First-Principles Calculations on Relative Energetic Stability, Mechanical, and Thermal Properties of B2-AlRE (RE = Sc, Y, La-Lu) Phases
Abstract
1. Introduction
2. Computation Detail
3. Result and Discussion
3.1. The Relative Energetic Stability of B2-AlRE
- (1)
- The difference in ΔHf between the current work and Liu et al.’s work first comes with the different selected ground states of Y and La-Lu. In this work, we choose −3.738, −6.202, −6.426, −4.873, −4.734, −4.727, −4.708, −4.673, −4.633, −4.601, −4.577, −4.545, −4.515, −4.491, −4.474, −4.457, −4.440, −4.433 eV as the energy of individual atom referring G. K. et al. [76] for Al, Sc, Y and the La-Lu elements, respectively.
- (2)
- The reason may be that the Eu_2 and Lu_2 potentials are adopted in previous work. We use PAW_GGA pseudopotentials of Sc, Y_sv, La and (Ce-Lu)_3 in the work.
| System | a0 | Hf | δ | Rp | et | ||
|---|---|---|---|---|---|---|---|
| This Work | Literature | This Work | Literature | ||||
| Al | 4.044 | 4.039 [77] 4.032; 3.982 [78]; | - | - | - | 1.856 | - | 
| AlSc | 3.372 | 3.371 [66]; 3.315 [47] 3.388 [46]; 3.450 [45] | −43.68 | −43.40 [22] −46.00 [79] | 16.63 | 2.461 | −2.030 | 
| AlY | 3.601 | 3.522 [80]; 3.606 [81] | −41.14 | −45.20 [22] | 10.94 | 2.280 | −1.189 | 
| AlLa | 3.800 | 3.696 [82] | −34.67 | −40.40 [83] −45.90 [84] | 6.04 | 2.156 | −0.962 | 
| AlCe | 3.794 | 3.575 [85]; 3.675 [86] | −31.08 | −41.40 [87] −46.00 [88] | 6.19 | 2.334 | −0.982 | 
| AlPr | 3.756 | 3.533 [85]; 3.760 [86] | −32.89 | −46.90 [22] −47.00 [86] | 7.11 | 2.395 | −0.986 | 
| AlNd | 3.726 | 3.729 [89] | −34.40 | −47.90 [90] −50.00 [90] | 7.86 | 2.433 | −1.000 | 
| AlPm | 3.698 | 3.500 [91] | −36.18 | −43.50 [90] | 8.55 | 2.429 | −1.029 | 
| AlSm | 3.677 | 3.490 [49] | −36.82 | −46.50 [22] −49.00 [53] | 9.07 | 2.409 | −1.058 | 
| AlEu | 3.655 | 3.480 [49] | −38.08 | −28.70 [22] | 9.62 | 2.691 | −1.120 | 
| AlGd | 3.631 | 3.470 [49] | −38.95 | −42.40 [22] −42.90 [54] | 10.22 | 2.525 | −1.142 | 
| AlTb | 3.613 | 3.614 [50]; 3.470 [49] | −39.39 | −42.50 [22] | 10.65 | 2.493 | −1.157 | 
| AlDy | 3.595 | 3.597 [50]; 3.470 [49] | −39.61 | −42.40 [22] | 11.10 | 2.472 | −1.170 | 
| AlHo | 3.580 | - | −39.43 | −42.80 [22] | 11.48 | 2.465 | −1.188 | 
| AlEr | 3.564 | - | −39.07 | −41.60 [22] | 11.86 | 2.456 | −1.204 | 
| AlTm | 3.551 | - | −38.38 | −43.90 [22] | 12.19 | 2.465 | −1.220 | 
| AlYb | 3.538 | - | −38.36 | −30.30 [22] | 12.51 | 2.473 | −1.264 | 
| AlLu | 3.523 | 3.413 [45] | −37.13 | −42.60 [22] | 12.87 | 2.396 | −1.256 | 
3.2. The Mechanical Property
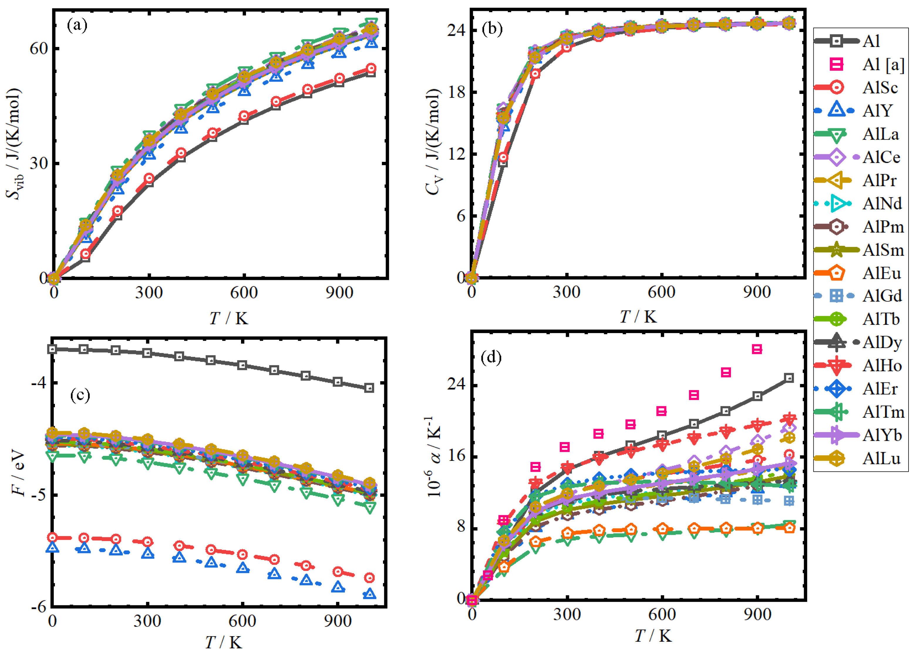
3.3. The Thermodynamic Property
4. Conclusions
- (1)
- The lattice constant a0 exhibits a linear increase from AlSc to AlLa, followed by a linear decrease towards AlLu. In contrast, the ΔHf demonstrates a linear increase from AlSc to AlCe, followed by a decrease until AlEr; finally, it increases again up to AlLu.
