Abstract
As the main branch of the brake-by-wire system, the electro-mechanical brake (EMB) system is the future direction of vehicle brake systems. In order to enhance the vehicle braking effect and improve driver safety, a convolutional neural network (CNN) online road surface identification algorithm and an optimal slip ratio tracking integral sliding mode controller (ISMC) combined EMB braking control strategy is proposed in this paper. Firstly, according to the quarter-vehicle model and Burckhardt tire model, the vehicle braking control theory based on the optimal slip ratio is analyzed. Secondly, using the VGG-16 CNN method, an online road surface identification algorithm is proposed. Through a comparative study under the same dataset conditions, it is verified that the VGG-16 method has a higher identification accuracy rate than the SVM method. In order to further improve the generalization ability of VGG-16 CNN image identification, data enhancement is performed on the road surface image data training set, including image flipping, clipping, and adjusting sensitivity. Then, combined with the EMB system model, an exponential approach law method-based ISMC is designed to achieve the optimal slip ratio tracking control of the vehicle braking process. Finally, MATLAB/Simulink software is used to verify the correctness and effectiveness of the proposed strategy and shows that the strategy of real-time identifying road surface conditions through vision can make the optimal slip ratio of vehicle braking control reasonably adjusted, so as to ensure that the adhesion coefficient of wheel braking always reaches the peak value, and finally achieves the effect of rapid braking.
1. Introduction
Braking performance greatly affects the safety of a car. At present, the brake-by-wire system is gradually replacing the traditional braking system and has become the future development trend with obvious advantages. The road surface conditions and braking force control ability greatly affect the braking effect of the brake-by-wire system. In particular, the design of the braking controller has become an important research direction of the brake-by-wire system, and many scholars have conducted a lot of research here.
According to the different realization forms, the brake-by-wire system can be divided into two categories: the electro-hydraulic brake (EHB) system and the electro-mechanical brake (EMB) system. The EHB system retains the hydraulic braking system, which makes it easier to achieve braking. However, the EHB system does not fully possess the advantages of electronic braking, being difficult to obtain long-term application.
Compared with a traditional controller, the EMB system has the following advantages [1,2]: (1) the EMB system removes the complicated mechanical components and hydraulic pipelines, which makes the structure simpler and reduces the quality of the whole vehicle greatly. It is also convenient for maintenance, installation, and debugging; (2) it can cooperate with the antilock brake system (ABS), electronic stability program (ESP), and other systems to reduce the braking distance, achieve the fastest deceleration, and ensure stability during driving; (3) the brake master cylinder and vacuum booster are cancelled, which saves space in the car, further improves the anti-collision function of the car, and ensures the safety of the driver during driving; (4) the brake motor is controlled by the EMB system precisely to achieve the precise regulation and stable output of the braking force, making it have stronger electronic and integrated capabilities.
Therefore, according to the advantages of the EMB system, this paper conducts research on the brake control of the EMB system.
According to the principles of vehicle dynamics, slip ratio control is a high-performance vehicle braking control method [3]. For different types of road surface conditions, different optimal slip ratio will be affected by different peak adhesion coefficients. There are many methods to identify road surface conditions, which are mainly divided into three categories [4,5]: (1) road surface property-based methods. For example, temperature sensors, ultrasonic sensors, and a camera are used to detect the road surface conditions, and compare them with reference data to obtain reliable data to identify the type of road surface; (2) tire force-slip-based methods. These methods are mainly based on vehicle and tire dynamics models to identify the potential grip of the vehicle on the road; and (3) tire–road interaction-based methods. These methods classify and identify the road surface by measuring the deformation or vibration of the tire, which is caused by the friction force on the tire contact surface.
Considerable research has been carried out on the braking force control, mainly including PID control theory, gain scheduling and sliding mode control theory, etc. For example, reference [6] proposed a combined PID control strategy based on brake-by-wire and semi-active suspension, which could meet the needs of rapid pressure build-up and precise pressure control; reference [7] studied the relationship between wheel deceleration and longitudinal slip and proposed a sliding mode control (SMC)-based active braking controller; reference [8] proposed a sliding mode observer (SMO)-based slip ratio-tracking neural network (NN) control method to achieve the precise regulation of the braking force of the hybrid braking system.
