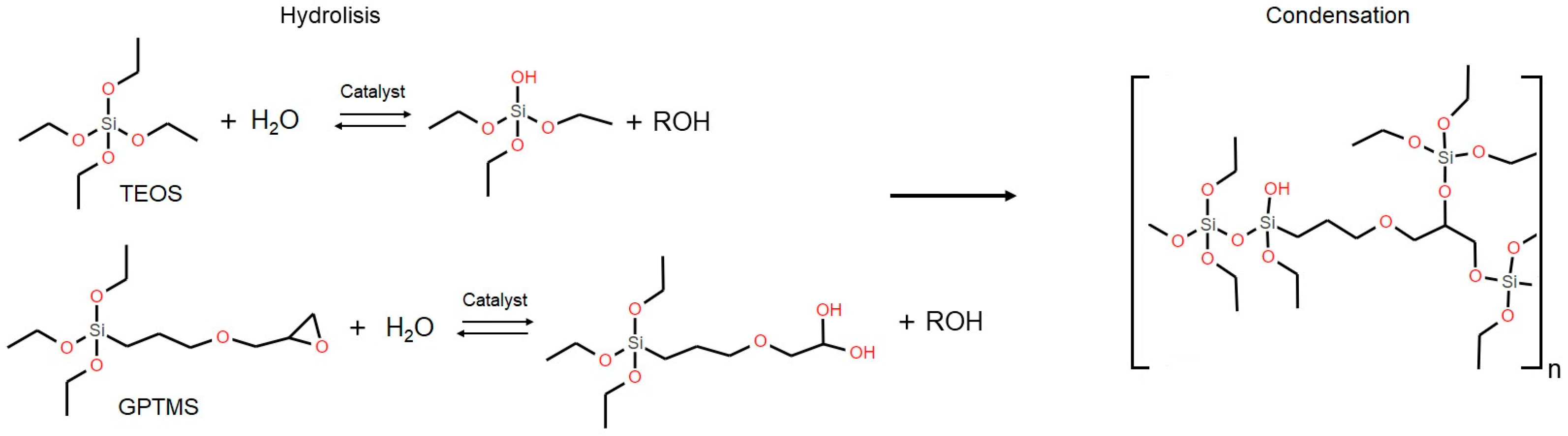
The general reaction for preparing sols is depicted in Figure 1. The initial step in the sol–gel process involves a hydrolysis reaction, wherein a metal or metalloid alkoxide, denoted as M(OR)n, reacts with water to produce a metal hydroxide. During this hydrolysis, a colloidal suspension of small particles, known as a sol, is generated. Subsequently, condensation takes place, where the bonding network maintains the physical consistency of the solution and preserves its shape, resulting in the formation of a gel. These two reactions occur concurrently once the process has commenced. Through the combination of hydrolysis and condensation reactions, the precursors are transformed into a three-dimensional network. In our case, this network was applied through immersion onto nylon substrates and then dried until a solid oxide coating was established.
In this research, GPTMS and TEOS were employed as precursors to create organic/silica hybrid films. The inclusion of GPTMS serves to prevent cracking caused by drying stresses and enhances the flexibility of the coating. The epoxy group of GPTMS acts as the organic part in the hybrid system, thereby enhancing adhesion, flexibility, and scratch resistance [50].
Figure 1.
Reaction involving TEOS and GPTMS for the preparation of hybrid sols [51,52,53].
Figure 1.
Reaction involving TEOS and GPTMS for the preparation of hybrid sols [51,52,53].

The sols prepared in this study remained stable for a minimum of 5 months when stored in closed containers at room temperature.
After the aging period, a quantity of CP and CO was incorporated into sol matrixes separately in concentrations of 4% and 8% wt. The preparation of these solutions was carried out by mixing an appropriate amount of sol and solutions of the active compound at constant stirring and room temperature for 1 h. The biocide compound was previously dissolved in absolute ethanol to optimize the homogeneity of the system. The viscosity of sols with and without the incorporation of biocides was measured with a rotational viscosimeter Brookfield DV-E, using an ULA adapter (for low viscosities), at a rotation speed of 100 rpm at 20 °C.
2.3. Coating of Nylon Substrates with the Sol/Biocide Formulations
Nylon substrates were selected for this investigation because they have been extensively used in the fabrication of materials for aquaculture purposes [54,55,56,57]. Each flat substrate was initially lightly polished using fine-porosity sandpaper to create a slight surface roughness that would enhance the adhesion of the coating. Subsequently, the substrates underwent a cleaning process involving detergent and deionized water, after which they were left to air-dry. The coating process consisted of manually immersing the polymeric substrate into the formulations, both with and without biocides, for a duration of 5 min. The immersion and removal steps each took 30 s. The drying process involved placing the substrates at room temperature in a desiccator overnight, followed by drying at 70 °C for 2 h, and finally allowing the substrates to reach room temperature again within the desiccator.
2.4. Characterization of the Coated Substrates
A field emission scanning electron microscope Inspect F50 FEI, Thermo Fisher (FESEM), was used to study the morphology of coated and uncoated substrates. Each specimen was placed in an aluminum holder and then coated with a 10-nm-layer gold with a Sputter Coater Cressington TEDPELLA 108 coupled to a thickness controller, MTM 20 Cressington.
