Abstract
Skin protection against ultraviolet (UV) radiation has long been crucial due to its role in photoaging, sunburn, and wrinkles. This study focuses on developing a bio-based sunscreen from Calendula arvensis capitula extract. Various extraction methods (maceration, sonication, and infusion) and solvents (EtOH, EtOH-H2O, and H2O) were explored in order to identify the most effective extract for use in a sunscreen formulation. Each extract was analyzed for its phenolic content, as well as antioxidant activities (assessed through DPPH, CAT, and FRAP assays). Enzyme inhibition assays for tyrosinase, elastase, and collagenase highlighted the low IC50 values of the hydroethanolic extract. Furthermore, the in vitro sun protection factor (SPF) against UVB radiation was measured using ultraviolet spectrophotometry. A phytochemical analysis showed phenolic levels between 8 and 27 mg GAE/g, flavonoid concentrations of 7–13 mg QE/g, and tannin levels of 1.15–1.68 mg/mL, alongside moderate antioxidant activity. The ethanol maceration extract reduced the interfacial tension to 2.15 mN/m in 600 s, outperforming the conventional emulsifier polysorbate 20. The sonicated hydroethanolic extract demonstrated remarkable SPF efficacy (SPF = 193.65 ± 0.02), far exceeding that of the standard zinc oxide (SPF = 11.88 ± 0.03). The proposed formulations meet the COSMOS standards, suggesting their potential for certification as biological products. Further clinical and in vivo studies are necessary to confirm their safety and commercial viability.
1. Introduction
Skin disorders, as a major problem exacerbated by UV exposure, are a constant focus of dermatological research [1]. UVB radiation is associated with adverse effects, such as sunburn, skin cancer, and melanoma, while UVA radiation is primarily involved in inducing skin tanning and wrinkles [2]. This radiation stimulates cell surface receptors for cytokines and growth factors such as epidermal growth factor, tumor necrosis factor, interleukin-1, and keratinocyte growth factor. However, biological responses to UV exposure can be immediate and transient (e.g., inflammation, sunburn cell formation, and pruritus) or delayed and chronic (e.g., photoaging, immunosuppression, and carcinogenesis) [3].
In the field of cosmetics, progress is being made to develop products that not only improve appearance, but also protect against and mitigate the effects of aging, merging scientific innovation with skincare solutions. Modern sunscreen products were first developed in the 1930s and, since then, numerous UV filters with specific application characteristics have been introduced. These filters are designed to protect against UV radiation from sunlight, mainly at short UVB wavelengths (290–320 nm). Considerable effort has been made in recent years to develop UV filters that are effective at absorbing the longer wavelengths of UVB or UVA (320–400 nm) [4]. In fact, the development of modern sunscreens has greatly improved the degree of protection against sunlight-related radiation and its associated damaging effects on the skin [5].
For organic and natural cosmetics, the ECOCERT certification standards require formulations not only to provide effective protection but also to adhere to the principles of sustainability and environmental responsibility in production, which can be achieved by exploring and utilizing botanical sources [6]. Furthermore, growing public awareness has led several cosmetic companies to start effectively promoting green marketing strategies [7]. In an effort to meet market demands for fully green-labeled products, there has recently been growing interest in natural emulsifiers. Therefore, as surface-active agents, emulsifiers play a central role in stabilizing emulsions by adsorbing to the interface between oil and water. Emulsifiers reduce interfacial tension, facilitating the formation of fine, uniformly dispersed droplets. Furthermore, the stability of emulsions is enhanced by steric and/or electrostatic repulsion mechanisms between droplets, thus limiting their aggregation and coalescence, which contributes to the persistence and efficacy of emulsified formulations [8].
Calendula arvensis (C. arvensis), also known as “field marigold” [9], can be observed in various regions of Morocco, particularly in northern areas around Fes-Meknes, from early March onwards. Previous research has indicated that only a limited number (1%) of herbal cosmetics cooperatives in this region are engaged in the extraction and valorization of this plant [10]. C. arvensis extracts have been reported to have antioxidant, antibacterial, enzyme-inhibiting, and immunomodulating activities [11]. These pharmacological properties are probably due to the high content of phenolic compounds and flavonoids in the plant. Polyphenols, in particular, have great potential as photoprotective agents [12], being capable of preventing or attenuating UV-induced photodamage [13]. However, to the best of our knowledge, no research has yet explored the photoprotective activities of C. arvensis capitula. Therefore, this study aims to investigate the biological and phytochemical potential of C. arvensis capitula.
2. Materials and Methods
2.1. Plant Material
Capitula of the plant material were collected in Taounate, Morocco (N 34°29′54″ W 4°48′17″), in April 2023, during the flowering season. The identification of the species was confirmed as Calendula arvensis L., cataloged under reference code RAB 114766.
2.2. Extractions
The dried capitula were ground to a particle size of 300 µm using a mechanical grinder (Industriestrasse 855743 Idar-Oberstein, Germany). The resulting powder was subjected to extraction through three distinct methods, utilizing solvents of varying polarities. Maceration was performed over 24 h with a solid-to-solvent ratio of 1:10 (w/v). Sonication was conducted for 45 min with the same ratio, using either absolute ethanol or a 70–30% ethanol–water mixture. Additionally, an infusion method was applied, where 2.5 g of the powder was infused in 75 mL of water for 1 h. The resulting organic entities were filtered using Whatman No. 1 filter paper, then centrifuged at 3000 rpm over a 10 min period. The crude extracts obtained were then stored in the refrigerator until further use. The percentage extraction yield (w/w) is shown in Table 1 (n = 3).
Table 1.
Yield percentage of extraction methods.
2.3. Phenolic Compounds Quantification
2.3.1. Total Phenolic Contents (TPCs)
The total polyphenol content (TPC) of all extracts was investigated as described by Lister and Wilson [14]. Briefly, 450 μL of Folin–Ciocalteu reagent (10-fold diluted) and 450 μL of sodium carbonate (Na2CO3, 7.5%) were added to 50 μL of the studied extracts. After 2 h of incubation in the dark, absorbance was measured at 765 nm using a UV–vis spectrometer. The results are expressed in terms of gallic acid equivalents per gram of plant material, and the test was performed in triplicate (n = 3).
2.3.2. Total Flavonoid Contents (TFCs)
The total flavonoid content (TFC) of crude extracts was assessed according to the method described by Djeridane et al. [15], with some modifications. In brief, 500 μL of aluminum chloride solution (Alcl3, 10%) was added to 500 μL of diluted extract. After one hour of incubation in the dark, absorbances were measured at 420 nm using a UV–vis spectrometer. A standard range based on quercetin was prepared according to the same conditions, and the test was performed in triplicate.
2.3.3. Tannin Content (TC)
Condensed tannin was analyzed using the Bate–Smith reaction (Stonestreet, 1966) [16]. Technically, 1 mL of each extract (at a concentration of 1 mg/mL) was combined with 0.5 mL of distilled water and 1.5 mL of 37% hydrochloric acid. The mixture was then heated for 30 min in a water bath at 100 °C. Absorbance was measured at 550 nm regarding the control test at room temperature. Thus, the difference in the absorbance between the hydrolyzed tube and the control is the content of tannins contained in the extract, obtained using the following equation:
2.4. Antioxidant Capacity
2.4.1. Anti-Free Radical Activity by 1,1-Diphenyl-2-picrylhydrazil (DPPH)
The free radical scavenging effects of the different extracts towards the DPPH° radical were assessed based on the method described by Topçu et al. [17]. Briefly, 50 μL of the diluted extract was added to 1.95 mL of a freshly prepared methanolic solution of DPPH (2.5 mg dissolved in 100 mL methanol under stirring for 3 h). Then, the mixtures were incubated for 30 min in the dark. The absorbance was measured at 517 nm. Ascorbic acid was used as the standard antioxidant and was subject to the same operating conditions.
