Simple Summary
To elucidate the regulatory role of Histone Deacetylase Complex 1 (HDC1) in the primary root growth of Arabidopsis thaliana under potassium (K+) deficiency, we examined primary root growth changes in the hdc1-2 mutant under K+ deficiency stress. The hdc1-2 mutant exhibited significantly inhibited primary root growth compared to the wild-type (WT) plants under low-potassium (LK) conditions, indicating that HDC1 positively regulates root growth under LK conditions. We measured various root zones and found that the inhibition of root growth in hdc1-2 was attributed to reduced apical meristem cell proliferation. The root growth of hdc1-2 showed reduced sensitivity compared to WT after auxin treatment under LK conditions. Moreover, HDC1 negatively regulated the expression of the CBL-CIPK module genes. These findings suggest that HDC1 connects histone deacetylation, auxin signaling, and the CBLs-CIPKs pathway in response to K+ deficiency.
Abstract
Plants frequently encounter relatively low and fluctuating potassium (K+) concentrations in soil, with roots serving as primary responders to this stress. Histone modifications, such as de-/acetylation, can function as epigenetic markers of stress-inducible genes. However, the signaling network between histone modifications and low-K+ (LK) response pathways remains unclear. This study investigated the regulatory role of Histone Deacetylase Complex 1 (HDC1) in primary root growth of Arabidopsis thaliana under K+ deficiency stress. Using a hdc1-2 mutant line, we observed that HDC1 positively regulated root growth under LK conditions. Compared to wild-type (WT) plants, the hdc1-2 mutant exhibited significantly inhibited primary root growth under LK conditions, whereas HDC1-overexpression lines displayed opposite phenotypes. No significant differences were observed under HK conditions. Further analysis revealed that the inhibition of hdc1-2 on root growth was due to reduced apical meristem cell proliferation rather than cell elongation. Notably, the root growth of hdc1-2 showed reduced sensitivity compared to WT after auxin treatment under LK conditions. HDC1 may regulate root growth by affecting auxin polar transport and subsequent auxin signaling, as evidenced by the altered expression of auxin transport genes. Moreover, the organ-specific RT-qPCR analyses unraveled that HDC1 negatively regulates the expression of CBL-CIPK-K+ channel-related genes such as CBL1, CBL2, CBL3, AKT1, and TPK1, thereby establishing a molecular link between histone deacetylation, auxin signaling, and CBLs-CIPKs pathway in response to K+ deficiency.
1. Introduction
Potassium (K+) is the predominant inorganic cation in plant cells and plays a crucial role in fundamental physiological processes and stress responses [1]. It is involved in enzyme activation, protein synthesis, photosynthesis, and the regulation of water uptake and transport within plants. Additionally, K+ contributes to the maintenance of turgor pressure in plant cells [2,3]. In most arable fields, the concentration of soluble K+ varies between 0.1 and 1 mM and fluctuates greatly with additional potash fertilization, presenting a challenge for plants in maintaining optimal K+ levels for growth and development [4,5]. However, plants have evolved the ability to efficiently absorb K+ from their surroundings and maintain relatively high levels within the cytosol [6]. In-depth analysis of the molecular mechanisms of plant response and adaptation to limited K+ in the soil can guide the breeding of new crops with higher K+ utilization efficiency and support sustainable agriculture.
The customary K+ concentration in plant cells is generally higher than that observed in the soil of most arable fields [7]. Consequently, most research has focused on how plants respond to low-K+ (LK) environments. K+ homeostasis is regulated by a diverse array of K+ channels and transport proteins, facilitating plant adaptation to K+ deficiency [8,9]. Ca2+-CBLs-CIPKs pathways play key roles in connecting K+ status with the activity of channels and transporters [10]. Specifically, to deal with K+ deficiency, the CBL1/9-CIPK1/9/23 complex enhances the uptake of K+ ions from the environment by activating the AKT1 K+ channel and the HAK5 K+ transporter on the plasma membrane through phosphorylation. Concurrently, the CBL2/3-CIPK3/9/23/26 complex can activate the TPK1/3/5 K+ channel on the vacuolar membrane, thereby releasing vacuolar K+ into the cytoplasm [11,12,13,14]. HAB1/ABC1/ABC2/PP2CA phosphatases in the ABA signaling pathway can dephosphorylate vacuolar membrane CBL2/3 and influence its degradation under high-potassium (HK) conditions, serving a negative regulatory role in the plant response to LK stress [15]. Moreover, the target of the rapamycin complex (TORC), an evolutionarily conserved nutrient regulator in eukaryotes [16,17,18], can negatively regulate the activity of CBL2/3-CIPKs in plants, which in turn can inhibit TORC [10]. However, the understanding of the upstream regulatory networks of the Ca2+-CBL-CIPK pathway and TORC module in LK responses remains limited.
Auxin is a vital phytohormone regulating plant growth and development, and it acts on the distribution of plant roots [19]. In the roots of Arabidopsis thaliana L., auxin is symmetrically distributed in the root cap and meristem, and the auxin concentration in each tissue is coordinated by inflow and efflux [20]. Auxin efflux carriers formed by PIN-FORMED (PIN) proteins and auxin influx carriers formed by AUXIN RESISTANT 1 (AUX1) protein in the plasma membrane are essential for polar auxin transport [21,22,23,24]. Research has shown an intriguing interplay between the K+ and auxin signaling pathways. K+ deficiency at the root tip can inhibit auxin transport, leading to uneven auxin distribution in the central cylindrical cells of the apical part of the root tip, which inhibits primary root growth [25,26,27].
In eukaryotes, multiple post-translational modifications of histones in chromatin, such as acetylation, methylation, phosphorylation, and ubiquitination, can dynamically and reversibly regulate the chromatin structure, thereby regulating the expression patterns of genes wrapped around core histones [28,29]. Increasing evidence indicates that histone modification plays essential roles in plant responses to environmental stress. For example, H3K27me and H3K27ac mediate transcriptional dynamics and contribute to root development and nitrogen (N) metabolic processes in wheat [30]. Histone deacetylase 6 (HDA6) physically interacts with ABI5 to decrease apple drought tolerance [31]. HDA19 is involved in both root cell elongation and the expression regulation of some phosphate (P) starvation response genes under inorganic P (Pi)-deficient conditions [32]. Histone Deacetylase Complex 1 (HDC1) is a component of the histone deacetylation complex. A previous study showed that HDC1-mediated histone H3 deacetylation represses the transcriptional activation of genes involved in Pi starvation responses in A. thaliana [33]. Knockout/overexpression of HDC1 increases/decreases the sensitivity of plants to abscisic acid (ABA) and salt stress [34]. A recent study revealed that HDC1 responds to salt stress via a dual mechanism involving both histone deacetylation and histone methylation [35]. However, the function and mechanism of HDC1 in response to other stresses, such as low K+ and low N, still need to be elucidated.
