Long-Term Mechanical Deterioration Trends and Mechanisms of SBS-Modified Asphalt Mixtures
Abstract
1. Introduction
- (1)
- Previous studies have primarily focused on the short- and mid-term performance deterioration of pavements (generally less than 10 years), hindering the establishment of long-term deterioration patterns.
- (2)
- Although external factors such as service life and climate conditions have been extensively studied, the combined effects of internal factors, such as air voids and asphalt aging, on the mechanical deterioration of pavements are not yet fully understood.
2. Objective
- (1)
- Examine the time-evolution trends of pavement air void, IDT strength, fatigue life, and binder’s aging.
- (2)
- Investigate the combined effect of air void and asphalt aging on mixture strength and fatigue deterioration.
3. Methodology
3.1. Project and Pavement Cores Information
3.2. Sample Preparation and Test Procedures
3.2.1. Sample Preparation
3.2.2. Air Voids Content Testing
3.2.3. Fourier Transform Infrared Spectroscopy
3.2.4. Dynamic Shear Rheometer (DSR) Test
3.2.5. Indirect Tension (IDT) Fracture Test
- (1)
- Indirect tensile strength ST
- (2)
- Final displacement u (mm)
- (3)
- Total fracture energy Gf
3.2.6. Indirect Tension (IDT) Fatigue Test
4. Results and Discussion
4.1. Time-Evolution Trends of Performance
4.1.1. Air Void Content
4.1.2. Binder’s Chemical Compositions
4.1.3. Binder’s Rheological Properties
4.1.4. Indirect Tension (IDT) Strength
4.1.5. Indirect Tension (IDT) Fatigue Life
4.2. Correlation of Binder’s Chemical Composition and Rheology
4.3. Correlation of Air Void, Aging, and Mechanical Performance
4.3.1. Strength Deterioration Model
4.3.2. Fracture Energy Deterioration Model
4.3.3. Fatigue Life Deterioration Model
4.4. Insights and Significance for Future Pavement Maintenance
4.4.1. Insights for Pavement Maintenance
- (1)
- In common practice, maintenance is usually implemented when surface performance indicators, such as the Pavement Condition Index (PCI), reach a certain threshold. However, the surface-distress-based decision methods for pavement maintenance may not adequately capture the rapid aging observed in the first three years of service, as surface distresses may not yet be evident. Therefore, it is recommended to apply preventive maintenance, such as applying a fog seal after 3–5 years, to timely rejuvenate aged asphalt surfaces. Additionally, aging degree assessments should be incorporated during early pavement inspections.
- (2)
- In corrective maintenance and rehabilitation, pavement engineers typically need to conduct full-depth sampling of the asphalt layer to determine the treating depth. For the concrete bridge deck pavement discussed in this study, the surface and lower layers deteriorate to a similar degree after more than ten years of service. Therefore, when significant distresses are observed in the surface layer after long-term service, it can be inferred that the underlying layer has experienced similar deterioration, warranting the rehabilitation of both layers. This approach could eliminate the need for coring and testing of the lower layer pavement.
- (3)
- In pavement inspections and sampling, the highway agency can predict pavement residual fatigue life using the performance prediction model proposed in Table 9. The predicted residual fatigue life provides a clear indication of the urgency for maintenance in specific road sections, facilitating early scheduling and budget allocation of maintenance.
4.4.2. Economic and Environmental Benefits
5. Conclusions
- The viscoelasticity of SBS-modified binder exhibits rapid and nonlinear deterioration during the first three years of service, followed by a relatively constant rate of aging. Accordingly, it is recommended to apply preventive maintenance, such as fog seals, within the first 3–5 years to rejuvenate the surface asphalt.
- After 14 years, the air void and mechanical performance of lower-layer mixtures deteriorate to a similar degree as the surface layer. This suggests that, after a long-term service period, once significant distress is detected in the surface layer, it is recommended to repave both the upper and lower layers.