This paper proposes an optimal slip ratio tracking integral sliding mode controller (ISMC) for an EMB system based on road surface identification. Firstly, the structure and working principle of the EMB system are introduced. Based on the 1/4 vehicle model, the wheel dynamics motion equation is established. According to the Burckhardt tire model, the vehicle braking control theory based on the optimal slip ratio of the road surface is analyzed. Secondly, an online road surface identification algorithm based on the VGG-16 convolutional neural network (CNN) method is proposed. In order to improve the generalization ability of VGG-16 image recognition, data enhancement is performed on the road surface image data training set, including image flipping, clipping, and adjusting sensitivity. Then, on the basis of road identification, an exponential approach law method based on an integral sliding mode controller (ISMC) is designed to achieve the optimal slip ratio tracking control of the vehicle braking process. Finally, MATLAB/Simulink software is used to verify the correctness and effectiveness of the proposed strategy. The variable definitions appearing in this article are shown in Table 1:
Table 1.
List of variable definitions.
2. EMB System Structure and Modeling
2.1. System Structure
The EMB System consists of control motor and its electronic control unit (ECU), deceleration booster mechanism, motion conversion mechanism, caliper, and brake disc, as shown in Figure 1.
Figure 1.
The control structure of the EMB system.
As the ECU receives the brake demand signal, it controls the motor to output the corresponding electromagnetic torque. The electromagnetic torque is transmitted through the deceleration and force-increasing mechanism to achieve the deceleration and torque increase. Simultaneously, the rotary motion is converted into linear motion through the motion conversion mechanism such as a ball screw, thereby pushing the caliper friction plate to press the brake disc. The clamping force is generated by the caliper body to realize the output of the braking torque and then complete the braking process. The EMB system does not have traditional hydraulic actuators, which ensures the rapidity and reliability of braking [9,10].
2.2. Brake Modeling
The braking process is driven by the motor to push the caliper friction plate to press the brake disc, mainly including the anti-backlash stage and blocking stage. Since the process of realizing anti-backlash is very fast, only the locked rotor condition of the motor blocking stage is analyzed.
The electromechanical coupling dynamics model of the motor can be expressed as follows [11]:
where mp is the PWM duty cycle; Ua is the motor voltage; La is the motor inductance; ia is the motor current; Ra is the motor resistance; Ke is the back electromotive force coefficient; ωm is the rotor angular velocity; Jm is the rotor equivalent moment of inertia; is the rotor angular acceleration; KT is the torque coefficient; and TL is the load torque acceleration.
When the motor enters blocking stage, it meets . Then, the relationship between the torque and current can be expressed as follows:
The planetary gear reducer is selected as the deceleration and force-increasing mechanism of the EMB actuator, and the mathematical model of the planetary gear mechanism can be expressed as follows:
where Tx is the output torque of the planetary gear reducer for the wheel brake; ρ is the corresponding gear ratio of the planetary gear reducer; and ηx is the mechanical efficiency of the corresponding planetary gear reducer.
The ball screw pair plays the role of the action transformation of the EMB actuator. The rotational motion of the reduction gear is converted into linear motion, and the brake caliper is pushed against the brake disc, thereby forming the clamping force of the brake. The mathematical model can be expressed as follows:
where ηs is the screw transfer efficiency; ph is the screw lead.
Then, the torque acting on the brake disc is
where μr is the brake disc surface friction factor, and r is the effective radius of brake disc.
2.3. Quarter-Vehicle Modeling
Assuming that the vehicle is driving on flat and level ground, the influence of the braking intensity on the normal force of the front and rear tires is not considered. Accordingly, the quarter-vehicle model can be established to represent the operating characteristics of the entire vehicle. The force analysis of each wheel motion process is shown in Figure 2.
Figure 2.
The diagram of wheel motion force.
During the motion of the wheel, the relevant force relationship can be expressed as follows:
where m is the quarter vehicle mass; v is the vehicle speed; Ff is the frictional force of the road on the wheel; μs is the friction factor between tire and road; FH is the reverse force of the road surface on the wheel; and g is the gravitational acceleration.
Thus, the wheel dynamics motion equation can be expressed as follows:
where Jc is the wheel moment of inertia; is the wheel angular speed; and R is the wheel radius.
The slip ratio refers to the proportion of the slip component in the wheel motion process, which can be expressed by λ [12,13]:
2.4. Tire Modeling
Tire models can be roughly divided into theoretical models, empirical models, semi-empirical models, adaptive models, and computer models. This paper adopts the Burckhardt tire model. Under the premise of ignoring the influence of vertical load and the change of vehicle speed, the tire–road friction adhesion coefficient expression μ(λ) is defined as follows [14]:
According to Equation (11), the optimal slip ratio λp can be obtained by the extreme value method as follows:
The corresponding peak friction adhesion coefficient μp can be calculated as follows:
where, c1, c2, and c3 are parameters related to road surface conditions, and the values are shown in Table 2.
Table 2.
The Burckhardt model parameters under different road surfaces.