In this research, we used the HDC1 mutant line, hdc1-2, to investigate the role of histone acetylation in the primary root growth response to K+ deficiency in A. thaliana. HDC1 regulated root growth under LK stress by regulating PIN-mediated polar auxin transport. We found that the inhibition of hdc1-1 on primary root growth was increased under K+ deficiency compared with WT plants. Auxin signal transduction is necessary for root growth and development. In summary, our results suggest that HDC1 is a negative regulator of primary root growth under conditions of K+ deficiency.
2. Materials and Methods
2.1. Plant Materials
All A. thaliana stocks were in the Landsberg erecta (Ler) background. hdc1-2 was segregated from the ag-11 hdc1-2 double mutant obtained by EMS mutagenesis with ag-11. Gene diagrams of HDC1 showing the locations of the hdc1-2 mutation and phenotypes of ag-11 and hdc1-2 single and double mutants are shown in Figure S1. The HDC1 full-length genomic sequence was constructed into pGWB616, driven by the HDC1 native promoter and transformed into Ler and hdc1-2 to obtain overexpression (OE) and complementation (COM) lines. The transformation of A. thaliana was carried out through the infection of A. thaliana inflorescences with Agrobacterium strain (GV3101).
2.2. Phenotype Analyses and Plant Growth Conditions
Seeds were surface-sterilized with a mixed solution of 75% (v/v) ethanol, washed with sterilized distilled water, and then incubated in the dark at 4 °C for 7 days. The seeds were then planted on LK (50 μM) or HK (5 mM) media containing 1% (w/v) sucrose and 0.9% (w/v) agar and grown at 22 °C under constant illumination at 60 μmol.m−2.s−1 for 7 days. LK and HK medium were modified from MS (pH 5.8) according to Zhang et al. [36].
For auxin treatment experiments, NAA (1-naphthaleneacetic acid) or IAA (indole-3-acetic acid) was added after the autoclaved medium was cooled to 60 °C. NAA and IAA were ordered from Sigma-Aldrich (Saint Louis, MO, USA). Photographs were taken after 5 to 7 days. Three technical replicates were analyzed for each biological replicate, and the phenotypic assay was repeated at least three times.
For seed harvesting and hybridization, A. thaliana plants were cultured in the potting soil mixture (rich soil: vermiculite, ¼ 2:1, v/v) and kept in a plant growth room at 22 °C in a 16 h-light/8 h-dark cycle with a light intensity of 120 μmol.m−2.s−1. The relative humidity of the growth chamber remained at 65–75% (v/v).
2.3. Confocal Microscopy and Root Apical Meristem Cell Number Counting
For primary root tip observation, sterilized A. thaliana seeds were directly germinated on HK medium and LK medium for 7 days or 5 days, and then the roots were imaged using Canon EOS R6, and the lengths were measured using Digimizer software (Version 3.12.0). Plants were stained using propidium iodide solution (10 mg/mL) for 1 min, followed by a 2 min rinse using deionized water. Roots were then observed using a laser confocal scanning microscope (Zeiss LSM710, Oberkochen, Germany) with the excitation and emission wavelengths set at 536 nm and 617 nm, respectively. The meristem cortex cell number was counted based on the files of cortex cells extending from the quiescent center to the transition zone, represented by the first elongated cell, which underwent cell expansion along the longitudinal axis with an elongated morphology [37]. Three biological replicates were prepared and analyzed simultaneously.
2.4. Histochemical GUS Staining
Then, 1158 bp was selected as the promoter of HDC1 and cloned into pGWB162 with the GUS coding region. The ProHDC1:GUS construct was transformed into Ler using the floral dip method. Three independent transgenic lines expressing ProHDC1:GUS were analyzed. After 7 days of growth in HK medium or LK medium, tissues or hand-cut roots of the transgenic plants were incubated in commercial GUS staining solution at 37 °C for about 12 h, and then destained with 75% (v/v) ethanol. Images were taken under a stereomicroscope, and six roots were analyzed.
2.5. RT-qPCR Analysis
Total RNA was isolated from the roots of 7-day-old seedlings using TRIzol reagent (Invitrogen, Waltham, MA, USA). The RNA was subsequently treated with DNase I (RNase Free, Takara, Kusatsu, Japan) to eliminate any potential genomic DNA contamination. One microgram of total RNA was reverse-transcribed using NovoScript Plus All-in-one 1st Strand cDNA Synthesis Super Mix (Novoprotein). Quantitative real-time PCR analysis was performed on a Bio-Rad CFX-96 Real-time PCR system (Bio-Rad, Hercules, CA, USA) using 2 × ChamQ Universal SYBR qPCR Master Mix (Vazyme, Nanjing, China). Each sample was subjected to three biological replicates. ACTIN2 was used as an internal control, and the relative expression levels were calculated using the 2−ΔΔCT method. Three technical replicates were analyzed for each biological replicate. The qPCR primers used are shown in Supplemental Table S1.
2.6. Accession Numbers
Sequence data from this article can be found in TAIR (www.Arabidopsis.org) under the following accession numbers: HDC1 (At5g08450), PIN1 (At1G73590), PIN2 (At5G08720), PIN3 (At1G70940), AUX1 (At2G38120), CBL1 (At4g17625), CBL9 (At5g47100), CBL2 (At5G55990), CBL3 (At4G26570), AKT1 (At2G26650), TPK1 (At5G55630).
3. Results
3.1. Root Apical Meristem Activity Is Reduced in hdc1-2 Mutant Under Low-K+ Conditions
To investigate the role of HDC1 in root growth under low-K+ stress, we observed the growth of a homozygous mutant hdc1-2 (Figure S1), which was generated through EMS mutagenesis in the Ler ecotype of A. thaliana and verified through complementary transformation experiments under various K+ conditions. When Arabidopsis seeds were germinated and cultured on low-K+ (LK, 50 μM) medium for 7 days, the hdc1-2 mutant exhibited significantly greater inhibition of primary root growth than Ler and the complementation line (COM1) plants (Figure 1). However, in the high-K+ (HK, 5 mM) medium, hdc1-2 showed a marginally shorter primary root than Ler and COM1 (Figure 1). These observations suggest that the short root phenotype of the hdc1-2 mutant under LK stress was attributable to the loss of HDC1 function.
Figure 1.
Arabidopsis thaliana L. primary root growth in hdc1-2 was inhibited under low-potassium (LK) conditions. (A) Phenotypes of the wild-type (Ler), hdc1-2 mutant (hdc1-2), and hdc1-2/ProHDC1:HDC1 complementation line (COM1). Arabidopsis seeds were germinated and grown on LK (50 μM) or HK (5 mM) media. The phenotypes were recorded on the seventh day. (B) Primary root lengths of the plants tested in (A). Data are means of three independent biological replicates ± SE; 21 seedlings per genotype under each condition were processed for each replicate. Statistical significance was determined using Student’s t-test (*** p < 0.001), Scale bar, 1 cm.