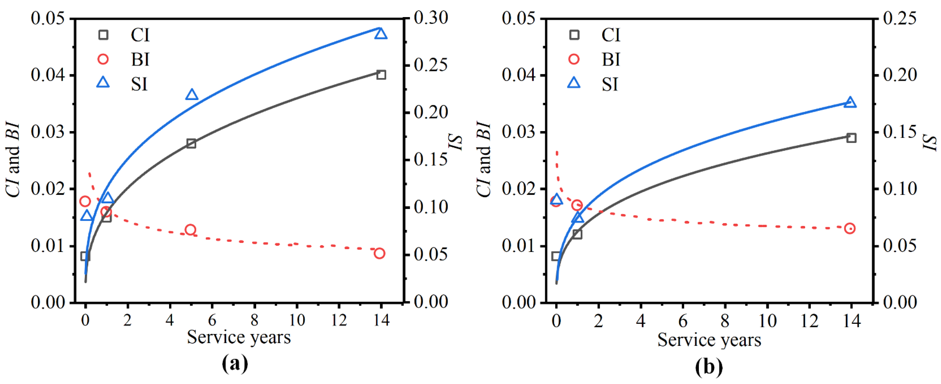
- The complex modulus of SBS-modified asphalt exhibits stronger correlation with the carbonyl index (CI), indicating the base asphalt oxidation plays a major role in the binder’s hardening. Conversely, the phase angle shows a higher sensitivity to the butadiene index (BI), suggesting that the viscous behavior of the binder is primarily affected by SBS polymer degradation, especially at high temperatures.
- Both air voids and binder aging exhibit a significant impact on pavement mechanical deterioration, highlighting the necessity of adopting a lower air void ratio and incorporating anti-aging additives. Specifically, strength shows greater sensitivity to changes in air voids, while fatigue life demonstrates a higher dependency on the binder’s viscoelastic properties.
- The pavement mechanical deterioration can be effectively predicted by total air void (TAV), rutting factor (RF), and fatigue factor (FF), with R2 values greater than 0.96.
Author Contributions
Funding
Institutional Review Board Statement
Informed Consent Statement
Data Availability Statement
Conflicts of Interest
References
- Wu, C.; Zhang, B.; Liu, J.; Si, W. Evolution Analysis of Asphalt Pavement Performance in Its Life Cycle: Case Study in Qinghai–Tibet Highway. Sustainability 2023, 15, 9600. [Google Scholar] [CrossRef]
- Zhang, D.; Zheng, Y.; Yuan, G.; Guo, H.; Zhou, Q.; Qian, G.; Liang, B. Comparative Analysis of Rheological and Microscopic Performance of SBS Modified Asphalt Based on Field Aging and Laboratory Aging. Fuel 2023, 352, 128933. [Google Scholar] [CrossRef]
- Zhang, D.; Zheng, Y.; Yuan, G.; Zhang, Y.; Qian, G.; Zhang, H. Research on the Field Aging Gradient Behavior of SBS-Modified Bitumen at Different Depths of Pavement by Rheological and Microscopic Characterization. Fuel 2022, 329, 125192. [Google Scholar] [CrossRef]
- Zhang, W.; Shen, S.; Wu, S.; Mohammad, L.N. Long-Term Field Aging of Warm-Mix and Hot-Mix Asphalt Binders. Transp. Res. Rec. 2017, 2632, 140–149. [Google Scholar] [CrossRef]
- tur Rasool, R.; Hongru, Y.; Hassan, A.; Wang, S.; Zhang, H. In-Field Aging Process of High Content SBS Modified Asphalt in Porous Pavement. Polym. Degrad. Stab. 2018, 155, 220–229. [Google Scholar] [CrossRef]
- Ding, J.; Jiang, J.; Han, Y.; Ni, F.; Ma, X.; Chen, S. Chemical and Rheological Characterisation of In-Situ SBS Modified Asphalt Pavement Considering the Effect of Aging Gradient. Int. J. Pavement Eng. 2023, 24, 2099856. [Google Scholar] [CrossRef]
- Wang, H.; Zhu, Y.; Zhang, W.; Shen, S.; Wu, S.; Mohammad, L.N.; She, X. Effects of Field Aging on Material Properties and Rutting Performance of Asphalt Pavement. Materials 2022, 16, 225. [Google Scholar] [CrossRef]
