Experimental Exploration, RSM Modeling, and DFT/MD Simulations of the Anticorrosion Performance of Naturally Occurring Amygdalin and Raffinose for Aluminum in NaOH Solution
Abstract
1. Introduction
2. Experimental
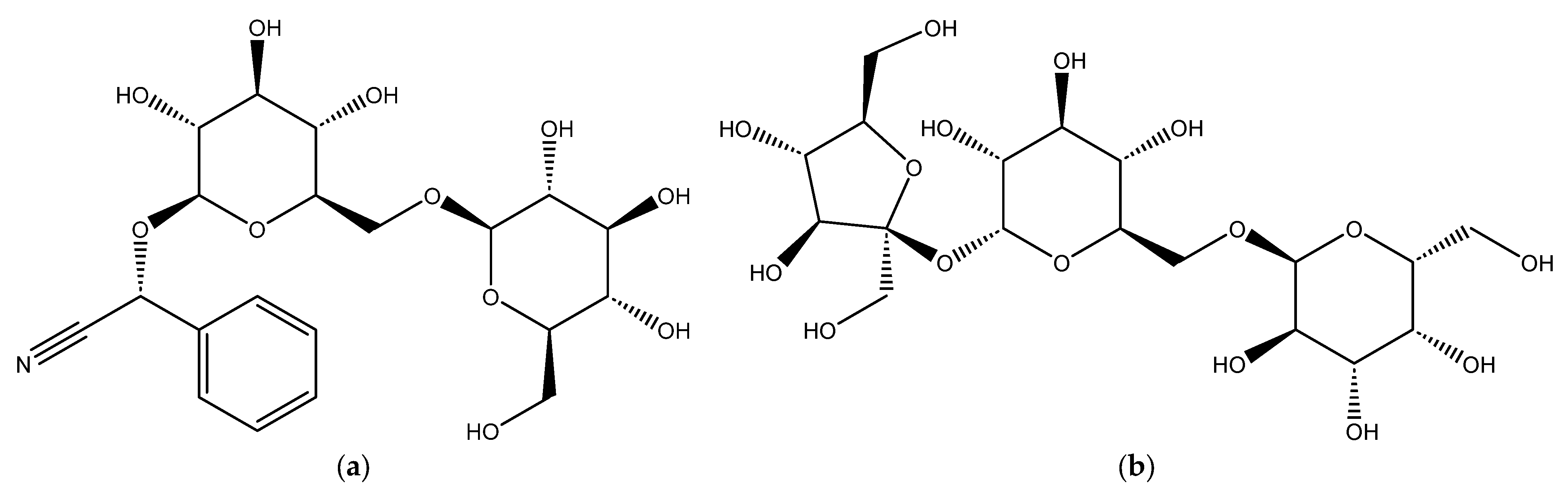
2.1. Materials
2.2. Methods and Instruments
2.3. Response Surface Methodology (RSM)
2.4. Computations for Quantum Chemistry
2.5. Molecular Dynamic (MD) Simulation
3. Results and Discussion
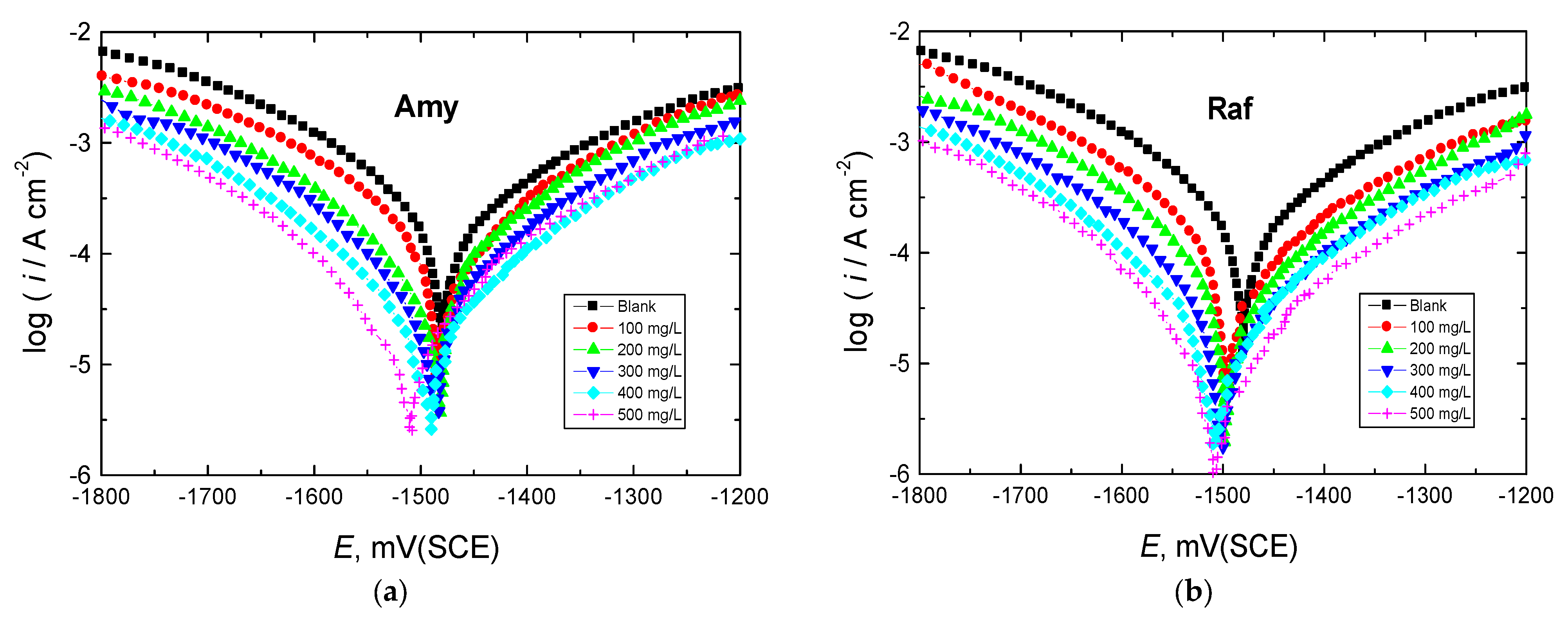
3.1. PDP Measurements
3.1.1. OCP
3.1.2. Effect of Corrosive Medium Concentration
3.1.3. Effect of the Examined Compounds
3.2. EIS Measurements
3.3. WL Measurements