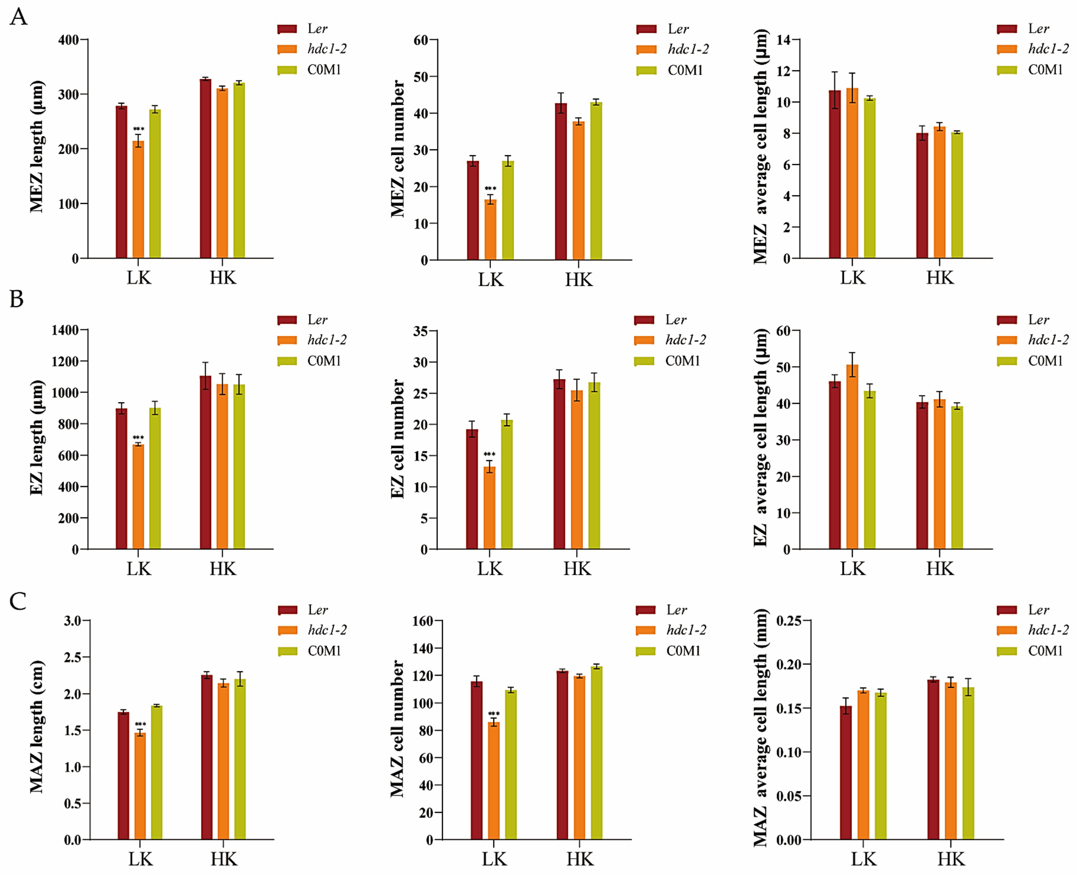
Efficient cell division and differentiation in a dynamic balance are key to maintaining continuous root growth [38,39], and root developmental plasticity relies on changes in apical meristem activity [40]. To elucidate the underlying mechanism responsible for the short primary roots of hdc1-2, we observed and measured the different zones within the primary roots, specifically the apical meristem zone (MEZ), elongation zone (EZ), and the maturation zone (MAZ). No significant differences in root growth were observed between Ler and hdc1-2 under HK conditions. However, under LK stress, all the tested zones were shorter in hdc1-2 than in Ler due to a decrease in the number of cells in the mutant root rather than cell length (Figure S2 and Figure 2). This suggests that under LK conditions, the cell division of hdc1-2 may have been impaired, which led to a decrease in the number of root cells.
Figure 2.
The short-root phenotype of the hdc1-2 mutant under low-potassium (K+) conditions is attributed to the suppression of root apical meristem cell proliferation. (A–C) Different regional lengths, regional cell numbers, and cell lengths of Arabidopsis roots. Seeds were germinated and grown in low-potassium (LK, 50 μM) or high-potassium (HK, 5 mM) medium. The phenotypes were recorded on the seventh day; MEZ, apical meristem zone; EZ, elongation zone; MAZ, maturation zone. Data are means of three independent biological replicates ± SE, and four seedlings per genotype under each condition were processed for each replicate. Statistical significance was determined using Student’s t-test (*** p < 0.001).
3.2. Overexpression of the HDC1 Gene Enhances Root Apical Meristem Under Low-K+ Conditions
To further corroborate the above conclusion, we generated overexpression lines of ProHDC1:HDC1. After 5 days of growth on LK medium, the primary root length of these two overexpression lines (OE-4 and OE-8) was significantly longer than that of the wild-type (Ler) (Figure 3). This phenotype indicates that HDC1 plays a role in regulating root growth under LK conditions.
Figure 3.
The Arabidopsis thaliana L. primary root growth in the HDC1-overexpression line was promoted under low-potassium (K+) conditions. (A) Phenotypes of the wild-type (Ler) and Ler/ProHDC1:HDC1 overexpression lines (OE-4 and OE-8). Seeds were germinated and grown on low-potassium (LK, 50 μM) or high-potassium (HK, 5 mM) medium. The phenotypes were recorded on the fifth day. Scale bar, 1 cm. (B) Primary root lengths of plants tested in (A). Data are means of three independent biological replicates ± SE, and 21 seedlings per genotype under each condition were processed for each replicate. Statistical significance was determined using Student’s t-test (*** p < 0.001).
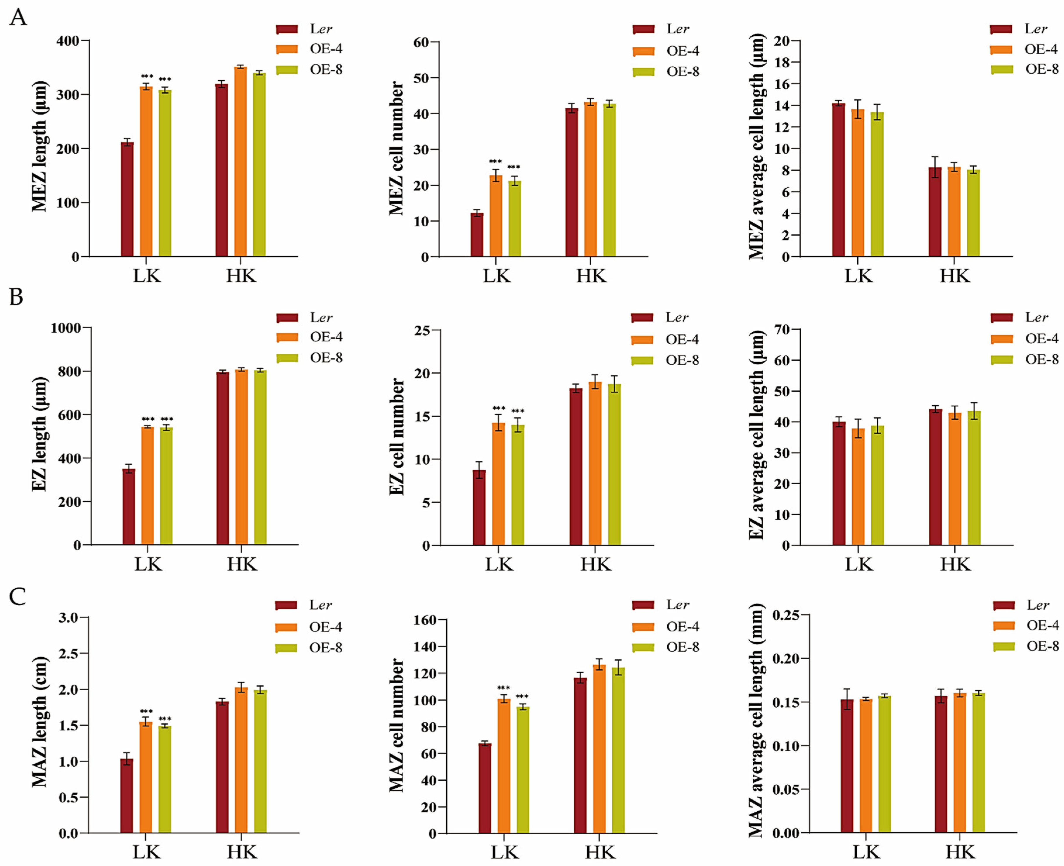
At the same time, observations and measurements were conducted on different regions of the main root of overexpressed (OE) lines. Under LK conditions, due to an increase in the number of cells in the root, all test regions of the OE-4 and OE-8 transgenic plants were longer than those of Ler, but there was no difference under HK conditions (Figure S3 and Figure 4). These results further indicated the regulation of root mitotic cell division by HDC1.