- Luo, X.; Gu, F.; Lytton, R.L. Prediction of Field Aging Gradient in Asphalt Pavements. Transp. Res. Rec. 2015, 2507, 19–28. [Google Scholar] [CrossRef]
- Cui, P.; Xiao, Y.; Fang, M.; Chen, Z.; Yi, M.; Li, M. Residual Fatigue Properties of Asphalt Pavement after Long-Term Field Service. Materials 2018, 11, 892. [Google Scholar] [CrossRef]
- Gu, F.; Luo, X.; Zhang, Y.; Lytton, R.L. Using Overlay Test to Evaluate Fracture Properties of Field-Aged Asphalt Concrete. Constr. Build. Mater. 2015, 101, 1059–1068. [Google Scholar] [CrossRef]
- Woo, W.J.; Chowdhury, A.; Glover, C.J. Field Aging of Unmodified Asphalt Binder in Three Texas Long-Term Performance Pavements. Transp. Res. Rec. 2008, 2051, 15–22. [Google Scholar] [CrossRef]
- Jing, R.; Varveri, A.; Liu, X.; Scarpas, A.; Erkens, S. Differences in the Ageing Behavior of Asphalt Pavements with Porous and Stone Mastic Asphalt Mixtures. Transp. Res. Rec. 2021, 2675, 1138–1149. [Google Scholar] [CrossRef]
- Jing, R.; Varveri, A.; Liu, X.; Scarpas, A.; Erkens, S. Laboratory and Field Aging Effect on Bitumen Chemistry and Rheology in Porous Asphalt Mixture. Transp. Res. Rec. J. Transp. Res. Board 2019, 2673, 365–374. [Google Scholar] [CrossRef]
- AASHTO T319; Standard Method of Test for Quantitative Extraction and Recovery of Asphalt Binder from Asphalt Mixtures. AASHTO: Washington, DC, USA, 2022.
- AASHTO T166; Standard Method of Test for Bulk Specific Gravity of Compacted Asphalt Mixtures Using Saturated Surface-Dry Specimens. AASHTO: Washington, DC, USA, 2013.
- AASHTO T209; Standard Method of Test for Theoretical Maximum Specific Gravity and Density of Hot Mix Asphalt (HMA). AASHTO: Washington, DC, USA, 2013.
- Zhang, H.; Chen, Z.; Xu, G.; Shi, C. Evaluation of Aging Behaviors of Asphalt Binders through Different Rheological Indices. Fuel 2018, 221, 78–88. [Google Scholar] [CrossRef]
- ASTM D6931; Standard Test Method for Indirect Tensile (IDT) Strength of Asphalt Mixtures. ASTM: West Conshohocken, PA, USA, 2017.
- Sun, J.; Luo, S.; Wang, Y.; Dong, Q.; Zhang, Z. Pre-Treatment of Steel Slag and Its Applicability in Asphalt Mixtures for Sustainable Pavements. Chem. Eng. J. 2023, 476, 146802. [Google Scholar] [CrossRef]
- ASTM D8225-19; ASTM Standard Test Method for Determination of Cracking Tolerance Index of Asphalt Mixture Using the Indirect Tensile Cracking Test at Intermediate Temperature. ASTM: West Conshohocken, PA, USA, 2019.
- AASHTO T322; Standard Method of Test for Determining the Creep Compliance and Strength of Hot-Mix Asphalt (HMA) Using the Indirect Tensile Test Device. Standard Test Method. AASHTO: Washington, DC, USA, 2011.
