Abstract
In this paper, we proposed a small transparent thin film antenna for a wireless capsule endoscopy system. The transparent thin film antenna is needed to provide a clear 360° broad-sight view of the wireless capsule system in the future. Furthermore, the transparent thin film is critical for performing the dual-polarized antenna operating at 2.45 GHz. The proposed transparent thin film uses the nano-alignment process to further achieve low resistivity from 3.78 × 10−4 Ω-cm to 9.14 × 10−5 Ω-cm and improves the transparency by over 70%. The nano-alignment process includes periodic electrodes with AC signals that can effectively rearrange the nano-material into an ordered arrangement, enhancing the thin film’s microwave characteristics. Due to applying to the capsule endoscopy system, the ability of water resistance is also considered in this design. Therefore, the O2 plasma treatment is used to improve the water contact angle from 76° to 31°, measured on the surface of the thin film. The proposed transparent antenna is designed to have a center frequency of 2.45 GHz, a bandwidth of 855 MHz, and an antenna gain of −26.3 dBi, and is helpful for capsule endoscopy systems.
1. Introduction
There has been growing attention toward transparent antennas and related applications in recent years [1,2,3,4,5]. For example, microwave transparent thin film techniques are used in several applications, especially in the wireless capsule system [6,7,8,9,10]. In Figure 1, the conventional wireless capsule system is small and integrated into an antenna, radio frequency (RF) front-end module, cameras, LED (light-emitting diode) light, batteries, etc. However, due to the patient’s need to swallow the capsule system into the gastrointestinal tract and then transmit the RF signal to observe the health situation in real-time, the capsule system with a tiny camera indeed needs a clear whole broad sight view to capture complete pictures and videos for diagnosing gastrointestinal details. Therefore, the transparent thin-film-based antenna must provide a clear 360° broad-sight view of the wireless capsule system. In developing transparent thin film for use in microwave applications, there are some methods to achieve this requirement, such as the transparent circular monopole antenna by using a printed Cu mesh [11], a semitransparent antenna by using a Cu micromesh structure [12], and the transparent dual-band MIMO (multiple-input and multiple-output) antenna by using an Ag micromesh film nanoparticle technology [13]. Additionally, the use of AgHT-4 [14], indium–zinc–tin oxide (IZTO) [15], and indium tin oxide (ITO) is also having a similar transparent effect. However, four essential requirements should be satisfied in the transparent antenna and its applications in capsule systems as the thick film with ≥1 μm for considering the skin effects at the operating frequency, high conductance (≥1,000,000 S/m) (the same with low resistance ≤10−4 Ω-cm), high transmittance (≥70%), and low toxicity effects (the use of gold thin film is a good choice but hard to go to commercial way). Some references have proposed the thin-film-based antenna with high transmittance and low resistance as the transparent electrode [13,14,15,16,17,18]. The dual-band good antenna uses a metal mesh thin film for the first time [13]. A dual-band coplanar waveguide-fed exemplary antenna using silver-coated AgHT-8 thin film [16]. However, the nano-alignment thin film antenna is difficult to realize as a high-performance device [17]. In [18], the activation process to perform the metal mesh thin film (MMTF) to achieve high conductivity and transmittance antenna must be further improved. In this paper, we proposed a transparent antenna using the transparent thin film for performing the dual-polarized antenna operating at 2.45 GHz. The metal mesh thin film (MMTF) uses the nano-silver mesh alignment process to achieve low resistivity from 2 × 10−4 Ω-cm to 1.2 × 10−4 Ω-cm and improves the transmittance by around 80%. The nano-silver mesh alignment process uses AC signals with 10–20 Vp–p and 100 Hz to 16 MHz by periodic electrodes. In comparing the Ag nanoparticle-based and Ag nanowire-based transparent antenna on biological toxicity in wireless capsule systems, Ag nanowires elicited the most negligible impact [19]. This method can effectively provide a metal mesh thin film from a random arrangement into an ordered arrangement to improve the microwave performance of the transparent antenna.
Figure 1.
Overview of the general wireless capsule system details.