Fourier transformed infrared coupled with attenuated total reflectance, Agilent Cary 630 spectrophotometer (ATR-FTIR) was carried out in a range of 4000–650 cm−1, with the percentage of transmittance as the measurement mode and 32 scans per sample with a resolution of 8.0 cm−1 to analyze the chemical and physical interactions.
The adherence of the coatings was tested through a crosshatch test (ASTM D 3359-B) [58]. Briefly, perpendicular cuts were made on the surface of the samples in the form of a grid, which was covered with tape. Then, a gentle removal of the tape was performed in a single pull at 180° with respect to the surface of the coated substrates. The resulting surface was examined with a magnifying glass and its adherence level was evaluated in comparison to a normalized classification. This evaluation goes from 5B to 0B (Table 1).
Table 1.
Normalized classification for the crosshatch test.
2.5. Evaluation of Antibacterial Activity of Surfaces with the Active Compounds
The antibacterial activity tests were made according to ISO 22,196 [59,60]. This norm describes the conditions to determine the antimicrobial activity and the efficiency of antimicrobial products on polymeric and porous surfaces. The bacterial strain used for this experiment was C52 (Gram-negative), a characteristic microorganism of biofouling that has been isolated from the sea in Bio-Bio, Chile. The bacterial growth was quantified on coated and uncoated samples and using a negative control. The conditions for incubation were 25 ± 1 °C during 24 h. All the tests were made in triplicate. Equation (1) was used to estimate the antibacterial activity of biocide modified coatings.
where R% is the bacterial reduction with respect to the initial inoculum, A is the bacterial concentration of the control after the incubation and B is the bacterial concentration of the samples with the treatment after the incubation. The initial inoculum for the bacterial strain C52 was 4.83 × 106 UFC/cm2.
2.6. Leaching Tests and Quantification
Four × four cm nylon substrates were coated with the CP and CO 4 and 8% wt. Once the substrate was covered completely by the coating, one of the sides was cleaned using NaOH 1N. The substrates were then immersed in 200 mL of deionized water and stirred at 100 rpm at room temperature. The coated samples with the active compounds were fixed using a laboratory clamp to keep them in the water. Aliquots of 25 mL of water (in duplicates) were taken every 30, 60, 120, 240, 360, 480 and 1440 min. A quantity of 50 mL of deionized water was used to restitute the complete initial volume. Subsequently, the samples were lyophilized (Freezone LABCONCO) for 1–2 days, until full water removal. In every case, the dried solid was re-dissolved in 1 mL of absolute ethanol using a vortex. The amount of CO and CP leached from the coated surfaces was quantified by HPLC (Waters Acquity Arc) [7,49]. The percentage of biocide released from the coating was calculated according to Equation (2):
where BR is the %wt. of biocide release from the coating, Cbioc is the concentration of biocide detected by HPLC in water (mg/L), and CS and S are the mass of coated and uncoated substrate, respectively.
3. Results
3.1. Evaluation of Antibacterial Activity of CP and CO
Two different naturally derived organic compounds have been proposed as eco-friendly biocides for biofouling bacteria: capsaicin (CP) and cassia oil (CO). Their antibacterial activity was tested against five representative strains of microfouling (Gram-positive and Gram-negative), isolated from the accumulated biofilm over plates exposed to the marine environment in the Bio-Bio region. According to the National Fishing and Aquaculture Service of Chile (SERNAPESCA), Bio-Bio stands out for the harvesting of a variety of marine species, with a great contribution in the cultivation of salmon until the fingerling and smolts stages, Atlantic salmon being the main species [61].
The strains tested were labelled as C53, S56, C52, S53 and T41. The results of minimum inhibitory concentration (MIC) of the biocides are presented in Table 2.
Table 2.
MIC for CP and CO in the presence of representative microfouling strains of the Bio-Bio region, Chile.
The results indicate that both CP and CO possess good antibacterial activity on Gram-positive and negative microfouling characteristic strains. This is in good agreement with previous reports mentioning the effectiveness of CP and cinnamaldehyde (the main component of CO) on other types of strain with the same classification [14,15,62]. While both organic biocides gave the same MIC value of 23 mg/L when tested against Gram-positive strain C53, we found that CP was two to five times more efficient than CO with Gram-negative bacteria showing a MIC as low as 12 mg/L. Such a difference is probably due to the action mechanism of the biocides or the chemical effects of the environment on CO (for example, the oxidation of the molecules).
Finally, it was observed that the best results for both biocidal compounds were obtained for the C52 strain (Gram-negative); hence, it was chosen as a test model for the evaluation of the antibacterial activity of sol–gel coatings with the incorporation of CP and CO in concentrations of 4 and 8%, presented in Section 3.6.
3.2. Preparations of Hybrid Sols and Incorporation of Biocides
The hybrid sols were successfully prepared, yielding transparent solutions that remained stable when stored in closed containers at room temperature. Subsequently, the organic compounds were introduced into the hybrid sols separately at concentrations of 4% and 8% wt., resulting in homogeneous solutions without any agglomerations. As depicted in Figure 2, the sol formulations exhibited a slight yellowish tint after the addition of biocides, with the intensity of the color increasing in proportion to their concentration.
Figure 2.
Sols with content of biocides (a,b) CP and (c,d) CO in 4 and 8% wt.