- (2)
- The mismatch δ with Al matrix for all particles is higher than 4%, and the δ decreases linearly from AlSc to AlNd and then increases linearly to AlLu. The transferred electron et have an opposite trend of change for the δ, meaning that the δ is closely related to the et between Al and RE atoms.
- (3)
- With the increase in atomic number, the elastic constants C11, C44 and C12 decrease linearly first and then increase linearly to C11, C44 and C12 of AlLu. The GH, EH and BH show the same trend for C11, C44 and C12, respectively.
- (4)
- The Cauchy pressure C12-C44 first increases linearly from AlSc to AlCe and then decreases linearly to AlLu. The Pugh’s ratio B/G decreases from AlSc to AlLa and increases to AlCe; finally, it decreases linearly to AlLu. Whereas Poisson’s ratio ν changes a little.
- (5)
- With the increase in temperature, the vibrational entropy Svib and heat capacity CV show a regularity rise feature, while the Gibbs free energy F of all cases decreases linearly in the whole temperature. The expansion coefficient αT increases sharply in the temperature range of 0~300 K at first, and then it changes a little, except for those of Al, AlHo, AlCe and AlLu, which increase linearly after 300 K.
- (6)
- Both Svib and CV increase from AlSc to AlLa and then change a little, while the F first decreases AlSc to AlY and then increases to AlLa; finally, it changes a little. For the αT, the trend of change is the same at lower and higher temperatures, except for AlTb. There are two lower peaks for AlLa and AlEu and one higher peak for AlHo at both temperatures.
Author Contributions
Funding
Institutional Review Board Statement
Informed Consent Statement
Data Availability Statement
Conflicts of Interest
References
- Wen, K.; Xiong, B.-Q.; Fan, Y.-Q.; Zhang, Y.-A.; Li, Z.-H.; Li, X.-W.; Wang, F.; Liu, H.-W. Transformation and dissolution of second phases during solution treatment of an Al–Zn–Mg–Cu alloy containing high zinc. Rare Met. 2018, 37, 376–380. [Google Scholar] [CrossRef]
- Mulyawan, A.; Terai, T.; Fukuda, T. Interpretation of Fe-rich part of Fe–Al phase diagram from magnetic properties of A2-, B2-, and DO3-phases. J. Alloys Compd. 2020, 834, 155140. [Google Scholar] [CrossRef]
- Oropeza, D.; Hofmann, D.C.; Williams, K.; Firdosy, S.; Bordeenithikasem, P.; Sokoluk, M.; Liese, M.; Liu, J.; Li, X. Welding and additive manufacturing with nanoparticle-enhanced aluminum 7075 wire. J. Alloys Compd. 2020, 834, 154987. [Google Scholar] [CrossRef] [PubMed]
- Dhakal, B.; Swaroop, S. Effect of laser shock peening on mechanical and microstructural aspects of 6061-T6 aluminum alloy. J. Mater. Process. Technol. 2020, 282, 116640. [Google Scholar] [CrossRef]
- Ma, H.; Zhang, X.; Liu, C.; Zhao, L.; Jiang, W. Structural, elastic, anisotropic and thermodynamic properties of the caged intermetallics RETi2Al20 (RE = La, Ce, Gd and Ho): A first-principles study. Solid State Sci. 2019, 89, 121–129. [Google Scholar] [CrossRef]
- Farkoosh, A.R.; Pekguleryuz, M. The effects of manganese on the Τ-phase and creep resistance in Al–Si–Cu–Mg–Ni alloys. Mater. Sci. Eng. A 2013, 582, 248–256. [Google Scholar] [CrossRef]
- Qian, F.; Jin, S.; Sha, G.; Li, Y. Enhanced dispersoid precipitation and dispersion strengthening in an Al alloy by microalloying with Cd. Acta Mater. 2018, 157, 114–125. [Google Scholar] [CrossRef]
- Feng, J.; Ye, B.; Zuo, L.; Qi, R.; Wang, Q.; Jiang, H.; Huang, R.; Ding, W.; Yao, J.; Wang, C. Effects of Zr, Ti and Sc additions on the microstructure and mechanical properties of Al-0.4Cu-0.14Si-0.05Mg-0.2Fe alloys. J. Mater. Sci. Technol. 2018, 34, 2316–2324. [Google Scholar] [CrossRef]
- Wu, Y.; Deng, B.; Ruan, Z.; Fan, T.; Hu, T. The effect of solute atom concentration on the generalized planar fault energy and twinnability of basal plane in Magnesium alloys. J. Alloys Compd. 2024, 1007, 176473. [Google Scholar] [CrossRef]
- Huang, Z.W.; Zhao, Y.H.; Hou, H.; Zhao, Y.H.; Niu, X.F.; Han, P.D. Structural, thermodynamics and elastic properties of Mg17Al12, Al2Y and Al4Ba phases by first-principles calculations. J. Cent. South Univ. 2012, 19, 1475–1481. [Google Scholar] [CrossRef]