3.3.1. Effect of Inhibitors’ Concentrations at Different Temperatures
3.3.2. Adsorption Isotherms
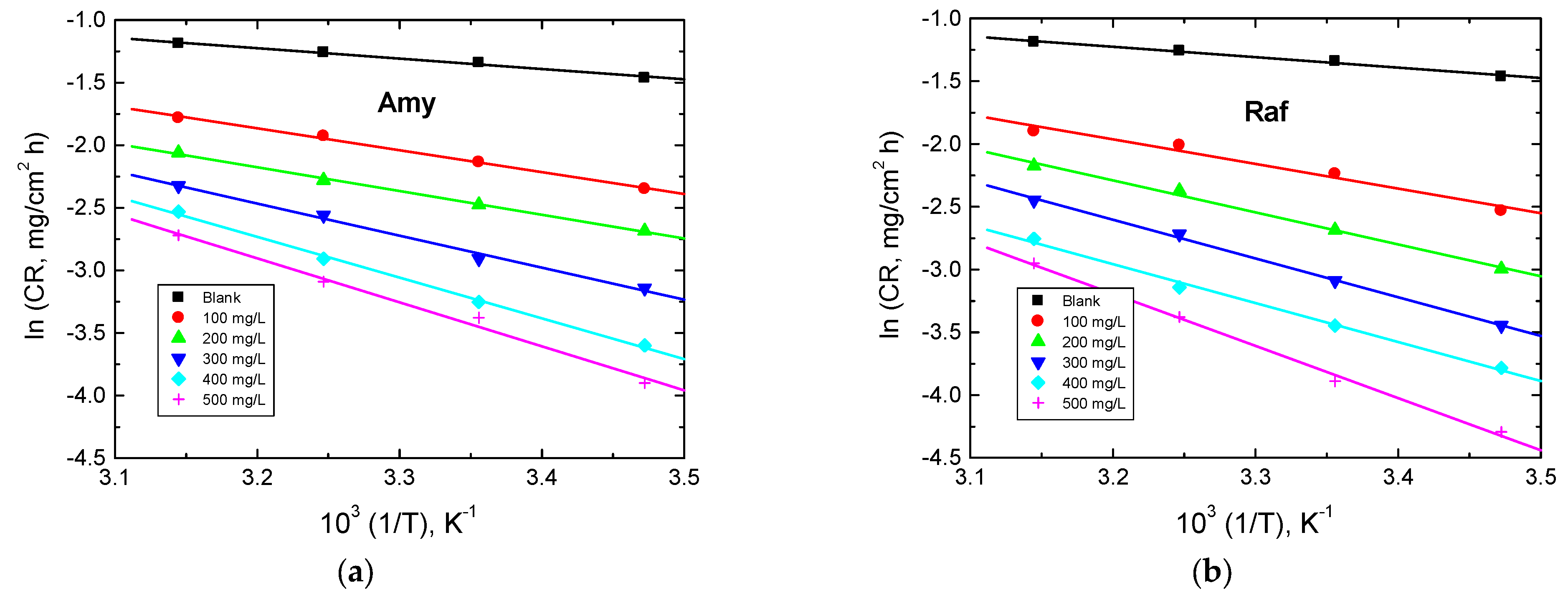
3.3.3. Thermodynamic Parameters
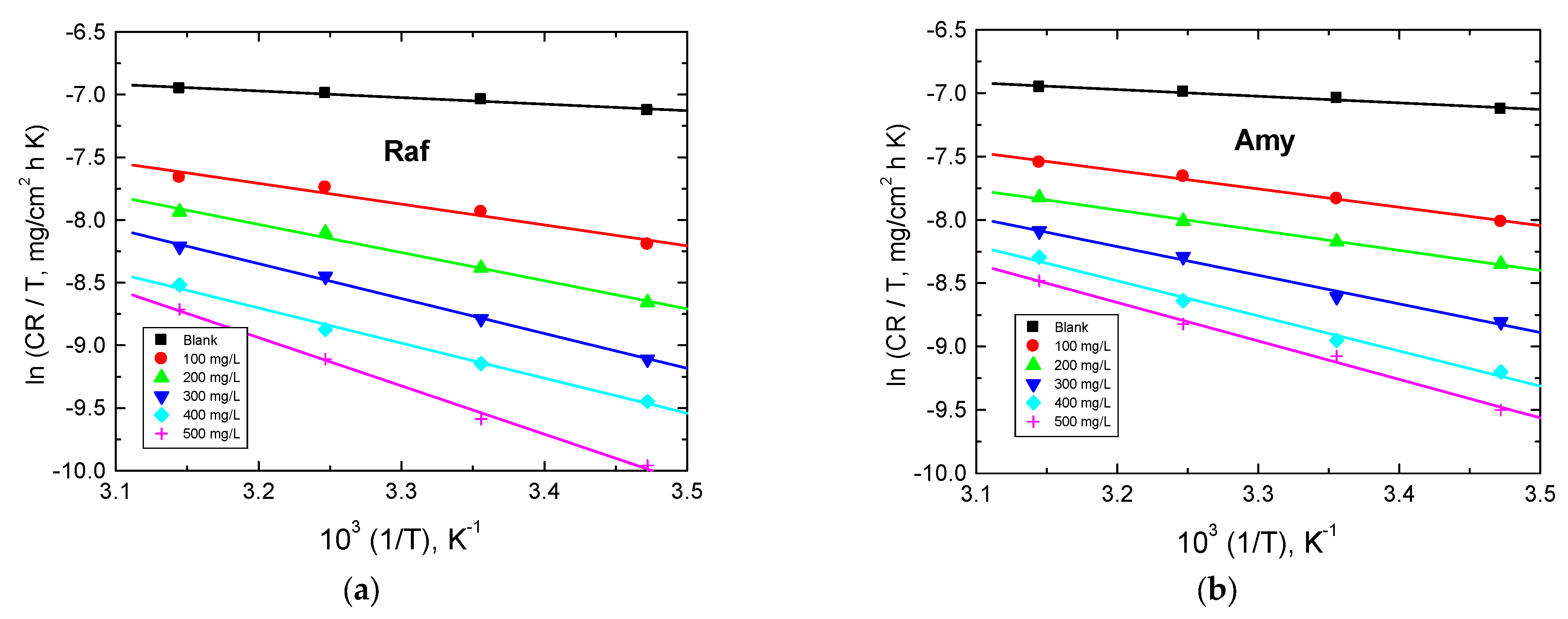
3.3.4. Kinetic Parameters
3.3.5. Kinetics of Aluminum Corrosion and Its Inhibition
3.4. Surface Examination
3.5. Mechanisms of Aluminum Corrosion and Its Inhibition
3.6. Surface Response Methodology (RSM)
3.7. Studies on Quantum Chemistry
3.8. Molecular Dynamic (MD) Simulations
4. Conclusions
- The inhibition of Al corrosion in 0.1 M NaOH medium by amygdalin and raffinose was investigated at fixed temperatures using various techniques.