2. Preparation of Metal-Meshed Thin Film (MMTF)
Figure 2 shows the fabrication flow of the metal-meshed thin film (MMTF). The transparent antenna is fabricated on a small PET substrate with 30 × 15 × 0.2 mm3, relative dielectric constant εr = 5.27, and loss tangent δ = 0.003. The fabrication steps are described as follows. The fabrication steps are described as follows. (I) The first step is to treat PET substrate cleaned by sonication in ethyl alcohol for 60 s and in deionized (DI) water for 60 s before use. PET substrate was dry-treated with nitrogen gas. (II) Using 3 M thin double adhesive transfer tape 50 um thickness adhesive for a long-lasting bond MMTF and PET substrate. (III) To treat metal-meshed thin film (MMTF) with oxygen plasma before treatment with 40.68 MHz very high-frequency plasma-enhanced chemical vapor deposition (VHFPECVD) oxygen plasma (70 to 400 W) for 3 min, and the purpose is to activate the surface energy of the film [20,21]. (IV) To define the configuration of the antenna, a mask was an electrode pattern using 60 μm thick cu-resistant tape. (V) The 205.7 μm thick wet film layer using a standard ceramic thick film fabrication process. A manual bar-coating blade is used to apply the nano-alignment thin film (nano metal wire composites) to the MMTF. Only a tiny amount of solution passes through the small gaps between the wrapping wires of the bar in the process. In this process, the nano-alignment thin film was activated onto the surface of the MMTF. (VI) Using the Beambox-FLUX-FX0001 laser cutting machine for mask removal and antenna structure pattern cutting, (VII) complete the final experimental antenna sample. The O2 plasma treatment improves the water contact angle from 76° to 31°. The proposed oxygen plasma surface treatment’s process parameters are summarized in Table 1.
Figure 2.
Fabrication flow of the metal-meshed thin film (MMTF).
Table 1.
Process parameters of the proposed oxygen plasma surface treatment.
Figure 3 shows the water contact angle measurements for different oxygen plasma RF power surface treatment MMTF surfaces. After subjecting the film surface to high RF power during oxygen plasma treatment, the plasma within the glow discharge engages with the surface, resulting in an etching process that removes the surface material. Moreover, the etching process is significantly accelerated at the grain boundaries due to numerous defects, such as voids or vacancies. These defects strain and weaken the bonds, making them more susceptible to breakage [22]. A significant decay of the water contact angle for different plasma-treated power samples occurred at the plasma-treating power (70 to 400 W), which can be observed in Figure 3. The water contact angles of the modified MMTF surface were dropped below 31° after 180 s plasma treatment. The decay of the water contact angle represents many hydrophilic functional groups inserted into the surface of the original hydrophobic MMTF after oxygen plasma was treated [23].
Figure 3.
Water contact angle measurements for different oxygen plasma treatments on the MMTF surface.
Figure 4 shows the comparison of optical transmittance spectra, electrical resistively, Hall mobility, and carrier concentration under different thin-film conditions. The optical transmittance of the PET substrate is around 90% over the visible wavelength range, as shown in Figure 4a. The transmittance of the MMTF depends on the thickness of the conductive layer. With increasing nano-silver mesh alignment process conductive layer thickness, the transmittance in the wavelength region of 500–800 nm decreases from 75% to 73.6%.
Figure 4.
Comparison of (a) optical transmittance spectra, (b) electrical resistively (ρ), Hall mobility (μ), and carrier concentration (n) under different thin-film conditions.(Lin et al. at 2019 cited [18]).
To analyze the conduction mechanism, the Hall effect measurement was employed to determine the mobility and carrier concentration. Figure 4b displays various conductive thin film materials’ electrical resistivity, Hall mobility, and carrier concentration. Previous research [22] indicates that plasma treatment decreases the grain boundary of the MMTF surface. This reduction in grain boundaries results in reduced scattering of charge carriers, increasing film mobility. However, excessive oxygen plasma supply exceeding 100 W results in the formation of carbon–oxygen bonds. This effect causes over-etching and breakage of the MMTF surface, leading to a decrease in mobility from 2.87 to 0.53 cm2/Vs. Compared to sample 1, the carrier concentration of the treated thin film was also enhanced. The result was attributed to reduced charge carrier losses from forming O2 plasma. In this work, the better condition of O2 plasma power is choosing 70 W.