- Gan, J.Q.; Huang, Y.J.; Cheng, W.; Jun, D. Effect of Sr modification on microstructure and thermal conductivity of hypoeutectic Al− Si alloys. Trans. Nonferrous Met. Soc. China 2020, 30, 2879–2890. [Google Scholar] [CrossRef]
- Zhang, X.; Liu, S.; Wang, S.; Zhang, B.; Zhang, X.; Ma, M.; Liu, R. Dynamic precipitation-induced simultaneous enhancement of the strength and plasticity of hot-rolled Zr–9Al alloy. J. Alloys Compd. 2020, 829, 154577. [Google Scholar] [CrossRef]
- Li, M.; Li, H.; Zhang, Z.; Shi, W.; Liu, J.; Hu, Y.; Wu, Y. Effect of precipitates on properties of cold-rolled Al–Mg–Si–Sc–Zr alloy with higher temperature aging. Mater. Sci. Technol. 2018, 34, 1246–1251. [Google Scholar]
- Ohara, S.; Chen, G.; Sakamoto, I. Effect of pressure on transport properties of mixed-valence compound YbAl3. J. Alloys Compd. 2001, 323, 632–635. [Google Scholar] [CrossRef]
- Yin, W.; Liu, Y.; Lin, L.; Wang, Y.; Chen, L.; Li, Z.; Peng, H.; Fan, T.; Wu, Y.; Deng, Y. Systematic First-Principles Investigations of the Nucleation, Growth, and Surface Properties of Al11RE3 Second-Phase Particles in Al-Based Alloys. Coatings 2024, 14, 983. [Google Scholar] [CrossRef]
- Tändl, J.; Orthacker, A.; Amenitsch, H.; Kothleitner, G.; Poletti, C. Influence of the degree of scandium supersaturation on the precipitation kinetics of rapidly solidified Al-Mg-Sc-Zr alloys. Acta Mater. 2016, 117, 43–50. [Google Scholar] [CrossRef]
- Yu, L.; Wang, J.; Qu, F.; Wang, M.; Wang, W.; Bao, Y.; Lai, X. Effects of scandium addition on microstructure, mechanical and thermal properties of cast Be-Al alloy. J. Alloys Compd. 2018, 737, 655–664. [Google Scholar] [CrossRef]
- Suwanpreecha, C.; Pandee, P.; Patakham, U.; Limmaneevichitr, C. New generation of eutectic Al-Ni casting alloys for elevated temperature services. Mater. Sci. Eng. A 2018, 709, 46–54. [Google Scholar] [CrossRef]
- Dorin, T.; Ramajayam, M.; Lamb, J.; Langan, T. Effect of Sc and Zr additions on the microstructure/strength of Al-Cu binary alloys. Mater. Sci. Eng. A 2017, 707, 58–64. [Google Scholar] [CrossRef]
- Li, J.; Zhang, M.; Zhou, Y.; Chen, G. First-principles study of Al/A13Ti heterogeneous nucleation interface. Appl. Surf. Sci. 2014, 307, 593–600. [Google Scholar]
- Ding, J.; Cui, C.; Sun, Y.; Zhao, L.; Cui, S. Effect of Mo, Zr, and Y on the high-temperature properties of Al–Cu–Mn alloy. J. Mater. Res. 2019, 34, 3853–3861. [Google Scholar] [CrossRef]
- Liu, T.; Ma, T.; Li, Y.; Ren, Y.; Liu, W. Stable, mechanical and thermodynamic properties of Al-RE intermetallics: A First-principles study. J. Rare Earths 2022, 40, 345–352. [Google Scholar] [CrossRef]
- Togo, A.; Tanaka, I. First principles phonon calculations in materials science. Scripta Mater. 2015, 108, 1–5. [Google Scholar] [CrossRef]
- Mikhaylovskaya, A.; Mochugovskiy, A.; Levchenko, V.; Tabachkova, N.Y.; Mufalo, W.; Portnoy, V. Precipitation behavior of L12 Al3Zr phase in Al-Mg-Zr alloy. Mater. Charact. 2018, 139, 30–37. [Google Scholar] [CrossRef]
- Chen, Z.; Zhang, P.; Chen, D.; Wu, Y.; Wang, M.; Ma, N.; Wang, H. First-principles investigation of thermodynamic, elastic and electronic properties of Al3V and Al3Nb intermetallics under pressures. J. Appl. Phys. 2015, 117, 085904. [Google Scholar]
- Wen, S.P.; Wang, W.; Zhao, W.H.; Wu, X.L.; Gao, K.Y.; Huang, H.; Nie, Z.R. Precipitation hardening and recrystallization behavior of AlMgErZr alloys. J. Alloys Compd. 2016, 687, 143–151. [Google Scholar] [CrossRef]
- Zhao, S.; Stocks, G.M.; Zhang, Y. Stacking fault energies of face-centered cubic concentrated solid solution alloys. Acta Mater. 2017, 134, 334–345. [Google Scholar]
- Chowdhury, P.; Sehitoglu, H. Deformation physics of shape memory alloys–Fundamentals at atomistic frontier. Prog. Mater. Sci. 2017, 88, 49–88. [Google Scholar]
- Clouet, E.; Barbu, A.; Laé, L.; Martin, G. Precipitation kinetics of Al3Zr and Al3Sc in aluminum alloys modeled with cluster dynamics. Acta Mater. 2005, 53, 2313–2325. [Google Scholar] [CrossRef]