- The examined compounds were set to be efficient inhibitors against Al corrosion.
- The values of the inhibition efficiencies (%IEs) of the examined compounds depended on the concentrations and structures of these compounds.
- The compounds acted as mixed-kind inhibitors with a trivial cathodic priority.
- The gained values of %IEs of raffinose were slightly greater than amygdalin.
- The values of %IEs decreased with increasing the temperature.
- The gained high values of %IEs were attributed to the effective adsorption of the compounds’ molecules on the Al surface, which agreed with the Langmuir adsorption isotherm.
- Thermodynamic and kinetic parameters were evaluated and debated.
- The kinetics of corrosion inhibition by the examined compounds were investigated.
- The mechanisms of Al corrosion and its inhibition were discussed.
- The results acquired from all utilized tools were set to be in a good agreement with each other, confirming the validity of the obtained results of the existing study.
- The relationships among the involvement parameters and the anticipated comeback (output) have been expertly evaluated by means of the quadratic perfect using RSM.
- The findings of the theoretical studies on the Al(111) surface were consistent with the testing findings and statistical studies and demonstrated a significant interaction between the Amy and Raf molecules and the Al surface.
Author Contributions
Funding
Institutional Review Board Statement
Informed Consent Statement
Data Availability Statement
Acknowledgments
Conflicts of Interest
References
- Fawzy, A.; Toghan, A.; Alqarni, N.; Morad, M.; Zaki, M.E.A.; Sanad, M.M.S.; Alakhras, A.I.; Farag, A.A. Experimental and Computational Exploration of Chitin, Pectin, and Amylopectin Polymers as Efficient Eco-Friendly Corrosion Inhibitors for Mild Steel in an Acidic Environment. Kinetic, Thermodynamic, and Mechanistic Aspects. Polymers 2023, 15, 891. [Google Scholar] [CrossRef] [PubMed]
- Fawzy, A.; Abdallah, M.; Zaafarany, I.A.; Ahmed, S.A.; Althagafi, I.I. Thermodynamic, Kinetic and Mechanistic Approach to the Corrosion Inhibition of Carbon Steel by New Synthesized Amino Acids-Based Surfactants as Green Inhibitors in Neutral and Alkaline Aqueous Media. J. Mol. Liq. 2018, 265, 276–291. [Google Scholar] [CrossRef]
- El-Ghamry, H.A.; Fawzy, A.; Farghaly, T.A.; Bawazeer, T.M.; Alqarni, N.; Alkhatib, F.M.; Gaber, M. Evaluation of the Efficiency of Divalent Cobalt and Copper Chelates Based on Isatin Derivatives and Thiosemicarbazide Ligands as Inhibitors for the Corrosion of Sabic Iron in Acidic Medium. Arab. J. Chem. 2022, 15, 103522. [Google Scholar] [CrossRef]
- Heikal, M.; Ali, A.; Ibrahim, B.; Toghan, A. Electrochemical and physico-mechanical characterizations of fly ash-composite cement. Constr. Build. Mater. 2020, 243, 118309. [Google Scholar] [CrossRef]
- El-Lateef, H.M.A.; El-Beltagi, H.S.; Mohamed, M.E.M.; Kandeel, M.; Bakir, E.; Toghan, A.; Shalabi, K.; Tantawy, A.H.; Khalaf, M.M. Novel Natural Surfactant-Based Fatty Acids and Their Corrosion-Inhibitive Characteristics for Carbon Steel-Induced Sweet Corrosion: Detailed Practical and Computational Explorations. Front. Mater. 2022, 9, 843438. [Google Scholar] [CrossRef]
- Fawzy, A.; Farghaly, T.A.; Al Bahir, A.A.; Hameed, A.M.; Alharbi, A.; El-Ossaily, Y.A. Investigation of Three Synthesized Propane Bis-Oxoindoline Derivatives as Inhibitors for the Corrosion of Mild Steel in Sulfuric Acid Solutions. J. Mol. Struct. 2021, 1223, 129318. [Google Scholar] [CrossRef]
- Toghan, A.; Khairy, M.; Huang, M.; Gadow, H. Electrochemical, surface analysis, and theoretical investigation of 3-hydroxy-5-(phenylamino)-4-(p-tolyldiazenyl)thiophen-2-yl)(phenyl)methanone as a corrosion inhibitor for carbon steel in a molar hydrochloric acid solution. Int. J. Electrochem. Sci. 2023, 18, 100070. [Google Scholar] [CrossRef]
- Alfakeer, M.; Abdallah, M.; Fawzy, A. Corrosion inhibition effect of expired ampicillin and flucloxacillin drugs for mild steel in aqueous acidic medium. Int. J. Electrochem. Sci. 2020, 15, 3283–3297. [Google Scholar] [CrossRef]
- Abdallah, M.; Fawzy, A.; Al Bahir, A. Expired Amoxicillin and Cefuroxime Drugs as Efficient Anticorrosives for Sabic Iron in 1.0 M Hydrochloric Acid Solution. Chem. Eng. Commun. 2022, 209, 158–170. [Google Scholar] [CrossRef]