Following this, viscosity measurements were conducted on the samples, both with and without the inclusion of CP and CO. In both cases, the addition of ethanolic biocide solutions led to a reduction in viscosity, consistent with the findings previously reported by Holowacz et al. [63]. Notably, in the case of CP, which is a solid compound, there were no significant variations in viscosity between the 4% and 8% samples. Conversely, a negative correlation between viscosity and CO concentration was observed, likely attributable to the physical state of the biocide, as CO is a liquid with low intrinsic viscosity. (See Figure 3).
Figure 3.
Viscosity comparison of the prepared sols without biocide (Sol) and with the addition of Capsaicin and Cassia Oil in 4 and 8%.
Subsequently, nylon substrates were immersed in the sol/biocide solutions. All the coated samples underwent the drying process outlined in Section 2.4. The results are presented in Figure 4, revealing that in all cases, a uniform coating was achieved with only a few isolated defects, which can be attributed to the immersion coating process.
Figure 4.
Coated substrates with sol/biocide solutions (a,b) CP and (c,d) CO in 4 and 8% wt. respectively.
3.3. Scanning Electron Microscopy and Adhesion Test
Figure 5a–c shows cross section SEM images of uncoated and coated substrates with hybrid sol–gel/CO or CP. These images were used to estimate the thickness of the coatings applied on nylon substrates (Figure S1). The approximate thickness of the coatings was between 10–20 µm for the samples with CP and CO. Frontal examination of the coated substrates was then performed. Homogeneous and crack-free surfaces were generally observed for all samples. Nevertheless, a very few punctual defects could be found during high magnification frontal analysis, as visible in the examples in Figure 4d,e. Such surface imperfections could be due to the immersion coating method or to the drying process. However, the presence of such defects is small compared to the overall analyzed surface and does not influence the functionality of the coating.
Figure 5.
Cross-section SEM images of (a) nylon substrate, (b) CO 4% and (c) CP 4% coated samples. Images (d,e) are examples of the punctual defects found on the coating.
Figure 6 presents an image of the substrate coated with sol–gel/biocide after a cross-hatch test as an example. For all tested samples, the highest adherence levels were obtained, being 5-4 B according to the normalized scale presented in Table 1. Moreover, it is important to highlight that, regardless of the type of organic biocide involved or of its concentration, all sol–gel formulations resulted in coatings with strong adherence to the substrate without any delamination.
Figure 6.
Coated substrate with sol–gel/CO 4% after cross-hatch test.
3.4. FTIR Characterization
ATR-FTIR measurements were performed to study the effect of adding CO and CP to the organic–inorganic hybrid sol–gel matrix. Comparison between the hybrid sol–gel with and without the incorporation of biocides applied on the substrates is presented in Figure 7. For all spectra, a broad band around 3700–3100 cm−1 was identified attributed to O-H groups stretching, where freely vibrating OH groups and hydrogen-bonded OH groups are apparent [49]. For sol–gel/CP 8%, an additional peak centered in 3298 cm−1 was observed, that is attributed to the amide bond N-H stretching characteristic of the CP molecule. Then, C-H stretching bands of symmetric and asymmetric vibrations of -CH2 were observed at 2931 and 2875 cm−1, that are characteristic organic chains in the precursors that are incorporated in the condensed network [64]. Next, a characteristic peak of an Si-O-Si bond was identified in the range 1200–1000 cm−1 (centered on 1019 cm−1) confirming that an inorganic polymerization reaction took place. Significant changes are not seen in the Si-O-Si band intensity with biocides incorporation [49,65,66]. After that, a peak at 908 cm−1 associated with the stretching vibration of the epoxy ring was exhibited in all the spectra. This could indicate a partial opening of the epoxy rings groups to form a cross-linked network [65,66]. Finally, weak peaks at 856, 763 and 692 cm−1 were associated with Si-O-CH3 stretching and SiO2 vibrational modes, that are present in the precursors and the cross-linked network [64,66].
Figure 7.
ATR-FTIR spectra of sol–gel coatings without and with the incorporation of (a) cassia oil and (b) capsaicin 4 and 8%.
3.5. Antibacterial Activity of Surfaces with Active Compounds
To evaluate the antibacterial effect of the sol–gel/biocides formulations, coated nylon substrates were placed in contact with C52 strain (Pseudomonas sp.) according to the procedure described in Section 2.5. The results and calculations are presented in Table 3 where the control sample corresponds to the coated substrate without the addition of biocides. Additionally, the pristine uncoated substrate was tested as a control and no inhibition was observed.
Table 3.
Microbiological counting of C52 strain after 24 h of incubation over several surfaces.
First, the results indicate that coated samples with CP and CO influence the bacterial reduction. In the case of coatings with CP, both concentrations tested seem to be quite similar and highly efficient. On thecontrary, for the samples with CO, an about 2.5 times higher efficiency was obtained when the less concentrated coating was tested (65.41% of difference). This could be due to the differences between the two organic active ingredients in leaching rate and stability in different environmental conditions; this is supported by the data provided in the next section. As previously mentioned, essential oils are volatile compounds highly sensitive to environmental conditions; therefore, a fast release and secondary reactions could end up limiting the antibacterial effect of CO.
3.6. Leaching of Biocides in Water
To investigate the release of organic compounds from the coated samples in aqueous solutions, leaching experiments were conducted for sol–gel coatings containing both CO and CP at concentrations of 4% and 8% by weight. The results are presented in Figure 8.
Figure 8.
Leaching of sol–gel coatings incorporating (a) cassia oil, and (b) capsaicin in concentrations of 4 and 8%.