- Hyde, K.; Norman, A.; Prangnell, P. The effect of cooling rate on the morphology of primary Al3Sc intermetallic particles in Al–Sc alloys. Acta Mater. 2001, 49, 1327–1337. [Google Scholar] [CrossRef]
- Fan, T.W.; Wang, Z.P.; Lin, J.J.; Chen, D.C.; Fang, Q.H.; Hu, T.; Nie, B.H.; Wang, K.; Hu, H.W.; Sun, H.B.; et al. First-principles predictions for stabilizations of multilayer nanotwins in Al alloys at finite temperatures. J. Alloys Compd. 2019, 783, 765–771. [Google Scholar]
- Oku, M.; Shishido, T.; Sun, Q.; Nakajima, K.; Kawazoe, Y.; Wagatsuma, K. Comparison of electronic structures of ScAl3 and ScRh3: X-ray photoelectron spectroscopy and ab initio band calculation. J. Alloys Compd. 2003, 358, 264–267. [Google Scholar] [CrossRef]
- Jahnátek, M.; Krajčí, M.; Hafner, J. Interatomic bonding, elastic properties, and ideal strength of transition metal aluminides: A case study for Al3(V, Ti). Phys. Rev. B 2005, 71, 024101. [Google Scholar] [CrossRef]
- Radmilovic, V.; Ophus, C.; Marquis, E.A.; Rossell, M.D.; Tolley, A.; Gautam, A.; Asta, M.; Dahmen, U. Highly monodisperse core–shell particles created by solid-state reactions. Nat. Mater. 2011, 10, 710–715. [Google Scholar] [CrossRef]
- Wang, Y.; Wang, J.; Zhang, C.; Huang, H. Mechanical properties of defective L12-Al3X (X = Sc, Lu) phase: A first-principles study. J. Rare Earths 2021, 39, 217–224. [Google Scholar]
- Hu, W.C.; Liu, Y.; Li, D.J.; Zeng, X.Q.; Xu, C.S. Mechanical and thermodynamic properties of Al3Sc and Al3Li precipitates in Al–Li–Sc alloys from first-principles calculations. Phys. B 2013, 427, 85–90. [Google Scholar]
- Mondolfo, L.F. Aluminum Alloys: Structure and Properties; Elsevier: Amsterdam, The Netherlands, 2013. [Google Scholar]
- Nakamura, M.; Kimura, K. Elastic constants of TiAl3 and ZrAl3 single crystals. J. Mater. Sci. 1991, 26, 2208–2214. [Google Scholar] [CrossRef]
- Umakoshi, Y.; Yamaguchi, M.; Sakagami, T.; Yamane, T. Oxidation resistance of intermetallic compounds Al3Ti and TiAl. J. Mater. Sci. 1989, 24, 1599–1603. [Google Scholar] [CrossRef]
- Aguilar-Virgen, J.; Cabrera, A.; Umemoto, M.; Calderon, H. Compressive mechanical properties of nanostructured intermetallic alloys Al3Ti-X (X = Mn or Fe). Mater. Sci. Forum 2006, 509, 63–68. [Google Scholar] [CrossRef]
- Fu, Y.; Shi, R.; Zhang, J.; Sun, J.; Hu, G. Microstructure and mechanical behavior of a multiphase Al3Ti-based intermetallic alloy. Intermetallics 2000, 8, 1251–1256. [Google Scholar] [CrossRef]
- Guan, R.; Shen, Y.; Zhao, Z.; Wang, X. A high-strength, ductile Al-0.35 Sc-0.2 Zr alloy with good electrical conductivity strengthened by coherent nanosized-precipitates. J. Mater. Sci. Technol. 2017, 33, 215–223. [Google Scholar] [CrossRef]
- Wen, S.P.; Xing, Z.B.; Huang, H.; Li, B.L.; Wang, W. The effect of erbium on the microstructure and mechanical properties of Al-Mg-Mn-Zr alloy. Mater. Sci. Eng. A 2009, 516, 42–49. [Google Scholar]
- Wei, X.; Huang, H.; Chen, Z.; Wang, W.; Li, C.; Nie, Z. Microstructure and mechanical properties of Al-Mg-Mn-Zr-Er weld joints filled with Al-Mg-Mn-Zr and Al-Mg-Mn-Zr-Er weld wires. J. Rare Earths 2010, 28, 627–630. [Google Scholar]
- Schob, O.T.; Parthé, E. AB compounds with Sc, Y and rare earth metals. I. Scandium and yttrium compounds with CrB and CsCl structure. Acta Crystallogr. 1965, 19, 214–224. [Google Scholar]
- Villars, P.; Calvert, L. Pearson’s Handbook of Crystallographic Data for Intermetallic Compounds; American Society for Metals: Materials Park, OH, USA, 1991. [Google Scholar]
- Srivastava, V.; Sanyal, S.P.; Rajagopalan, M. Rajagopalan, First principles electronic and thermal properties of some AlRE intermetallics. Phys. B Condens. Matter 2008, 403, 3615–3622. [Google Scholar]
- Mao, Z.; Chen, W.; Seidman, D.N.; Wolverton, C. First-principles study of the nucleation and stability of ordered precipitates in ternary Al–Sc–Li alloys. Acta Mater. 2011, 59, 3012–3023. [Google Scholar] [CrossRef]