2.4.2. Ferric Reducing Antioxidant Power (FRAP)
A FRAP test was performed according to the method described by Djeridane et al. [15]. In particular, 0.25 mL of each diluted extract (6 sets of dilutions) was added to 1.25 mL of phosphate-buffer solution and 1.25 mL of an aqueous solution of potassium ferricyanide (K3FeCN6, 1%). The solutions were then incubated for 20 min at 50 °C in a water bath. After cooling to ambient temperature, 1.25 mL of 10% trichloroacetic acid was added to the reaction mixture and centrifuged at 3000 rpm for 10 min. Then, 1.25 mL of supernatant was added to 1.25 mL of distilled water and 0.25 mL of ferric chloride solution (FeCl3, 0.01%). After 10 min of incubation, absorbance was measured at a wavelength of 700 nm. The results are expressed in terms of equivalents of ascorbic acid per gram of plant material.
2.4.3. Total Antioxidant Capacity (TAC)
The total antioxidant capacity was estimated according to the Prieto method [18], with slight modifications. This method consists of adding 200 μL of each extract at different concentrations combined with 3000 μL of a reagent composed of H2SO4 (60 M), Na2PO4 (280 mM), and ammonium molybdate (40 mM), then incubating at 95 °C for 90 min. The mixture was then further incubated at room temperature for 20–30 min, and the absorbance was measured at 695 nm. A control was made up using 200 μL of methanol and 3000 μL of the above reagent. The results are expressed as mgGAE/g of dry extract.
2.5. Anti-Aging Effect
In vitro anti-aging assays were performed to assess anti-elastase, anti-tyrosinase, and anti-collagenase activities, following published protocols [19,20]. Kojic acid and epigallocatechin gallate (EGCG) were used as reference standards, while controls without active samples were included for baseline comparison. Each assay was repeated in triplicate and enzyme inhibition percentages were calculated using the following formula:
: The measured absorbance of enzyme activity in the presence of samples;
: The measured absorbance of enzyme activity in the absence of samples.
2.6. Surface and Interfacial Activities
Interfacial and surface tensions of C. arvensis extracts were assessed using the hanging drop method with a fully automated tensiometer (DataPhysics Instruments GmbH, Filderstadt, Germany). Briefly, a 1% (w/w) extract solution was loaded into a glass syringe and dispensed via a 22-gauge stainless steel needle. The drop was introduced either into air to measure surface tension or into soybean oil inside a glass cell to determine interfacial tension. The drop was allowed to equilibrate for approximately 10 min in the continuous phase, and a high-resolution camera recorded its shape over this time. The interfacial or surface tension was then calculated using the Young–Laplace equation, with automatic processing via the dpiMAX software, version 20.05.2022.
2.7. Photoprotective Activity
2.7.1. Sun Protection Factor (SPF)
All extracts were investigated for their protective activity against UVB rays according to the Mansur method [21]. In particular, the absorbance of the extracts at a concentration of 2 mg/mL was measured at a range of wavelengths between 290 and 320 nm with 5 nm intervals using a UV–vis spectrometer. Each measurement was performed in triplicate and the SPF was calculated using the formula below (i.e., applying the mathematical equation of Mansur):
EE × I values are constants, which were set by Sayre et al. [22];
EE: erythemogenic effect;
I: the radiation intensity;
Abs: absorbance of extract;
CF: correction factor.
2.7.2. Sunscreen O/W Emulsion Formulas Based on C. arvensis Capitula Extracts
O/W emulsions were developed to optimize the photoprotective activity of the C. arvensis extracts. The IF-H2O, M-EtOH-H2O, S-EtOH, M-EtOH, and S-EtOH-H2O extracts were used at SPF ratios of 1:200 (0.05% w/w), 1:100 (0.1% w/w), and 1:50 (0.2% w/w), testing different concentrations to identify the concentration offering the best sun protection (Table 2). A low ratio of the synthetic emulsifier to the lipid phase was chosen in order to increase the biological percentage of the formulation and make the most of the potential emulsifying activity of C. arvensis extracts. Therefore, a hydrolat (73.95% w/w, 73.9% w/w, or 73.8% w/w) was used as the main aqueous phase to increase the biological percentage.
Table 2.
Sunscreen O/W emulsion formula.
The aqueous phase, in which glycerin (3% w/w) and C. arvensis floral water were mixed, was placed in a pot and heated to a temperature of 75 °C, with continuous stirring until completely homogenized. At the same time, the oil phase was prepared by combining cetearyl alcohol, stearic acid, ceteareth-20, and C. arvensis oil macerate in another pot. This mixture was also heated to 75 °C, allowing the components to melt and mix completely. Emulsification was then carried out by gradually adding the oily phase to the aqueous phase under intense agitation for 10 min at 12,000 rpm using a rotor–stator homogenizer (T 25 digital ULTRA-TURRAX®, IKA, Staufen, Germany). This process continued until a stable emulsion was obtained, characterized by a homogenous consistency. Once the emulsion stabilized, the mixture was cooled to below 40 °C before the cooling phase (Phase C) was incorporated. The organic extract of C. arvensis was added at concentrations of 0.2%, 0.1%, or 0.05%. P. graveolens essential oil (0.5% w/w) was then introduced due to its antimicrobial and olfactory properties. As an alternative, 0.5% phenoxyethanol can be used. The final formulations were subjected to efficacy tests in order to assess their sun protection factor (SPF) using the Mansur method in a similar way to the crude extracts. Triplicate measurements were carried out to ensure the reproducibility of the results.
The biological percentage of the sunscreen formulation was determined in accordance with the COSMOS standards version 4.0 (1 January 2023) [23]. According to the principles of natural and organic cosmetics certification, this method calculates the percentage of organic ingredients in the final product. Each ingredient was examined to identify those certified as organic, and their organic content percentages were obtained from supplier certifications. Water and minerals were excluded when developing the formulas, as they are not considered organic according to COSMOS standards. The organic content of the dried extracts was calculated by measuring the quantity of each extract used, excluding the weight of the solvent, and applying the COSMOS Equations (1) and (2). The final organic percentage was then calculated using the COSMOS Equation (3), ensuring compliance with COSMOS requirements; that is, at least 20% organic content for leave-on products.
2.8. Stability Tests and Characterization of the Formulas
Following the formulation of the sunscreens, their pH, conductivity, peroxide value, and viscosity were assessed first at the production stage and then after 30, 60, and 90 days of storage at room temperature, in order to confirm their stability over time. pH and conductivity were measured and recorded directly from each sample using a BOECO Bench-CT-676 pH meter and conductivity meter (BOECO, Germany). The peroxide value was quantified using a CDR FoodLab® Junior (Perugia, Italy), and the results are expressed in meqO2/kg.
The dynamic viscosity was measured using a Brookfield DV2T viscometer (Brookfield Ametek, Middleboro, MA, USA). All samples (80 g) underwent equilibration at 25 °C prior to testing. A Helipath T-Bar spindle was immersed in a glass vessel containing sunscreen products at a speed of 20 rpm. The viscosity was recorded in centipoise (cP).
2.9. Statistical Analysis
Data were calculated using Microsoft Excel, and each experiment was performed in triplicate. Data are presented as mean values with corresponding standard deviations (SDs). Statistical analysis involved A2.4NOVA analysis using the Origin Pro 2024 software, with significance determined at p < 0.05.