Firstly, for the samples with the addition of cassia oil, different behaviors were observed for coatings loaded with 4% and 8%. Sol–gel/CO 8% exhibited an initial intense and fluctuating release during the first 600 min, followed by a slight decrease, reaching a value of 0.09% wt. at the end of the measurement period. In contrast, the sample with the lower concentration displayed a gradual release of the organic compound, peaking at 0.11% wt. at 1440 min. It is worth noting that the percentage scale of the biocide release for CO is lower than for CP. This effect may be attributed to the sensitivity of CO to environmental conditions [67]. It is proposed that when CO is released into an aqueous solution, a chemical transformation occurs, altering the structure of the native biocide. This transformation was evidenced in the HPLC patterns presented in the supplementary information (Figures S2–S6). In Figure S3, two peaks were observed in the pure cassia oil pattern, which can be attributed to cinnamaldehyde (the primary component of CO) and a derivative molecule, respectively. When compared with the patterns obtained for the 4% and 8% CO samples (after the lyophilization and redispersion process), it is evident that the height ratio between the signal changes, favoring the formation of the derivative compound. These results suggest that the CO compound undergoes a chemical transformation, forming a new CO derivative (the concentration of this compound was not measured). This phenomenon could be related to the antibacterial activity results obtained previously, where the lower concentration sample was slightly more effective than sol–gel/CO 8%.
In the case of the samples containing capsaicin, no variability was detected in any of the graphs. Sol–gel/CP 8% exhibited a continuous release of the biocide, reaching a maximum value at the end of the measurement of 78%. On the other hand, for the sample with 4% CP, increasing values were observed during the first 200 min. After that, the quantity of CP remained constant until the end of the measurement, resulting in a biocide release of 10%. From these experiments, it can be inferred that the best results for both biocides are obtained with the 4% sample, as the release of the active compound is gradual and prolonged. In samples prepared with 8% of biocide, the variable and rapid delivery of the organic molecules could limit the coatings efficiency rapidly and may not provide a long-term antifouling effect.
4. Conclusions
Eco-friendly sol–gel coatings loaded with capsaicin (CP) and Cinnamomum cassia oil (CO) were successfully developed. Initially, the antibacterial activity of the pure organic biocides was assessed against five bacterial strains typically associated with Chilean microfouling. The results demonstrated that both CP and CO exhibited strong antibacterial activity against both Gram-positive and Gram-negative strains, with CP showing two to five times greater efficacy against Gram-negative strains. This difference in performance may be attributed to the biocides’ mechanisms of action and their susceptibility to environmental conditions.
Subsequently, the selected biocides were incorporated into sol–gel formulations, resulting in slightly yellowish products without any signs of agglomeration. These coatings were then applied to nylon substrates and characterized through SEM analysis, adhesion tests, and FTIR spectroscopy. The observations revealed uniform, crack-free surfaces for all samples, with occasional punctual defects attributed to the immersion coating method and the drying process. Moreover, all samples exhibited strong adhesion to the nylon substrates. FTIR signals associated with the organic biocides were detected in sol–gel coatings containing 8% of each biocide, confirming the presence of CP and CO without apparent structural changes.
Subsequent antibacterial efficiency tests on nylon substrates coated with sol–gel/biocides revealed that samples with CP incorporation exhibited superior effectiveness, achieving an efficiency exceeding 99%. Finally, leaching experiments indicated that coatings with lower biocide concentrations (4%) exhibited a stable and gradual release of the organic molecules, with sol–gel/CP 4% emerging as the most promising coating.
In summary, the sol–gel coatings incorporating the proposed biocides demonstrated efficacy as antifouling coatings. However, further experiments in a real seawater environment are needed to assess their performance under actual conditions.
Supplementary Materials
The following supporting information can be downloaded at: https://www.mdpi.com/article/10.3390/coatings13101755/s1, Figure S1. (a) Example of SEM cross-section image for thickness estimation and (b) Digital microscope image of the edge of coated substrate, Figure S2. HPLC pattern for CO without exposure to aqueous solution. CO derivates do appear. Figure S3. HPLC pattern for CO from 4% wt. formulation at 30 min, Figure S4. HPLC pattern for CO from 4% wt. formulation at 1440 min, Figure S5. HPLC pattern for CO from 8% wt. formulation at 30 min, Figure S6. HPLC pattern for CO from 8% wt. formulation at 1440 min.
Author Contributions
Conceptualization, L.D.J. and M.A.; methodology, L.D.J., E.O.C., K.V.H., N.N.M. and M.A; formal analysis, E.O.C., L.D.J. and N.N.M.; investigation, L.D.J. and E.O.C.; writing—original draft preparation, L.D.J. and E.O.C.; writing—review and editing, L.D.J., E.O.C. and M.F.; visualization, L.D.J. and E.O.C.; supervision, M.F.; funding acquisition, M.F. All authors have read and agreed to the published version of the manuscript.
Funding
This research was funded by the Innovation Fund for Competitiveness of the Chilean Economic Development Agency (CORFO), grant number 13CEI2-21839.
Institutional Review Board Statement
Not applicable.
Informed Consent Statement
Not applicable.
Data Availability Statement
The data presented in this study are available on request from the corresponding author. The data are not publicly available due to due to an ongoing provisional patent application.
Conflicts of Interest
The authors declare no conflict of interest.