- Farag, A.A.; Mohamed, E.A.; Toghan, A. The New Trends in Corrosion Control Using Superhydrophobic Surfaces: A Review. Corros. Rev. 2023, 41, 21–37. [Google Scholar] [CrossRef]
- Mohamed, H.A.; Farag, A.A.; Badran, B.M. Corrosion Inhibitiob of Mild Steel Using Emulsified Thiazole Adduct in Different Binder Systems. Eurasian Chem. J. 2008, 10, 67–77. [Google Scholar]
- Toghan, A.; Khairy, M.; Huang, M.; Farag, A.A. Electrochemical, chemical and theoretical exploration of the corrosion inhibition of carbon steel with new imidazole-carboxamide derivatives in an acidic environment. Int. J. Electrochem. Sci. 2023, 18, 100072. [Google Scholar] [CrossRef]
- Davis, J.R. Corrosion of Aluminum and Aluminum Alloys; ASM International: Materials Park, OH, USA, 1999. [Google Scholar]
- Revie, R.W. Uhlig’s Corrosion Handbook, 3rd ed.; Wiley: Hoboken, NJ, USA, 2011; ISBN 978-0-470-08032-0. [Google Scholar]
- Elboujdaini, M.; Ghali, E.; Barradas, R.G.; Girgis, M. An Electrochemical Investigation of the Behaviour of Aluminum Alloys in Different Electrolytes. Corros. Sci. 1990, 30, 855–867. [Google Scholar] [CrossRef]
- McCafferty, E. Introduction to Corrosion Science; Springer: New York, NY, USA, 2010; ISBN 978-1-4419-0454-6. [Google Scholar]
- Xhanari, K.; Finšgar, M. Organic Corrosion Inhibitors for Aluminium and Its Alloys in Acid Solutions: A Review. RSC Adv. 2016, 6, 62833–62857. [Google Scholar] [CrossRef]
- Abdallah, M.; Hazazi, O.A.; Fawzy, A.; El-Shafei, S.; Fouda, A.S. Influence of N-Thiazolyl-2-Cyanoacetamide Derivatives on the Corrosion of Aluminum in 0.01 M Sodium Hydroxide. Prot. Met. Phys. Chem. Surfaces 2014, 50, 659–666. [Google Scholar] [CrossRef]
- Ma, Y.; Zhou, X.; Thompson, G.E.; Skeldon, P. Surface Texture Formed on AA2099 Al–Li–Cu Alloy during Alkaline Etching. Corros. Sci. 2013, 66, 292–299. [Google Scholar] [CrossRef]
- Egan, D.R.; Ponce de León, C.; Wood, R.J.K.; Jones, R.L.; Stokes, K.R.; Walsh, F.C. Developments in Electrode Materials and Electrolytes for Aluminium–Air Batteries. J. Power Sources 2013, 236, 293–310. [Google Scholar] [CrossRef]
- Fawzy, A.; Toghan, A. Inhibition Evaluation of Chromotrope Dyes for the Corrosion of Mild Steel in an Acidic Environment: Thermodynamic and Kinetic Aspects. ACS Omega 2021, 6, 4051–4061. [Google Scholar] [CrossRef]
- Shaban, M.M.; Negm, N.A.; Farag, R.K.; Fadda, A.A.; Gomaa, A.E.; Farag, A.A.; Migahed, M.A. Anti-Corrosion, Antiscalant and Anti-Microbial Performance of Some Synthesized Trimeric Cationic Imidazolium Salts in Oilfield Applications. J. Mol. Liq. 2022, 351, 118610. [Google Scholar] [CrossRef]
- Farag, A.A.; Eid, A.M.; Shaban, M.M.; Mohamed, E.A.; Raju, G. Integrated Modeling, Surface, Electrochemical, and Biocidal Investigations of Novel Benzothiazoles as Corrosion Inhibitors for Shale Formation Well Stimulation. J. Mol. Liq. 2021, 336, 116315. [Google Scholar] [CrossRef]
- Farag, A.A.; Badr, E.A. Non-Ionic Surfactant Loaded on Gel Capsules to Protect Downhole Tubes from Produced Water in Acidizing Oil Wells. Corros. Rev. 2020, 38, 151–164. [Google Scholar] [CrossRef]
- Tang, L.; Mu, G.; Liu, G. The Effect of Neutral Red on the Corrosion Inhibition of Cold Rolled Steel in 1.0 M Hydrochloric Acid. Corros. Sci. 2003, 45, 2251–2262. [Google Scholar] [CrossRef]
- Toghan, A.; Gouda, M.; Shalabi, K.; El-Lateef, H.M.A. Preparation, Characterization, and Evaluation of Macrocrystalline and Nanocrystalline Cellulose as Potential Corrosion Inhibitors for SS316 Alloy during Acid Pickling Process: Experimental and Computational Methods. Polymers 2021, 13, 2275. [Google Scholar] [CrossRef]
- Farag, A.A.; Toghan, A.; Mostafa, M.S.; Lan, C.; Ge, G. Environmental Remediation through Catalytic Inhibition of Steel Corrosion by Schiff’s Bases: Electrochemical and Biological Aspects. Catalysts 2022, 12, 838. [Google Scholar] [CrossRef]
- Satpati, S.; Suhasaria, A.; Ghosal, S.; Dey, S.; Sukul, D. Interaction of Newly Synthesized Dipeptide Schiff Bases with Mild Steel Surface in Aqueous HCl: Experimental and Theoretical Study on Thermodynamics, Adsorption and Anti-Corrosion Characteristics. Mater. Chem. Phys. 2023, 296, 127200. [Google Scholar] [CrossRef]