3. Results
3.1. Phenolic Compounds
Table 3 summarizes the contents of the C. arvensis extracts in terms of TPC, TFC, and TC. Statistically, there was no significant difference in total phenolic content (TPC) between the S-EtOH-H2O, S-EtOH, M-EtOH-H2O, and IF-H2O extracts (p > 0.05). Meanwhile, the M-EtOH extract showed the lowest TPC (8.24 ± 1.17 mg GAE/g) and TFC (6.47 ± 0.49 mg QE/g), implying that maceration in ethanol alone is less efficient for the extraction of these compounds. However, the results for the IF-H2O extract, with a TPC of 16.91 ± 1.11 mg GAE/g and a TFC of 10.69 ± 0.68 mg QE/g, suggest that water-based infusion allows for the extraction of a substantial content of phenolic compounds, albeit slightly less efficiently than mixed solvent systems. Regarding TC, there was no significant difference between those extracts obtained by maceration with either 100% ethanol or 70% ethanol, yielding values of TC = 1.13 ± 0.01 mg/mL and TC = 1.10 ± 0.06 mg/mL, respectively, for M-EtOH-H2O and M-EtOH. However, the highest concentration of tannins was detected in the S-EtOH-H2O extract, with a TC of 1.66 ± 0.02 mg/mL.
Table 3.
Contents of total phenolics, flavonoids, and condensed tannins.
3.2. Antioxidant Activity
The antioxidant activity of C. arvensis capitula extracts was assessed in vitro using four methods: the DPPH, ABTS, FRAP, and TAC assays (Table 4). The findings revealed that the antioxidant capacity varied significantly, depending on the extraction method and solvent used.
Table 4.
In vitro antioxidant activity of C. arvensis capitula extracts using DPPH, ABTS, TAC, and FRAP methods.
The S-EtOH-H2O extract demonstrated the highest overall antioxidant potential. In the DPPH assay, it exhibited a remarkably low IC50 value of 3.77 ± 0.44 mg/mL, indicating strong free radical scavenging activity. Similarly, in the ABTS assay, it maintained its superiority with an IC50 of 3.21 ± 0.08 mg/mL. These results suggest that the hydroethanolic solvent combination is particularly effective at extracting bioactive compounds—likely phenolics and flavonoids—which are responsible for these activities. The M-EtOH-H2O extract also showed promising antioxidant capacity, especially in the ABTS assay, where it recorded an IC50 of 2.71 ± 0.05 mg/mL. Moreover, this extract achieved the highest reducing power, as determined by the FRAP assay, with a value of 21.90 ± 1.63 mg AAE/g pm. These observations highlight the beneficial role of water in the solvent mixture, which enhances the extraction of polar compounds contributing to antioxidant activity. On the other hand, the IF-H2O and M-EtOH extracts displayed relatively weaker antioxidant effects. The IF-H2O extract had the poorest performance in both DPPH and ABTS assays (IC50 values of 26.98 ± 0.93 mg/mL and 8.55 ± 0.02 mg/mL, respectively), reflecting the limited efficacy of aqueous infusion in extracting potent antioxidants. The M-EtOH extract also showed less significant activity in the DPPH (15.27 ± 0.09 mg/mL) and ABTS (15.22 ± 0.01 mg/mL) assays, indicating that pure ethanol might not be optimal for extracting the most effective phenolic compounds from C. arvensis. Regarding total antioxidant capacity (TAC), both the S-EtOH-H2O (12.46 ± 0.61 mg AAE/g pm) and S-EtOH (12.34 ± 0.82 mg AAE/g pm) extracts displayed high and comparable capacities.
3.3. Effect of C. arvensis on Cell Aging-Inducing Enzymes
The inhibitory effects of the C. arvensis extracts against enzymes involved in cell aging—namely, elastase, tyrosinase, and collagenase—were evaluated in vitro at various concentrations, with positive standards used as comparisons. The inhibition capacity was observed to be dose-dependent (Table 5). The S-EtOH-H2O and M-EtOH-H2O extracts exhibited maximum inhibition rates of 82.91% and 77.72%, respectively, with relatively low IC50 values of 3.58 mg/mL and 3.89 mg/mL, indicating potent anti-tyrosinase activity. These inhibition percentages were comparable to those achieved by the standard kojic acid at a concentration of 1 mg/mL (p > 0.05), which outperformed all C. arvensis extracts obtained through different extraction methods (Table 5).
Table 5.
Inhibitory activity of C. arvensis capitula against tyrosinase, elastase, and collagenase.
Conversely, the extracts demonstrated relatively low inhibition against both elastase and collagenase. The S-EtOH-H2O extracts showed significant elastase inhibition at 70.40% with an IC50 of 5.93 mg/mL, while the M-EtOH-H2O extracts achieved 64.47% inhibition with an IC50 of 6.87 mg/mL. At a concentration of 10 mg/mL, the S-EtOH-H2O extract exhibited the highest collagenase inhibition among the tested extracts (41.13 ± 2.02%; p < 0.05), followed by the S-EtOH (41.13 ± 2.02%) and M-EtOH extracts (36.84 ± 5.54%). However, collagenase inhibition by the extracts was generally moderate, with the S-EtOH-H2O extract showing the highest activity at 41.13% inhibition.
The S-EtOH-H2O extract showed the most potent inhibition against elastase (70.40% inhibition, IC50: 5.93 mg/mL), followed by the M-EtOH-H2O extract (64.47% inhibition, IC50: 6.87 mg/mL; p < 0.05). Meanwhile, the extracts demonstrated promising inhibition levels of the enzyme tyrosinase, which is crucial for regulating melanin synthesis and treating hyperpigmentation.
3.4. Interfacial and Surface Tension Characteristics
C. arvensis capitula extracts (1% w/w) were evaluated for their ability to reduce surface tension (ST) and interfacial tension (IT) over a time frame of 600 s (Figure 1). The results demonstrate a varied activity when compared to that of Polysorbate 20—a commonly used synthetic emulsifier. Initially (0 s), the surface tensions of the extracts varied considerably, with values ranging from 38.63 mN/m for the methanol–water extract (M-EtOH-H2O) to 55.79 mN/m for the aqueous infusion (IF-H2O). These initial differences suggest that the methanol and ethanol extracts have a higher affinity for the air–water interface than the aqueous infusion.
Figure 1.
Surface tension (ST) and interfacial tension (IFT) profiles of C. arvensis extracts as a function of time and solvent conditions.
Following 600 s, a significant decrease in TS was observed for all extracts. M-EtOH-H2O showed a notable drop, from 38.63 mN/m to 31.14 mN/m, reflecting rapid and efficient adsorption of active compounds to the interface. The S-EtOH-H2O extract followed a similar trend, dropping from 52.38 mN/m to 41.08 mN/m. The pure methanolic (M-EtOH) and pure ethanolic (S-EtOH) extracts also showed significant reductions in ST, reaching 34.647 mN/m and 31.64 mN/m, respectively. Comparatively, Polysorbate 20, although having an initial TS of 47.65 mN/m, showed only a slight reduction to 43.96 mN/m after 600 s. This indicates that, although Polysorbate 20 is effective in reducing ST, the C. arvensis extracts—particularly those containing ethanol or methanol—are more effective in this regard.
Interfacial tension measurements also revealed the considerable activity of the extracts. At 0 s, M-EtOH (2.46 mN/m) already exhibited a remarkably low IFT, indicating a high affinity of the compounds for the water–oil interface. After 600 s, the IFT for M-EtOH decreased again slightly to 2.16 mN/m, confirming its exceptional efficiency. The other extracts also showed a substantial reduction in IFT, notably M-EtOH-H2O (from 9.22 mN/m to 4.11 mN/m) and S-EtOH-H2O (from 8.99 mN/m to 3.82 mN/m), suggesting that these extracts have a high capacity to interact with the water–oil interface. Polysorbate 20, in contrast, showed an initial IFT of 8.93 mN/m, which decreased to 7.14 mN/m after 600 s. Although Polysorbate 20 is effective, the methanolic and ethanolic extracts of C. arvensis outperformed this synthetic emulsifier in terms of IFT reduction. These results indicate that C. arvensis extracts, particularly those obtained with ethanol, have a superior ability to reduce surface and interfacial tension, when compared with Polysorbate 20. These extracts could, therefore, represent an interesting natural alternative to synthetic emulsifiers in formulations where an effective reduction in surface tension is required.