Figure 3 shows the relationship between slip ratio and adhesion coefficient. According to the Burckhardt model, as long as the road surface type is identified, the optimal slip ratio of the road surface can be obtained.
Figure 3.
Relationship between slip ratio and adhesion coefficient.
3. Road Surface Recognition Based on VGG-16 Convolutional Neural Network
There are many research methods for road surface identification. The reference [15] proposes a scheme for longitudinal/lateral tire-force estimation, and the longitudinal and lateral tire-force-estimation scheme is used to determine the potential grip of the vehicle on the road. However, this method is difficult for accurately measuring the model parameters of the vehicle, so the further application of this method is subject to certain limitations. A stereo camera based on light polarization changes when reflected from the road surface is proposed in reference [16], which can estimate the contrast content of an image by texture analysis. However, this method is currently not well adapted to different environmental conditions.
Machine vision is the mainstay of today’s road surface identification algorithms, and combining with deep learning can further improve the intelligence of electric vehicles. The convolutional neural network (CNN), as one of the popular deep learning frameworks, has good recognition ability in the image field. The CNN does not need to pre-process the image and can use simple convolution and pooling operations to achieve feature learning and then complete the recognition. In this paper, combined with the advantages of CNN, a road surface recognition model based on VGG-16 CNN is designed to monitor and identify road surface types in real time.
3.1. CNN Network Structure
A convolutional neural network generally consists of an input layer, a convolutional layer, a pooling layer, a fully connected layer, and an output layer. Its basic structure is shown in Figure 4 [17].
Figure 4.
The structure of convolutional neural network.
The convolutional layer will convolve the learnable convolution kernel with the input feature map. The convolution formula is as follows [18,19]:
where Ml is the l+1 layer convolution input; Ml+1 is the l+1 layer convolution output; ωl is the convolution kernel; z is the offset; Ml+1(i0, j0) is the pixel value of the point (i0, j0) in the feature map; kl is the number of channels in the feature map; (x0, y0) are, respectively, the abscissa and ordinate of the convolved weight point; is the kc channel eigenvalues; s0 is the convolution stride; p is the number of padding layers for the convolution; f is the size of the convolution kernel; is the weight value of the convolution kernel at the point(i0, j0) in the channel; Ll+1 is the dimensions of Ml+1; and Ll is the dimensions of Ml.
Activation functions can improve the nonlinearity of neural network models. Common activation functions are Sigmoid, Tanh, and ReLU activation functions. The ReLU activation function is used to avoid gradient disappearance.
The new feature map, which outputs after the convolution operation, is passed to the pooling layer. The latitude can be reduced by the feature selection of different positions in the local area of the image by the convolution layer, and overfitting is also effectively prevented. Common pooling methods in practice include Max Pooling, Average Pooling, and Spatial Pyramid Pooling, etc. The Max Pooling method is used in this paper.
Normalization is usually performed after the linear and convolutional layers during training to avoid exploding or disappearing gradients, avoiding overfitting, and speeding up the learning and convergence of the network. The data batch normalization algorithm is as follows:
where μ is the data mean; xj is the j data in the number of data P; σ2 is the data variance; is the data normalization value; γ and θ are two parameters that need to be learned by the network; ξ is a given parameter; and is the final output after normalization.
3.2. VGG-16 CNN Structure
As a classical convolutional neural network model, VGGNeT implements a further improvement of the convolutional neural network. VGGNeT is mainly based on AlexNet network development; its biggest feature is that the network layers are deeper, which can make very small convolutional kernels instead of large convolutional kernels. The deeper the depth of the VGGNeT network model, the more sensitive it is to extract small features in the image, thereby effectively improving the recognition performance and reducing the error rate [20,21,22,23]. At the same time, the VGGNeT utilizes richer regularization methods, which makes the whole network structure more effective against overfitting.
Among the six versions of the VGGNeT network structure, the VGG-16 network structure is compared to be more effective and more suitable for the recognition and classification of road surface images.
At the same time, the performance of VGG-16 and SVM methods are evaluated by the accuracy rate index under the same dataset conditions. The results show that the accuracy of the SVM is 36% while the accuracy of the VGG-16 is 90%.
The VGG-16 network structure consists of 13 convolutional layers, 5 pooling layers, 3 fully connected layers, and a Softmax activation layer. The convolution kernels in the model are all 13 convolutional layers of 3 × 3. Using this method of stacking small convolutional layers to replace the 5 × 5 large convolution kernel greatly reduces the network parameters, but the network depth and nonlinearity are further increased, thereby effectively improving the image feature extraction function. The network structure used in this paper is shown in Figure 5.
Figure 5.
The structure of VGG-16 CNN.