- Wu, S.; Zhao, Z.; Xiao, Y.; Yi, M.; Chen, Z.; Li, M. Evaluation of Mechanical Properties and Aging Index of 10-Year Field Aged Asphalt Materials. Constr. Build. Mater. 2017, 155, 1158–1167. [Google Scholar] [CrossRef]
- Hu, J.; Huang, Q.; Lou, N.; Luo, S. Microstructural Characteristics of Interfacial Zone in Asphalt Mixture Considering the Influence of Aggregates Properties. Materials 2020, 13, 2558. [Google Scholar] [CrossRef]
- Shan, L.; Yang, H.; Guo, F.; Li, Z. Fatigue Damage Evolution in Asphalt Mixture Based on X-Ray CT Images. Constr. Build. Mater. 2022, 358, 129242. [Google Scholar] [CrossRef]
- Sun, J.; Huang, W.; Lu, G.; Luo, S.; Li, Y. Investigation of the Performance and Micro-Evolution Mechanism of Low-Content Thermosetting Epoxy Asphalt Binder towards Sustainable Highway and Bridge Decks Paving. J. Clean. Prod. 2023, 384, 135588. [Google Scholar] [CrossRef]
- Cao, W.; Mohammad, L.N.; Barghabany, P.; Cooper, S.B. Relationship between Laboratory and Full-Scale Fatigue Performance of Asphalt Mixtures Containing Recycled Materials. Mater. Struct. 2019, 52, 26. [Google Scholar] [CrossRef]
- Pokorski, P.; Radziszewski, P.; Sarnowski, M. Fatigue Life of Asphalt Pavements on Bridge Decks. Procedia Eng. 2016, 153, 556–562. [Google Scholar] [CrossRef][Green Version]
- Zaltuom, A.M. A Review Study of the Effect of Air Voids on Asphalt Pavement Life. In Proceedings of the First Conference for Engineering Sciences and Technology, Giza, Egypt, 30 November 2018; Volume 2, pp. 618–625. [Google Scholar]
- Sreedhar, S.; Coleri, E. Effects of Binder Content, Density, Gradation, and Polymer Modification on Cracking and Rutting Resistance of Asphalt Mixtures Used in Oregon. J. Mater. Civ. Eng. 2018, 30, 04018298. [Google Scholar] [CrossRef]
- Rafiq, W.; Musarat, M.A.; Altaf, M.; Napiah, M.; Sutanto, M.H.; Alaloul, W.S.; Javed, M.F.; Mosavi, A. Life Cycle Cost Analysis Comparison of Hot Mix Asphalt and Reclaimed Asphalt Pavement: A Case Study. Sustainability 2021, 13, 4411. [Google Scholar] [CrossRef]
- JTG 5421-2018; Specifications for Maintenance Design of Highway Asphalt Pavement. Ministry of Transport of the People’s Republic of China: Beijing, China, 2019.
- JTG/T 3832-2018; Budget Quota for Highway Works. Ministry of Transport of the People’s Republic of China: Beijing, China, 2018.
- JTG/T 3833-2018; Unit Prize of Highway Construction Machinery. Ministry of Transport of the People’s Republic of China: Beijing, China, 2018.
- Hammond, G.; Jones, C. Inventory of Carbon & Energy (ICE); University of Bath: Bath, UK, 2008. [Google Scholar]















| Impact Factors | Pavement Performance Indicators | Field Service Time | Ref | 
|---|---|---|---|
| Service year | Binder rheological properties, chemical composition, and fluorescence morphology | 1, 5 year | [2] | 
| Service year, pavement depth | 1, 5 year | [3] | |
| Service year, pavement depth | 6, 9 year | [5] | |
| Service year, WMA technology, climate | Binder high-temperature PG | 0~7 year | [4] | 
| Service year | 0, 2, 3 year | [7] | |
| Binder type, air void content, pavement depth, temperature, aging time | Mixture dynamic modulus | 1~14 months | [8] | 
| Service year, pavement depth | Binder’s rheological properties, chemical composition, and mixture dynamic modulus | 0, 1, 2, 3 year | [13] | 
| Failure types, traffic load, service time | Mixture residual fatigue properties | 7, 8, 10 year | [9] | 
| Service year, air void, WMA technology | Mixture fracture properties | 1~15 months | [10] | 