3.5. Sun Protection Factor (SPF-UVB)
The C. arvensis extracts were then evaluated for their protective properties (Table 6). The results suggest that, at a concentration of 2 mg/mL, all of the tested extracts displayed extremely high SPF-UVB values, ranging from 193.67 ± 0.04 to 192.19 ± 0.08 for S-EtOH-H2O and IF-H2O extracts, respectively, as no significant difference was observed between the different extraction methods (p > 0.05). Significantly, ZnO—a commonly used ingredient in sunscreen formulations—has an SPF of 11.88 ± 0.03 (p < 0.05) at the same concentration of 2 mg/mL. However, the UV-B absorbance measurements (290–320 nm; Figure 2b) revealed distinct absorbance profiles for each extract. The aqueous infusion (IF-H2O) showed a relatively stable absorbance across the UVB range, with values fluctuating around 20.09, suggesting a low capacity for UVB absorption by the hydrophilic compounds present in this extract. This trend is similar to that observed for the ethanol–water extract (M-EtOH-H2O), although the latter showed a slight increase in absorbance around 300 nm, reaching a maximum value of 20.22, which could indicate the presence of ethanol-soluble compounds with a better interaction with UVB. The S-EtOH-H2O extract showed an overall higher absorbance profile than the other water-soluble extracts, with values close to 20.20 at 320 nm, indicating greater UVB absorption efficiency. The M-EtOH and S-EtOH extracts showed more complex absorbance profiles, with significant fluctuations in the UVB range (Figure 2b). M-EtOH presented a peak absorbance at around 300 nm, reaching 20.15, followed by a slight decrease, which could be attributed to a higher concentration.
Table 6.
SPF values of C. arvensis extracts against UVB.
Figure 2.
Sun Protection Factor (SPF) screening of sunscreens based on C. arvensis extracts, with similar letters in the same concentration (%) indicate that there is no significant difference, p < 0.05 (n = 3) (a), and analysis of the UVB absorbance spectra of the various C. arvensis extracts (b).
Figure 2a highlights the resulting SPF values for various cream formulation-based C. arvensis extracts at different concentrations (0.05%, 0.10%, and 0.20%). The data suggest a dose-dependent pattern for all the formulas, with the sunscreen-based S-EtOH-H2O extract standing out as the most promising candidate for further development in photoprotective skincare products. Notably, while no statistically significant difference was found between the formulations at a concentration of 0.1%, at 0.2%, the formula based on the S-EtOH-H2O extract had a significantly higher SPF value (SPF = 194.49 ± 0.18; p < 0.05). At a lower concentration of 0.05%, there was no significant difference between those with IF-H2O extract (SPF = 33.40 ± 4.25) and S-EtOH extract (SPF = 32.93 ± 2.65) (p > 0.05). Both of these formulations achieved significantly higher SPF values than those based on M-EtOH (SPF = 26.33 ± 5.35) and S-EtOH-H2O (SPF = 20.38 ± 0.66).
COSMOS offers several important criteria for the certification of organic cosmetics; for example, organic ingredients must be grown without the use of synthetic pesticides or fertilizers. Additionally, the formulation must strictly exclude certain contentious substances, such as parabens, silicones, GMOs, synthetic colorants, nanoparticles, and other ingredients which are potentially harmful to both the environment and human health. The production methods should prioritize ecological and sustainable practices, in order to minimize the overall impact on the environment. Moreover, processes that operate at lower temperatures and provide optimal yields to minimize waste and rejection are recommended by COSMOS. Based on this, sonication was identified as a suitable method, as it requires a minimal amount of time, no increase in temperature, and offers the highest % yield of extraction. Additionally, the fact that the plant is wild and has not been subjected to pesticides further supports the possibility of certifying this ingredient as organic by COSMOS.
Following the method of calculation mentioned in point (6.2) “to calculate the percentage of organic ingredients” in Cosmos Standards Version 3.0 (1st September 2018), we were able to determine the percentage of the organic ingredient (5) of the dried extract (without solvent) used in the formulation. As the ratio (4) is greater than 1, it is considered equal to 1, according to the standards.
The results indicate an organic percentage of 100% for the C. arvensis active ingredient. The steps used to calculate the organic active ingredient percentage of the extract are depicted in Figure 3.
Figure 3.
A guideline illustration, inspired by the COSMOS technical reference, for calculating the biological percentage of plant extracts through an extraction process.
In the present formulation, the ingredients were selected to conform the strict standards defined for COSMOS certification [24]. By applying Equation (2) defined in the COSMOS standard, we determined that the formula is based on 87.5% biological ingredients. This percentage exceeds the minimum threshold of 20% required for organic certification.
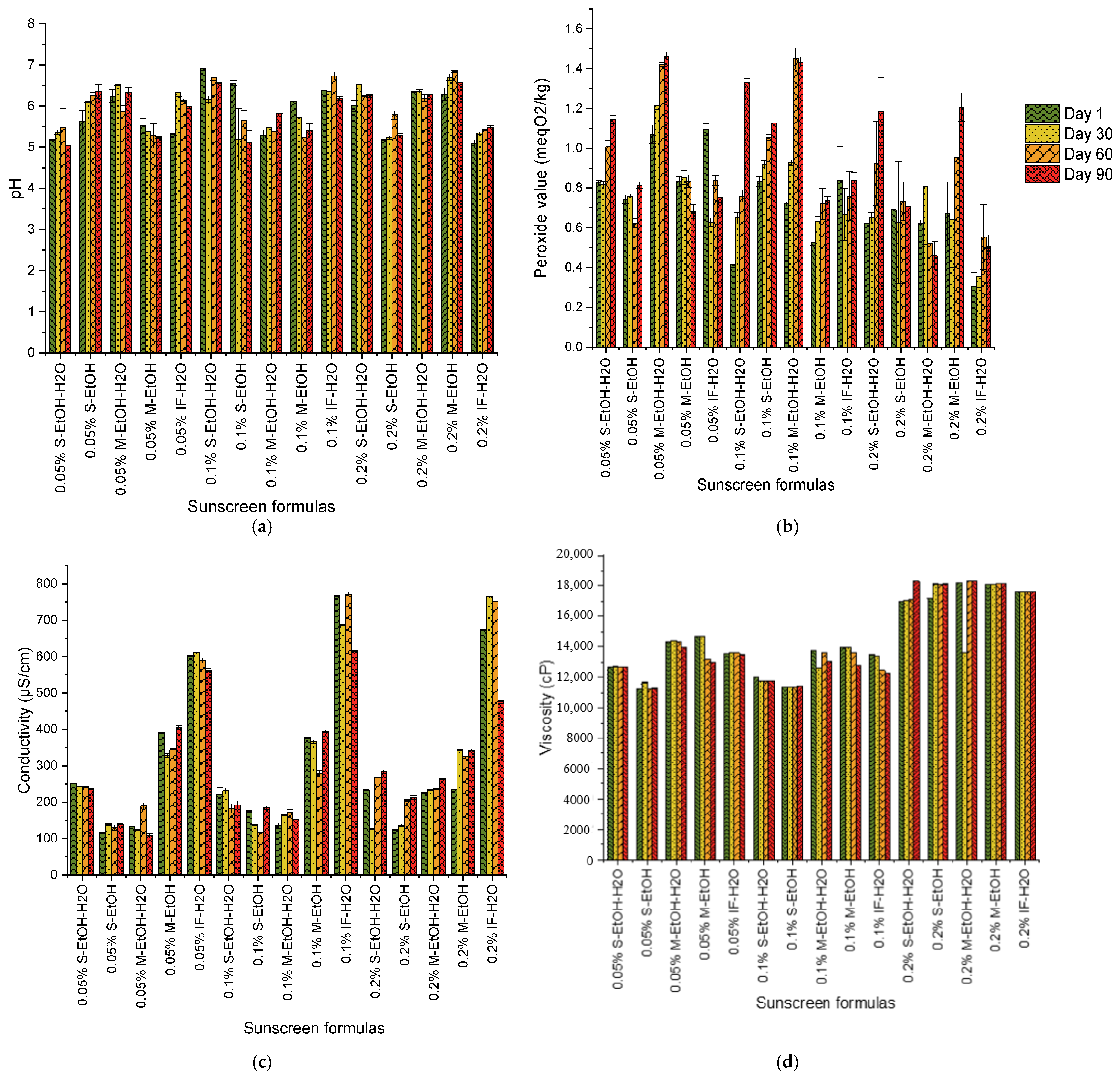
3.6. Sunscreen Characteristics and Stability
Conductivity
Among the produced W/O emulsions, the 0.05% S-EtOH-H2O sunscreen recorded an initial conductivity of 251.67± 1.53 µS/cm, which decreased slightly to 235 ± 2 µS/cm by day 90 (Figure 4c). Conversely, the 0.05% S-EtOH formulation showed a progressive increase from 117 ± 3.60 µS/cm to 139.67 ± 2.08 µS/cm. This slight increase could be attributed to an increase in free ions, possibly due to interactions between the components. Furthermore, the ethanolic extract-based formulations (0.05% M-EtOH-H2O and 0.05% M-EtOH) also showed slight fluctuations, suggesting reasonable stability over time. However, at concentrations of 0.1% and 0.2%, formulations based on aqueous and ethanolic extracts of C. arvensis showed good stability over the storage period. Among the microemulsion types, W/O structures exhibit the lowest conductivity, which gradually increases with increasing water content.