Figure 4.
The long-root phenotype of HDC1 overexpression lines under low-potassium (K+) conditions is attributed to the enhancement of root apical meristem cell proliferation. (A–C) Different regional lengths, regional cell numbers, and cell lengths of young roots of Arabidopsis. Seeds were germinated and grown on low-potassium (LK, 50 μM) or high-potassium (HK, 5 mM) medium. The phenotypes were recorded on the fifth day. MEZ, apical meristem zone; EZ, elongation zone; MAZ, maturation zone. Data are means of three independent biological replicates ± SE, four seedlings per genotype under each condition were processed for each replicate. Statistical significance was determined using Student’s t-test (*** p < 0.001).
3.3. Expression Pattern of HDC1 and Its Responses to K+ Availability
The phenotypes of impaired root growth and cell division suggest a potential role for HDC1 in root meristem responses to K+ deficiency. Consequently, we examined the transcript abundance of HDC1 in roots under LK and HK conditions. As shown in Figure 5A, the expression level of HDC1 remained unaffected by K+ deficiency compared with that in plants grown under sufficient K+. To verify and further analyze the HDC1 expression pattern and its response to K+ availability, we generated transgenic plants (ProHDC1:GUS) carrying the marker gene GUS driven by the native HDC1 promoter in the Ler ecotype. The results of GUS staining showed that HDC1 was widely expressed in the vegetative seedling stage of Arabidopsis, with GUS activity more pronounced in the root tip than in other parts of the root (Figure 5B), which is consistent with a previous study in the Col-0 ecotype [33] and a potential role of HDC1 in root meristem responses to K+ deficiency. Subsequently, randomly selected ProHDC1:GUS lines were subjected to LK or HK treatment for 7 days. The samples were then collected for staining observation. As shown in Figure 4C, strong GUS activity at the root tips could not be differentiated between the LK and HK treatments.
Figure 5.
Expression patterns of HDC1 in response to potassium (K+) availability in Arabidopsis thaliana L. (A) Quantitative reverse transcription polymerase chain reaction (RT-qPCR) analysis of HDC1 expression in roots in response to K+ availability. The expression levels were normalized to those of AtACT2, an internal control. Data are means ± SE of three independent biological replicates; each with three technical replicates; each sample contained 150–200 individual plants. (B) β-Glucuronidase (GUS) activity assay of HDC1 expression. Bars, 1 cm (seedling); 1 mm (mature zone and root tip). (C) GUS staining in the root tips of ProHDC1: GUS transgenic plants. Scale bar, 1 mm. Seeds were germinated and grown on low-potassium (LK, 50 μM) or high-potassium (HK, 5 mM) medium for 7 days. Ten seedlings were stained, and six roots were analyzed.
3.4. The Root Growth Phenotype of hdc1-2 Under Low-K+ Conditions Is Controlled by Auxin Signaling
Previous research has uncovered the crucial role of auxin in regulating cell division, elongation, and differentiation, as well as in the response of roots to environmental stimuli [41,42]. Specifically, studies have demonstrated that the root growth phenotype under low-K+ conditions is regulated by auxin signaling in Arabidopsis [43]. Ler and hdc1-2 plants exhibited different root growth phenotypes under LK conditions. We hypothesized that auxin signaling might be involved in this root growth phenotype. To investigate whether the short-root phenotype of hdc1-2 was due to a decrease in auxin levels, we supplemented the medium with 1-naphthalene acetic acid (NAA), and the root growth phenotype was indeed affected. In the LK medium, the addition of NAA inhibited the primary root growth of Ler and COM1, and no significant difference in primary root length was observed among Ler, COM1, and hdc1-2, as the root growth of hdc1-2 remained largely unaltered after NAA treatment (Figure 6). This observation suggests that the sensitivity of hdc1-2 to NAA/IAA was diminished under LK conditions. Correspondingly, the overexpression lines (OE-4 and OE-8) maintained a longer primary root length than Ler, despite the inhibitory effect of NAA addition to the LK medium. Similar phenotypes were observed under the exogenous IAA treatment (Figure 7). These findings suggest that HDC1 positively regulates the sensitivity of Arabidopsis primary roots to auxin under LK conditions.
Figure 6.
Partial restoration of Arabidopsis thaliana L. primary root growth in the hdc1-2 mutant with low-potassium (K+) inhibition by exogenous application of NAA and IAA. (A) Phenotypes of the various plants. Scale bar, 1 cm. (B,C) Primary root length of the plants tested in (A). Seeds were germinated and grown on low-potassium (LK, 50 μM) or high-potassium (HK, 5 mM) medium with or without NAA or IAA. The phenotypes were recorded on the seventh day. Data are means of three independent biological replicates ± SE, and 21 seedlings per genotype under each condition were processed for each replicate. Statistical significance was determined using Student’s t-test (*** p < 0.001).
Figure 7.
Inhibition of Arabidopsis thaliana L. primary root growth in overexpression lines by exogenous application of NAA and IAA under low-potassium (K+) stress. (A) Phenotypes of various plants. Scale bar, 1 cm. (B,C) Primary root length of the plants tested in (A). Arabidopsis seeds were germinated and grown on low-potassium (LK, 50 μM) or high-potassium (HK, 5 mM) medium with or without NAA or IAA. The phenotypes were recorded on the fifth day. Data are means of three independent biological replicates ± SE, and 21 seedlings per genotype under each condition were processed for each replicate. Statistical significance was determined using Student’s t-test (*** p < 0.001).