The input color image size is 224 × 224 × 3, and the output layer uses Softmax to classify the road surface type.
The road surface type recognition process based on VGG-16 CNN is as follows:
- ➀
- According to common road surface types, various road surface images are collected from the Internet. Labelme is used to label the collected road surface type data sets, which are mainly divided into the following four categories: dry asphalt road surface, wet asphalt road surface, cement road surface, and snow road surface. Then, 250 images of each of the four road surfaces are collected. The number of images for training, validation, and testing are shown in Table 3.
Table 3. The data set structure and number.
The comparison experiments were conducted on input size 224 × 224 as well as 256 × 256 and 128 × 128 images and respective accuracies are obtained in Table 4:
Table 4.
The input size comparison.
The accuracy obtained is acceptable within the margin of error when comparing the input image of 256 × 256. However, within this range, it is better to make the training time shorter, the computation smaller, and the video memory footprint smaller. If the image size is too small, then information extraction is severely lost; and if the size is too large, then the computation is also more intensive and time-consuming.
Therefore, a size of 224 × 224 for input is chosen for the model.
- ➁
- The VGG-16 convolutional neural network model is built. A total of four convolution model processings are performed. After each convolution processing, the ReLU function is activated, and a maximum pooling layer Max Pooling processing is performed. The resulting one-dimensional vector goes through two layers of 1 × 1 × 4096 and one layer of 1 × 1 × 1000 fully connected layers and then outputs the result through the Softmax function.
Common loss functions used for classification are Cross Entropy Loss, KL scatter (KLDivLoss), etc. The loss function we use is the KL scatter, which is mainly used to characterize how well probability distribution q fits probability distribution p and is used to measure the difference between two probability distributions.
The two loss functions of cross entropy and KL scatter are compared in Table 5.
Table 5.
The parameter setting.
By comparison, it was found that the KL scatter is more suitable for this model for classification.
- ➂
- The prepared road surface classification data set is used to train the VGG-16 convolutional neural network model. The basic parameter settings during training are shown in Table 6.
Table 6. The parameter settings.
During the training process, the relationship curve between the loss value and the training epoch is shown in Figure 6.
Figure 6.
The relationship curve between loss and epoch.
As shown in Figure 6, with the increase of the number of iterations, the loss value of the training set and the loss value of the test set are decreasing as a whole, when the network is still fitting and the training network is normal.
- ➃
- Validate on 80 images in the test set using the trained model and weights. According to tests, the recognition accuracy of this model has reached 90%.
- ➄
- Then the model is put into the recognition layer to recognize the road surface type.
4. Optimal Slip Ratio Integral Sliding Mode Control
The EMB brake-by-wire system is a typical nonlinear, complex and uncertain system, which puts forward higher requirements for the robustness of the closed-loop controller. A sliding mode control has the advantages of a fast response speed, insensitivity to parameter changes and disturbances, no need for online identification, strong robustness, etc., and is suitable for EMB control requirements.
In this paper, an ISMC method based on exponential reaching law is used to design the optimal slip ratio tracking controller for the EMB.
According to the slip ratio Equation (10), we can obtain
Substituting Equations (4), (7), and (9) into (18), we can obtain
Considering the parameter uncertainty in the actual vehicle system, according to Equation (19), a bounded comprehensive interference term d(t) is introduced. It satisfies |d(t)| < DH, and DH is the upper boundary of the interference, DH > 0.
Define the motor current ia as the control input variable u(t), and let
Then, Equation (19) can be simplified as follows:
For the torque tracking controller design based on the optimal slip ratio, it can define the optimal slip ratio tracking error λe as a new state variable
where λ* is the slip ratio reference value.
Select the integral sliding mode surface function s(λe) as follows:
where kp, ki > 0 are the sliding mode surface coefficient, which determines the quality of the final sliding mode state.
When the system state is on the sliding surface, it meets ; then, we have
Solving Equation (26), we can obtain
where C0 is an arbitrary constant, τ is the convergence time constant, and τ = kp/ki.
It can be seen from Equation (27) that the system state λe decays exponentially to zero without overshoot. It can also be shown that the integral sliding mode surface function (25) converges globally according to the system state λe and has no static error so as to achieve the purpose of the optimal slip rate tracking control.
In this way, according to the inherent time period of the speed response of the controlled vehicle system, the convergence time constant τ of the deviation λe can be reasonably selected. Then, the coefficient of the integral sliding mode surface can be obtained so as to realize the optimal tracking control of the slip ratio.
Select the sliding mode exponential approach law as follows:
where ε and α are small positive numbers, 0 < α < 1.
