Resource Allocation and Trajectory Optimization in OTFS-Based UAV-Assisted Mobile Edge Computing
Abstract
1. Introduction
- In order to mitigate the Doppler effect under the high-speed movement of the UAV and address the resource allocation and trajectory problems, OTFS-based UAV-assisted MEC is proposed to combine the advantages of OTFS modulation techniques;
- The UAV trajectory is optimized with the constraints of data offloading and the BER, taking into account Doppler compensation;
- Thus, the resultant problem is a challenging nonconvex problem, and we propose a joint algorithm to solve this problem. Firstly, an improved AOS algorithm based on Levy flight is proposed to obtain the sub-slot assignment of all time slots and flight trajectories. Secondly, the optimal solution for the CPU frequency and transmit power allocation is obtained by using Lagrangian duality and the first-order Taylor formula. Finally, the optimal solution of the original problem is obtained by alternating iterations.
2. System Model and Problem Formulation
2.1. Coordinate System
2.2. Transmission Model
2.3. Computation Model
2.3.1. Local Computation
2.3.2. UE Computation Offloading
2.3.3. UAV Local Computation
2.3.4. UAV Computation Offloading
2.4. Flying Model
2.5. Problem Formulation
3. Energy Consumption Minimization by the Joint Algorithm
3.1. Joint Optimization of Time Slot Partition and UAV Trajectory Based on the AOS Algorithm
| Algorithm 1: The Improve AOS Algorithm |
| 1: Input: and the maximum number of iterations . 2: Initialization: the iteration index = 1. 3: While do 4: for do 5: Determine , and . 6: for do 7: Generate , , by (27) and (28). 8: Determine and . 9: If then 10: If then 11: 12: else 13: 14: end if 15: else 16: 17: end if 18: end for 19: end for 20: Update , and . 21: 22: end while 23: Output: and |
3.2. UEs Transmission Power and CPU Frequency Optimization
| Algorithm 2: and optimization |
| 1: Input: Give , , and tolerance errors , . 2: Initialization: The step size (0,1], and the iteration index i = 1. 3: Repeat 1 Initialize the iteration index r = 1. 4: Repeat 2 5: Obtain , by (39)–(42). 6: Update , calculate the weighted sum energy consumption . 7: Set r = r + 1. 8: until , then obtain and . 9: Update . 10: Calculate the weighted sum energy consumption . 11: Set i = i + 1. 12: until , then obtain and . 13: Output: , , and . |
3.3. Algorithm Design
| Algorithm 3: The Joint Algorithm for Solving (P1) |
| 1: Initialization: () and the iteration index = 1. 2: repeat 3: . 4: Given (), update () by Algorithm 1. 5: Given (), update () by Algorithm 2. 6: until all variables move toward convergence. |
4. Simulation Results
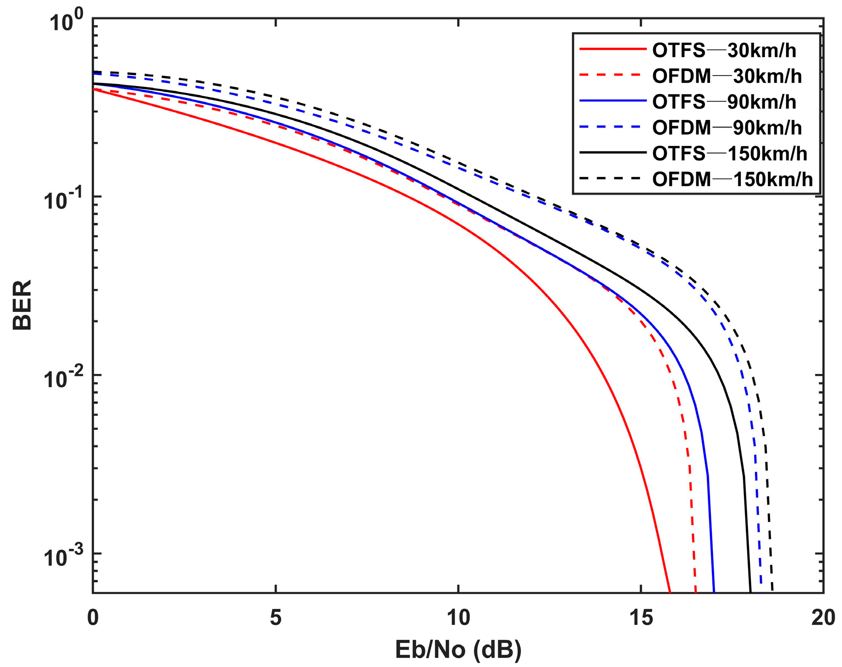
- OTFS-(*), different modulation techniques are simulated in the OTFS system based on the algorithm proposed in this paper.