- Pagare, G.; Srivastava, V.; Sanyal, S.P.; Rajagopalan, M. Rajagopalan, Electronic and thermal properties of B2-type AlRE intermetallic compounds: A first principles study. Phys. B Condens. Matter 2011, 406, 449–455. [Google Scholar] [CrossRef]
- Wang, R.; Wang, S.; Wu, X.; Yao, Y. The third-order elastic moduli and pressure derivatives for AlRE (RE = Y, Pr, Nd, Tb, Dy, Ce) intermetallics with B2-structure: A first-principles study. Solid State Commun. 2011, 151, 996–1000. [Google Scholar] [CrossRef]
- Borzone, G.; Cacciamani, G.; Ferro, R. Heats of formation of aluminum-cerium intermetallic compounds. Metall. Trans. A 1991, 22, 2119–2123. [Google Scholar] [CrossRef]
- Cacciamani, G.; Riani, P.; Borzone, G.; Parodi, N.; Saccone, A.; Ferro, R.; Pisch, A.; Schmid-Fetzer, R. Thermodynamic measurements and assessment of the Al–Sc system. Intermetallics 1999, 7, 101–108. [Google Scholar]
- Borzone, G.; Cardinale, A.M.; Saccone, A.; Ferro, R. Compounds, Enthalpies of formation of solid Sm Al alloys. J. Alloys Compd. 1995, 220, 122–125. [Google Scholar]
- Colinet, C.; Pasturel, A.; Buschow, K.H.J. Cohesive properties in the Al-Gd system. Phys. B + C 1988, 150, 397–403. [Google Scholar]
- Borzone, G.; Cardinale, A.M.; Cacciamani, G.; Ferro, R. On the thermochemistry of the Nd—Al alloys. Int. J. Mater. Res. 1993, 84, 635–640. [Google Scholar]
- Ferro, R.; Borzone, G.; Parodi, N.; Cacciamani, G. On the thermochemistry of the rare earth compounds with the p -block elements. J. Phase Equilibria 1994, 15, 317–329. [Google Scholar]
- Borzone, G.; Cardinale, A.M.; Parodi, N.; Cacciamani, G. Aluminium compounds of the rare earths: Enthalpies of formation of Yb-Al and La-Al alloys. J. Alloys Compd. 1997, 247, 141–147. [Google Scholar] [CrossRef]
- Wen, S.P.; Gao, K.Y.; Li, Y. Synergetic effect of Er and Zr on the precipitation hardening of Al-Er-Zr alloy. Scripta Mater. 2011, 65, 592–595. [Google Scholar] [CrossRef]
- Koutná, N.; Erdely, P.; Zöhrer, S.; Franz, R.; Du, Y.; Liu, S.; Mayrhofer, P.H.; Holec, D. Experimental chemistry and structural stability of AlNb3 enabled by antisite defects formation. Materials 2019, 12, 1104. [Google Scholar] [CrossRef]
- Valkov, S.; Petrov, P.; Lazarova, R.; Bezdushnyi, R.; Dechev, D. Formation and characterization of Al–Ti–Nb alloys by electron-beam surface alloying. Appl. Surf. Sci. 2016, 389, 768–774. [Google Scholar] [CrossRef]
- Nong, Z.; Zhu, J.; Yang, X.; Cao, Y.; Lai, Z.; Liu, Y. The mechanical, thermodynamic and electronic properties of Al3Nb with DO22 structure: A first-principles study. Phys. B 2012, 407, 3555–3560. [Google Scholar]
- Zhang, X.; Dong, T.; Ma, H.; Li, D.; Ying, C.; Liu, C.; Wang, F. A first principles investigation on the influence of transition-metal elements on the structural, mechanical, and anisotropic properties of CaM2Al20 intermetallics. J. Mol. Graph. Modell. 2020, 96, 107509. [Google Scholar]
- Han, F.; Yuan, M.; Wei, Z.; Yao, Y.; Shen, X. First-principles study of the Ti/Al3Ti interfacial properties. Appl. Surf. Sci. 2021, 544, 148960. [Google Scholar]
- Tzeng, Y.-C.; Chung, C.-Y.; Chien, H.-C. Effects of trace amounts of Zr and Sc on the recrystallization behavior and mechanical properties of Al-4.5 Zn-1.6 Mg alloys. Mater. Lett. 2018, 228, 270–272. [Google Scholar]
- Krug, M.E.; Mao, Z.; Seidman, D.N.; Dunand, D.C. Comparison between dislocation dynamics model predictions and experiments in precipitation-strengthened Al–Li–Sc alloys. Acta Mater. 2014, 79, 382–395. [Google Scholar] [CrossRef]
- Uğur, Ş.; Arıkan, N.; Soyalp, F.; Uğur, G. Phonon and elastic properties of AlSc and MgSc from first-principles calculations. Comput. Mater. Sci. 2010, 48, 866–870. [Google Scholar] [CrossRef]
- Hafner, J. Ab-initio simulations of materials using VASP: Density-functional theory and beyond. J. Comput. Chem. 2008, 29, 2044–2078. [Google Scholar] [CrossRef]
- Maruhn, J.A.; Reinhard, P.G.; Suraud, E. Density Functional Theory; Plenum Press: New York, NJ, USA, 2010. [Google Scholar]