- Nie, Y.; Gao, J.; Wang, E.; Jiang, L.; An, L.; Wang, X. An Effective Hybrid Organic/Inorganic Inhibitor for Alkaline Aluminum-Air Fuel Cells. Electrochim. Acta 2017, 248, 478–485. [Google Scholar] [CrossRef]
- Chauhan, D.S.; Quraishi, M.A.; Jafar Mazumder, M.A.; Ali, S.A.; Aljeaban, N.A.; Alharbi, B.G. Design and Synthesis of a Novel Corrosion Inhibitor Embedded with Quaternary Ammonium, Amide and Amine Motifs for Protection of Carbon Steel in 1 M HCl. J. Mol. Liq. 2020, 317, 113917. [Google Scholar] [CrossRef]
- Yang, L.; Wu, Y.; Chen, S.; Xiao, Y.; Chen, S.; Zheng, P.; Wang, J.; Qu, J.-E. A Promising Hybrid Additive for Enhancing the Performance of Alkaline Aluminum-Air Batteries. Mater. Chem. Phys. 2021, 257, 123787. [Google Scholar] [CrossRef]
- Riggs, O.L., Jr.; Nathan, C.C. Corrosion Inhibitors; CC Nathan: Houston, TX, USA, 1973. [Google Scholar]
- Fawzy, A.; El-Sayed, R.; Al Bahir, A.; Morad, M.; Althagafi, I.; Althagafy, K. Assessment of New Designed Surfactants as Eco-Friendly Inhibitors for the Corrosion of Steel in Acidic Environment and Evaluation of Their Biological and Surface Features: Thermodynamic, Kinetic and Mechanistic Aspects. J. Adhes. Sci. Technol. 2022, 36, 1993–2019. [Google Scholar] [CrossRef]
- Advances in Corrosion Science and Technology; Fontana, M.G., Staehle, R.W., Eds.; Springer US: Boston, MA, USA, 1970; ISBN 978-1-4615-8254-0. [Google Scholar]
- Reis, F.M.; de Melo, H.G.; Costa, I. EIS Investigation on Al 5052 Alloy Surface Preparation for Self-Assembling Monolayer. Electrochim. Acta 2006, 51, 1780–1788. [Google Scholar] [CrossRef]
- Quraishi, M.; Rawat, J. Inhibition of Mild Steel Corrosion by Some Macrocyclic Compounds in Hot and Concentrated Hydrochloric Acid. Mater. Chem. Phys. 2002, 73, 118–122. [Google Scholar] [CrossRef]
- Lorenz, W.J.; Mansfeld, F. Determination of Corrosion Rates by Electrochemical DC and AC Methods. Corros. Sci. 1981, 21, 647–672. [Google Scholar] [CrossRef]
- Amer, A.; Sayed, G.H.; Ramadan, R.M.; Rabie, A.M.; Negm, N.A.; Farag, A.A.; Mohammed, E.A. Assessment of 3-Amino-1H-1,2,4-Triazole Modified Layered Double Hydroxide in Effective Remediation of Heavy Metal Ions from Aqueous Environment. J. Mol. Liq. 2021, 341, 116935. [Google Scholar] [CrossRef]
- Wahab, M.M.A.; Sayed, G.H.; Ramadan, R.M.; Mady, A.H.; Rabie, A.M.; Farag, A.A.; Negm, N.A.; Mohamed, E.A. Synergistic Effects of Graphene Oxide Grafted with Barbituric Acid Nanocomposite for Removal of Heavy Metals from Aqueous Solution. Nanotechnol. Environ. Eng. 2022, 1–13. [Google Scholar]
- Abd El-Lateef, H.M.; Shaaban, S.; Khalaf, M.M.; Toghan, A.; Shalabi, K. Synthesis, experimental, and computational studies of water soluble anthranilic organoselenium compounds as safe corrosion inhibitors for J55 pipeline steel in acidic oilfield formation water. Colloids Surf. A Physicochem. Eng. Asp. 2021, 625, 126894. [Google Scholar] [CrossRef]
- Shaban, S.M.; a Badr, E.; Shenashen, M.A.; Farag, A.A. Fabrication and Characterization of Encapsulated Gemini Cationic Surfactant as Anticorrosion Material for Carbon Steel Protection in Down-Hole Pipelines. Environ. Technol. Innov. 2021, 23, 101603. [Google Scholar] [CrossRef]
- Toghan, A.; Fawzy, A.; Alakhras, A.I.; Farag, A.A. Electrochemical and Theoretical Examination of Some Imine Compounds as Corrosion Inhibitors for Carbon Steel in Oil Wells Formation Water. Int. J. Electrochem. Sci. 2022, 17, 2212108. [Google Scholar] [CrossRef]
- Farag, A.A. Oil-in-Water Emulsion of a Heterocyclic Adduct as a Novel Inhibitor of API X52 Steel Corrosion in Acidic Solution. Corros. Rev. 2018, 36, 575–588. [Google Scholar] [CrossRef]
- Jeeja Rani, A.T.; Sreelakshmi, T.; Joseph, A. Effect of the Addition of Potassium Iodide and Thiourea on the Corrosion Inhibition Effect of Aqueous Extract of Ayapana Triplinervis towards Mild Steel in HCl at Elevated Temperatures-Theoretical, Electrochemical and Surface Studies. J. Mol. Liq. 2022, 366, 120211. [Google Scholar] [CrossRef]
- Alqarni, N.; El-Gammal, B.; Fawzy, A.; Al Bahir, A.; Toghan, A. Investigation of Expired Ticarcillin and Carbenicillin Drugs for Inhibition of Aluminum Corrosion in Hydrochloric Acid Solution. J. Electrochem. Sci. 2022, 17, 2212113. [Google Scholar] [CrossRef]