Auxin export vector proteins PIN1, PIN2, PIN3, and the input vector protein AUX1 mediate rapid auxin signaling in roots [44,45,46]. To further investigate whether the auxin transport pathway is involved in the growth retardation phenotype of hdc1-2 under LK conditions, we examined the expression of PIN1, PIN2, PIN3, and AUX1. The RT-qPCR results indicate that the expression of PIN1 was upregulated and the expression of AUX1 was significantly downregulated in hdc1-2 under LK conditions (Figure 8). Upon application of exogenous NAA, a significant increase in the expression of PIN1 in hdc1-2 was observed, suggesting that exogenous NAA can partially restore the inhibited auxin transport levels in the LK treatment (Figure 8A). Considering the reduced sensitivity of hdc1-2 to NAA/IAA under LK conditions, it can be inferred that HDC1 regulates root growth by influencing PIN1- and AUX1-mediated auxin transport and subsequently auxin signaling.
Figure 8.
Expression of PIN1 (A), PIN2 (B), PIN3 (C), and AUX1 (D) under low-potassium (LK, 50 μM), high-potassium (HK, 5 mM), and LK + 1-naphthaleneacetic acid (NAA, 100 nM) treatments. Arabidopsis seeds were germinated and grown in different media for 7 days. Expression levels were normalized to AtACT2, an internal control. Data are presented as means ± SE of three independent biological replicates; each with three technical replicates; each sample contained 150–200 individual plants. Statistical significance was determined using Student’s t-test (*, p < 0.05).
3.5. HDC1 Negatively Regulates the Expression of CBL-CIPK Module Genes
It is well established that dual CBL-CIPK pathways regulate K+ channels and transporters in response to K+ fluctuations in the environment. HDC1 has been identified as a component of HDAC complexes, and its knockout promotes histone acetylation and gene expression [34]. We examined the transcript levels of genes in “CBL-CIPK-channel” modules in response to external K+ and found that their expression was induced by LK (Figure 9), consistent with previous reports. There were no differences in the transcript levels of CBL9 between hdc1-2 and Ler, although the expression of CBL9 was induced by LK stress, similarly to other genes (Figure 9C). However, the expressions of CBL1 and CBL2 were considerably higher in hdc1-2 than in Ler under both the HK and LK conditions (Figure 9A,B). Additionally, the expressions of CBL3, AKT1, and TPK1 were significantly increased in hdc1-2 under LK stress (Figure 9D–F). These results indicate that HDC1 acts upstream of “CBL-CIPK-channel” modules under K+ deficiency.
Figure 9.
HDC1 affects the expression of “CBL-CIPK-channel” module genes in Arabidopsis thaliana L. (A–F) Transcript levels of CBL1, CBL2, CBL9, CBL3, AKT1, and TPK1 in WT (Ler) and hdc1-2 mutant under low-potassium (LK, 50 μM) and high-potassium (HK, 5 mM) conditions. Arabidopsis seeds were germinated and grown in LK or HK medium for 7 days. Expression levels were normalized to AtACT2, an internal control. Data are presented as means ± SE of three independent biological replicates; each with three technical replicates; each sample contained 150–200 individual plants). Statistical significance was determined using Student’s t-test (*, p < 0.05; **, p < 0.01).
4. Discussion
Histone acetylation/deacetylation, mediated by histone acetyltransferases (HATs) and histone deacetylases (HDACs), is a reversible epigenetic switch that regulates plant gene expression. Studies have demonstrated that HDC1 is a shared subunit of HDA6 and HDA19 HDAC complexes [47]. HDC1 enables multiple protein interactions in HDAC complexes and participates in the regulation of flowering time, fruit growth, abscisic acid sensitivity, and responses to salt and low-P stress [33,34,35]. Plant roots perceive abiotic stress in the soil and adapt their architecture to maintain survival and development [48,49]. To better characterize the involvement of HDC1 in the nutritional stress response of plants, we investigated the effect of K+ supplementation on primary root growth in Arabidopsis mutant and overexpression lines of HDC1. Our findings indicate that HDC1 is essential for the maintenance of primary root growth under LK conditions in Arabidopsis (Figure 1 and Figure 3). Further analysis demonstrated that HDC1 is crucial for the preservation of apical meristem cell division under LK conditions (Figure 2 and Figure 4), thereby exerting a regulatory function on primary root growth. This is supported by the observation that HDC1 exhibits strong expression in root tips (Figure 5). A previous study has shown that HDC1 is post-translationally regulated in response to Pi deficiency. Our in planta promoter-GUS activity assay results reveal that strong GUS activity at the root tips could not be differentiated between LK and HK treatments, consistent with the root-specific RT-qPCR analysis results of HDC1 (Figure 5). Considering these findings collectively, we propose that HDC1 is post-translationally regulated in response to K+ deficiency.
The plasticity of the plant root system is largely related to phytohormone metabolism and signaling. For example, higher CuSO4 concentrations inhibited primary root elongation in Arabidopsis seedlings by modulating auxin distribution through PIN1 but not PIN2 or AUX1 [50,51]. Previous research has indicated a link between LK perception and auxin signaling [43]. Later research showed that the AKT1-mediated LK response is primarily mediated by PIN1 proteins [52]. In the current study, we found that HDC1 positively regulates the sensitivity of root growth to auxin because the root growth of hdc1-2 was almost unchanged, and HDC1-overexpression lines still had longer primary roots than Ler after NAA treatment under LK (Figure 6 and Figure 7). HDC1 may regulate root growth both by affecting auxin transport and subsequently auxin sensitivity, since the expression of PIN1 and AUX1 was significantly altered (Figure 8).
Plants mainly rely on two strategies to cope with low potassium stress in the environment: the CBL1/9-CIPKs complex and the CBL2/3-CIPKs complex. The CBL1/9-CIPK1/9/23 complex activates the K+ channel AKT1 and K+ transporter HAK5 in the plasma membrane in response to low-K+ stress. Tonoplast-localized CBL2 and CBL3 interact with four CIPKs that, in turn, propel K+ remobilization from the vacuole store through the activation of TPK-type K+ channels [53,54]. Previous research has demonstrated that “CBL-CIPK-channel” modules respond to external K+ by altering their protein abundance [15]. However, limited information is available regarding the upstream regulators of “CBL-CIPK-channel” modules in plants. Our organ-specific RT-qPCR analyses revealed that HDC1 negatively regulates the expression of CBL1, CBL2, CBL3, AKT1, and TPK1 (Figure 9). This observation aligns with the role of HDC1-mediated histone deacetylation in the regulation of chromatin structure and gene expression. A recent study reported that HDC1 attenuates salt stress responses by moderating the salt-induced H3K9/14 hyperacetylation and transcriptional activation of stress-induced genes [35]. Considering that “CBL-CIPK-channel” modules were induced by LK, it is plausible that HDC1 also attenuates LK responses via the deacetylation of LK-inducible CBL-CIPK-K+ channel-related genes.