- Perdew, J.P.; Burke, K.; Ernzerhof, M. Generalized Gradient Approximation Made Simple. Phys. Rev. Lett. 1996, 77, 3865–3868. [Google Scholar] [CrossRef]
- Monkhorst, H.J.; Pack, J.D. Special points for Brillouin-zone integrations. Phys. Rev. B 1976, 13, 5188–5192. [Google Scholar]
- Feynman, R.P. Forces in Molecules. Phys. Rev. 1939, 56, 340. [Google Scholar]
- Khenioui, Y.; Boulechfar, R.; Maazi, N.; Ghemid, S. FP-LAPW investigation of Al3(Sc1-xTix) alloys properties in L12 and D022 structures. Int. J. Mod. Phys. B 2018, 32, 1850167. [Google Scholar]
- Tao, X.; Ouyang, Y.; Liu, H.; Zeng, F.; Feng, Y.; Jin, Z. Calculation of the thermodynamic properties of B2 AlRE (RE = Sc, Y, La, Ce–Lu). Phys. B 2007, 399, 27–32. [Google Scholar]
- Fu, H.; Zhao, Z.; Liu, W.; Peng, F.; Gao, T.; Cheng, X. Ab initio calculations of elastic constants and thermodynamic properties of γ-TiAl under high pressures. Intermetallics 2010, 18, 761–766. [Google Scholar]
- Zhang, S.; Northrup, J. Chemical potential dependence of defect formation energies in GaAs: Application to Ga self-diffusion. Phys. Rev. Lett. 1991, 67, 2339. [Google Scholar] [PubMed]
- Kresse, G.; Joubert, D. From ultrasoft pseudopotentials to the projector augmented-wave method. Phys. Rev. B 1999, 59, 1758–1775. [Google Scholar]
- Li, S.; Li, L.; Han, J.; Wang, C.; Xiao, Y.; Jian, X.; Qian, P.; Su, Y. First-Principles Study on the Nucleation of Precipitates in Ternary Al Alloys Doped with Sc, Li, Zr, and Ti Elements. Appl. Surf. Sci. 2020, 526, 146455. [Google Scholar] [CrossRef]
- Bandyopadhyay, J.; Gupta, K.P. Low temperature lattice parameters of Al and Al-Zn alloys and Grüneisen parameter of Al. Cryogenics 1978, 18, 54–55. [Google Scholar] [CrossRef]
- Mallick, P.K. Materials, Design and Manufacturing for Lightweight Vehicles; CRC Press: Boca Raton, FL, USA, 2010. [Google Scholar]
- Takahashi, K.; Kuwahara, H.; Kawasaki, N.; Obata, T.; Sugawa, E. Enhancement of Thermal Contact Conductance Between Metal Surfaces in an Induction Motor. J Enhanc. Heat Transf. 2001, 8, 201–213. [Google Scholar] [CrossRef]
- Jain, A.; McGaughey, A.J. Thermal transport by phonons and electrons in aluminum, silver, and gold from first principles. Phys. Rev. B 2016, 93, 081206. [Google Scholar] [CrossRef]
- Togo, A.; Chaput, L.; Tanaka, I.; Hug, G. First-principles phonon calculations of thermal expansion in Ti3SiC2, Ti3AlC2, and Ti3GeC2. Phys. Rev. B 2010, 81, 174301. [Google Scholar]
- Wang, Y.; Ohishi, Y.; Kurosaki, K.; Muta, H. First-principles calculation study of Mg2XH6 (X = Fe, Ru) on thermoelectric properties. Mater. Res. Express 2019, 6, 085536. [Google Scholar]
- Slack, G.A. Nonmetallic crystals with high thermal conductivity. J. Phys. Chem. Solids 1973, 34, 321–335. [Google Scholar]
- Madsen, G.; Singh, D.J. BoltzTraP. A code for calculating band-structure dependent quantities. Comput. Phys. Commun. 2006, 175, 67–71. [Google Scholar] [CrossRef]
- Yadav, M.K.; Sanyal, B. First principles study of thermoelectric properties of Li-based half-Heusler alloys. J. Alloys Compd. 2015, 622, 388–393. [Google Scholar]
- Mubashir, S.; Butt, M.K.; Yaseen, M.; Iqbal, J.; Laref, A. Pressure induced electronic, optical and thermoelectric properties of cubic BaZrO3: A first principle calculations. Opt. Int. J. Light Electron Opt. 2021, 239, 166694. [Google Scholar] [CrossRef]
- Remil, G.; Zitouni, A.; Bouadjemi, B.; Houari, M.; Bentata, S. A potential full Heusler thermoelectric material CO2ZrZ (Z = Al, Si, Ga and Sn) in low temperature: An Ab-initio investigation. Solid State Commun. 2021, 336, 114422. [Google Scholar] [CrossRef]
- Powell, R.W. Correlation of metallic thermal and electrical conductivities for both solid and liquid phases. Int. J. Heat Mass Transf. 1965, 8, 1033–1045. [Google Scholar] [CrossRef]
- Wen, B.; Feng, X. Thermal conductivity of metal from first principles calculations and its application in aluminum. J. Yanshan Univ. 2015, 39, 298–306. [Google Scholar]