Figure 4.
Characterization of sunscreen formulation parameters at different time intervals (day 1, day 30, day 60, and day 90) for assessment of stability over time (n = 3): (a) pH values, (b) peroxide value, (c) conductivity, and (d) viscosity analysis.
pH stability
All sunscreens based on C. arvensis extracts exhibited minimal pH changes over time (Figure 4a). For instance, the pH of the 0.05% S-EtOH-H2O formula decreased slightly between day 1 and day 90, from 5.15 ± 0.03 to 5.03 ± 0.01, respectively. In contrast, at a concentration of 0.2%, the formulations were shown to be particularly stable, especially in the ethanolic extract, which achieved pH values of 6.00 ± 0.13 on the first day of production, 6.53 ± 0.16 after 30 days, 6.24 ± 0.01 after 60 days, and 6.24 ± 0.03 after a total of 90 days.
Dynamic viscosity
Remarkably, as can be seen from Figure 4d, formulations with 0.05% C. arvensis recorded lower initial viscosities. For instance, the formula based on 0.05% S-EtOH recorded a value of 11,254 ± 4.36 cP initially, with minimal variations over the 90 days. In contrast, formulations containing 0.2% C. arvensis extract exhibited higher initial viscosities, measured as 17,183.67 ± 2.08 cP for the 0.2% S-EtOH formulation, and outstanding stability over 90 days. These findings confirm that C. arvensis is a highly effective stabilizer and reducer of surface and interfacial tension.
Peroxide Value (PV)
The formulated sunscreen based on 0.05% M-EtOH exhibited a slight increase in PV (Figure 4b), from 0.83 ± 0.02 meq O2/kg on day 1 to 0.85 ± 0.03 meq O2/kg on day 60, followed by a slight increase to 0.68 ± 0.04 meq O2/kg on day 90. These fluctuations suggest minor oxidation without major instability.
However, at the 0.1% and 0.2% concentrations, a stable range of values were found among the formulations. For example, the S-EtOH-H2O formula at 0.1% showed consistent values from day 1 (0.41 ± 0.01 meq O2/kg) to 0.65 ± 0.03 meq O2/kg on day 60 and 0.76 ± 1.33 meq O2/kg on day 90. The 0.2% formulations showed better PV stability, particularly for the ethanolic extracts.
4. Discussion
To date, numerous cosmetic and pharmaceutical products based on Calendula species—particularly C. officinalis—have been introduced to the market in a wide range of formulations and applications. In this context, our study focuses on the development of an innovative biological anti-aging sunscreen based on C. arvensis capitula extracts. This approach targets the bioactive properties of C. arvensis in order to provide effective sun protection while targeting skin aging concerns. Among all extracts, S-EtOH-H2O exhibited the highest TC (1.66 ± 0.02 mg/mL), while M-EtOH displayed the lowest TPC (8.24 ± 1.17 mg GAE/g) and TFC (6.47 ± 0.49 mg QE/g). Previous studies, such as that published by Abudunia et al. [25], revealed significantly higher flavonoid contents in their methanolic and aqueous extracts (174.93 ± 5.21 mg RE/g dry extract and 74.93 ± 1.50 mg RE/g dry extract, respectively). The disparity between these values and our results could be attributed to differences in extraction conditions; for instance, a plant material–solvent ratio of 0.4 g dw/mL was used in their study, whereas a much lower ratio of 0.003 g dw/mL was used for our infusion. Furthermore, Ercetin et al. [26] reported even higher phenolic (118.18 ± 10.29 mg/g extract) and flavonoid (74.14 ± 3.09 mg/g extract) concentrations in methanolic extracts of C. arvensis flowers. These variations highlight the significant impacts of extraction methods, raw material sources, and other biotic and abiotic factors on the phytochemical compositions observed in the various studies. In this study, S-EtOH-H2O provided the highest antioxidant potential, as well as a low IC50 value in the DPPH (3.77 ± 0.44 mg/mL) and ABTS (3.21 ± 0.08 mg/mL) assays, thus underscoring the suitability of hydroethanol solvents for the extraction of phenolics and flavonoids. Conversely, extracts such as IF-H2O and M-EtOH showed more limited antioxidant effects. These findings revealed considerably higher values than those reported by Abudunia et al. [25], with IC50 values of 20.9 mg/mL and 33.2 mg/mL for the methanolic and aqueous extracts, respectively, demonstrating a radical scavenging effect. The variations observed between the different extracts can be attributed to the phenolic content, extraction efficiency, and the polarities of the used solvents, which influence the bioavailability and stability of the antioxidant compounds. The structural characteristics of phenolic compounds are characterized by the presence of one or more hydroxyl groups (-OH) bonded directly to an aromatic benzene ring [27], and the arrangement and number of these hydroxyl groups play an essential role in determining the reactivity, stability, and overall biological activity of the compound. Hydroxyl groups enable hydrogen bonding and electron donating interactions, which further enhance the antioxidant capacity of the compound by enabling the scavenging of free radicals [27]. In fact, -OH groups contribute to the ability of phenol compounds to chelate metal ions and modulate enzymatic activities, which are crucial mechanisms affecting their antioxidant, anti-aging, and photoprotective effects. The diversity of substitution patterns on the aromatic ring also characterizes various subclasses of phenolic compounds, influencing their polarity, solubility, and interactions with biological targets.