3. Transparent Antenna Design and Discussion
Figure 5a shows the configuration of the proposed transparent antenna, where the gray color area is the PET substrate, and the yellow color area is the metal mesh thin film. Considering both antenna size miniaturization and suitable microwave radiation efficiency, the compact dual-polarized thin film transparent antenna is designed at a 2.45 GHz operating frequency and 855 MHz bandwidth. The fundamental mode resonant frequency of the symmetry dipole antenna was calculated by using (1)
where λ is the wavelength, C is the speed of light in free space, and f is the frequency. In this work, the operating frequency at 2.45 GHz uses λ/8 wavelength. The conductor uses the proposed metal-meshed thin film with an ordered arrangement using the AC-signal activation process. Figure 5b compares the transmittance differences between the conventional visible Cu conductor antenna and the proposed transparent thin film antenna, which are integrated into the wireless capsule system. It shows that the proposed transparent antenna can provide a clear 360° broad sight view to capture complete pictures and videos for diagnosing gastrointestinal details.
Figure 5.
(a) Configuration and (b) practical photograph of the proposed transparent antenna. (Gray color area is the PET substrate, and the yellow color area is the metal mesh thin film. L = 30, W = 15, L1 = 10, L2 = 6, W1 = 9, W2 = 2, W3 = 2, G1 = 2, all are in mm).
Figure 6a,b show the measurement setup schematic and a practical experimental setup for the proposed transparent thin film antenna. The transparent thin film antenna is located in the simulated colon tissue liquid to simulate the wireless capsule system in the human body. The receiving patch antenna is located 3 to 15 cm outside the simulation box. In Figure 6c,d, the radiation pattern differs between the proposed transparent thin film antenna and the conventional Cu antenna, while the proposed transparent thin film antenna is located in the colon tissue liquid for a simulation of the wireless capsule system in the human body. The proposed transparent thin film simultaneously has high transmittance and conductance for achieving good microwave characteristics.
Figure 6.
(a) Measurement setup schematic, (b) practical experimental setup for the proposed transparent thin film antenna, (c) radiation pattern of the proposed transparent thin film antenna, and (d) radiation pattern of the conventional Cu antenna. (The proposed transparent thin film antenna is located in the colon tissue liquid to simulate the wireless capsule system in the human body.)
Dissolving the salt in distilled water. The first step involves dissolving 8 grams of salt in each liter of distilled water. Heating the Triton X-100 and salted water separately: the Triton X-100 and salted water mixture is heated to a temperature of 40 °C. It is not mentioned how the Triton X-100 is combined with the salted water. Mixing the components: the heated Triton X-100 and salted water mixture are combined with the DGBE, resulting in the final liquid formulation. To evaluate the electrical properties of the liquid tissue, we used vector network analyzer Agilent N5230A, Santa Clara, CA 95051 United States and dielectric probe kit, specifically the Agilent 85070E model [24]. These tools are based on the transmission line propagation method. The measurements were taken at a frequency of 2.45 GHz, and the resulting permittivity and conductivity values were found to be 53.88 and 2.038, respectively. These values were chosen to emulate the dielectric properties of colon tissue properly.
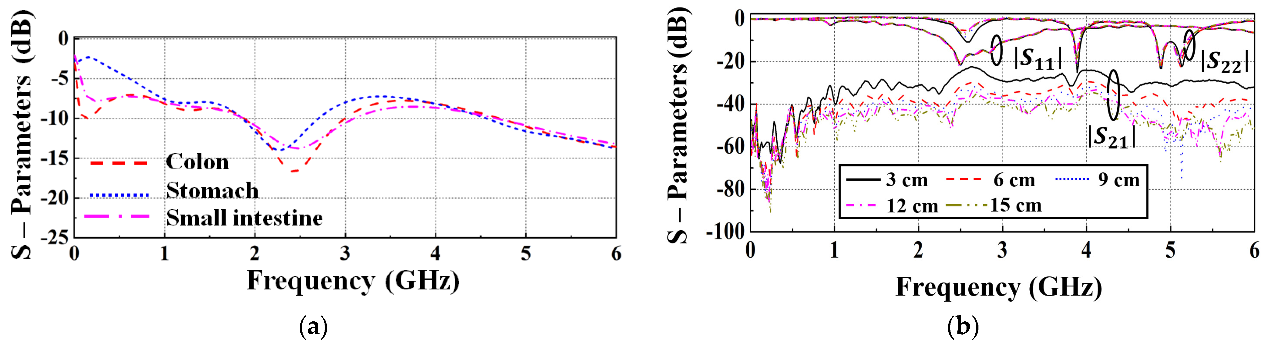
Figure 7a shows the measured S-parameters of |S11| of the transparent thin film antenna in the different human body tissue liquids. The dielectric properties of different human body tissue liquids, such as muscle, colon, stomach, and small intestine, as summarized in Table 2. In this paper, despite the transparent thin film antenna staying in the human body tissue liquid, the antenna still has good microwave radiation efficiency operating at 2.45 GHz. Considering the wireless capsule system is moving through the gastrointestinal tract, the measured S-parameters of the different distances (from 3 cm to 15 cm) between the transparent thin film antenna and the receiving patch antenna are shown in Figure 7b. The transparent thin film antenna provides suitable microwave performance without the effects of the distance changing between the transparent thin film antenna and receiving patch antenna. The comparison of the previous works and the proposed transparent thin film antenna is summarized in Table 3.