References
- Tian, L.; Yin, Y.; Bing, W.; Jin, E. Antifouling Technology Trends in Marine Environmental Protection. J. Bionic Eng. 2021, 18, 239–263. [Google Scholar] [CrossRef]
- Richards, C.; Briciu-Burghina, C.; Jacobs, M.R.; Barrett, A.; Regan, F. Assessment of antifouling potential of novel transparent sol gel coatings for application in the marine environment. Molecules 2019, 24, 2983. [Google Scholar] [CrossRef]
- Liu, Y.; Shao, X.; Huang, J.; Li, H. Flame sprayed environmentally friendly high density polyethylene (HDPE)–capsaicin composite coatings for marine antifouling applications. Mater. Lett. 2019, 238, 46–50. [Google Scholar] [CrossRef]
- SUBPESCA Determinación y evaluación de los componentes presentes en las pinturas anti-incrustantes utilizadas en la acuicultura. Chile 2013. Available online: https://www.subpesca.cl/portal/618/articles-81701_documento.pdf (accessed on 5 October 2023).
- Arboleda-Baena, C.; Osiadacz, N.; Parragué, M.; González, A.E.; Fernández, M.; Finke, G.R.; Navarrete, S.A. Assessing Efficacy of “Eco-Friendly” and Traditional Copper-Based Antifouling Materials in a Highly Wave-Exposed Environment. J. Mar. Sci. Eng. 2023, 11, 217. [Google Scholar] [CrossRef]
- Amara, I.; Miled, W.; Slama, R.B.; Ladhari, N. Antifouling processes and toxicity effects of antifouling paints on marine environment. A review. Environ. Toxicol. Pharmacol. 2018, 57, 115–130. [Google Scholar] [CrossRef]
- Evans, S.M.; Leksono, T.; McKinnell, P.D. Tributyltin pollution: A diminishing problem following legislation limiting the use of TBT-based anti-fouling paints. Mar. Pollut. Bull. 1995, 30, 14–21. [Google Scholar] [CrossRef]
- Chen, Q.; Zhang, L.; Zhang, J.; Habib, S.; Lu, G.; Dai, J.; Liu, X. Bio-based polybenzoxazines coatings for efficient marine antifouling. Prog. Org. Coat. 2023, 174, 107298. [Google Scholar] [CrossRef]
- Sha, J.; Liu, X.; Chen, R.; Yu, J.; Liu, Q.; Liu, J.; Zhu, J.; Liu, P.; Li, R.; Wang, J. Surface hydrolysis-anchored eugenol self-polishing marine antifouling coating. J. Colloid Interface Sci. 2023, 637, 67–75. [Google Scholar] [CrossRef]
- Chiang, H.Y.; Pan, J.; Ma, C.; Qian, P.Y. Combining a bio-based polymer and a natural antifoulant into an eco-friendly antifouling coating. Biofouling 2020, 36, 200–209. [Google Scholar] [CrossRef]
- Siddiquee, S. Recent Advancements on the Role and Analysis of Volatile Compounds (VOCs) from Trichoderma; Elsevier: Amsterdam, The Netherlands, 2014; ISBN 9780444595768. [Google Scholar]
- Deng, Y.; Xia, L.; Song, G.L.; Zhao, Y.; Zhang, Y.; Xu, Y.; Zheng, D. Development of a curcumin-based antifouling and anticorrosion sustainable polybenzoxazine resin composite coating. Compos. Part B Eng. 2021, 225, 109263. [Google Scholar] [CrossRef]
- Alam, M.; Alandis, N.M.; Ahmad, N.; Husain, F.M. Anticorrosive and antibacterial nanocomposite coating material from sustainable resource. Ind. Crops Prod. 2020, 158, 112955. [Google Scholar] [CrossRef]
- Füchtbauer, S.; Mousavi, S.; Bereswill, S.; Heimesaat, M.M. Antibacterial properties of capsaicin and its derivatives and their potential to fight antibiotic resistance—A literature survey. Eur. J. Microbiol. Immunol. 2021, 11, 10–17. [Google Scholar] [CrossRef]
- Marini, E.; Magi, G.; Mingoia, M.; Pugnaloni, A.; Facinelli, B. Antimicrobial and anti-virulence activity of capsaicin against erythromycin-resistant, cell-invasive group A streptococci. Front. Microbiol. 2015, 6, 1281. [Google Scholar] [CrossRef]
- Goci, E.; Haloci, E.; Di Stefano, A.; Chiavaroli, A.; Angelini, P.; Miha, A.; Cacciatore, I.; Marinelli, L. Evaluation of in vitro capsaicin release and antimicrobial properties of topical pharmaceutical formulation. Biomolecules 2021, 11, 432. [Google Scholar] [CrossRef]
- Menezes, R.d.P.; Bessa, M.A.d.S.; Siqueira, C.d.P.; Teixeira, S.C.; Ferro, E.A.V.; Martins, M.M.; Cunha, L.C.S.; Martins, C.H.G. Antimicrobial, Antivirulence, and Antiparasitic Potential of Capsicum chinense Jacq. Extracts and Their Isolated Compound Capsaicin. Antibiotics 2022, 11, 1154. [Google Scholar] [CrossRef]