- Mobin, M.; Parveen, M.; Huda; Aslam, R. Effect of Different Additives, Temperature, and Immersion Time on the Inhibition Behavior of L-Valine for Mild Steel Corrosion in 5% HCl Solution. J. Phys. Chem. Solids 2022, 161, 110422. [Google Scholar] [CrossRef]
- Douadi, T.; Hamani, H.; Daoud, D.; Al-Noaimi, M.; Chafaa, S. Effect of Temperature and Hydrodynamic Conditions on Corrosion Inhibition of an Azomethine Compounds for Mild Steel in 1M HCl Solution. J. Taiwan Inst. Chem. Eng. 2017, 71, 388–404. [Google Scholar] [CrossRef]
- Dehghani, A.; Ramezanzadeh, B. Rosemary Extract Inhibitive Behavior against Mild Steel Corrosion in Tempered 1 M HCl Media. Ind. Crops Prod. 2023, 193, 116183. [Google Scholar] [CrossRef]
- Toghan, A.; Gadow, H.; Dardeer, H.M.; Elabbasy, H. New promising halogenated cyclic imides derivatives as Potential Corrosion Inhibitors for Carbon Steel in Acidic Environment. J. Mol. Liq. 2021, 325, 115136. [Google Scholar] [CrossRef]
- Sami, B.A. Highly Efficient Corrosion Inhibition of Carbon Steel in Aggressive Acidic Media with a Pyridazinium-Based Ionic Liquid. Int. J. Electrochem. Sci. 2013, 8, 10788–10804. [Google Scholar]
- Shetty, S.K.; Shetty, A.N. Eco-Friendly Benzimidazolium Based Ionic Liquid as a Corrosion Inhibitor for Aluminum Alloy Composite in Acidic Media. J. Mol. Liq. 2017, 225, 426–438. [Google Scholar] [CrossRef]
- Zhang, Q.; Hua, Y. Corrosion Inhibition of Aluminum in Hydrochloric Acid Solution by Alkylimidazolium Ionic Liquids. Mater. Chem. Phys. 2010, 119, 57–64. [Google Scholar] [CrossRef]
- Dražić, D.M.; Zečević, S.K.; Atanasoski, R.T.; Despić, A.R. The Effect of Anions on the Electrochemical Behaviour of Aluminium. Electrochim. Acta 1983, 28, 751–755. [Google Scholar] [CrossRef]
- Abdelshafi, N.S.; Sadik, M.A.; Shoeib, M.A.; Halim, S.A. Corrosion Inhibition of Aluminum in 1 M HCl by Novel Pyrimidine Derivatives, EFM Measurements, DFT Calculations and MD Simulation. Arab. J. Chem. 2022, 15, 103459. [Google Scholar] [CrossRef]
- Pyun, S.-I.; Moon, S.-M. Corrosion Mechanism of Pure Aluminium in Aqueous Alkaline Solution. J. Solid State Electrochem. 2000, 4, 267–272. [Google Scholar] [CrossRef]
- Moon, S.; Pyun, S.-I. The Formation and Dissolution of Anodic Oxide Films on Pure Aluminium in Alkaline Solution. Electrochim. Acta 1999, 44, 2445–2454. [Google Scholar] [CrossRef]
- Prakashaiah, B.G.; Vinaya Kumara, D.; Anup Pandith, A.; Nityananda Shetty, A.; Amitha Rani, B.E. Corrosion Inhibition of 2024-T3 Aluminum Alloy in 3.5% NaCl by Thiosemicarbazone Derivatives. Corros. Sci. 2018, 136, 326–338. [Google Scholar] [CrossRef]
- Khadom, A.A.; Abd, A.N.; Ahmed, N.A. Xanthium Strumarium Leaves Extracts as a Friendly Corrosion Inhibitor of Low Carbon Steel in Hydrochloric Acid: Kinetics and Mathematical Studies. S. Afr. J. Chem. Eng. 2018, 25, 13–21. [Google Scholar] [CrossRef]
- Olawale, O.; Ogunsemi, B.T.; Bello, J.O.; Ikubanni, P.P.; Ogundipe, S.J.; Abayomi, T.S. Optimisation and Modelling of Aluminium Corrosion Inhibition Using Almond Prunus Amydgdalus) Fruit Leaves Extract as Green Inhibitor in Hcl Acidic Medium. Int. J. Mech. Eng. Technol. 2018, 9, 1274–1285. [Google Scholar]
- Migahed, M.A.; Farag, A.A.; Elsaed, S.M.; Kamal, R.; Abd El-Bary, H. Corrosion Inhibition of Carbon Steel in Formation Water of Oil Wells by Some Schiff Base Non Ionic Surfactants. In Proceedings of the European Corrosion Congress EUROCORR 2009, Nice, France, 6–10 September 2009. [Google Scholar]
- Hashem, H.E.; Farag, A.A.; Mohamed, E.A.; Azmy, E.M. Experimental and Theoretical Assessment of Benzopyran Compounds as Inhibitors to Steel Corrosion in Aggressive Acid Solution. J. Mol. Struct. 2022, 1249, 131641. [Google Scholar] [CrossRef]
- Mohamed, E.A.; Hashem, H.E.; Azmy, E.M.; Negm, N.A.; Farag, A.A. Synthesis, Structural Analysis, and Inhibition Approach of Novel Eco-Friendly Chalcone Derivatives on API X65 Steel Corrosion in Acidic Media Assessment with DFT & MD Studies. Environ. Technol. Innov. 2021, 24, 101966. [Google Scholar] [CrossRef]
- Toghan, A.; Fawzy, A.; Al Bahir, A.; Alqarni, N.; Sanad, M.M.S.; Khairy, M.; Alakhras, A.I.; Farag, A.A. Computational Foretelling and Experimental Implementation of the Performance of Polyacrylic Acid and Polyacrylamide Polymers as Eco-Friendly Corrosion Inhibitors for Copper in Nitric Acid. Polymers 2022, 14, 4802. [Google Scholar] [CrossRef]