Figure 7.
Measured results of (a) S-parameters of |S11| of the transparent thin film antenna in the different human body tissue liquid and (b) S-parameters of the transparent thin film antenna with different distances (from 3 cm to 15 cm) to the DUT. (S11: reflection coefficient at Port1, S22: reflection coefficient at Port2, S12: isolation (reverse), S21: insertion loss (passive device case)).
Table 2.
Dielectric properties of different human body tissues operating at 2.45 GHz.
Table 3.
Comparison of the previous references and the proposed transparent thin film antenna.
Link Budget Analysis
The link budget should be considered to evaluate the communication ability between the capsule antenna and the receiving antenna. The link budget can be described from [25] as
The actual link C/N0 is the calculated value based on the Friis formula. This formula is used to calculate the received power in a wireless communication link. It takes into account the transmitted power, free space loss, and antenna gains. The formula is given as (2) to (5), where the information states that the relative parameters and calculated link margin are listed in Table 4. The Table 4. likely contains specific values and calculations related to the link C/N0, required link C/N0, gain of the Tx antenna, and other relevant parameters. The calculation conducted using the simulated Tx antenna gain and the parameters from [26] demonstrates that wireless communication between the capsule and the external Rx antenna is possible. This conclusion is drawn based on the comparison between the actual link C/N0 and the required link C/N0. If the actual C/N0 value exceeds the required C/N0 value, it suggests that the received signal strength is sufficient to enable reliable communication.
Table 4.
Parameters of the link budget of the transparent thin film antenna.
4. Conclusions
In this paper, we proposed a small transparent thin film antenna for providing a clear 360° broad-sight view of the wireless capsule system. The transparent thin film is critical for successfully performing the dual-polarized antenna. The studied transparent thin film has low resistivity of 1.2 × 10−4 Ω-cm and transparency of over 70%. The nano-alignment process includes periodic electrodes with AC signals that can effectively rearrange the nano-material into an ordered arrangement, enhancing the thin film’s microwave characteristics. In addition, the O2 plasma treatment on the surface of the thin film is used to improve the water contact angle from 76° to 31° of the thin film. The transparent thin film antenna is designed to have a center frequency of 2.45 GHz, a bandwidth of 855 MHz, an antenna gain of −26.3 dBi, and is helpful for capsule endoscopy systems.
Author Contributions
H.-W.W., S.-J.C., C.-Y.H. and R.L. were the supporters of this paper. Y.-M.L. designed, fabricated, and performed the simulations with data and wrote this article. All authors have read and agreed to the published version of the manuscript.
Funding
This research received no external funding.
Institutional Review Board Statement
Not applicable.
Informed Consent Statement
Not applicable.
Data Availability Statement
Data are contained within the article.
Acknowledgments
This work was supported by Taiwan’s National Science and Technology Council (NSTC) under contract number MOST 111-2218-E-006-011-MBK, MOST 111-2221-E-006-030-MY3, and MOST 111-2823-8-035-002.
Conflicts of Interest
The authors declare no conflict of interest.