In addition to catalyzing histone deacetylation, some HDACs deacetylate non-histone proteins to regulate multiple pathways [55]. HDC1 in plants is encoded by a single copy gene and functions as a component of HDACs. Previous studies have shown that HDC1 mediates histone H3 deacetylation to inhibit LPR and ALMT1 transcription and to regulate root system development in Arabidopsis under Pi starvation [33]. The present results indicate that HDC1 regulates the auxin-dependent primary root growth and the expression of CBLs–CIPKs pathway genes. The CBLs-CIPKs pathway regulates auxin transporters and coordinates auxin-mediated root responses to abiotic stresses [56,57]. We hypothesized that HDC1 mediates histone H3 deacetylation to inhibit CBLs-CIPKs signaling pathways, thus modulating auxin transporters and regulating auxin-mediated root responses to LK stress.
5. Conclusions
In this study, our findings establish a novel molecular pathway of HDC1-controlled root growth and highlight the molecular link between the CBLs-CIPKs pathway and auxin signaling in response to K+ deficiency. We propose that HDC1 puts the brake on LK responses via the deacetylation of LK-inducible “CBL-CIPK-K+ channel” modules to counteract LK-induced histone hyperacetylation (Figure 10). This mechanism reinforces the role of HDC1 as a multifunctional scaffolding protein that interacts with HDACs. Future research should investigate the histone acetylation levels of the CBLs–CIPKs pathway and auxin pathway gene sites and identify the HDC1 interactor in response to LK stress.
Figure 10.
The working model of HDC1 in root growth regulation in response to LK stress. HDC1 puts the brake on low-potassium (K+) responses as it stabilizes the HDAC complex and the mediates histone deacetylation of CBL-CIPK-K+ channel-related genes, thereby counteracting low-K+-stress-induced acetylation and dampening transcriptional upregulation, thus modulating auxin transporters and regulating auxin-mediated root responses to low K+ stress.
Supplementary Materials
The following supporting information can be downloaded at: https://www.mdpi.com/article/10.3390/biology14010057/s1, Figure S1: Diagram of the Histone Deacetylase Complex 1 (HDC1) gene and phenotypes of ag-11 and hdc1-2 single and double mutants. Figure S2: Micrograph of root apical meristem zones of the wild-type (Ler), hdc1-2 mutant (hdc1-2), and c16s/ProHDC1:HDC1 complementation line (COM1). Figure S3: Micrograph of root apical meristem zones of wild-type (Ler) and Ler/ProHDC1:HDC1 overexpression lines (OE-4 and OE-8). Table S1: Primers used in this study.
Author Contributions
X.K. and H.C. designed and performed the experiments, analyzed data and wrote the manuscript draft. J.X. and J.Z. participated in the phenotyping and molecular biology experiments. Q.L. assisted with figure preparation and Arabidopsis planting. Y.S. and C.H. contributed to the phenotyping and revised the manuscript. J.X. and R.W. helped edit the manuscript. W.L. and Z.H. conceived the project, supervised the study, and revised the manuscript. All authors have read and agreed to the published version of the manuscript.
Funding
This research was funded by the Natural Science Foundation of Hunan Province (2024JJ5196), the Scientific Research Fund of Hunan Provincial Education Department (23A0189), the National Natural Science Foundation of China (30900099), the National Key Research and Development Program of China (2018YFD1000404).
Institutional Review Board Statement
Not applicable.
Informed Consent Statement
Not applicable.
Data Availability Statement
The data presented in this study are available upon request from the corresponding author.
Acknowledgments
We are grateful for constructive suggestions and experimental support from colleagues in our laboratory. We thank the editorial team and reviewers for thoroughly evaluating the manuscript and providing constructive comments for its improvement.
Conflicts of Interest
The authors declare that they have no conflicts of interest.
References
- Sardans, J.; Peñuelas, J. Potassium control of plant functions: Ecological and agricultural implications. Plants 2021, 10, 419. [Google Scholar] [CrossRef]
- Dreyer, I.; Uozumi, N. Potassium channels in plant cells. FEBS J. 2011, 278, 4293–4303. [Google Scholar] [CrossRef]
- Mostofa, M.G.; Rahman, M.M.; Ghosh, T.K.; Kabir, A.H.; Abdelrahman, M.; Khan, M.A.R.; Tran, L.S.P. Potassium in plant physiological adaptation to abiotic stresses. Plant Physiol. Biochem. 2022, 186, 279–289. [Google Scholar] [CrossRef]
- Wang, Y.; Wu, W.H. Regulation of potassium transport and signaling in plants. Curr. Opin. Plant Biol. 2017, 39, 123–128. [Google Scholar] [CrossRef]
- Maathuis, F.J.M. Physiological functions of mineral macronutrients. Curr. Opin. Plant Biol. 2009, 12, 250–258. [Google Scholar] [CrossRef] [PubMed]
- Wang, Y.; Chen, Y.F.; Wu, W.H. Potassium and phosphorus transport and signaling in plants. J. Integr. Plant Biol. 2021, 63, 34–52. [Google Scholar] [CrossRef] [PubMed]
- Tang, R.J.; Wang, C.; Li, K.; Luan, S. The CBL–CIPK calcium signaling network: Unified paradigm from 20 years of discoveries. Trends Plant Sci. 2020, 25, 604–617. [Google Scholar] [CrossRef] [PubMed]
- Wang, Y.; Wu, W.H. Potassium transport and signaling in higher plants. Annu. Rev. Plant Biol. 2013, 64, 451–476. [Google Scholar] [CrossRef]
- Véry, A.A.; Nieves-Cordones, M.; Daly, M.; Khan, I.; Fizames, C.; Sentenac, H. Molecular biology of K+ transport across the plant cell membrane: What do we learn from comparison between plant species? J. Plant Physiol. 2014, 171, 748–769. [Google Scholar] [PubMed]