Furthermore, the C. arvensis capitula extracts demonstrated notable inhibitory effects against tyrosinase and elastase, with moderate activity against collagenase. Elastase is a target for anti-aging formulations, a serine protease responsible for the breakdown of elastin in skin and connective tissue [28]. The S-EtOH-H2O extract showed the most potent inhibition against elastase (70.40% inhibition, IC50: 5.93 mg/mL), followed by the M-EtOH-H2O extract (64.47% inhibition, IC50: 6.87 mg/mL; p < 0.05). Meanwhile, the extracts demonstrated promising inhibition levels for the enzyme tyrosinase, which is crucial for regulating melanin synthesis and treating hyperpigmentation. These findings highlight the potential of C. arvensis extracts for cosmetics and pharmaceutical applications targeting skin aging and pigmentation issues. Previous studies have reported that an C. arvensis aerial part extract with 80% ethanol presented a 51.66 ± 0.57% inhibition rate at 0.666 mg/mL, with an IC50 of 0.621 ± 3.47 mg/mL [29]. The present research showed that the S-EtOH-H2O capitula extract exhibited a lower inhibition rate of 27.40 ± 1.18% at a similar concentration (0.625 mg/mL). This discrepancy may be linked to the synergistic effects of bioactive compounds in the aerial parts, which may provide stronger tyrosinase inhibition than those present in the capitula. However, the findings on collagenase inhibition are in line with the previous work of Deniz et al. [29], who reported no inhibitory activity in the hydroethanol extract of the aerial parts of C. arvensis at 0.666 mg/mL. Previous evidence has demonstrated that phenolic compounds, such as flavonoids and tannins, are key factors in modulating the enzymes responsible for the degradation of skin structures [30].
The interfacial tension of surfactants plays a crucial role in determining their effectiveness in stabilizing emulsions. The surface and interfacial tension reduction abilities of 1% (w/w) C. arvensis capitula extracts were evaluated over 600 s and their superior performance was observed, when compared to Polysorbate 20. Generally, surfactants exhibit stronger emulsifying properties when they achieve lower interfacial tension at the boundary between two immiscible liquids, such as oil and water [31]. This reduction in interfacial tension facilitates the formation and stabilization of smaller droplets, leading to more stable and homogeneous emulsions [32]. Consequently, the ability of a surfactant to lower interfacial tension directly influences its capacity to enhance emulsion stability. Interestingly, M-EtOH (2.46 mN/m) already exhibited a remarkably low IFT, indicating a high affinity of the compounds for the water–oil interface. After 600 s, the TI for M-EtOH decreased again slightly to 2.16 mN/m, confirming its efficiency. This relatively high interfacial tension increase could be assigned to their higher flavonoid content, which could also increase the interfacial tension. Nonetheless, flavonoids could simultaneously improve the physical stability of O/W emulsions. In fact, Jafari et al. [33] have reported that some flavonoids could act as stabilizers of oil-in-water emulsions through their adsorption as water-insoluble particles to the surface of oil droplets, thus forming Pickering emulsions.
Plant extracts rich in tannins have been demonstrated to provide UV protection by scavenging free radicals and preventing oxidative damage [34]. UVB rays (320–290) activate melanocytes and increase melanin production. Receptors on the surface of melanocytes are activated by UVB rays. An increase in melanin in the skin is the body’s protective response against the damaging effects of UVB, such as sunburn. However, excessive exposure to UVB can also lead to damage such as accelerated photo-aging and skin cancer [35]. The SPF ingredient may promote direct blocking of UV photons, or neutralization of the direct or indirect effects of UV radiation through DNA repair systems and antioxidants [36]. The protective properties of C. arvensis extracts were evaluated (Table 6). At 2 mg/mL, all extracts exhibited high SPF-UVB values (193.67 ± 0.04 to 192.19 ± 0.08), significantly surpassing ZnO (SPF = 11.88 ± 0.03, p < 0.05). Furthermore, the formulations demonstrated dose-dependent SPF increases; in particular, S-EtOH-H2O at 0.2% achieving the highest SPF (194.49 ± 0.18, p < 0.05). Previously, Mishra et al. conducted an assessment of the sun protection factor (SPF) value for a cream formulated with C. officinalis oil, resulting in a value of 14.84 ± 0.16 [37]. In contrast, Lohani et al. [38] reported a significantly lower SPF value of 8.36 for C. officinalis essential oil.
In view of the growing consumer awareness of the risks associated with the synthetic products [39,40,41], demand for biological sunscreens has increased [40], due to their ability to offer effective UV protection while protecting the skin from potential damage [42]. Organic labels awarded by Ecocert and COSMOS ensure the natural originality of products respecting their standards. Ecocert is widely recognized for its rigorous criteria and commitment to promoting ecologically sound and sustainable practices in the production of cosmetics; however, even if natural ingredients are considered to be safe, they may cause skin reactions. For example, skin toxicity tests of the product are essential. In the present formulations, all ingredients were selected to conform the strict standards defined for COSMOS certification [24]. Calculations based on COSMOS standards confirmed a 100% organic content for C. arvensis extracts and 87.5% biological ingredients in the final formulation, exceeding the percentage threshold required for organic certification.
In order to assess the stability of the sunscreen formulations based on C. arvensis extracts, the pH, conductivity, viscosity, and peroxide values were analyzed each month over a period of 90 days.
Conductivity measurements allow for the characterization of microemulsion systems. In systems containing ionic surfactants or salts, variations in conductivity serve as indicators of structural differences [43]. The W/O emulsions demonstrated stability over 90 days. The 0.05% S-EtOH-H2O sunscreen showed a slight conductivity decrease (251.67 to 235 µS/cm), while 0.05% S-EtOH increased slightly (117 to 139.67 µS/cm). As the water content reaches a critical point, interactions between water droplets via charge hopping or transient droplet aggregation can result in a continuous water network within the oil phase, forming a bicontinuous phase that enhances conductivity [44]. However, it has been demonstrated previously that higher pH promotes smaller droplet formation and enhances stability. The studied sunscreens showed minimal pH changes. For instance, the pH value of S-EtOH-H2O formula at 0.05% decreased slightly (from 5.15 to 5.03) over 90 days. At 0.2%, the ethanolic extract remained stable, with pH values ranging from 6.00 to 6.24. This can be attributed to increased surfactant aggregation at high pH. Carboxylic acids in crude oil, which ionize at higher pH, contribute to the stability of emulsions by forming micelles that reduce droplet size; however, effects vary with the system’s composition [45].
Variations in viscosity over time may indicate structural degradation or aggregation of the ingredients. Formulations with 0.05% extract, such as 0.05% S-EtOH, had lower initial viscosities (11,254 ± 4.36 cP) with minimal changes over 90 days. Higher concentrations (0.2% S-EtOH) showed higher viscosities (17,183.67 ± 2.08 cP) and stability. Nevertheless, a low emulsifier content leads to larger droplets due to insufficient surface coverage, thus promoting droplet coalescence. Increased surfactant concentration reduces droplet size by enhancing interfacial coverage, thus improving stability. Non-ionic surfactants are required at higher concentrations for stability when compared to anionic surfactants, which can maintain stability even at lower concentrations [45]. In contrast, the sunscreen with 0.05% M-EtOH showed minor fluctuations in PV, while the 0.1% and 0.2% formulations—particularly with ethanolic extracts—showed consistent PV stability over 90 days. The peroxide value (PV) in an emulsion reflects the oxidation of lipids, where high levels of PV indicate increased oxidative degradation, adversely affecting the stability of the emulsion [27].
5. Limitations
The findings of this study are primarily based on in vitro analyses which, while informative, do not fully replicate the complex dynamics of skin interactions. In vivo studies are necessary to validate the efficacy and long-term effects of the formulations, particularly in diverse populations with varying skin types. Furthermore, the SPF results—although highly promising—require further evaluation using standardized in vivo protocols in order to confirm their reproducibility and reliability.
Addressing these limitations will be critical for the commercial translation and certification of these formulations as effective and sustainable sunscreens.
6. Conclusions
Based on the results of the present study, C. arvensis flower extracts demonstrated significant potential as biological sunscreen, targeting both UVB protection and skin aging. Furthermore, the M-EtOH extract showed significant surface and interfacial tension-lowering activities. This property improves the stability of oil–water emulsions, enhancing their application in biological formulations. The combined effects of UV protection, enzyme inhibition, and emulsion stability underline the multi-functional potential of C. arvensis extracts in the development of advanced, bio-based products that meet the growing consumer demand for natural, eco-certified ingredients.