From Equations (25) and (28), the optimal slip ratio tracking integral sliding mode control law can be obtained as follows:
Define the Lyapunov function as follows:
According to the Lyapunov stability condition, when the condition is satisfied, the system state tends to a sliding mode and gradually approaches the steady state according to the designed approach law. This Lyapunov stability condition provides the basis for determining the control law parameters.
Hence, taking the derivative of Equation (30), it can be obtained from Equation (23) and the sliding mode control law, Equation (29), as follows:
Obviously, in order to make the control system stable, which satisfies the condition of , the gain coefficient of the sign function sgn(s) of its control law must satisfy
When the condition (32) is satisfied, the control law (29) satisfies the arrival condition of the sliding mode, making the system approach the equilibrium origin along the sliding mode surface s(λe).
In order to suppress the chattering of the system, the sign function sgn(s) can be replaced by a saturation function sat(s) in the controller, where sat(s) is defined as follows:
where k = 1/Δ, and Δ is a boundary layer.
5. Simulation and Analysis
In order to verify the performance of the proposed strategy, MATLAB/Simulink software (MATLAB R2017a, MathWorks, Natick, USA) is used for the system simulation and result analysis. Considering that the traditional braking method cannot automatically identify the road surface and maintain the optimal slip rate for braking, this experiment uses two control methods of optimal slip rate tracking and non-optimal slip rate to compare the performance of the proposed method. The EMB and ISMC simulation parameters are shown in Table 7.
Table 7.
The simulation parameters.
To further illustrate the performance of the traditional method and the proposed method, the experiment adopts various road scenarios for the braking effect comparison. The experimental simulation scenario is mainly divided into two types: single-type road surface braking test and variable-type road surface braking test.
In the single-type road surface braking test scenario, the car is driving on a single type road surface, and under the condition of an initial speed of v(0) = 72 km/h (20 m/s) or v(0) = 54 km/h (15 m/s), emergency braking is performed. Respectively, four types of road surface are carried out, including dry asphalt road surface, wet asphalt road surface, cement road surface, and snow road surface.
The ISMC slip ratio control input reference value λ* adopts different values, respectively, to compare the braking performance.
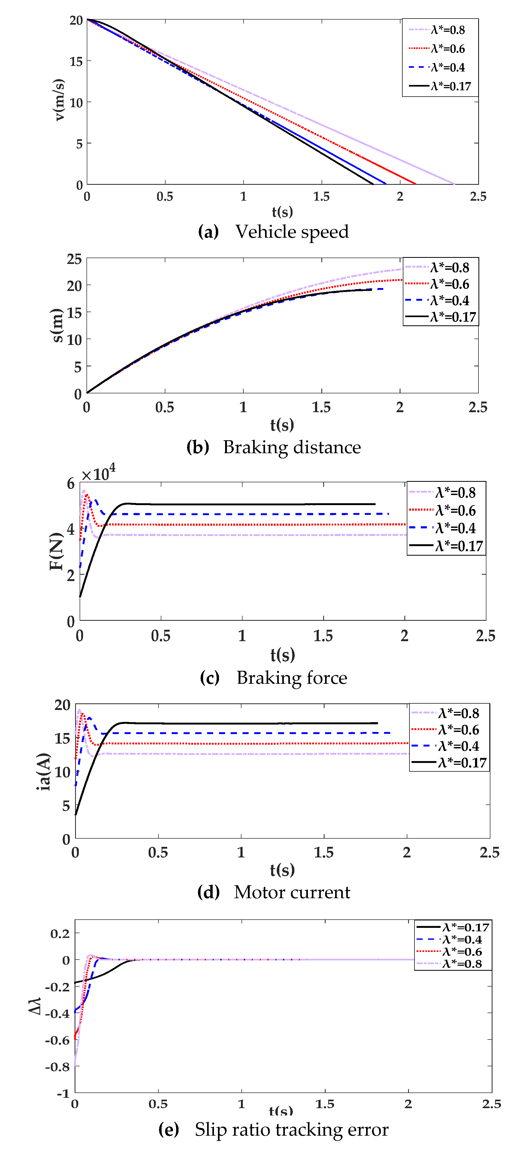
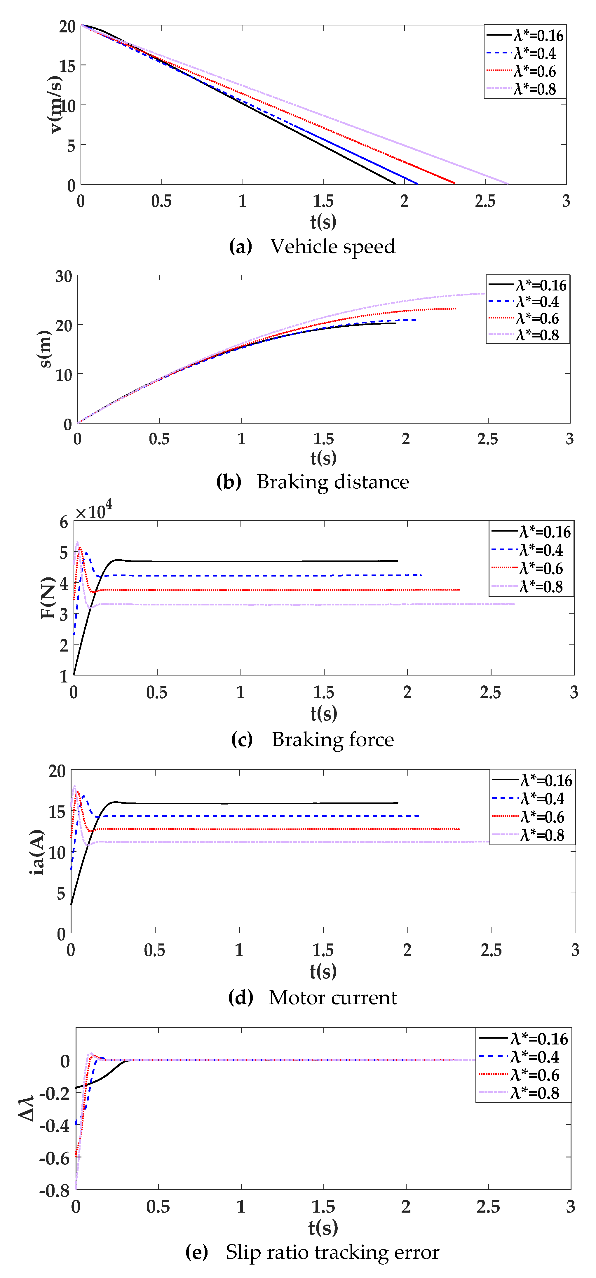