References
- Kubwimana, J.L.; Kirsch, N.J.; Ziegler, C.; Kontopidis, G.; Tuner, B. Dual-Polarized 5.75 GHz Optically Transparent Antenna Arrays. IEEE Antennas Wirel. Propag. Lett. 2019, 18, 1512–1516. [Google Scholar] [CrossRef]
- Chen, H.D.; Tang, S.; Tian, W.H.; Xue, Q.; Wang, H.B.; Che, W.Q. Direct Sputtering on PDMS for Investigation of Stretchable and Transparent Microstrip Line. IEEE Trans. Compon. Packag. Manuf. Technol. 2019, 9, 1741–1747. [Google Scholar] [CrossRef]
- Hong, W.; Lim, S.; Ko, S.; Kim, Y.G. Optically Invisible Antenna Integrated Within an OLED Touch Display Panel for IoT Applications. IEEE Trans. Antennas Propag. 2017, 65, 3750–3755. [Google Scholar] [CrossRef]
- Dao, Q.H.; Grundmann, L.; Geck, B. Optically Transparent 24 GHz Analog Front-End Based on Meshed Microstrip Lines for the Integration in a Self-Sufficient RFID Sensor Tag. IEEE J. Radio Freq. Identif. 2020, 4, 83–92. [Google Scholar] [CrossRef]
- Morimoto, Y.; Shiu, S.; Huang, I.W.; Fest, E.; Ye, G.; Zhu, J. Optically Transparent Antenna for Smart Glasses. IEEE Open J. Antennas Propag. 2023, 4, 159–167. [Google Scholar] [CrossRef]
- Lei, W.; Guo, Y.X. Design of a Dual-Polarized Wideband Conformal Loop Antenna for Capsule Endoscopy Systems. IEEE Trans. Antennas Propag. 2018, 66, 5706–5715. [Google Scholar] [CrossRef]
- Duan, Z.; Xu, L.J.; Gao, S.; Wen, G.Y. Integrated Design of Wideband Omnidirectional Antenna and Electronic Components for Wireless Capsule Endoscopy Systems. IEEE Access 2018, 6, 29626–29636. [Google Scholar] [CrossRef]
- Miah, M.S.; Khan, A.N.; Icheln, C.; Haneda, K.; Takizawa, K.I. Antenna System Design for Improved Wireless Capsule Endoscope Links at 433 MHz. IEEE Trans. Antennas Propag. 2019, 67, 2687–2699. [Google Scholar] [CrossRef]
- Iqbal, A.; Al-Hasan, M.; Ben Mabrouk, I.; Denidni, T.A. Wireless Powering and Telemetry of Deep-Body Ingestible Bioelectronic Capsule. IEEE Trans. Antennas Propag. 2022, 70, 9819–9830. [Google Scholar] [CrossRef]
- Christoe, M.J.; Phaoseree, N.; Han, J.L.; Michael, A.; Atakaramians, S.; Kalantar-Zadeh, K. Meandering Pattern 433 MHz Antennas for Ingestible Capsules. IEEE Access 2021, 9, 91874–91882. [Google Scholar] [CrossRef]
- Okan, Y.; David, S.; Michael, E. A Transparent Meshed Solar Monopole Antenna for UWB Applications. In Proceedings of the EuCAP, The Hague, The Netherlands, 6–11 April 2014; pp. 2145–2149. [Google Scholar]
- Jang, T.; Zhang, C.; Youn, H.; Zhou, J.; Guo, L.J. Semitransparent and Flexible Mechanically Reconfigurable Electrically Small Antennas Based on Tortuous Metallic Micromesh. IEEE Trans. Antennas Propag. 2017, 65, 150–158. [Google Scholar] [CrossRef]
- Li, Q.L.; Cheung, S.W.; Wu, D.; Yuk, T.I. Optically Transparent Dual-Band MIMO Antenna Using Micro-Metal Mesh Conductive Film for WLAN System. IEEE Antennas Wirel. Propag. Lett. 2017, 16, 920–923. [Google Scholar] [CrossRef]
- Desai, A.; Palandoken, M.; Kulkarni, J.; Byun, G.; Nguyen, T.K. Wideband Flexible/Transparent Connected-Ground MIMO Antennas for Sub-6 GHz 5G and WLAN Applications. IEEE Access 2021, 9, 147003–147015. [Google Scholar] [CrossRef]
- Hong, S.; Kim, Y.; Jung, C.W. Transparent Microstrip Patch Antennas With Multilayer and Metal-Mesh Films. IEEE Antennas Wirel. Propag. Lett. 2017, 16, 772–775. [Google Scholar] [CrossRef]