- OFDM-(*), different modulation techniques are simulated in the OFDM system based on the algorithm proposed in this paper.
- Atomic orbital search (AOS), solving for optimization variables based on the AOS algorithm [32].
- Particle swarm optimization (PSO), based on the improved PSO solution optimization variables, the algorithm inertia weights cosine adaptive adjustment, while the learning factor is self-adjusting, based on inertia weights.
- Convex optimization algorithm (CXO), the original problem optimization variables are divided into three subproblems (the UAV trajectory, time slot division and other computing resource allocation) and iteratively solved based on the convex optimization algorithm [13].
5. Conclusions
Author Contributions
Funding
Data Availability Statement
Conflicts of Interest
Appendix A
Appendix B
References
- Chiang, M.; Zhang, T. Fog and IoT: An overview of research opportunities. IEEE Internet Things J. 2016, 3, 854–864. [Google Scholar] [CrossRef]
- Mach, P.; Becvar, Z. Mobile edge computing: A survey on architecture and computation offloading. IEEE Commun. Surv. Tutor. 2017, 19, 1628–1656. [Google Scholar] [CrossRef]
- Apostolopoulos, P.A.; Fragkos, G.; Tsiropoulou, E.E.; Papavassiliou, S. Data offloading in UAV-assisted multi-access edge computing systems under resource uncertainty. IEEE Trans. Mob. Comput. 2021, 22, 175–190. [Google Scholar] [CrossRef]
- Kato, N.; Fadlullah, Z.M.; Tang, F.; Mao, B.; Tani, S.; Okamura, A.; Liu, J. Optimizing space-air-ground integrated networks by artificial intelligence. IEEE Wirel. Commun. 2019, 26, 140–147. [Google Scholar] [CrossRef]
- Zeng, Y.; Rui, Z.; Teng Joon, L. Wireless communications with unmanned aerial vehicles: Opportunities and challenges. IEEE Commun. Mag. 2016, 54, 36–42. [Google Scholar] [CrossRef]
- Guo, F.; Zhang, H.; Ji, H.; Li, X.; Leung, V.C.M. An efficient computation offloading management scheme in the densely deployed small cell networks with mobile edge computing. IEEE/ACM Trans. Netw. 2018, 26, 2651–2664. [Google Scholar] [CrossRef]
- Liu, Y.; Wu, F.; Lyu, C.; Li, S.; Ye, J.; Qu, X. Deep dispatching: A deep reinforcement learning approach for vehicle dispatching on online ride-hailing platform. Transp. Res. Part E Logist. Transp. Rev. 2022, 161, 102694. [Google Scholar] [CrossRef]
- Jiang, H.; Peng, D.; Yang, K.; Zeng, Y.; Chen, Q. Predicted mobile data offloading for mobile edge computing systems. In International Conference on Smart Computing and Communication; Springer: Berlin/Heidelberg, Germany, 2018; pp. 153–162. [Google Scholar]
- Chen, M.; Mozaffari, M.; Saad, W.; Yin, C.; Debbah, M.; Hong, C.S. Caching in the sky: Proactive deployment of cache-enabled unmanned aerial vehicles for optimized quality-of-experience. IEEE J. Sel. Areas Commun. 2017, 35, 1046–1061. [Google Scholar] [CrossRef]
- Huang, L.; Feng, X.; Feng, A.; Huang, Y.; Qian, L.P. Distributed deep learning-based offloading for mobile edge computing networks. Mob. Netw. Appl. 2018, 27, 1123–1130. [Google Scholar] [CrossRef]
- Jiang, F.; Wang, K.; Dong, L.; Pan, C.; Xu, W.; Yang, K. Deep-learning-based joint resource scheduling algorithms for hybrid MEC networks. IEEE Internet Things J. 2019, 7, 6252–6265. [Google Scholar] [CrossRef]
- Li, M.; Cheng, N.; Gao, J.; Wang, Y.; Zhao, L.; Shen, X. Energy-Efficient UAV-Assisted Mobile Edge Computing: Resource Allocation and Trajectory Optimization. IEEE Trans. Veh. Technol. 2020, 69, 3424–3438. [Google Scholar] [CrossRef]