- Li, K.L.; Xue, H.; Tang, R.J.; Luan, S. TORC pathway intersects with a calcium sensor kinase network to regulate potassium sensing in Arabidopsis. Proc. Natl. Acad. Sci. USA. 2023, 120, e2316011120. [Google Scholar] [CrossRef]
- Ragel, P.; Ródenas, R.; García-Martín, E.; Andrés, Z.; Villalta, I.; Nieves-Cordones, M.; Rubio, F. The CBL-interacting protein kinase CIPK23 regulates HAK5-mediated high-affinity K+ uptake in Arabidopsis roots. Plant Physiol. 2015, 169, 2863–2873. [Google Scholar] [PubMed]
- Kaya, C.; Uğurlar, F.; Adamakis, I.D.S. Molecular mechanisms of CBL-CIPK signaling pathway in plant abiotic stress tolerance and hormone crosstalk. Int. J. Mol. Sci. 2024, 25, 5043. [Google Scholar] [CrossRef]
- Xu, J.; Li, H.D.; Chen, L.Q.; Wang, Y.; Liu, L.L.; He, L.; Wu, W.H. A protein kinase, interacting with two calcineurin B-like proteins, regulates K+ transporter AKT1 in Arabidopsis. Cell 2006, 125, 1347–1360. [Google Scholar] [CrossRef]
- Lara, A.; Ródenas, R.; Andrés, Z.; Martínez, V.; Quintero, F.J.; Nieves-Cordones, M.; Rubio, F. Arabidopsis K+ transporter HAK5-mediated high-affinity root K+ uptake is regulated by protein kinases CIPK1 and CIPK9. J. Exp. Bot. 2020, 71, 5053–5060. [Google Scholar] [CrossRef] [PubMed]
- Li, K.L.; Tang, R.J.; Wang, C.; Luan, S. Potassium nutrient status drives posttranslational regulation of a low-K response network in Arabidopsis. Nat. Commun. 2023, 14, 360. [Google Scholar] [CrossRef]
- Xiong, Y.; McCormack, M.; Li, L.; Hall, Q.; Xiang, C.; Sheen, J. Glucose-TOR signalling reprograms the transcriptome and activates meristems. Nature 2013, 496, 181–186. [Google Scholar] [CrossRef] [PubMed]
- Liu, Y.; Duan, X.; Zhao, X.; Ding, W.; Wang, Y.; Xiong, Y. Diverse nitrogen signals activate convergent ROP2-TOR signaling in Arabidopsis. Dev. Cell 2021, 56, 1283–1295.e5. [Google Scholar] [CrossRef] [PubMed]
- Cho, H.; Banf, M.; Shahzad, Z.; Van Leene, J.; Bossi, F.; Ruffel, S.; Bouain, N.; Cao, P.; Krouk, G.; De Jaeger, G. ARSK1 activates TORC1 signaling to adjust growth to phosphate availability in Arabidopsis. Curr. Biol. 2023, 33, 1778–1786.e5. [Google Scholar] [CrossRef]
- Pasternak, T.P.; Steinmacher, D. Plant growth regulation in cell and tissue culture in vitro. Plants 2024, 13, 327. [Google Scholar] [CrossRef]
- Band, L.R.; Wells, D.M.; Fozard, J.A.; Ghetiu, T.; French, A.P.; Pound, M.P.; Bennett, M.J. Systems analysis of auxin transport in the Arabidopsis root apex. Plant Cell 2014, 26, 862–875. [Google Scholar] [CrossRef]
- Grieneisen, V.A.; Xu, J.; Marée, A.F.; Hogeweg, P.; Scheres, B. Auxin transport is sufficient to generate a maximum and gradient guiding root growth. Nature 2007, 449, 1008–1013. [Google Scholar] [CrossRef] [PubMed]
- Yang, Z.; Xia, J.; Hong, J.; Zhang, C.; Wei, H.; Ying, W.; Sun, L. Structural insights into auxin recognition and efflux by Arabidopsis PIN1. Nature 2022, 609, 611–615. [Google Scholar] [CrossRef] [PubMed]
- Su, N.; Zhu, A.; Tao, X.; Ding, Z.J.; Chang, S.; Ye, F.; Guo, J. Structures and mechanisms of the Arabidopsis auxin transporter PIN3. Nature 2022, 609, 616–621. [Google Scholar] [CrossRef] [PubMed]
- Wiśniewska, J.; Kęsy, J.; Mucha, N.; Tyburski, J. Auxin resistant 1 gene (AUX1) mediates auxin effect on Arabidopsis thaliana callus growth by regulating its content and distribution pattern. J. Plant Physiol. 2024, 293, 154168. [Google Scholar] [CrossRef]
- Shin, R.; Burch, A.Y.; Huppert, K.A.; Tiwari, S.B.; Murphy, A.S.; Guilfoyle, T.J.; Schachtman, D.P. The Arabidopsis transcription factor MYB77 modulates auxin signal transduction. Plant Cell 2007, 19, 2440–2453. [Google Scholar] [CrossRef] [PubMed]
- Wang, Y.; Wang, R.; Zhao, S.; Lu, C.; Zhu, Z.; Li, H. Transporter NRT1. 5/NPF7. 3 suppresses primary root growth under low K+ stress by regulating the degradation of PIN-FORMED2. BMC Plant Biol. 2022, 22, 330. [Google Scholar]
- Vicente-Agullo, F.; Rigas, S.; Desbrosses, G.; Dolan, L.; Hatzopoulos, P.; Grabov, A. Potassium carrier TRH1 is required for auxin transport in Arabidopsis roots. Plant J. 2004, 40, 523–535. [Google Scholar] [CrossRef]
- Over, R.S.; Michaels, S.D. Open and Closed: The Roles of linker histones in plants and animals. Mol. Plant. 2014, 7, 481–491. [Google Scholar] [CrossRef] [PubMed]
- Hergeth, S.P.; Schneider, R. The H1 linker histones: Multifunctional proteins beyond the nucleosomal core particle. EMBO Rep. 2015, 16, 1439–1453. [Google Scholar] [CrossRef] [PubMed]
- Zhang, H.; Jin, Z.; Cui, F.; Zhao, L.; Zhang, X.; Chen, J.; Xiao, J. Epigenetic modifications regulate cultivar-specific root development and metabolic adaptation to nitrogen availability in wheat. Nat. Commun. 2023, 14, 8238. [Google Scholar] [CrossRef] [PubMed]
- Li, W.; Deng, M.; Wang, S.; Wang, C.; Guo, M.; Song, Y.; Xu, J. HISTONE DEACETYLASE 6 interaction with ABSCISIC ACID-INSENSITIVE 5 decreases apple drought tolerance. Plant Physiol. 2023, 193, 2711–2733. [Google Scholar] [CrossRef]
- Chen, C.Y.; Wu, K.; Schmidt, W. The histone deacetylase HDA19 controls root cell elongation and modulates a subset of phosphate starvation responses in Arabidopsis. Sci. Rep. 2015, 5, 15708. [Google Scholar] [CrossRef] [PubMed]
- Xu, J.M.; Wang, Z.Q.; Wang, J.Y.; Li, P.F.; Jin, J.F.; Chen, W.W.; Yang, J.L. Low phosphate represses histone deacetylase complex1 to regulate root system architecture remodeling in Arabidopsis. New Phytol. 2020, 225, 1732–1745. [Google Scholar] [CrossRef]
- Perrella, G.; Lopez-Vernaza, M.A.; Carr, C.; Sani, E.; Gosselé, V.; Verduyn, C.; Amtmann, A. Histone deacetylase complex1 expression level titrates plant growth and abscisic acid sensitivity in Arabidopsis. Plant Cell. 2013, 25, 3491–3505. [Google Scholar] [CrossRef]
- Perrella, G.; Fasano, C.; Donald, N.A.; Daddiego, L.; Fang, W.; Martignago, D.; Amtmann, A. Histone Deacetylase Complex 1 and histone 1 epigenetically moderate stress responsiveness of Arabidopsis thaliana seedlings. New Phytol. 2024, 241, 166–179. [Google Scholar] [CrossRef]
