A Novel Fractional Delay Proportional–Integral Multi-Resonant-Type Repetitive Control Based on a Farrow-Structure Filter for Grid-Tied Inverters
Abstract
1. Introduction
- (1)
- To reduce the computational load and memory consumption of the grid-tied inverter, an FFD filter is adopted to achieve fractional delay for the PIMR-RC system.
- (2)
- Based on the FFD filter, an FD-PIMR-RC scheme is proposed to effectively improve the quality of the grid current against frequency variations.
- (3)
- From both the steady-state and dynamic response aspects of the system, a synthesis analysis is carried out on the comparison of the control effects between the conventional integer-order PRMR-RC and the proposed FD-PIMR-RC scheme when the grid frequency fluctuates.
2. Model of the LCL-Type Grid-Tied Inverter
3. PIMR-RC
4. Design of FD-PIMR-RC
4.1. Realization of FFD Filter
4.2. Stability of FD-PIMR-RC
5. Parameter Design of FD-PIMR-RC
5.1. Proportional Gain
5.2. Design the Compensator
5.3. Design the Phase-Lead Compensator and RC Gain
5.4. Internal Mode Filter
5.5. Harmonic Suppression Analysis
6. Simulation Analysis
6.1. Steady-State Response
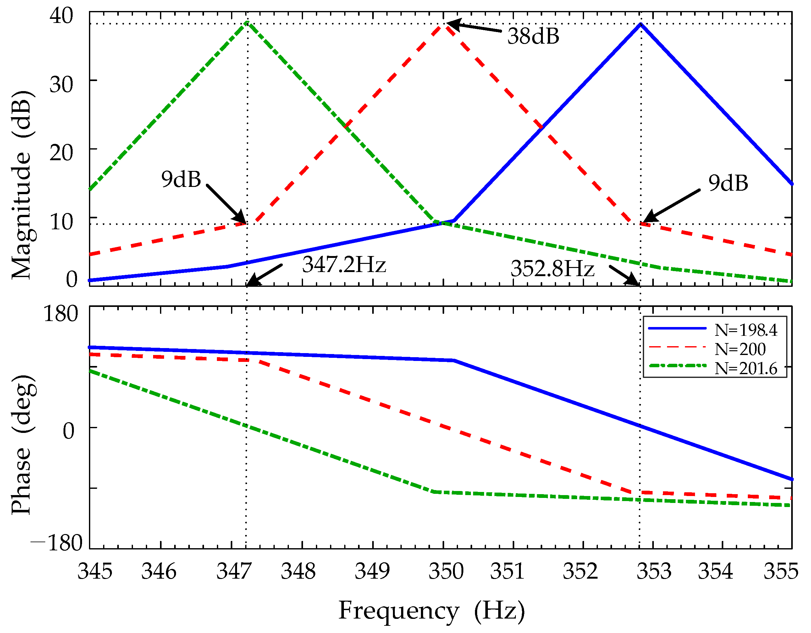
- Grid frequency: the grid fundamental frequency (50 Hz)
- Grid frequency fluctuations (50 ± 0.4 Hz)
6.2. Dynamic Response
7. Conclusions
Author Contributions
Funding
Data Availability Statement
Conflicts of Interest
Abbreviations
| RC | Repetitive control |
| PI | Proportional integral |
| PIMR-RC | Proportional–integral multi-resonant-type repetitive control |
| FFD | Farrow-structure fractional-order delay |
| FD-PIMR-RC | fractional delay proportional–integral multi-resonant-type repetitive control |
| DPGS | Distributed power generation systems |
| THD | Total harmonic distortion |
| PR | Proportional resonant |
| MPC | Model predictive control |
| QPR | Quasi-proportional resonant |
| PMR | Proportional multi-resonant |
| APF | Active power filters |
| CRC | Conventional repetitive control |
| FORC | Fractional-order repetitive control |
| FIR | Finite impulse response |
| IIR | Infinite impulse response |
| PLL | Phase-locked loop |
| PCC | Point common coupling |
References
- Blaabjerg, F.; Yang, Y.; Yang, D.; Wang, X. Distributed Power-Generation Systems and Protection. Proc. IEEE 2017, 105, 1311–1331. [Google Scholar] [CrossRef]
- Yang, Y.; Zhou, K.; Wang, H.; Blaabjerg, F.; Wang, D.; Zhang, B. Frequency Adaptive Selective Harmonic Control for Grid-Connected Inverters. IEEE Trans. Power Electron. 2015, 30, 3912–3924. [Google Scholar] [CrossRef]
- Dannehl, J.; Wessels, C.; Fuchs, F.W. Limitations of Voltage-Oriented PI Current Control of Grid-Connected PWM Rectifiers With LCL Filters. IEEE Trans. Ind. Electron. 2009, 56, 380–388. [Google Scholar] [CrossRef]
- Quan, X. Improved Dynamic Response Design for Proportional Resonant Control Applied to Three-Phase Grid-Forming Inverter. IEEE Trans. Ind. Electron. 2021, 68, 9919–9930. [Google Scholar] [CrossRef]