- Zhang, T.; Xu, Y.; Loo, J.; Yang, D.; Xiao, L. Joint computation and communication design for UAV-assisted mobile edge computing in IoT. IEEE Trans. Ind. Inform. 2019, 16, 5505–5516. [Google Scholar] [CrossRef]
- Ji, J.; Zhu, K.; Yi, C.; Niyato, D. Energy consumption minimization in UAV-assisted mobile-edge computing systems: Joint resource allocation and trajectory design. IEEE Internet Things J. 2020, 8, 8570–8584. [Google Scholar] [CrossRef]
- Liu, B.; Wan, Y.; Zhou, F.; Wu, Q.; Hu, R.Q. Resource allocation and trajectory design for miso uav-assisted mec networks. IEEE Trans. Veh. Technol. 2022, 71, 4933–4948. [Google Scholar] [CrossRef]
- Xu, Y.; Zhang, T.; Liu, Y.; Yang, D.; Xiao, L.; Tao, M. UAV-assisted MEC networks with aerial and ground cooperation. IEEE Trans. Wirel. Commun. 2021, 20, 7712–7727. [Google Scholar] [CrossRef]
- Bai, L.; Han, R.; Liu, J.; Yu, Q.; Choi, J.; Zhang, W. Air-to-ground wireless links for high-speed UAVs. IEEE J. Sel. Areas Commun. 2020, 38, 2918–2930. [Google Scholar] [CrossRef]
- Hadani, R.; Rakib, S.; Tsatsanis, M.; Monk, A.; Goldsmith, A.J.; Molisch, A.F.; Calderbank, R. Orthogonal time frequency space modulation. In Proceedings of the IEEE Wireless Communications and Networking Conference (WCNC), San Francisco, CA, USA, 19–22 March 2017. [Google Scholar]
- Hadani, R.; Monk, A. OTFS—A novel modulation technique meeting 5G high mobility and massive MIMO challenges. White Pap. 2017. [Google Scholar]
- Kumar, A.; Perveen, S.; Singh, S.; Kumar, A.; Majhi, S.; Das, S.K. 6th Generation: Communication, Signal Processing, Advanced Infrastructure, Emerging Technologies and Challenges. In Proceedings of the 2021 6th International Conference on Computing, Communication and Security (ICCCS), Las Vegas, NV, USA, 4–6 October 2021. [Google Scholar]
- Singh, P.; Gupta, A.; Mishra, H.B.; Budhiraja, R. Low-complexity ZF/MMSE MIMO-OTFS receivers for high-speed vehicular communication. IEEE Open J. Commun. Soc. 2022, 3, 209–227. [Google Scholar] [CrossRef]
- Liang, Y.; Li, L.; Fan, P.; Guan, Y. Doppler resilient orthogonal time-frequency space (OTFS) systems based on index modulation. In Proceedings of the 2020 IEEE 91st Vehicular Technology Conference (VTC2020-Spring), Antwerp, Belgium, 25–28 May 2020. [Google Scholar]
- Bhat, V.S.; Chockalingam, A. Performance Analysis of OTFS Modulation with Transmit Antenna Selection. In Proceedings of the 2021 IEEE 93rd Vehicular Technology Conference (VTC2021-Spring), Helsinki, Finland, 25–28 April 2021. [Google Scholar]
- Jeong, S.; Simeone, O.; Kang, J. Mobile edge computing via a UAV-mounted cloudlet: Optimization of bit allocation and path planning. IEEE Trans. Veh. Technol. 2017, 67, 2049–2063. [Google Scholar] [CrossRef]
- Messous, M.A.; Senouci, S.M.; Sedjelmaci, H.; Cherkaoui, S. A game theory based efficient computation offloading in an UAV network. IEEE Trans. Veh. Technol. 2019, 68, 4964–4974. [Google Scholar] [CrossRef]
- Wu, Q.; Zeng, Y.; Zhang, R. Joint trajectory and communication design for multi-UAV enabled wireless networks. IEEE Trans. Wirel. Commun. 2018, 17, 2109–2121. [Google Scholar] [CrossRef]
- Wei, Z.; Yuan, W.; Li, S.; Yuan, J.; Bharatula, G.; Hadani, R.; Hanzo, L. Orthogonal time-frequency space modulation: A promising next-generation waveform. IEEE Wirel. Commun. 2021, 28, 136–144. [Google Scholar] [CrossRef]