| Binder aging | Mixture rutting depth, dynamic modulus | 0, 2, 3 year | [7] | 
| Service year, air void | Binder rheological properties, chemical composition, mixture dynamic modulus | 0~4 year | [12] | 
| Specimen Code | #0 | #1 | #5 | #14 | 
|---|---|---|---|---|
| Service year | 0 | 1 | 5 | 14 | 
| Paving time | 2021.08 | 2020.02 | 2016.05 | 2008.03 | 
| Core collecting time | 2021.11 | 2021.11 | 2021.12 | 2021.11 | 
| Millage for drilling | K1387 + 100–K1388 + 685 | K1388 + 685–K1388 + 780 | K1386 + 000–K1387 + 100 | K1385 + 500–K1385 + 800 | 
| Height of cores (mm) | 100 | 100 | 40 (upper layer) | 100 | 
| Service Years | 0 Year | 1 Year | 5 Years | 14 Years | ||||
|---|---|---|---|---|---|---|---|---|
| Binder property | Type | SBS-modified | SBS-modified | SBS-modified | SBS-modified | |||
| Penetration (0.1 mm) | 56 | 58 | 53 | 50 | ||||
| Softening point (°C) | 77 | 78 | 82 | 80 | ||||
| Ductility (5 °C, cm) | 34 | 35 | 31 | 30 | ||||
| PG-grade | 76–22 | 76–22 | 76–22 | 76–22 | ||||
| Mixture property | Mixture type | SMA13 | SMA16 | SMA13 | SMA16 | SMA13 | SMA13 | SMA16 | 
| Asphalt content (%) | 5.8 | 5.5 | 5.6 | 5.7 | 5.7 | 5.7 | 5.6 | |
| Fiber content | 0.3 | 0.3 | 0.3 | 0.3 | 0.3 | 0.3 | 0.4 | |
| VV | 4.0 | 3.8 | 4.3 | 4.0 | 4.0 | 4.2 | 4.1 | |
| VMA | 17 | 17.9 | 17.8 | 17.5 | 17.5 | 16.65 | 16.8 | |
| VFA | 77.7 | 76.5 | 75.84 | 77.1 | 77.14 | 75.19 | 75.6 | |
| Marshall stability | 9.62 | 8.02 | 8.54 | 8.54 | 8.93 | 10.07 | 8.4 | |
| Layer | Service Year | K | n | R2 | 
|---|---|---|---|---|
| upper | 0 | 89.993 | −8.382 | 0.999 | 
| lower | 103.481 | −8.129 | 0.999 | |
| upper | 1 | 84.034 | −8.454 | 0.999 | 
| lower | 76.692 | −8.383 | 0.999 | |
| upper | 5 | 30.879 | −9.135 | 0.999 | 
| upper | 14 | 25.486 | −7.933 | 0.999 | 
| lower | 30.730 | −7.816 | 0.999 | 
| Deterioration Ratio of Variables | Fitted Coefficients | R2 | p-Value | ||
|---|---|---|---|---|---|
| X | Y | Slope | Intercept | ||
| CI | G*_25 °C | 0.353 | 8.834 | 0.956 | 8.656 × 10−5 | 
| G*_65 °C | 0.226 | 9.162 | 0.895 | 7.769 × 10−4 | |
| δ_25 °C | −0.024 | −0.615 | 0.937 | 1.374 × 10−4 | |
| δ_65 °C | 0.021 | −0.962 | 0.879 | 7.171 × 10−4 | |
| BI | G*_25 °C | −2.675 | 13.485 | 0.900 | 6.925 × 10−4 | 
| G*_65 °C | −1.678 | 12.667 | 0.805 | 0.0038 | |
| δ_25 °C | 0.187 | −0.853 | 0.947 | 1.366 × 10−4 | |
| δ_65 °C | −0.165 | −0.794 | 0.929 | 2.864 × 10−4 | |
| Independent Variables | Dependent Variables | |
|---|---|---|
| Air content indexes: | Total air voids (TAV) | IDT strength (ST) Fracture energy (FE) IDT fatigue life at 0.45 MPa (FL) | 
| Accessible air voids (AAV) | ||
| Asphalt rheological indexes: | Rutting factor (RF) | |
| Fatigue factor (FF) | ||
| Deterioration Ratio of Variables | R2 | Fitted Coefficient | t-Value | p-Value | ||||||
|---|---|---|---|---|---|---|---|---|---|---|
| X1 | X2 | Y1 | X1 | X2 | Intercept | X1 | X2 | X1 | X2 | |
| TAV | FF | ST | 0.940 | −0.211 | −0.148 | −0.128 | −5.69 | −3.04 | <0.001 | 0. 007 | 
| TAV | RF | 0.950 | −0.221 | −0.210 | 0.791 | −7.78 | −3.81 | <0.001 | 0.001 | |
| AAV | FF | 0.921 | −0.075 | −0.228 | 2.208 | −4.48 | −5.07 | <0.001 | <0.001 | |
| AAV | RF | 0.909 | −0.085 | −0.301 | 2.878 | −5.02 | −4.46 | <0.001 | <0.001 | |
| Deterioration Ratio of Variables | R2 | Fitted Coefficient | t-Value | p-Value | ||||||
|---|---|---|---|---|---|---|---|---|---|---|
| X1 | X2 | Y1 | X1 | X2 | Intercept | X1 | X2 | X1 | X2 | |