- Farag, A.A.; Abdallah, H.E.; Badr, E.A.; Mohamed, E.A.; Ali, A.I.; El-Etre, A.Y. The Inhibition Performance of Morpholinium Derivatives on Corrosion Behavior of Carbon Steel in the Acidized Formation Water: Theoretical, Experimental and Biocidal Evaluations. J. Mol. Liq. 2021, 341, 117348. [Google Scholar] [CrossRef]


















| [NaOH] M | Ecorr (mV(SCE)) | βa (mV/Decade) | βc (mV/Decade) | icorr (µA/cm2) | Rp (ohm cm2) |
|---|---|---|---|---|---|
| 0.05 | −1476 | 217 | −174 | 179 | 235 |
| 0.10 | −1482 | 214 | −188 | 233 | 187 |
| 0.25 | −1497 | 223 | −184 | 251 | 174 |
| 0.50 | −1518 | 237 | −201 | 288 | 164 |
| 1.00 | −1533 | 231 | −213 | 324 | 149 |
| Inh. | Conc. (mg/L) | Ecorr (mV(SCE)) | βa (mV/dec.) | βc (mV/dec.) | icorr (µA/cm2) | Rp (ohm cm2) | %IE | θ |
|---|---|---|---|---|---|---|---|---|
| 0 | −1482 | 214 | −188 | 233 | 187 | -- | -- | |
| Amy | 100 | −1485 | 194 | −191 | 89 | 470 | 62 | 0.62 |
| 200 | −1490 | 185 | −178 | 63 | 626 | 73 | 0.73 | |
| 300 | −1487 | 182 | −171 | 44 | 871 | 81 | 0.81 | |
| 400 | −1495 | 169 | −165 | 33 | 1100 | 86 | 0.86 | |
| 500 | −1508 | 164 | −159 | 26 | 1350 | 89 | 0.89 | |
| Raf | 100 | −1496 | 187 | −176 | 79 | 499 | 66 | 0.66 |
| 200 | −1498 | 179 | −172 | 49 | 778 | 79 | 0.79 | |
| 300 | −1502 | 171 | −164 | 33 | 1103 | 86 | 0.86 | |
| 400 | −1509 | 157 | −161 | 23 | 1503 | 90 | 0.90 | |
| 500 | −1507 | 168 | −156 | 19 | 1851 | 92 | 0.92 |
| Inhibitor | Conc. (mg/L) | Rs (ohm cm2) | Rp (ohm cm2) | Error (%) | 10−2 CPE (µF/cm2) | %IE | θ |
|---|---|---|---|---|---|---|---|
| 0 | 0.77 | 106 | 2.05 | 17.12 | -- | -- | |
| Amy | 100 | 2.01 | 241 | 2.91 | 10.13 | 56 | 0.56 |
| 200 | 0.23 | 365 | 0.74 | 8.03 | 71 | 0.71 | |
| 300 | 3.61 | 530 | 0.67 | 6.71 | 80 | 0.80 | |
| 400 | 4.67 | 883 | 0.81 | 4.56 | 88 | 0.88 | |
| 500 | 5.32 | 1178 | 0.36 | 3.02 | 91 | 0.91 | |
| Raf | 100 | 2.95 | 331 | 1.28 | 9.02 | 68 | 0.68 |
| 200 | 4.72 | 482 | 0.41 | 7.19 | 78 | 0.78 | |
| 300 | 4.46 | 707 | 0.62 | 5.41 | 85 | 0.85 | |
| 400 | 5.09 | 1176 | 0.21 | 3.98 | 91 | 0.91 | |
| 500 | 4.12 | 1515 | 0.33 | 2.23 | 93 | 0.93 |
| Inh. | Conc. (mg/L) | Temperature (K) | |||||||||||
|---|---|---|---|---|---|---|---|---|---|---|---|---|---|
| 288 | 298 | 308 | 318 | ||||||||||
| CR | %IE | θ | CR | %IE | θ | CR | %IE | θ | CR | %IE | θ | ||
| 0 | 102 | -- | -- | 115 | -- | -- | 125 | -- | -- | 134 | -- | -- | |
| Amy | 100 | 42 | 59 | 0.59 | 52 | 55 | 0.55 | 64 | 49 | 0.49 | 74 | 45 | 0.45 |
| 200 | 30 | 71 | 0.71 | 37 | 68 | 0.68 | 45 | 64 | 0.64 | 56 | 58 | 0.58 | |
| 300 | 19 | 81 | 0.81 | 24 | 79 | 0.79 | 34 | 73 | 0.73 | 43 | 68 | 0.68 | |
| 400 | 11 | 89 | 0.89 | 17 | 85 | 0.85 | 24 | 81 | 0.81 | 35 | 74 | 0.74 | |
| 500 | 8 | 92 | 0.92 | 15 | 87 | 0.87 | 20 | 84 | 0.84 | 29 | 78 | 0.78 | |
| Raf | 100 | 35 | 66 | 0.66 | 47 | 59 | 0.59 | 59 | 53 | 0.53 | 66 | 51 | 0.51 |
| 200 | 22 | 78 | 0.78 | 30 | 74 | 0.74 | 41 | 67 | 0.67 | 50 | 63 | 0.63 | |
| 300 | 14 | 86 | 0.86 | 20 | 83 | 0.83 | 29 | 77 | 0.77 | 38 | 72 | 0.72 | |
| 400 | 10 | 90 | 0.9 | 14 | 88 | 0.88 | 19 | 85 | 0.85 | 28 | 79 | 0.79 | |
| 500 | 6 | 94 | 0.94 | 9 | 92 | 0.92 | 15 | 88 | 0.88 | 23 | 83 | 0.83 | |
| Inhibitor | Temperature (K) | 10−3 Kads L/mol | kJ/mol | kJ/mol | J/mol K |
|---|---|---|---|---|---|
| Amy | 288 | 5.41 | −30.20 | −10.40 | 68.75 |
| 298 | 4.74 | −30.92 | 68.86 | ||
| 308 | 4.04 | −31.55 | 68.67 | ||
| 318 | 3.62 | −32.29 | 68.84 | ||
| Raf | 288 | 9.58 | −31.57 | −14.98 | 57.60 |
| 298 | 7.43 | −32.03 | 57.21 | ||
| 308 | 6.01 | −32.56 | 57.08 | ||
| 318 | 5.35 | −33.32 | 57.67 |
| Inhibitor | Inh. Conc. (ppm) | kJ mol−1 | ∆H* kJ mol−1 | ∆S* J mol−1 K−1 |
|---|---|---|---|---|
| 0 | 6.88 | 4.37 | −152.06 | |
| Amy | 100 | 14.55 | 12.02 | -133.02 |
| 200 | 15.71 | 13.22 | −131.36 | |
| 300 | 21.29 | 18.71 | −116.39 | |
| 400 | 26.17 | 22.95 | −105.17 | |
| 500 | 29.23 | 25.23 | −99.35 | |
| Raf | 100 | 16.30 | 13.80 | −128.03 |
| 200 | 21.19 | 18.66 | −115.15 | |
| 300 | 25.61 | 23.11 | −103.43 | |
| 400 | 25.85 | 23.28 | −105.75 | |
| 500 | 34.55 | 32.03 | −79.81 |
| Inhibitor Conc. (mg/L) | Amy | Raf | ||
|---|---|---|---|---|
| 102 k1, h−1 | t1/2, h | 102 k1, h−1 | t1/2, h | |
| Blank | 6.59 | 10.51 | 6.59 | 10.51 |