- Zhou, L.; Preindl, M. Decentralized Circulating Current Attenuation With Model Predictive Control for Distributed/Shunted Single/Three-Phase Grid-Tied Inverters. IEEE Trans. Power Electron. 2022, 37, 11534–11539. [Google Scholar] [CrossRef]
- Zhou, K.; Wang, D.; Zhang, B.; Wang, Y. Plug-In Dual-Mode-Structure Repetitive Controller for CVCF PWM Inverters. IEEE Trans. Ind. Electron. 2009, 56, 784–791. [Google Scholar] [CrossRef]
- Parvez, M.; Elias, M.F.M.; Rahim, N.A.; Blaabjerg, F.; Abbott, D.; Al-Sarawi, S.F. Comparative Study of Discrete PI and PR Controls for Single-Phase UPS Inverter. IEEE Access 2020, 8, 45584–45595. [Google Scholar] [CrossRef]
- Sou, W.-K.; Chao, C.-W.; Gong, C.; Lam, C.-S.; Wong, C.-K. Analysis, Design, and Implementation of Multi-Quasi-Proportional-Resonant Controller for Thyristor-Controlled LC-Coupling Hybrid Active Power Filter (TCLC-HAPF). IEEE Trans. Ind. Electron. 2022, 69, 29–40. [Google Scholar] [CrossRef]
- Lin, H.; Guo, X.; Chen, D.; Wu, S.; Chen, G. A Frequency Adaptive Repetitive Control for Active Power Filter With 380V/75A SiC-Inverter. IEEE Trans. Ind. Appl. 2022, 58, 5469–5479. [Google Scholar] [CrossRef]
- Hornik, T.; Zhong, Q.-C. A Current-Control Strategy for Voltage-Source Inverters in Microgrids Based on H∞ and Repetitive Control. IEEE Trans. Power Electron. 2011, 26, 943–952. [Google Scholar] [CrossRef]
- Lu, W.; Zhou, K.; Wang, D.; Cheng, M. A general parallel structure repetitive control scheme for multiphase DC–AC PWM converters. IEEE Trans. Power Electron. 2013, 28, 3980–3987. [Google Scholar] [CrossRef]
- Zhao, Q.; Ye, Y. A PIMR-Type Repetitive Control for a Grid-Tied Inverter: Structure, Analysis, and Design. IEEE Trans. Power Electron. 2018, 33, 2730–2739. [Google Scholar] [CrossRef]
- Yang, Y.; Zhou, K.; Blaabjerg, F. Enhancing the frequency adaptability of periodic current controllers with a fixed sampling rate for grid-connected power converters. IEEE Trans. Power Electron. 2016, 31, 7273–7285. [Google Scholar] [CrossRef]
- di Benedetto, M.; Faro, A.; Bigarelli, L.; Lidozzi, A.; Solero, L. Constant Delay-Line Frequency Adaptive Repetitive-Resonant Control for Grid-Tied and Intentional Islanding Operations. IEEE Trans. Ind. Appl. 2023, 59, 1944–1955. [Google Scholar] [CrossRef]
- Ye, J.; Liu, L.; Xu, J.; Shen, A. Frequency Adaptive Proportional-Repetitive Control for Grid-Connected Inverters. IEEE Trans. Ind. Electron. 2021, 68, 7965–7974. [Google Scholar] [CrossRef]
- Liu, Z.; Zhang, B.; Zhou, K. Universal Fractional-Order Design of Linear Phase Lead Compensation Multirate Repetitive Control for PWM Inverters. IEEE Trans. Ind. Electron. 2017, 64, 7132–7140. [Google Scholar] [CrossRef]
- Xiong, Y.; Ye, Y.; Cao, Y.; Wu, Y. Separate-Structure UDE-Based Current Resonant Control Strategy on LCL-Type Grid-Tied Inverters With Weighted Average Current Method for Improved Injected Current Quality and Robustness. IEEE Trans. Power Electron. 2020, 35, 13641–13651. [Google Scholar] [CrossRef]