Figure 7, Figure 8, Figure 9 and Figure 10 are the simulation results of a single-type road surface braking process, including the response curves of vehicle speed (v), braking distance (s), braking force (F), motor current (ia), and slip ratio tracking error (Δλ).
Figure 7.
Dry asphalt road surface simulation.
Figure 8.
Wet asphalt road surface simulation.
Figure 9.
Cement road surface simulation.

Figure 10.
Snow road surface simulation.
As can be seen from Figure 7, Figure 8, Figure 9 and Figure 10, when the vehicle adopts different slip ratios to brake, the time from initial speed to standstill, the braking distance, and the braking force are all different.
For example, in the case of dry asphalt road surface, when the slip ratio references λ* are set to 0.17, 0.4, 0.6, and 0.8, the braking times and distances of the vehicle are (1.6 s, 18 m), (1.9 s, 1.8 m), (2.1 s, 22 m), and (2.4 s, 25 m), respectively. In the case of snow road surface, when the slip ratio references λ* are set to 0.06, 0.1, 0.14, and 0.17, the braking times and distances of the vehicle are (9.1 s, 68 m), (12.4 s, 88 m), (14.6 s, 112 m), (23.4 s, 178 m), respectively.
Referring to Equation (12) and Figure 3, it can be seen that the dry asphalt road surface, wet asphalt road surface, and cement road surfaces are high-adhesion road surfaces, and the optimal slip ratios are approximately equal to 0.17, 0.13, and 0.16, respectively. The snow road surface is a low-adhesion road surface, and the optimal slip ratio is approximately equal to 0.06.
By comparing the simulation curves, it is found that when the slip ratio reference value λ* adopted by the vehicle’s brake controller deviates from the optimal slip ratio value, the greater the value, the longer the braking time and the longer the braking distance. In contrast, when the controller adopts the optimal slip ratio of the road surface for braking, the time from the initial speed to the standstill is the shortest, the braking distance is the shortest, and the braking force is the largest.
This test scenario also verifies the correctness and effectiveness of the ISMC optimal slip rate tracking control. As the optimal slip ratio control is adopted in the braking process, the wheel can obtain the peak adhesion coefficient, and the braking effect of the vehicle is obviously better than that of other fixed slip ratios. In other words, the optimal slip rate tracking control proposed in this paper has stronger advantages than the traditional non-optimal slip rate braking method.
In the variable-type road surface braking test scenario, the car initially drives on a wet asphalt road surface with an initial speed of v(0) = 72 km/h (20 m/s). During the emergency braking process, the road surface is switched to dry asphalt and snow at 0.5 s and 1.5 s, respectively.