- Wang, F.; Xue, Y.; Fu, L.; Wang, Y.; He, M.; Zhao, L.; Liao, X. Extraction, purification, bioactivity and pharmacological effects of capsaicin: A review. Crit. Rev. Food Sci. Nutr. 2022, 62, 5322–5348. [Google Scholar] [CrossRef]
- Hassan, M.; Abdulrazik, G.; El Awady, M.; Hamed, A.; Abdel-Monem, M. Antimicrobial Activity of Capsaicin and Its Derivatives against Klebsiella pneumoniae. Egypt. Acad. J. Biol. Sci. G. Microbiol. 2021, 13, 79–90. [Google Scholar] [CrossRef]
- Morrine, A.O.; Zen-Zi, W.; Weih, G.B.; Grant, A.H.; Kamal, D.; David, J.B. Comparative analysis of capsaicin in twenty nine varieties of unexplored Capsicum and its antimicrobial activity against bacterial and fungal pathogens. J. Med. Plants Res. 2018, 12, 544–556. [Google Scholar] [CrossRef]
- Xing, F.; Cheng, G.; Yi, K. Study on the antimicrobial activities of the capsaicin microcapsules. J. Appl. Polym. Sci. 2006, 102, 1318–1321. [Google Scholar] [CrossRef]
- Zhao, J.; Wei, F.; Xu, W.; Han, X. Enhanced antibacterial performance of gelatin/chitosan film containing capsaicin loaded MOFs for food packaging. Appl. Surf. Sci. 2020, 510, 145418. [Google Scholar] [CrossRef]
- Ayariga, J.A.; Abugri, D.A.; Amrutha, B.; Villafane, R. Capsaicin Potently Blocks Salmonella typhimurium Invasion of Vero Cells. Antibiotics 2022, 11, 666. [Google Scholar] [CrossRef]
- Liu, X.; Lin, T.; Peng, B.; Wang, X. Antibacterial activity of capsaicin-coated wool fabric. Text. Res. J. 2012, 82, 584–590. [Google Scholar] [CrossRef]
- Zhai, X.; Ju, P.; Guan, F.; Ren, Y.; Liu, X.; Wang, N.; Zhang, Y.; Duan, J.; Wang, C.; Hou, B. Electrodeposition of capsaicin-induced ZnO/Zn nanopillar films for marine antifouling and antimicrobial corrosion. Surf. Coat. Technol. 2020, 397, 125959. [Google Scholar] [CrossRef]
- Wang, W.; Hao, X.; Chen, S.; Yang, Z.; Wang, C.; Yan, R.; Zhang, X.; Liu, H.; Shao, Q.; Guo, Z. pH-responsive Capsaicin@chitosan nanocapsules for antibiofouling in marine applications. Polymer 2018, 158, 223–230. [Google Scholar] [CrossRef]
- Wang, J.; Shi, T.; Yang, X.; Han, W.; Zhou, Y. Environmental risk assessment on capsaicin used as active substance for antifouling system on ships. Chemosphere 2014, 104, 85–90. [Google Scholar] [CrossRef]
- Hao, X.; Chen, S.; Qin, D.; Zhang, M.; Li, W.; Fan, J.; Wang, C.; Dong, M.; Zhang, J.; Cheng, F.; et al. Antifouling and antibacterial behaviors of capsaicin-based pH responsive smart coatings in marine environments. Mater. Sci. Eng. C 2020, 108, 110361. [Google Scholar] [CrossRef]
- Wang, X.; Yu, L.; Liu, Y.; Jiang, X. Synthesis and fouling resistance of capsaicin derivatives containing amide groups. Sci. Total Environ. 2020, 710, 136361. [Google Scholar] [CrossRef]
- Oliveira, I.B.; Beiras, R.; Thomas, K.V.; Suter, M.J.F.; Barroso, C.M. Acute toxicity of tralopyril, capsaicin and triphenylborane pyridine to marine invertebrates. Ecotoxicology 2014, 23, 1336–1344. [Google Scholar] [CrossRef]
- Oliveira, I.B.; Groh, K.J.; Schönenberger, R.; Barroso, C.; Thomas, K.V.; Suter, M.J.F. Toxicity of emerging antifouling biocides to non-target freshwater organisms from three trophic levels. Aquat. Toxicol. 2017, 191, 164–174. [Google Scholar] [CrossRef]
- Huang, Y.; Liu, H.; Liu, S.; Li, S. Cinnamon Cassia Oil Emulsions Stabilized by Chitin Nanofibrils: Physicochemical Properties and Antibacterial Activities. J. Agric. Food Chem. 2020, 68, 14620–14631. [Google Scholar] [CrossRef]
- El Atki, Y.; Aouam, I.; El Kamari, F.; Taroq, A.; Nayme, K.; Timinouni, M.; Lyoussi, B.; Abdellaoui, A. Antibacterial activity of cinnamon essential oils and their synergistic potential with antibiotics. J. Adv. Pharm. Technol. Res. 2019, 10, 63–67. [Google Scholar] [CrossRef]
- Abers, M.; Schroeder, S.; Goelz, L.; Sulser, A.; St. Rose, T.; Puchalski, K.; Langland, J. Antimicrobial activity of the volatile substances from essential oils. BMC Complement. Med. Ther. 2021, 21, 124. [Google Scholar] [CrossRef]
- Vasconcelos, N.G.; Silva, K.E.; Croda, J.; Simionatto, S. Antibacterial activity of Cinnamomum cassia L. essential oil in a carbapenem- and polymyxin-resistant Klebsiella aerogenes strain. Rev. Soc. Bras. Med. Trop. 2020, 53, e20200032. [Google Scholar] [CrossRef]