- Song, H.J.; Hsu, T.Y.; Sievenpiper, D.F.; Hsu, H.P.; Schaffner, J.; Yasan, E. A Method for Improving the Efficiency of Transparent Film Antennas. IEEE Antennas Wirel. Propag. Lett. 2008, 7, 753–756. [Google Scholar] [CrossRef]
- Lin, Y.M.; Wu, H.W.; Tai, T.C.; Hung, C.Y.; Chang, S.J.; Wang, Y.H. Design of Dual-Band Transparent Antenna by Using Nano-Structured Thin Film Coating Technology. In Proceedings of the IEEE/MTT-S IMS, Philadelphia, PA, USA, 10–15 June 2018; pp. 359–362. [Google Scholar]
- Lin, Y.M.; Wu, H.W.; Chen, Y.W.; Hung, C.Y.; Chang, S.J.; Su, Y.K. A Novel Transparent Microwave Thin Film Coating Technique Applied to Dual-Band Antennas. Electron. Mater. Lett. 2019, 15, 680–685. [Google Scholar] [CrossRef]
- George, S.; Lin, S.J.; Jo, Z.X.; Thomas, C.R.; Li, L.J.; Mecklenburg, M.; Meng, H.; Wang, X.; Zhang, H.Y.; Xia, T.; et al. Surface Defects on Plate-Shaped Silver Nanoparticles Contribute to Its Hazard Potential in a Fish Gill Cell Line and Zebrafish Embryos. Acs Nano 2012, 6, 3745–3759. [Google Scholar] [CrossRef]
- Kim, E.H.; Yang, C.W.; Park, J.W. Improving the delamination resistance of indium tin oxide (ITO) coatings on polymeric substrates by O-2 plasma surface treatment. Curr. Appl. Phys. 2010, 10, S510–S514. [Google Scholar] [CrossRef]
- Akter, T.; Kim, W.S. Reversibly Stretchable Transparent Conductive Coatings of Spray-Deposited Silver Nanowires. Acs Appl. Mater. Interfaces 2012, 4, 1855–1859. [Google Scholar] [CrossRef]
- Park, Y.S.; Kim, E.; Hong, B.; Lee, J. Characteristics of ITO films with oxygen plasma treatment for thin film solar cell applications. Mater. Res. Bull. 2013, 48, 5115–5120. [Google Scholar] [CrossRef]
- Hwang, S.J.; Tseng, M.C.; Shu, J.R.; Yu, H.H. Surface modification of cyclic olefin copolymer substrate by oxygen plasma treatment. Surf. Coat. Technol. 2008, 202, 3669–3674. [Google Scholar] [CrossRef]
- Popovic, D.; McCartney, L.; Beasley, C.; Lazebnik, M.; Okoniewski, M.; Hagness, S.C.; Booske, J.H. Precision open-ended coaxial probes for in vivo and. ex vivo dielectric spectroscopy of biological tissues at microwave, frequencies. IEEE Trans. Microw. Theory Tech. 2005, 53, 1713–1722. [Google Scholar] [CrossRef]
- Xia, W.; Saito, K.; Takahashi, M.; Ito, K. Performances of an Implanted Cavity Slot Antenna Embedded in the Human Arm. IEEE Trans. Antennas Propag. 2009, 57, 894–899. [Google Scholar] [CrossRef]
- Liu, C.R.; Guo, Y.X.; Xiao, S.Q. Circularly Polarized Helical Antenna for ISM-Band Ingestible Capsule Endoscope Systems. IEEE Trans. Antennas Propag. 2014, 62, 6027–6039. [Google Scholar] [CrossRef]
Disclaimer/Publisher’s Note: The statements, opinions and data contained in all publications are solely those of the individual author(s) and contributor(s) and not of MDPI and/or the editor(s). MDPI and/or the editor(s) disclaim responsibility for any injury to people or property resulting from any ideas, methods, instructions or products referred to in the content. |
© 2023 by the authors. Licensee MDPI, Basel, Switzerland. This article is an open access article distributed under the terms and conditions of the Creative Commons Attribution (CC BY) license (https://creativecommons.org/licenses/by/4.0/).