| 100 | 6.11 | 11.36 | 4.99 | 13.86 |
| 200 | 5.48 | 12.61 | 4.80 | 14.44 |
| 300 | 5.10 | 13.58 | 4.88 | 14.14 |
| 400 | 4.70 | 14.74 | 4.09 | 16.90 |
| 500 | 3.79 | 18.23 | 3.22 | 21.66 |
| Run | A | B | R1 | R2 |
|---|---|---|---|---|
| 1 | 300 | 298 | 79 | 83 |
| 2 | 100 | 298 | 55 | 59 |
| 3 | 400 | 318 | 74 | 79 |
| 4 | 400 | 298 | 85 | 88 |
| 5 | 500 | 288 | 92 | 94 |
| 6 | 500 | 318 | 78 | 83 |
| 7 | 100 | 318 | 45 | 51 |
| 8 | 200 | 308 | 64 | 67 |
| 9 | 200 | 288 | 71 | 78 |
| 10 | 100 | 288 | 59 | 66 |
| 11 | 200 | 298 | 68 | 74 |
| 12 | 500 | 298 | 87 | 92 |
| 13 | 400 | 288 | 89 | 90 |
| 14 | 500 | 308 | 84 | 88 |
| 15 | 100 | 308 | 49 | 53 |
| 16 | 300 | 308 | 73 | 77 |
| 17 | 300 | 318 | 68 | 72 |
| 18 | 300 | 288 | 81 | 86 |
| 19 | 400 | 308 | 81 | 85 |
| 20 | 200 | 318 | 58 | 63 |
| Source | Sum of Squares | df | Mean Square | F-Value | p-Value | |||||
|---|---|---|---|---|---|---|---|---|---|---|
| Amy | Raf | Amy | Raf | Amy | Raf | Amy | Raf | Amy | Raf | |
| Model | 12.87 | 10.97 | 5 | 5 | 2.57 | 2.19 | 1249.83 | 412.55 | <0.0001 | <0.0001 |
| A | 10.19 | 8.58 | 1 | 1 | 10.19 | 8.58 | 4947.91 | 1613.05 | <0.0001 | <0.0001 |
| B | 1.90 | 1.71 | 1 | 1 | 1.90 | 1.71 | 921.33 | 321.42 | <0.0001 | <0.0001 |
| AB | 0.0153 | 0.0764 | 1 | 1 | 0.0153 | 0.0764 | 7.43 | 14.38 | 0.0164 | 0.0020 |
| A2 | 0.7447 | 0.6029 | 1 | 1 | 0.7447 | 0.6029 | 361.62 | 113.40 | <0.0001 | <0.0001 |
| B2 | 0.0224 | 0.0027 | 1 | 1 | 0.0224 | 0.0027 | 10.88 | 0.5105 | 0.0053 | 0.4867 |
| Residual | 0.0288 | 0.0744 | 14 | 14 | 0.0021 | 0.0053 | ||||
| Cor Total | 12.90 | 11.04 | 19 | 19 | ||||||
| Predicted R2 | 0.9952 | 0.9909 | ||||||||
| Adjusted R2 | 0.9970 | 0.9845 | ||||||||
| Parameters | Amy | Raf |
|---|---|---|
| EHOMO (eV) | −4.6997 | −4.1729 |
| ELUMO (eV) | −0.9268 | −1.2618 |
| ΔE (eV) | 3.7729 | 2.9111 |
| Ionization (I) (eV) | 4.6997 | 4.1729 |
| Affinity (A) (eV) | 0.9268 | 1.2618 |
| Absolute electronegativity (χ) | 2.8133 | 2.7173 |
| Global hardness (η) | 1.8864 | 1.4555 |
| Softness (σ) | 0.5301 | 0.6870 |
| ΔN | 0.1105 | 0.1761 |
| ΔEback−donation | −0.4716 | −0.3639 |
| Inhibitor | Eads (Kcal mol–1) | Ebind (Kcal mol–1) |
|---|---|---|
| Amy | −593.2 | 593.2 |
| Raf | −853.7 | 853.7 |
Disclaimer/Publisher’s Note: The statements, opinions and data contained in all publications are solely those of the individual author(s) and contributor(s) and not of MDPI and/or the editor(s). MDPI and/or the editor(s) disclaim responsibility for any injury to people or property resulting from any ideas, methods, instructions or products referred to in the content. |
© 2023 by the authors. Licensee MDPI, Basel, Switzerland. This article is an open access article distributed under the terms and conditions of the Creative Commons Attribution (CC BY) license (https://creativecommons.org/licenses/by/4.0/).
Share and Cite
Toghan, A.; Fawzy, A.; Alakhras, A.I.; Alqarni, N.; Zaki, M.E.A.; Sanad, M.M.S.; Farag, A.A. Experimental Exploration, RSM Modeling, and DFT/MD Simulations of the Anticorrosion Performance of Naturally Occurring Amygdalin and Raffinose for Aluminum in NaOH Solution. Coatings 2023, 13, 704. https://doi.org/10.3390/coatings13040704
Toghan A, Fawzy A, Alakhras AI, Alqarni N, Zaki MEA, Sanad MMS, Farag AA. Experimental Exploration, RSM Modeling, and DFT/MD Simulations of the Anticorrosion Performance of Naturally Occurring Amygdalin and Raffinose for Aluminum in NaOH Solution. Coatings. 2023; 13(4):704. https://doi.org/10.3390/coatings13040704
Chicago/Turabian StyleToghan, Arafat, Ahmed Fawzy, Abbas I. Alakhras, Nada Alqarni, Magdi E. A. Zaki, Moustafa M. S. Sanad, and Ahmed A. Farag. 2023. "Experimental Exploration, RSM Modeling, and DFT/MD Simulations of the Anticorrosion Performance of Naturally Occurring Amygdalin and Raffinose for Aluminum in NaOH Solution" Coatings 13, no. 4: 704. https://doi.org/10.3390/coatings13040704
APA StyleToghan, A., Fawzy, A., Alakhras, A. I., Alqarni, N., Zaki, M. E. A., Sanad, M. M. S., & Farag, A. A. (2023). Experimental Exploration, RSM Modeling, and DFT/MD Simulations of the Anticorrosion Performance of Naturally Occurring Amygdalin and Raffinose for Aluminum in NaOH Solution. Coatings, 13(4), 704. https://doi.org/10.3390/coatings13040704