However, future research should focus on identifying and characterizing the specific active compounds that are responsible for these activities.
Author Contributions
Conceptualization: N.E.-O. and A.Z.; Methodology: N.E.-O.; Software: N.E.-O.; Validation: N.E.-O.; Formal Analysis: N.E.-O.; Investigation: N.E.-O.; Resources: N.E.-O.; Data Curation: N.E.-O.; Writing—Original Draft Preparation: N.E.-O.; Writing—Review and Editing: N.E.-O. and I.Z.; Visualization: N.E.-O.; Supervision: A.Z.; Project Administration: A.Z.; Funding Acquisition: A.Z and N.E.-O. All authors have read and agreed to the published version of the manuscript.
Funding
This research received no external funding.
Institutional Review Board Statement
Not applicable.
Informed Consent Statement
Not applicable.
Data Availability Statement
The project provides the following underlying datasets: Raw_Material_C_Arvensis.xlsx DOI: 1010.6084/m9.figshare.27643428 [46], and Sunscreen-characterisation.xlsx DOI: 1010.6084/m9.figshare.27643425 [47]. Data are available under the terms of the Creative Commons Zero “No rights reserved” data waiver (CC0 1.0 Public domain dedication).
Acknowledgments
The authors extend their heartfelt appreciation to Benkhnigue Ouafae at the Botanics and Plant Ecology Departement of the Scientific Institute of Rabat, Morocco. and also, Zineelabidine Triqui for their crucial support in identifying Calendula arvensis L.
Conflicts of Interest
The authors declare that there are no conflicts of interest.
References
- Passeron, T.; Krutmann, J.; Andersen, M.; Katta, R.; Zouboulis, C. Clinical and biological impact of the exposome on the skin. J. Eur. Acad. Dermatol. Venereol. 2020, 34, 4–25. [Google Scholar] [CrossRef] [PubMed]
- Diffey, B. Solar ultraviolet radiation effects on biological systems. Phys. Med. Biol. 1991, 36, 299. [Google Scholar] [CrossRef] [PubMed]
- Muthusamy, V.; Piva, T.J. The UV response of the skin: A review of the MAPK, NFκB and TNFα signal transduction pathways. Arch. Dermatol. Res. 2010, 302, 5–17. [Google Scholar] [CrossRef] [PubMed]
- Gasparro, F.P.; Mitchnick, M.; Nash, J.F. A review of sunscreen safety and efficacy. Photochem. Photobiol. 1998, 68, 243–256. [Google Scholar] [CrossRef]
- Nash, J. Human safety and efficacy of ultraviolet filters and sunscreen products. Dermatol. Clin. 2006, 24, 35–51. [Google Scholar] [CrossRef]
- Bozza, A.; Campi, C.; Garelli, S.; Ugazio, E.; Battaglia, L. Current regulatory and market frameworks in green cosmetics: The role of certification. Sustain. Chem. Pharm. 2022, 30, 100851. [Google Scholar] [CrossRef]
- Ottman, J. The New Rules of Green Marketing: Strategies, Tools, and Inspiration for Sustainable Branding; Routledge: London, UK, 2017. [Google Scholar]
- Tran, E.; Richmond, G.L. Interfacial steric and molecular bonding effects contributing to the stability of neutrally charged nanoemulsions. Langmuir 2021, 37, 12643–12653. [Google Scholar] [CrossRef]
- Arora, D.; Rani, A.; Sharma, A. A review on phytochemistry and ethnopharmacological aspects of genus Calendula. Pharmacogn. Rev. 2013, 7, 179. [Google Scholar] [CrossRef]
- El-Otmani, N.; Zeouk, I.; Hammani, O.; Zahidi, A. Analysis and Quality Control of Bio-actives and Herbal Cosmetics: The Case of Traditional Cooperatives from Fes-Meknes Region. Trop. J. Nat. Prod. Res. (TJNPR) 2024, 8, 7181–7195. [Google Scholar] [CrossRef]
- Khouchlaa, A.; El Baaboua, A.; El Moudden, H.; Lakhdar, F.; Bakrim, S.; El Menyiy, N.; Belmehdi, O.; Harhar, H.; El Omari, N.; Balahbib, A. Traditional uses, bioactive compounds, and pharmacological investigations of Calendula arvensis L.: A Comprehensive review. Adv. Pharmacol. Pharm. Sci. 2023, 2023, 2482544. [Google Scholar] [CrossRef]
- Nichols, J.A.; Katiyar, S.K. Skin photoprotection by natural polyphenols: Anti-inflammatory, antioxidant and DNA repair mechanisms. Arch. Dermatol. Res. 2010, 302, 71–83. [Google Scholar] [CrossRef] [PubMed]
- de Lima Cherubim, D.J.; Buzanello Martins, C.V.; Oliveira Fariña, L.; da Silva de Lucca, R.A. Polyphenols as natural antioxidants in cosmetics applications. J. Cosmet. Dermatol. 2020, 19, 33–37. [Google Scholar] [CrossRef] [PubMed]
- Lister, E.; Wilson, P. Measurement of total phenolics and ABTS assay for antioxidant activity (personal communication). Crop Res. Inst. Linc. New Zealand 2001, 7, 235–239. [Google Scholar]
- Djeridane, A.; Yousfi, M.; Nadjemi, B.; Boutassouna, D.; Stocker, P.; Vidal, N. Antioxidant activity of some Algerian medicinal plants extracts containing phenolic compounds. Food Chem. 2006, 97, 654–660. [Google Scholar] [CrossRef]
- RibéreauGayon, P.; Stonestreet, E. Dosage des tanins du vin rouge et détermination de leur structure. Chim. Anal. 1966, 48, 188–196. [Google Scholar]
- Topçu, G.; Ay, M.; Bilici, A.; Sarıkürkcü, C.; Öztürk, M.; Ulubelen, A. A new flavone from antioxidant extracts of Pistacia terebinthus. Food Chem. 2007, 103, 816–822. [Google Scholar] [CrossRef]
- Prieto, P.; Pineda, M.; Aguilar, M. Spectrophotometric quantitation of antioxidant capacity through the formation of a phosphomolybdenum complex: Specific application to the determination of vitamin E. Anal. Biochem. 1999, 269, 337–341. [Google Scholar] [CrossRef]
- Kim, Y.-J.; Uyama, H.; Kobayashi, S. Inhibition effects of (+)-catechin–aldehyde polycondensates on proteinases causing proteolytic degradation of extracellular matrix. Biochem. Biophys. Res. Commun. 2004, 320, 256–261. [Google Scholar] [CrossRef]
- Khatib, S.; Mahdi, I.; Drissi, B.; Fahsi, N.; Bouissane, L.; Sobeh, M. Tetraclinis articulata (Vahl) Mast.: Volatile constituents, antioxidant, antidiabetic and wound healing activities of its essential oil. Heliyon 2024, 10, e24563. [Google Scholar] [CrossRef]
- Mansur, J.d.S.; Breder, M.N.R.; Mansur, M.C.d.A.; Azulay, R.D. Determinaçäo do fator de proteçäo solar por espectrofotometria. An. Bras. Dermatol. 1986, 63, 121–124. [Google Scholar]
- Sayre, R.M.; Agin, P.P.; LeVee, G.J.; Marlowe, E. A comparison of in vivo and in vitro testing of sunscreening formulas. Photochem. Photobiol. 1979, 29, 559–566. [Google Scholar] [CrossRef] [PubMed]
- COSMOS. Standard 2024. Available online: https://www.cosmos-standard.org/en/documents/ (accessed on 5 February 2024).