- Brandt, R.; Neuer, G. Electrical Resistivity and Thermal Conductivity of Pure Aluminum and Aluminum Alloys up to and above the Melting Temperature. Int. J. Thermophys. 2007, 28, 1429–1446. [Google Scholar]
- Krug, M.E.; Dunand, D.C. Modeling the creep threshold stress due to climb of a dislocation in the stress field of a misfitting precipitate. Acta Mater. 2011, 59, 5125–5134. [Google Scholar]
- Michi, R.A.; Toinin, J.P.; Farkoosh, A.R.; Seidman, D.N.; Dunand, D.C. Effects of Zn and Cr additions on precipitation and creep behavior of a dilute Al–Zr–Er–Si alloy. Acta Mater. 2019, 181, 249–261. [Google Scholar]
- Krug, M.E.; Werber, A.; Dunand, D.C.; Seidman, D.N. Core–shell nanoscale precipitates in Al–0.06 at.% Sc microalloyed with Tb, Ho, Tm or Lu. Acta Mater. 2010, 58, 134–145. [Google Scholar]
- Sergio, G.V.; Alonso, J.A.; Gonzalo, S.; Martínez, J. Structure, stability, and optical absorption spectra of small TinCx clusters: A first-principles approach. Mon. Not. R. Astron. Soc. 2021, 508, 5074–5091. [Google Scholar]
- Wang, M.; Xie, J.; Xue, K.; Li, L. First-principles study of high-pressure structural stability and mechanical properties of Ni2B. Comput. Mater. Sci. 2021, 194, 110465. [Google Scholar] [CrossRef]
- Hao, A.; Yang, X.; Wang, X.; Zhu, Y.; Liu, X.; Liu, R. First-principles investigations on electronic, elastic and optical properties of XC (X = Si, Ge, and Sn) under high pressure. J. Appl. Phys. 2010, 108, 9. [Google Scholar] [CrossRef]
- Chen, X.-Q.; Niu, H.; Li, D.; Li, Y. Modeling hardness of polycrystalline materials and bulk metallic glasses. Intermetallics 2011, 19, 1275–1281. [Google Scholar]
- Frantsevich, I.N.; Voronov, F.F.; Bokuta, S.A. Elastic Constants and Elastic Moduli of Metals and Insulators Handbook; Naukova Dumka: Kiev, Ukraine, 1983. [Google Scholar]
- Zhou, Z.; Wu, B.; Dou, S.; Zhao, C.; Xiong, Y.; Wu, Y.; Yang, S.; Wei, Z. Thermodynamic Properties of Elements and Compounds in Al-Sc Binary System from Ab Initio Calculations Based on Density Functional Theory. Metall. Mater. Trans. A 2014, 45, 1720–1735. [Google Scholar]
- Talwar, D.N.; Sherbondy, J.C. Thermal expansion coefficient of 3C–SiC. Appl. Phys. Lett. 1995, 67, 3301–3303. [Google Scholar] [CrossRef]
- Porter, L.J.; Li, J.; Yip, S. Atomistic modeling of finite-temperature properties of β-SiC. I. Lattice vibrations, heat capacity, and thermal expansion. J. Nucl. Mater. 1997, 246, 53–59. [Google Scholar] [CrossRef]
- Pareige, C.; Soisson, F.; Martin, G.; Blavette, D. Ordering and phase separation in Ni–Cr–Al: Monte Carlo simulations vs three-dimensional atom probe. Acta Mater. 1999, 47, 1889–1899. [Google Scholar] [CrossRef]




| Comp. | C11 | C12 | C44 | BH | GH | EH | C12-C44 | B/G | ν | HV | 
|---|---|---|---|---|---|---|---|---|---|---|
| Al | 107.12 109.98 [22] | 64.75 60.11 [22] | 37.67 31.30 [22] | 78.88 76.73 [22] | 29.90 28.59 [22] | 79.64 76.30 [22] | 27.08 28.81 [22] | 2.638 2.684 [22] | 0.331 0.334 [22] | 5.28 | 
| AlSc | 94.58 97.87 [22] 87.98 [66] | 79.67 61.79 [22] 70.25 [66] | 92.44 91.55 [22] 82.72 [66] | 84.64 73.82 [22] 76.16 [66] 92.90 [47] | 37.54 48.48 [22] 36.44 [66] | 98.10 119.32 [22] | −12.77 - - | 2.255 1.523 [22] 2.089 [66] | 0.307 0.231 [22] - | 7.36 | 
| AlY | 79.37 81.23 [22] 81.26 [50] | 59.65 54.17 [22] 54.58 [50] | 66.68 70.30 [22] 62.79 [50] | 66.22 63.19 [22] 79.50 [47] 63.47 [50] | 32.06 36.92 [22] | 82.82 92.70 [22] | −7.03 - | 2.065 1.712 [22] | 0.292 0.255 [22] | 6.95 | 
| AlLa | 67.38 66.28 [22] | 44.87 41.35 [22] | 48.43 48.97 [22] | 52.37 49.66 [22] 56.30 [47] | 27.21 28.46 [22] | 69.59 71.69 [22] | −3.56 - | 1.925 1.745 [22] | 0.279 0.259 [22] | 6.42 | 
| AlCe | 64.58 62.15 [22] 62.66 [50] | 50.03 46.38 [22] 52.64 [50] | 45.08 40.95 [22] 42.53 [50] | 54.88 51.64 [22] 69.30 [47] 55.98 [50] | 22.30 21.51 [22] | 58.92 56.66 [22] | 4.95 - | 2.461 2.401 [22] | 0.321 0.317 [22] | 4.26 | 
| AlPr | 67.22 65.81 [22] 72.61 [50] | 52.22 48.37 [22] 46.82 [50] | 48.95 46.52 [22] 47.30 [50] | 57.22 54.18 [22] 65.50 [47] 55.42 [50] | 23.81 24.21 [22] | 62.72 63.21 [22] | 3.27 - | 2.403 2.238 [22] | 0.317 0.306 [22] | 4.65 | 