The ISMC slip ratio control input reference value λ* is set to a constant value, and λ* = 0.06, 0.1, 0.17, and 0.6, respectively, which is the optimal slip ratio of the dry asphalt road surface.
Figure 11 is the simulation results of the variable-type road surface braking process, including the response curves of vehicle speed (v), braking distance (s), braking force (F), motor current (ia), and slip ratio tracking error (Δλ).

Figure 11.
Variable-type road surface simulation.
It can be seen from Figure 11a that the black-lines braking speed drops the fastest in the 0.5–1.5 s time period, but the braking speed is not excellent in other time periods. The reason is that in the 0.5–1.5 s time period, the ISMC controller adopts the optimal slip rate control of the current road surface. This shows that when the vehicle is driving in various road surface conditions, a fixed optimal slip ratio is not suitable for braking under all road surface conditions.
This test scenario shows that the strategy of real-time identifying road surface conditions through vision can make the optimal slip ratio of vehicle braking control reasonably adjusted, so as to ensure that the adhesion coefficient of wheel braking always reaches the peak value, and finally achieves the effect of rapid braking.
6. Conclusions
In this paper, a convolutional neural network (CNN) online road surface identification algorithm and an optimal slip ratio tracking integral sliding mode controller (ISMC) combined EMB braking control strategy is proposed. Firstly, the image recognition model based VGG-16 CNN method is established to classify and identify various types of road surfaces, and then the Burckhardt tire model is applied to obtain the optimal slip ratio under the various road surface conditions. Secondly, on this basis of the EMB system and the quarter-vehicle model, the integral sliding mode controller based on exponential approach law is designed to achieve the optimal slip ratio tracking control. Finally, the MATLAB/Simulink simulation verifies that the online road surface recognition based on the VGG-16 CNN can effectively and accurately identify the road surface types, and compared with the traditional non-optimal slip rate braking control method, the proposed braking control strategy has better performance.
Author Contributions
Conceptualization, Y.S., J.M. and A.W.; software, Y.S. and R.L.; validation, J.M. and K.Z.; formal analysis, Y.S. and J.M.; investigation, J.M. and A.W.; data curation, J.M. and R.L.; writing—original draft preparation, Y.S.; writing—review and editing, J.M. and Y.S.; supervision, J.M.; project administration, J.M.; funding acquisition, J.M. and A.W. All authors have read and agreed to the published version of the manuscript.
Funding
This work is supported in part by the Natural Science Research Program of Jiangsu Colleges and Universities, under Grant No. 20KJA470002, and the Science and Technology Research Program of Nantong, Grant No. JC2020094, MS22020022.
Data Availability Statement
The data used to support the findings of this study are available from the corresponding author upon request.
Conflicts of Interest
The authors declare no conflict of interest.
References
- Park, G.; Choi, S.; Hyun, D. Clamping force estimation based on hysteresis modeling for electro-mechanical brakes. Int. J. Automot. Technol. 2017, 18, 883–890. [Google Scholar] [CrossRef]
- Lee, K.J.; Ki, Y.H.; Cheon, J.S.; Hwang, G.; Ahn, H.S. Approach to functional safety-compliant ECU design for electro-mechanical brake systems. Int. J. Automot. Technol. 2014, 15, 325–332. [Google Scholar] [CrossRef]
- Gong, X.; Ge, W.; Yan, J.; Zhang, Y.; Gongye, X. Review on the Development, Control Method and Application Prospect of Brake-by-Wire Actuator. Actuators 2020, 9, 15. [Google Scholar] [CrossRef] [Green Version]
- Chen, Q.; Kang, S.; Chen, H.; Liu, Y.; Bai, J. Acceleration Slip Regulation of Distributed Driving Electric Vehicle Based on Road Identification. IEEE Access 2020, 8, 144585–144591. [Google Scholar] [CrossRef]
- Yu, Z.; Han, W.; Xu, S.; Xiong, L. Review on Hydraulic Pressure Control of Electro-hydraulic Brake System. J. Mech. Eng. 2017, 53, 1–15. [Google Scholar] [CrossRef]