- Vasconcelos, N.G.; De Sá Queiroz, J.H.F.; Da Silva, K.E.; De Paula Vasconcelos, P.C.; Croda, J.; Simionatto, S. Synergistic effects of Cinnamomum cassia L. essential oil in combination with polymyxin B against carbapenemase-producing Klebsiella pneumoniae and Serratia marcescens. PLoS ONE 2020, 15, e0236505. [Google Scholar] [CrossRef]
- Utchariyakiat, I.; Surassmo, S.; Jaturanpinyo, M.; Khuntayaporn, P.; Chomnawang, M.T. Efficacy of cinnamon bark oil and cinnamaldehyde on anti-multidrug resistant Pseudomonas aeruginosa and the synergistic effects in combination with other antimicrobial agents. BMC Complement. Altern. Med. 2016, 16, 158. [Google Scholar] [CrossRef]
- Kacaniova, M.; Galovicova, L.; Valkova, V.; Tvrda, E.; Terentjeva, M.; Ziarovska, J.; Kunova, S.; Savitskaya, T.; Grinshpan, D.; Stefanikova, J.; et al. Antimicrobial and antioxidant activities of Cinnamomum cassia essential oil and its application in food preservation. Open Chem. 2021, 19, 214–227. [Google Scholar] [CrossRef]
- Ferreira, L.R.; Rosário, D.K.A.; Silva, P.I.; Carneiro, J.C.S.; Pimentel Filho, N.J.; Bernardes, P.C. Cinnamon essential oil reduces adhesion of food pathogens to polystyrene. Int. Food Res. J. 2019, 26, 1103–1110. [Google Scholar]
- Cox, H.J.; Li, J.; Saini, P.; Paterson, J.R.; Sharples, G.J.; Badyal, J.P.S. Bioinspired and eco-friendly high efficacy cinnamaldehyde antibacterial surfaces. J. Mater. Chem. B 2021, 9, 2918–2930. [Google Scholar] [CrossRef]
- Cuzman, O.A.; Camaiti, M.; Sacchi, B.; Tiano, P. Natural antibiofouling agents as new control method for phototrophic biofilms dwelling on monumental stone surfaces. Int. J. Conserv. Sci. 2011, 2, 3–16. [Google Scholar]
- Mertsch, R.; Meyer, J.; Michael, G.; Rochnia, A.; Schultz, T.; Tscherjaew, J.; European Patent Application. EP 2 281 855 A1, 09/02/2011. Available online: https://patents.google.com/patent/EP2281855A1/en?q=(Antifouling+additive+coating+systems+in+contact+with+water)&oq=Antifouling+additive+for+coating+systems+in+contact+with+water+ (accessed on 5 October 2023).
- Liu, J.; Sun, J.; Duan, J.; Dong, X.; Wang, X.; Liu, C.; Hou, B. Capsaicin-Modified Fluorosilicone Based Acrylate Coating for Marine Anti-Biofouling. Coatings 2022, 12, 988. [Google Scholar] [CrossRef]
- Deva Krupa, A.N.; Vimala, R. AgNPs doped TEOS sol–gel coatings to prevent the adhesion of marine fouling organisms. IET Nanobiotechnology 2018, 12, 99–105. [Google Scholar] [CrossRef]
- Krupa, A.N.D.; Vimala, R. Evaluation of tetraethoxysilane (TEOS) sol-gel coatings, modified with green synthesized zinc oxide nanoparticles for combating microfouling. Mater. Sci. Eng. C 2016, 61, 728–735. [Google Scholar] [CrossRef] [PubMed]
- Li, P.; Su, X.; Hao, D.; Yang, M.; Gui, T.; Cong, W.; Jiang, W.; Ge, X.; Guo, X. One-pot method for preparation of capsaicin-containing double-network hydrogels for marine antifouling. RSC Adv. 2022, 12, 15613–15622. [Google Scholar] [CrossRef]
- Wanka, R.; Koc, J.; Clarke, J.; Hunsucker, K.Z.; Swain, G.W.; Aldred, N.; Finlay, J.A.; Clare, A.S.; Rosenhahn, A. Sol-Gel-Based Hybrid Materials as Antifouling and Fouling-Release Coatings for Marine Applications. ACS Appl. Mater. Interfaces 2020, 12, 53286–53296. [Google Scholar] [CrossRef]
- Krzak, J.; Szczurek, A.; Babiarczuk, B.; Gąsiorek, J. Sol-Gel Surface Functionalization Regardless of Form and Type of Substrate; Elsevier: Amsterdam, The Netherlands, 2020; ISBN 9780128213810. [Google Scholar]
- Rahimi, H.; Mozaffarinia, R.; Hojjati Najafabadi, A.; Shoja Razavi, R.; Paimozd, E. Optimization of process factors for the synthesis of advanced chrome-free nanocomposite sol-gel coatings for corrosion protection of marine aluminum alloy AA5083 by design of experiment. Prog. Org. Coat. 2013, 76, 307–317. [Google Scholar] [CrossRef]
- Kiomarsipour, N.; Eshaghi, A.; Ramazani, M.; Zabolian, H.; Abbasi-Firouzjah, M. Preparation and evaluation of high-transparent scratch-resistant thin films on plasma treated polycarbonate substrate. Arab. J. Chem. 2023, 16, 104667. [Google Scholar] [CrossRef]
- Su, C.; Hong, B.Y.; Tseng, C.M. Sol-gel preparation and photocatalysis of titanium dioxide. Catal. Today 2004, 96, 119–126. [Google Scholar] [CrossRef]