- Zhu, M.; Ye, Y.; Xiong, Y.; Zhao, Q. Parameter Robustness Improvement for Repetitive Control in Grid-Tied Inverters Using an IIR Filter. IEEE Trans. Power Electron. 2021, 36, 8454–8463. [Google Scholar] [CrossRef]
- Johansson, H. Farrow-Structure-Based Reconfigurable Bandpass Linear-Phase FIR Filters for Integer Sampling Rate Conversion. IEEE Trans. Circuits Syst. II Express Briefs 2011, 58, 46–50. [Google Scholar] [CrossRef][Green Version]
- Tertinek, S.; Vogel, C. Reconstruction of Two-Periodic Nonuniformly Sampled Band-Limited Signals Using a Discrete-Time Differentiator and a Time-Varying Multiplier. IEEE Trans. Circuits Syst. II Express Briefs 2007, 54, 616–620. [Google Scholar] [CrossRef]
- Bindima, T.; Elias, E. Low-Complexity 2-D Digital FIR Filters Using Polyphase Decomposition and Farrow Structure. IEEE Trans. Circuits Syst. I Regul. Pap. 2019, 66, 2298–2308. [Google Scholar] [CrossRef]
- Wang, W.; Lu, W.; Zhou, K.; Fan, Q. Fractional-Order New Generation of nk ± m-Order Harmonic Repetitive Control for PWM Converters. IEEE Access 2020, 8, 180706–180721. [Google Scholar] [CrossRef]
- Deng, T.-B. Hybrid Structures for Low-Complexity Variable Fractional-Delay FIR Filters. IEEE Trans. Circuits Syst. I Regul. Pap. 2010, 57, 897–910. [Google Scholar] [CrossRef]
- Tseng, C.-C. Digital differentiator design using fractional delay filter and limit computation. IEEE Trans. Circuits Syst. I Regul. Pap. 2005, 52, 2248–2259. [Google Scholar] [CrossRef]
- Canese, L.; Cardarilli, G.C.; Di Nunzio, L.; Fazzolari, R.; Giardino, D.; Re, M.; Spanò, S. Efficient Digital Implementation of a Multirate-Based Variable Fractional Delay Filter for Wideband Beamforming. IEEE Trans. Circuits Syst. II Express Briefs 2023, 70, 2231–2235. [Google Scholar] [CrossRef]
- Roy, S.; Chandra, A. On the Design of Variable Filtered-OFDM Based LDACS for Future Generation Air-to-Ground Communication System. IEEE Trans. Circuits Syst. II Express Briefs 2022, 69, 644–648. [Google Scholar] [CrossRef]
- Xiong, Y.; Ye, Y.; Zhu, M. UDE-Based Current Controller With Enhanced Grid Frequency Fluctuation Adaptability for LCL-Type Grid-Tied Inverters. IEEE Trans. Power Electron. 2023, 38, 1683–1691. [Google Scholar] [CrossRef]
- Li, H.; Wu, W.; Huang, M.; Chung, H.S.-H.; Liserre, M.; Blaabjerg, F. Design of PWM-SMC Controller Using Linearized Model for Grid-Connected Inverter With LCL Filter. IEEE Trans. Power Electron. 2020, 35, 12773–12786. [Google Scholar] [CrossRef]
- Miao, Z.; Yao, W.; Lu, Z. Single-Cycle-Lag Compensator-Based Active Damping for Digitally Controlled LCL/LLCL-Type Grid-Connected Inverters. IEEE Trans. Ind. Electron. 2020, 67, 1980–1990. [Google Scholar] [CrossRef]