| TAV | FF | FE | 0.920 | −0.196 | −0.349 | −0.008 | −0.32 | −4.30 | 0.005 | <0.001 | 
| TAV | RF | 0.932 | −0.235 | −0.464 | 1.361 | −4.90 | −4.97 | <0.001 | <0.001 | |
| AAV | FF | 0.911 | −0.069 | −0.426 | 2.187 | −2.72 | −6.18 | 0.014 | <0.001 | |
| AAV | RF | 0.901 | −0.084 | −0.577 | 3.827 | −3.33 | −5.69 | 0.004 | <0.001 | |
| Deterioration Ratio of Variables | R2 | Fitted Coefficient | t-Value | p-Value | ||||||
|---|---|---|---|---|---|---|---|---|---|---|
| X1 | X2 | Y1 | X1 | X2 | Intercept | X1 | X2 | X1 | X2 | |
| TAV | FF | FL | 0.982 | −0.306 | −0.351 | 0.245 | −8.03 | −9.19 | <0.001 | <0.001 | 
| TAV | RF | 0.983 | −0.345 | −0.459 | 1.445 | −8.38 | −10.24 | <0.001 | <0.001 | |
| AAV | FF | 0.977 | −0.117 | −0.447 | 2.173 | −7.982 | −11.210 | <0.001 | <0.001 | |
| AAV | RF | 0.960 | −0.134 | −0.595 | 3.497 | −7.311 | −8.011 | <0.001 | <0.001 | |
| Application Year | Maintenance Measures | Life of Maintenance Measures (Year) | Note | 
|---|---|---|---|
| 3rd | Fog seal | 3 | Knowing aging trend of pavement | 
| 6th | Micro-surfacing | 4 | / | 
| 10th | Ultra-thin overlay (1.5 cm) | 5 | / | 
| 15th | Rehabilitation (End of pavement life cycle) | / | Knowing upper and lower layers deteriorate to same level | 
| Application Year | Maintenance Measures | Life of Maintenance Measures (Year) | Note | 
|---|---|---|---|
| 5th | Micro-surfacing | 2 | Based on the PCI threshold | 
| 7th | Ultra-thin overlay (1.5 cm) | 4 | / | 
| 11th | Mill and overlay (4 cm top surface) | 4 | Solely based on observed distress in the surface layer | 
| 15th | Rehabilitation (End of pavement life cycle) | / | / | 
| Maintenance Activity | Cost ($) | Carbon Emission (t CO2) | 
|---|---|---|
| Fog seal | 2255 | 0.803 | 
| Micro-surfacing | 8782 | 6.158 | 
| Ultra-thin overlay (1.5 cm) | 11,818 | 8.516 | 
| Mill and overlay (4 cm top surface) | 34,964 | 20.432 | 
| Cost and Emission | Predictive Maintenance Plan | Conventional Maintenance Plan | 
|---|---|---|
| Cost ($) | 22,855 | 55,564 | 
| Carbon emission (t CO2) | 15.477 | 35.106 | 
| Disclaimer/Publisher’s Note: The statements, opinions and data contained in all publications are solely those of the individual author(s) and contributor(s) and not of MDPI and/or the editor(s). MDPI and/or the editor(s) disclaim responsibility for any injury to people or property resulting from any ideas, methods, instructions or products referred to in the content. | 
© 2024 by the authors. Licensee MDPI, Basel, Switzerland. This article is an open access article distributed under the terms and conditions of the Creative Commons Attribution (CC BY) license (https://creativecommons.org/licenses/by/4.0/).
Share and Cite
Wang, J.; Liu, M. Long-Term Mechanical Deterioration Trends and Mechanisms of SBS-Modified Asphalt Mixtures. Coatings 2024, 14, 1363. https://doi.org/10.3390/coatings14111363
Wang J, Liu M. Long-Term Mechanical Deterioration Trends and Mechanisms of SBS-Modified Asphalt Mixtures. Coatings. 2024; 14(11):1363. https://doi.org/10.3390/coatings14111363
Chicago/Turabian StyleWang, Jinquan, and Maijian Liu. 2024. "Long-Term Mechanical Deterioration Trends and Mechanisms of SBS-Modified Asphalt Mixtures" Coatings 14, no. 11: 1363. https://doi.org/10.3390/coatings14111363
APA StyleWang, J., & Liu, M. (2024). Long-Term Mechanical Deterioration Trends and Mechanisms of SBS-Modified Asphalt Mixtures. Coatings, 14(11), 1363. https://doi.org/10.3390/coatings14111363
 
        

 
       