- Neto, E.P.F.; Simões, M.B.; Noveletto, J.C.; Yabarrena, J.M.S.C.; Ullah, S.; Filho, U.P.R. The effect of ormosil matrix composition and alkaline earth metal doping on the photochromic response of ormosil-phosphotungstate films. J. Braz. Chem. Soc. 2015, 26, 2598–2606. [Google Scholar] [CrossRef]
- Monteiro, D.A.; Gozzi, G.; Chinaglia, D.L.; Oliveira, O.N.; de Vicente, F.S. Proton conduction mechanisms in GPTMS/TEOS-derived organic/silica hybrid films prepared by sol-gel process. Synth. Met. 2020, 267, 116448. [Google Scholar] [CrossRef]
- Ashraf, P.M.; Edwin, L. Nano copper oxide incorporated polyethylene glycol hydrogel: An efficient antifouling coating for cage fishing net. Int. Biodeterior. Biodegrad. 2016, 115, 39–48. [Google Scholar] [CrossRef]
- Canada, P.; Pereira, A.; Nogueira, N.; Png-Gonzalez, L.; Andrade, C.; Xavier, R. Analysis of bacterial microbiome associated with nylon and copper nets in an aquaculture context. Aquaculture 2020, 516, 734540. [Google Scholar] [CrossRef]
- González, E.P.; Hurtado, C.F.; Gace, L.; Augsburger, A. Economic Impacts of Using Copper Alloy Mesh in Trout Aquaculture: Chilean Example. Aquac. Econ. Manag. 2013, 17, 71–86. [Google Scholar] [CrossRef]
- Dong, S.; You, X.; Hu, F. Effects of wave forces on knotless polyethylene and chain-link wire netting panels for marine aquaculture cages. Ocean Eng. 2020, 207, 107368. [Google Scholar] [CrossRef]
- Nelo, M.; Myllymäki, S.; Juuti, J.; Uusimäki, A.; Jantunen, H. Cobalt Nanoparticle Inks for Printed High Frequency Applications on Polycarbonate. J. Electron. Mater. 2015, 44, 4884–4890. [Google Scholar] [CrossRef]
- Properties, M.; Mucosa, H.O. Technical Report, 3rd Resear; Pulse Lab Jakarta: Central Jakarta, Indonesia, 2017; pp. 22–25. [Google Scholar]
- Wiegand, C.; Völpel, A.; Ewald, A.; Remesch, M.; Kuever, J.; Bauer, J.; Griesheim, S.; Hauser, C.; Thielmann, J.; Tonndorf-Martini, S.; et al. Critical physiological factors influencing the outcome of antimicrobial testing according to ISO 22196/JIS Z 2801. PLoS ONE 2018, 13, e0194339. [Google Scholar] [CrossRef]
- SERNAPESCA Sernapesca al Dia, Seiscientas Certificaciones de Desembarque en Quince Días. Available online: http://www.sernapesca.cl/noticias/region-del-biobio#:~:text=En%20cuanto%20a%20la%20acuicultura,alevinaje%20y%20smolts%20(cr%C3%ADas) (accessed on 5 October 2023).
- Doyle, A.A.; Stephens, J.C. A review of cinnamaldehyde and its derivatives as antibacterial agents. Fitoterapia 2019, 139, 104405. [Google Scholar] [CrossRef]
- Hołowacz, I.; Podbielska, H.; Bauer, J.; Ulatowska-Jarża, A. Viscosity, surface tension and refractive index of tetraethylorthosilicate-based sol-gel materials depending on ethanol content. Opt. Appl. 2005, 35, 691–699. [Google Scholar]
- Fidalgo, A.; Ilharco, L.M. The defect structure of sol-gel-derived silica/polytetrahydrofuran hybrid films by FTIR. J. Non. Cryst. Solids 2001, 283, 144–154. [Google Scholar] [CrossRef]
- Merino, E.; Durán, A.; Ceré, S.; Castro, Y. Hybrid Epoxy-Alkyl Sol—Gel Coatings Reinforced with SiO2 Mg Alloy. Gels 2022, 8, 242. [Google Scholar] [CrossRef]
- Tiringer, U.; Milošev, I.; Durán, A.; Castro, Y. Hybrid sol–gel coatings based on GPTMS/TEOS containing colloidal SiO2 and cerium nitrate for increasing corrosion protection of aluminium alloy 7075-T6. J. Sol-Gel Sci. Technol. 2018, 85, 546–557. [Google Scholar] [CrossRef]
- The OSHA Hazard Communication Standard 29 CFR 1910.1200 Safety Data Sheet. Mater. Saf. Data Sheet 2012, 4, 1–6.
Disclaimer/Publisher’s Note: The statements, opinions and data contained in all publications are solely those of the individual author(s) and contributor(s) and not of MDPI and/or the editor(s). MDPI and/or the editor(s) disclaim responsibility for any injury to people or property resulting from any ideas, methods, instructions or products referred to in the content. |
© 2023 by the authors. Licensee MDPI, Basel, Switzerland. This article is an open access article distributed under the terms and conditions of the Creative Commons Attribution (CC BY) license (https://creativecommons.org/licenses/by/4.0/).