- Azadi, S.; Kazemi, R.; Nedamani, H.R. Integrated vehicle dynamics control using active braking and semiactive suspension systems. Veh. Dyn. Control 2021, 1, 77–116. [Google Scholar]
- Tanelli, M.; Sartori, R.; Savaresi, S. Combining Slip and Deceleration Control for Brake-by-wire Control Systems: A Sliding-mode Approach. Eur. J. Control 2007, 13, 593–611. [Google Scholar] [CrossRef]
- Subudhi, B.; Shuzhi, S.G. Sliding-Mode-Observer-Based Adaptive Slip Ratio Control for Electric and Hybrid Vehicles. IEEE Trans. Intell. Transp. Syst. 2012, 13, 1617–1626. [Google Scholar] [CrossRef]
- He, H.; Wang, C.; Jia, H.; Cui, X. An intelligent braking system composed single-pedal and multi-objective optimization neural network braking control strategies for electric vehicle. Appl. Energy 2020, 259, 114172. [Google Scholar] [CrossRef]
- Gounis, K.; Bassiliades, N. Intelligent Momentary Assisted Control for Autonomous Emergency Braking. Simul. Model. Pract. Theory 2022, 115, 102450. [Google Scholar] [CrossRef]
- Tang, Q.; Yang, Y.; Luo, C.; Yang, Z.; Fu, C. A novel electro-hydraulic compound braking system coordinated control strategy for a four-wheel-drive pure electric vehicle driven by dual motors. Energy 2022, 241, 122750. [Google Scholar] [CrossRef]
- Khaleghian, S.; Ghasemalizadeh, O.; Taheri, S. Estimation of the Tire Contact Patch Length and Normal Load Using Intelligent Tires and Its Application in Small Ground Robot to Estimate the Tire-Road Friction. Tire Sci. Technol. 2016, 44, 248–261. [Google Scholar] [CrossRef] [Green Version]
- Sharifzadeh, M.; Senatore, A.; Farnam, A.; Akbari, A.; Timpone, F. A real-time approach to robust identification of tire–road friction characteristics on mixed-μ roads. Veh. Syst. Dyn. 2019, 57, 1338–1362. [Google Scholar] [CrossRef]
- Burckhardt, M. Fahrwerktechnik: Radschlupf-Regelsysteme; Vogel Verlag: Würzburg, Switzerland, 1993. [Google Scholar]
- Cho, W.; Yoon, J.; Yim, S.; Koo, B.; Yi, K. Estimation of Tire Forces for Application to Vehicle Stability Control. IEEE Trans. Veh. Technol. 2010, 59, 638–649. [Google Scholar]
- Basudan, S.; Lin, X.; Sankaranarayanan, K. A Privacy-Preserving Vehicular Crowdsensing-Based Road Surface Condition Monitoring System Using Fog Computing. IEEE Internet Things J. 2017, 4, 772–782. [Google Scholar] [CrossRef]
- Hridayami, P.; Putra, I.; Wibawa, K.S. Fish Species Recognition Using VGG16 Deep Convolutional Neural Network. J. Comput. Sci. Eng. 2019, 13, 124–130. [Google Scholar] [CrossRef]
- Lu, F.; Liang, Y.; Wang, X.; Gao, T.; Chen, Q.; Liu, Y.; Zhou, Y.; Yuan, Y.; Liu, Y. Prediction of amorphous forming ability based on artificial neural network and convolutional neural network. Comput. Mater. Sci. 2022, 210, 111464. [Google Scholar] [CrossRef]
- Yang, R.; Wang, S.; Wu, X.; Liu, T.; Liu, X. Using lightweight convolutional neural network to track vibration displacement in rotating body video. Mech. Syst. Signal Process. 2022, 177, 109137. [Google Scholar] [CrossRef]
- Qin, Y.; Yuen, C.; Shao, Y.; Qin, B.; Li, X. Slow-varying Dynamics Assisted Temporal Capsule Network for Machinery Remaining Useful Life Estimation. IEEE Trans. Cybern. 2022. [Google Scholar] [CrossRef]
- Sabery, S.M.; Bystrov, A.; Gardner, P.; Stroescu, A.; Gashinova, M. Road Surface Classification Based on Radar Imaging Using Convolutional Neural Network. IEEE Sens. J. 2021, 21, 18725–18732. [Google Scholar] [CrossRef]
- Qin, Y.; Adams, S.; Yuen, C. A Transfer Learning-based State of Charge Estimation for Lithium-Ion Battery at Varying Ambient Temperatures. IEEE Trans. Ind. Inform. 2021, 17, 7304–7315. [Google Scholar] [CrossRef]
- Ye, M. A Lightweight Model of VGG-16 for Remote Sensing Image Classification. EEE J. Sel. Top. Appl. Earth Obs. Remote Sens. 2021, 14, 6916–6922. [Google Scholar] [CrossRef]
Publisher’s Note: MDPI stays neutral with regard to jurisdictional claims in published maps and institutional affiliations. |
© 2022 by the authors. Licensee MDPI, Basel, Switzerland. This article is an open access article distributed under the terms and conditions of the Creative Commons Attribution (CC BY) license (https://creativecommons.org/licenses/by/4.0/).