- Zhang, M.L.; Huang, P.P.; Ji, Y.; Wang, S.; Wang, S.S.; Li, Z.; Wang, Y. KUP9 maintains root meristem activity by regulating K+ and auxin homeostasis in response to low K. EMBO Rep. 2020, 21, e50164. [Google Scholar] [CrossRef]
- Di, M.R.; Sabatini, S. Developmental analysis of Arabidopsis root meristem. Methods Mol. Biol. 2018, 1761, 33–45. [Google Scholar]
- Salvi, E.; Rutten, J.P.; Di Mambro, R.; Polverari, L.; Licursi, V.; Negri, R.; Ten Tusscher, K. A self-organized PLT/Auxin/ARR-B network controls the dynamics of root zonation development in Arabidopsis thaliana. Dev. Cell 2020, 53, 431–443. [Google Scholar] [CrossRef] [PubMed]
- Di Mambro, R.; Sabatini, S.; Dello Ioio, R. Patterning the axes: A lesson from the root. Plants 2018, 8, 8. [Google Scholar] [CrossRef]
- Scintu, D.; Scacchi, E.; Cazzaniga, F.; Vinciarelli, F.; De Vivo, M.; Shtin, M.; Dello Ioio, R. microRNA165 and 166 modulate response of the Arabidopsis root apical meristem to salt stress. Commun. Biol. 2023, 6, 834. [Google Scholar] [CrossRef] [PubMed]
- Marhava, P.; Bassukas, A.E.L.; Zourelidou, M.; Kolb, M.; Moret, B.; Fastner, A.; Hardtke, C.S. A molecular rheostat adjusts auxin flux to promote root protophloem differentiation. Nature 2018, 558, 297–300. [Google Scholar] [CrossRef]
- Hu, Y.; Omary, M.; Hu, Y.; Doron, O.; Hoermayer, L.; Chen, Q.; Shani, E. Cell kinetics of auxin transport and activity in Arabidopsis root growth and skewing. Nat. Commun. 2021, 12, 1657. [Google Scholar] [CrossRef] [PubMed]
- Cao, Y.; Glass, A.D.; Crawford, N.M. Ammonium inhibition of Arabidopsis root growth can be reversed by potassium and by auxin resistance mutations aux1, axr1, and axr2. Plant Physiol. 1993, 102, 983–989. [Google Scholar] [CrossRef] [PubMed][Green Version]
- Blilou, I.; Xu, J.; Wildwater, M.; Willemsen, V.; Paponov, I.; Friml, J.; Scheres, B. The PIN auxin efflux facilitator network controls growth and patterning in Arabidopsis roots. Nature 2005, 433, 39–44. [Google Scholar] [CrossRef]
- Dindas, J.; Scherzer, S.; Roelfsema, M.R.G.; von Meyer, K.; Müller, H.M.; Al-Rasheid, K.A.S.; Hedrich, R. AUX1-mediated root hair auxin influx governs SCFTIR1/AFB-type Ca2+ signaling. Nat. Commun. 2018, 9, 1174. [Google Scholar] [CrossRef] [PubMed]
- Schroeder, M.M.; Gomez, M.Y.; McLain, N.; Gachomo, E.W. Bradyrhizobium japonicum IRAT FA3 alters Arabidopsis thaliana root architecture via regulation of auxin efflux transporters PIN2, PIN3, PIN7 and ABCB19. Mol. Plant Microbe Interact. 2022, 35, 215–229. [Google Scholar] [CrossRef] [PubMed]
- Ning, Y.Q.; Chen, Q.; Lin, R.N.; Li, Y.Q.; Li, L.; Chen, S.; He, X.J. The HDA19 histone deacetylase complex is involved in the regulation of flowering time in a photoperiod-dependent manner. Plant J. 2019, 98, 448–464. [Google Scholar] [CrossRef]
- Lamers, J.; Van Der Meer, T.; Testerink, C. How plants sense and respond to stressful environments. Plant Physiol. 2020, 182, 1624–1635. [Google Scholar] [CrossRef]
- Karlova, R.; Boer, D.; Hayes, S.; Testerink, C. Root plasticity under abiotic stress. Plant Physiol. 2021, 187, 1057–1070. [Google Scholar] [CrossRef]
- Yuan, H.M.; Xu, H.H.; Liu, W.C.; Lu, Y.T. Copper regulates primary root elongation through PIN1-mediated auxin redistribution. Plant Cell Physiol. 2013, 8, 766–778. [Google Scholar] [CrossRef] [PubMed]
- Yuan, T.T.; Xu, H.H.; Zhang, K.X.; Guo, T.T.; Lu, Y.T. Glucose inhibits root meristem growth via ABA INSENSITIVE 5, which represses PIN1 accumulation and auxin activity in Arabidopsis. Plant Cell Environ. 2014, 37, 1338–1350. [Google Scholar] [CrossRef]
- Li, J.; Wu, W.H.; Wang, Y. Potassium channel AKT1 is involved in the auxin-mediated root growth inhibition in Arabidopsis response to low K+ stress. J. Integr. Plant Biol. 2017, 59, 895–909. [Google Scholar] [CrossRef] [PubMed]
- Tang, R.J.; Zhao, F.G.; Yang, Y.; Wang, C.; Li, K.; Kleist, T.J.; Luan, S. A calcium signalling network activates vacuolar K+ remobilization to enable plant adaptation to low-K environments. Nat. Plants 2020, 6, 384–393. [Google Scholar] [CrossRef]
- Niu, F.; Cui, X.; Yang, B.; Wang, R.; Zhao, P.; Zhao, X.; Jiang, Y.Q. WRKY6 transcription factor modulates root potassium acquisition through promoting expression of AKT1 in Arabidopsis. Plant J. 2024, 118, 1652–1667. [Google Scholar] [CrossRef] [PubMed]
- Cui, X.; Dard, A.; Reichheld, J.P.; Zhou, D.X. Multifaceted functions of histone deacetylases in stress response. Trends Plant Sci. 2023, 28, 1245–1256. [Google Scholar] [CrossRef] [PubMed]
- Zeeshan, M.; Qiu, C.W.; Naz, S.; Cao, F.; Wu, F. Genome-wide discovery of miRNAs with differential expression patterns in responses to salinity in the two contrasting wheat cultivars. Int. J. Mol. Sci. 2021, 22, 12556. [Google Scholar] [CrossRef] [PubMed]
- Lu, L.; Wu, X.; Wang, P.; Zhu, L.; Liu, Y.; Tang, Y.; Chen, J. Halophyte Nitraria billardieri CIPK25 mitigates salinity-induced cell damage by alleviating H2O2 accumulation. Front. Plant Sci. 2022, 13, 961651. [Google Scholar] [CrossRef] [PubMed]
Disclaimer/Publisher’s Note: The statements, opinions and data contained in all publications are solely those of the individual author(s) and contributor(s) and not of MDPI and/or the editor(s). MDPI and/or the editor(s) disclaim responsibility for any injury to people or property resulting from any ideas, methods, instructions or products referred to in the content. |
© 2025 by the authors. Licensee MDPI, Basel, Switzerland. This article is an open access article distributed under the terms and conditions of the Creative Commons Attribution (CC BY) license (https://creativecommons.org/licenses/by/4.0/).