- AISBL C-s. COSMOS-Standard Technical Guide. Available online: https://media.cosmos-standard.org/filer_public/06/29/06298b4e-83cb-4064-ae46-f4578f9fc9f5/cosmos-standard_technical_guide_v40.pdf (accessed on 20 February 2024).
- Abudunia, A.-M.; Marmouzi, I.; Faouzi, M.; Ramli, Y.; Taoufik, J.; El Madani, N.; Essassi, E.; Salama, A.; Khedid, K.; Ansar, M. Anticandidal, antibacterial, cytotoxic and antioxidant activities of Calendula arvensis flowers. J. De Mycol. Medicale 2017, 27, 90–97. [Google Scholar] [CrossRef] [PubMed]
- Ercetin, T.; Senol, F.S.; Orhan, I.E.; Toker, G. Comparative assessment of antioxidant and cholinesterase inhibitory properties of the marigold extracts from Calendula arvensis L. and Calendula officinalis L. Ind. Crops Prod. 2012, 36, 203–208. [Google Scholar] [CrossRef]
- Ghelichi, S.; Hajfathalian, M.; Yesiltas, B.; Sørensen, A.D.M.; García-Moreno, P.J.; Jacobsen, C. Oxidation and oxidative stability in emulsions. Compr. Rev. Food Sci. Food Saf. 2023, 22, 1864–1901. [Google Scholar] [CrossRef] [PubMed]
- Porwal, M.; Rastogi, V.; Chandra, P.; Shukla, S. An Updated Review on the Role of Phytoconstituents in Modulating Signalling Pathways to Combat Skin Ageing: Nature’s Own Weapons and Approaches. Nat. Prod. J. 2024, 14, 55–71. [Google Scholar] [CrossRef]
- Deniz, F.S.S.; Orhan, I.E.; Duman, H. Profiling cosmeceutical effects of various herbal extracts through elastase, collagenase, tyrosinase inhibitory and antioxidant assays. Phytochem. Lett. 2021, 45, 171–183. [Google Scholar] [CrossRef]
- Działo, M.; Mierziak, J.; Korzun, U.; Preisner, M.; Szopa, J.; Kulma, A. The potential of plant phenolics in prevention and therapy of skin disorders. Int. J. Mol. Sci. 2016, 17, 160. [Google Scholar] [CrossRef]
- Ravera, F.; Dziza, K.; Santini, E.; Cristofolini, L.; Liggieri, L. Emulsification and emulsion stability: The role of the interfacial properties. Adv. Colloid Interface Sci. 2021, 288, 102344. [Google Scholar] [CrossRef]
- Ho, T.M.; Razzaghi, A.; Ramachandran, A.; Mikkonen, K.S. Emulsion characterization via microfluidic devices: A review on interfacial tension and stability to coalescence. Adv. Colloid Interface Sci. 2022, 299, 102541. [Google Scholar] [CrossRef]
- Jafari, S.M.; Doost, A.S.; Nasrabadi, M.N.; Boostani, S.; Van der Meeren, P. Phytoparticles for the stabilization of Pickering emulsions in the formulation of novel food colloidal dispersions. Trends Food Sci. Technol. 2020, 98, 117–128. [Google Scholar] [CrossRef]
- Fraga-Corral, M.; Otero, P.; Echave, J.; Garcia-Oliveira, P.; Carpena, M.; Jarboui, A.; Nuñez-Estevez, B.; Simal-Gandara, J.; Prieto, M.A. By-products of agri-food industry as tannin-rich sources: A review of tannins’ biological activities and their potential for valorization. Foods 2021, 10, 137. [Google Scholar] [CrossRef] [PubMed]
- Rouzaud, F.; Kadekaro, A.L.; Abdel-Malek, Z.A.; Hearing, V.J. MC1R and the response of melanocytes to ultraviolet radiation. Mutat. Res. /Fundam. Mol. Mech. Mutagen. 2005, 571, 133–152. [Google Scholar] [CrossRef] [PubMed]
- Wang, T.; Zhao, J.; Yang, Z.; Xiong, L.; Li, L.; Gu, Z.; Li, Y. Polyphenolic sunscreens for photoprotection. Green Chem. 2022, 24, 3605–3622. [Google Scholar] [CrossRef]
- Mishra, A.; Mishra, A.; Chattopadhyay, P. Assessment of in vitro sun protection factor of Calendula officinalis L. (asteraceae) essential oil formulation. J. Young Pharm. 2012, 4, 17–21. [Google Scholar] [CrossRef]
- Lohani, A.; Mishra, A.K.; Verma, A. Cosmeceutical potential of geranium and calendula essential oil: Determination of antioxidant activity and in vitro sun protection factor. J. Cosmet. Dermatol. 2019, 18, 550–557. [Google Scholar] [CrossRef]
- Mitterer-Daltoé, M.; Bordim, J.; Lise, C.; Breda, L.; Casagrande, M.; Lima, V. Consumer awareness of food antioxidants. Synthetic vs. Natural. Food Sci. Technol. 2020, 41, 208–212. [Google Scholar] [CrossRef]
- Sajinčič, N.; Gordobil, O.; Simmons, A.; Sandak, A. An Exploratory Study of Consumers’ Knowledge and Attitudes about Lignin-Based Sunscreens and Bio-Based Skincare Products. Cosmetics 2021, 8, 78. [Google Scholar] [CrossRef]
- Reis-Mansur, M.C.P.P.; da Luz, B.G.; dos Santos, E.P. Consumer Behavior, Skin Phototype, Sunscreens, and Tools for Photoprotection: A Review. Cosmetics 2023, 10, 39. [Google Scholar] [CrossRef]
- Fonseca-Santos, B.; Corrêa, M.A.; Chorilli, M. Sustainability, natural and organic cosmetics: Consumer, products, efficacy, toxicological and regulatory considerations. Braz. J. Pharm. Sci. 2015, 51, 17–26. [Google Scholar] [CrossRef]
- JA, S.M.; Khalid, R.M.; Othaman, R. Coconut oil based microemulsion formulations for hair care product application. Sains Malays. 2019, 48, 599–605. [Google Scholar]
- Li, L.; Qu, J.; Liu, W.; Peng, B.; Cong, S.; Yu, H.; Zhang, B.; Li, Y. Advancements in Characterization Techniques for Microemulsions: From Molecular Insights to Macroscopic Phenomena. Molecules 2024, 29, 2901. [Google Scholar] [CrossRef]
- Al-Sakkaf, M.K.; Onaizi, S.A. Effects of emulsification factors on the characteristics of crude oil emulsions stabilized by chemical and Biosurfactants: A review. Fuel 2024, 361, 130604. [Google Scholar] [CrossRef]
- EL-OTMANI N. Raw_Material_C_Arvensis.xlsx. Figshare. Dataset. 2024. Available online: https://figshare.com/articles/dataset/Raw_Material_C_Arvensis_xlsx/27643428/1?file=50338740 (accessed on 26 November 2024).
- EL-OTMANI N. Sunscreen- Characterisation.xlsx. Figshare. Dataset. 2024. Available online: https://figshare.com/articles/dataset/Sunscreen-_characterisation_xlsx/27643425/1?file=50338743 (accessed on 26 November 2024).
Disclaimer/Publisher’s Note: The statements, opinions and data contained in all publications are solely those of the individual author(s) and contributor(s) and not of MDPI and/or the editor(s). MDPI and/or the editor(s) disclaim responsibility for any injury to people or property resulting from any ideas, methods, instructions or products referred to in the content. |
© 2024 by the authors. Licensee MDPI, Basel, Switzerland. This article is an open access article distributed under the terms and conditions of the Creative Commons Attribution (CC BY) license (https://creativecommons.org/licenses/by/4.0/).