- Chen, S.; Zhao, Q.; Ye, Y.; Qu, B. Using IIR Filter in Fractional Order Phase Lead Compensation PIMR-RC for Grid-Tied Inverters. IEEE Trans. Ind. Electron. 2023, 70, 9399–9409. [Google Scholar] [CrossRef]
- Zhu, M.; Ye, Y.; Xiong, Y.; Zhao, Q. Multibandwidth Repetitive Control Resisting Frequency Variation in Grid-Tied Inverters. IEEE Trans. Emerg. Sel. Top. Power Electron. 2022, 10, 446–454. [Google Scholar] [CrossRef]




















| Computational Load | Memory Consumption | Performance | |
|---|---|---|---|
| Conventional fractional delay FIR filter | High | High | High approximation accuracy but needs sufficient bandwidth of the amplitude-frequency. |
| Fractional delay IIR filter | High | High | Excellent dynamic performance and accurate frequency adaptation capability; the difficulty of hardware implementation is increased due to the existence of zeros and poles. |
| Fractional delay Farrow-structure filter | Low | Low | Wide stability region, small tracking error, and low THD; simple hardware implementation. |
| Parameter | Value |
|---|---|
| Inverter-side inductor: | 3.8 mH |
| Grid-side inductor: | 2.2 mH |
| Filter capacitor: C | 10 μF |
| DC-link voltage: | 380 V |
| Grid frequency: | 50 Hz |
| Switching frequency: | 10 kHz |
| Sampling frequency: | 10 kHz |
Disclaimer/Publisher’s Note: The statements, opinions and data contained in all publications are solely those of the individual author(s) and contributor(s) and not of MDPI and/or the editor(s). MDPI and/or the editor(s) disclaim responsibility for any injury to people or property resulting from any ideas, methods, instructions or products referred to in the content. |
© 2023 by the authors. Licensee MDPI, Basel, Switzerland. This article is an open access article distributed under the terms and conditions of the Creative Commons Attribution (CC BY) license (https://creativecommons.org/licenses/by/4.0/).
Share and Cite
Liang, F.; Lee, H.-J.; Zhao, Q. A Novel Fractional Delay Proportional–Integral Multi-Resonant-Type Repetitive Control Based on a Farrow-Structure Filter for Grid-Tied Inverters. Electronics 2023, 12, 4010. https://doi.org/10.3390/electronics12194010
Liang F, Lee H-J, Zhao Q. A Novel Fractional Delay Proportional–Integral Multi-Resonant-Type Repetitive Control Based on a Farrow-Structure Filter for Grid-Tied Inverters. Electronics. 2023; 12(19):4010. https://doi.org/10.3390/electronics12194010
Chicago/Turabian StyleLiang, Fen, Ho-Joon Lee, and Qiangsong Zhao. 2023. "A Novel Fractional Delay Proportional–Integral Multi-Resonant-Type Repetitive Control Based on a Farrow-Structure Filter for Grid-Tied Inverters" Electronics 12, no. 19: 4010. https://doi.org/10.3390/electronics12194010
APA StyleLiang, F., Lee, H.-J., & Zhao, Q. (2023). A Novel Fractional Delay Proportional–Integral Multi-Resonant-Type Repetitive Control Based on a Farrow-Structure Filter for Grid-Tied Inverters. Electronics, 12(19), 4010. https://doi.org/10.3390/electronics12194010