| AlNd | 69.70 68.88 [22] 74.25 [50] | 53.89 51.32 [22] 48.71 [50] | 52.41 49.83 [22] 50.24 [50] | 59.16 57.17 [22] 57.22 [50] | 25.36 25.39 [22] | 66.56 66.34 [22] | 1.49 - | 2.333 2.252 [22] | 0.312 0.307 [22] | 5.08 | 
| AlPm | 71.73 70.86 [22] | 55.49 52.47 [22] | 55.54 52.71 [22] | 60.90 58.60 [22] | 26.61 26.76 [22] | 69.68 69.68 [22] | −0.06 - | 2.289 2.190 [22] | 0.309 0.302 [22] | 5.40 | 
| AlSm | 73.09 72.55 [22] | 56.90 53.83 [22] | 57.89 54.63 [22] | 62.30 60.07 [22] | 27.35 27.57 [22] | 71.58 71.73 [22] | −0.99 - | 2.278 2.179 [22] | 0.309 0.301 [22] | 5.56 | 
| AlEu | 74.95 47.39 [22] | 58.46 30.89 [22] | 60.60 41.35 [22] | 63.96 36.39 [22] | 28.38 21.99 [22] | 74.18 54.91 [22] | −2.13 - | 2.253 1.655 [22] | 0.307 0.248 [22] | 5.80 | 
| AlGd | 76.72 74.84 [22] | 59.74 55.14 [22] | 63.21 59.14 [22] | 65.40 61.71 [22] | 29.49 29.56 [22] | 76.92 76.48 [22] | −3.47 - | 2.218 2.087 [22] | 0.304 0.293 [22] | 6.09 | 
| AlTb | 77.95 77.38 [22] 80.98 [50] | 60.51 56.02 [22] 55.17 [50] | 65.20 61.17 [22] 62.30 [50] | 66.32 63.14 [22] 63.73 [50] | 30.38 31.07 [22] | 79.07 80.07 [22] | −4.69 - | 2.183 2.032 [22] | 0.301 0.289 [22] | 6.33 | 
| AlDy | 79.22 78.26 [22] 81.40 [50] | 61.56 57.28 [22] 56.11 [50] | 67.39 63.15 [22] 64.00 [50] | 67.45 64.27 [22] 64.54 [50] | 31.21 31.54 [22] | 81.11 81.32 [22] | −5.83 - | 2.161 2.038 [22] | 0.300 0.289 [22] | 6.54 | 
| AlHo | 79.78 79.99 [22] | 62.54 58.24 [22] | 69.06 64.55 [22] | 68.28 65.49 [22] | 31.52 32.39 [22] | 81.95 83.42 [22] | −6.52 - | 2.166 2.022 [22] | 0.300 0.288 [22] | 6.58 | 
| AlEr | 80.51 81.23 [22] | 63.40 59.28 [22] | 70.74 65.89 [22] | 69.10 66.60 [22] | 31.99 32.94 [22] | 83.13 84.83 [22] | −7.34 - | 2.160 2.022 [22] | 0.299 0.288 [22] | 6.68 | 
| AlTm | 81.35 81.75 [22] | 63.98 59.86 [22] | 72.17 66.46 [22] | 69.77 67.16 [22] | 32.59 33.10 [22] | 84.59 85.28 [22] | −8.19 - | 2.141 2.029 [22] | 0.298 0.288 [22] | 6.83 | 
| AlYb | 82.33 52.31 [22] | 64.34 33.22 [22] | 73.18 48.76 [22] | 70.34 39.58 [22] | 33.25 25.76 [22] | 86.16 63.50 [22] | −8.84 - | 2.116 1.537 [22] | 0.296 0.233 [22] | 7.02 | 
| AlLu | 83.77 81.78 [22] | 64.64 60.57 [22] | 74.90 68.00 [22] | 71.01 67.64 [22] 87.70 [47] | 34.42 33.46 [22] | 88.89 86.18 [22] | −10.27 - | 2.063 2.021 [22] | 0.291 0.288 [22] | 7.38 | 
| Disclaimer/Publisher’s Note: The statements, opinions and data contained in all publications are solely those of the individual author(s) and contributor(s) and not of MDPI and/or the editor(s). MDPI and/or the editor(s) disclaim responsibility for any injury to people or property resulting from any ideas, methods, instructions or products referred to in the content. | 
© 2024 by the authors. Licensee MDPI, Basel, Switzerland. This article is an open access article distributed under the terms and conditions of the Creative Commons Attribution (CC BY) license (https://creativecommons.org/licenses/by/4.0/).
Share and Cite
Xiao, F.; Ruan, Z.; Chen, R.; Yin, W.; Fan, T. First-Principles Calculations on Relative Energetic Stability, Mechanical, and Thermal Properties of B2-AlRE (RE = Sc, Y, La-Lu) Phases. Coatings 2024, 14, 1346. https://doi.org/10.3390/coatings14111346
Xiao F, Ruan Z, Chen R, Yin W, Fan T. First-Principles Calculations on Relative Energetic Stability, Mechanical, and Thermal Properties of B2-AlRE (RE = Sc, Y, La-Lu) Phases. Coatings. 2024; 14(11):1346. https://doi.org/10.3390/coatings14111346
Chicago/Turabian StyleXiao, Faxin, Zixiong Ruan, Rui Chen, Wei Yin, and Touwen Fan. 2024. "First-Principles Calculations on Relative Energetic Stability, Mechanical, and Thermal Properties of B2-AlRE (RE = Sc, Y, La-Lu) Phases" Coatings 14, no. 11: 1346. https://doi.org/10.3390/coatings14111346
APA StyleXiao, F., Ruan, Z., Chen, R., Yin, W., & Fan, T. (2024). First-Principles Calculations on Relative Energetic Stability, Mechanical, and Thermal Properties of B2-AlRE (RE = Sc, Y, La-Lu) Phases. Coatings, 14(11), 1346. https://doi.org/10.3390/coatings14111346
 
        

 
       