- Reddy, C.S.; Sen, D.; Singhal, C. Performance analysis of NR based vehicular IoT system with OTFS modulation. In Proceedings of the 2021 IEEE 94th Vehicular Technology Conference (VTC2021-Fall), Norman, OK, USA, 27–30 September 2021. [Google Scholar]
- Bi, S.; Zhang, Y.J. Computation rate maximization for wireless powered mobile-edge computing with binary computation offloading. IEEE Trans. Wirel. Commun. 2018, 17, 4177–4190. [Google Scholar] [CrossRef]
- Wang, Y.; Sheng, M.; Wang, X.; Wang, L.; Li, J. Mobile-edge computing: Partial computation offloading using dynamic voltage scaling. IEEE Trans. Commun. 2016, 64, 4268–4282. [Google Scholar] [CrossRef]
- Zeng, Y.; Xu, J.; Zhang, R. Energy minimization for wireless communication with rotary-wing UAV. IEEE Trans. Wirel. Commun. 2019, 18, 2329–2345. [Google Scholar] [CrossRef]
- Azizi, M. Atomic orbital search: A novel metaheuristic algorithm. Appl. Math. Model. 2021, 93, 657–683. [Google Scholar] [CrossRef]
- Boyd, S.; Vandenberghe, L. Convex Optimization; World Publishing Corporation: Cleveland, NY, USA, 2004. [Google Scholar]











| Parameters | Notation | Typical Values |
|---|---|---|
| Starting point of the UAV | (0, 0) m | |
| Terminal point of the UAV | (100, 100) m | |
| Height of the UAV | 100 m | |
| Maximum CPU frequency of the UAV | 5 GHz | |
| Maximum CPU frequency of UEs | 1 GHz | |
| The UAV’s maximum placement | 20 m | |
| Maximum transmission power of UEs | 1 W | |
| Maximum transmission power the UAV | 3 W | |
| Tip velocity of a rotor blade | 120 m/s | |
| The total system bandwidth | 10 M | |
| The time periods | 12 s | |
| CPU cycles | 1000 cycles/bit | |
| UE task input data size | 2.5 M | |
| Number of time slots | 12 | |
| Noise power | −110 dbm | |
| Weight of energy consumption | , | 10, 0.01 |
| Channel power gain | −30 dbm | |
| BER threshold | ||
| Doppler speed | 90 km/h |
Disclaimer/Publisher’s Note: The statements, opinions and data contained in all publications are solely those of the individual author(s) and contributor(s) and not of MDPI and/or the editor(s). MDPI and/or the editor(s) disclaim responsibility for any injury to people or property resulting from any ideas, methods, instructions or products referred to in the content. |
© 2023 by the authors. Licensee MDPI, Basel, Switzerland. This article is an open access article distributed under the terms and conditions of the Creative Commons Attribution (CC BY) license (https://creativecommons.org/licenses/by/4.0/).
Share and Cite
Li, W.; Guo, Y.; Li, N.; Yuan, H.; Liu, C. Resource Allocation and Trajectory Optimization in OTFS-Based UAV-Assisted Mobile Edge Computing. Electronics 2023, 12, 2212. https://doi.org/10.3390/electronics12102212
Li W, Guo Y, Li N, Yuan H, Liu C. Resource Allocation and Trajectory Optimization in OTFS-Based UAV-Assisted Mobile Edge Computing. Electronics. 2023; 12(10):2212. https://doi.org/10.3390/electronics12102212
Chicago/Turabian StyleLi, Wei, Yan Guo, Ning Li, Hao Yuan, and Cuntao Liu. 2023. "Resource Allocation and Trajectory Optimization in OTFS-Based UAV-Assisted Mobile Edge Computing" Electronics 12, no. 10: 2212. https://doi.org/10.3390/electronics12102212
APA StyleLi, W., Guo, Y., Li, N., Yuan, H., & Liu, C. (2023). Resource Allocation and Trajectory Optimization in OTFS-Based UAV-Assisted Mobile Edge Computing. Electronics, 12(10), 2212. https://doi.org/10.3390/electronics12102212

