A Wire-Bonded Patch Antenna for Millimeter Wave Applications
Abstract
1. Introduction
| Antenna Type | Frequency | Wire Length | Wire Bond Impedance Compensation | Reference |
|---|---|---|---|---|
| patch | 77 GHz | <250 µm | short bond wire (<250 µm) | [8] |
| 60 GHz | 450 µm | modification of antenna construction | [33] | |
| 81 GHz | 2960 µm | self-matching | this work | |
| patch array | 60 GHz | 300/500 µm | L−C−L network | [34,35] |
| 122 GHz | 350 µm | transmission line impedance transformers | [37] | |
| 147 GHz | 300 µm | transmission line impedance transformers | [38] | |
| rectangular slot | 60 GHz | >400 µm | transmission line stub | [36] |
| microstrip grid array | 80 GHz | 200 µm | transmission line stub | [39] |
| wire bond antenna | 60 GHz | 2990 µm | self-matching | [23] |
| 60 GHz | 2550 µm | self-matching | [24] | |
| 180 GHz | 1125 µm | self-matching | [26] | |
| wire bond Yagi-Uda | 60 GHz | 500–2280 µm | self-matching | [25] |
2. Materials and Methods
2.1. Theoretical Design
2.2. Experimental Design
2.3. Analysis of Bond Wire Parameters
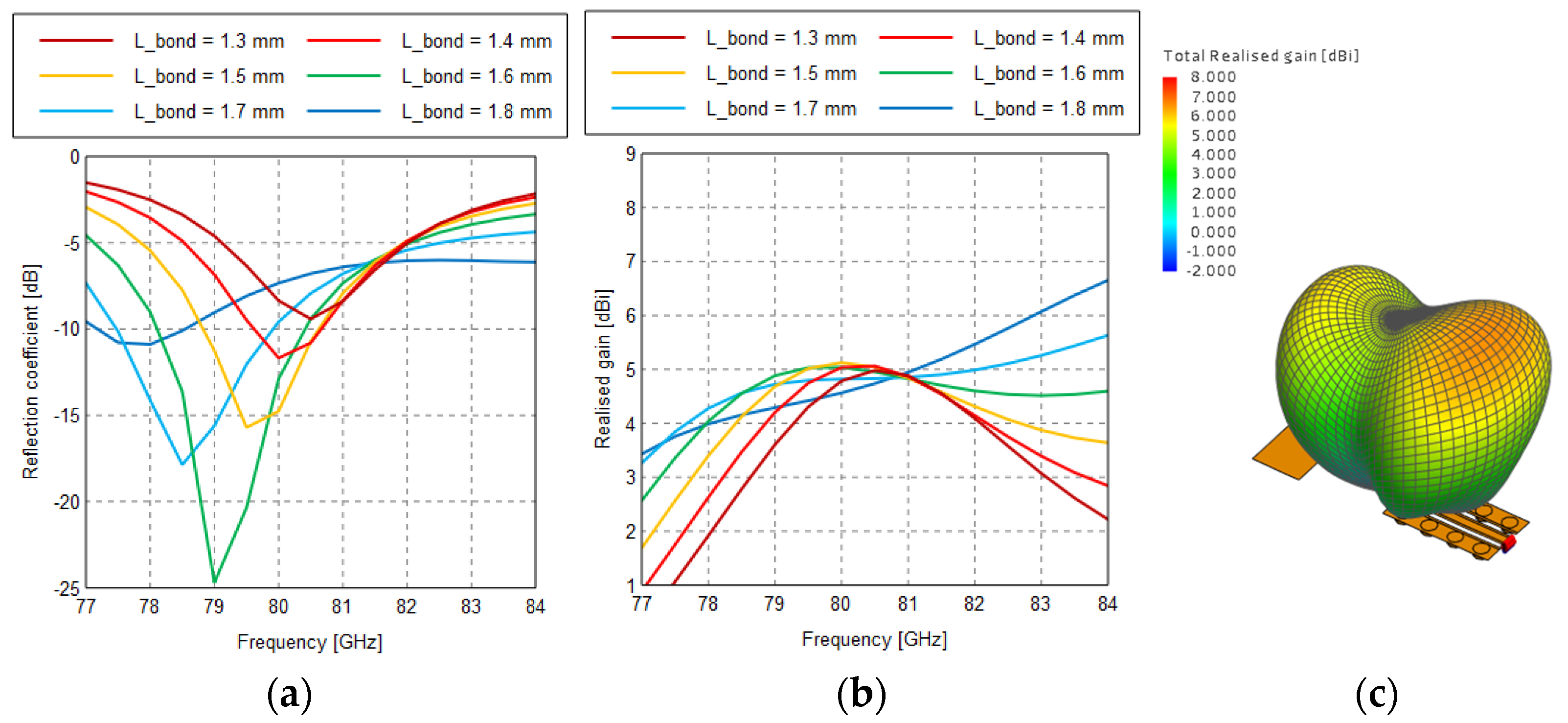
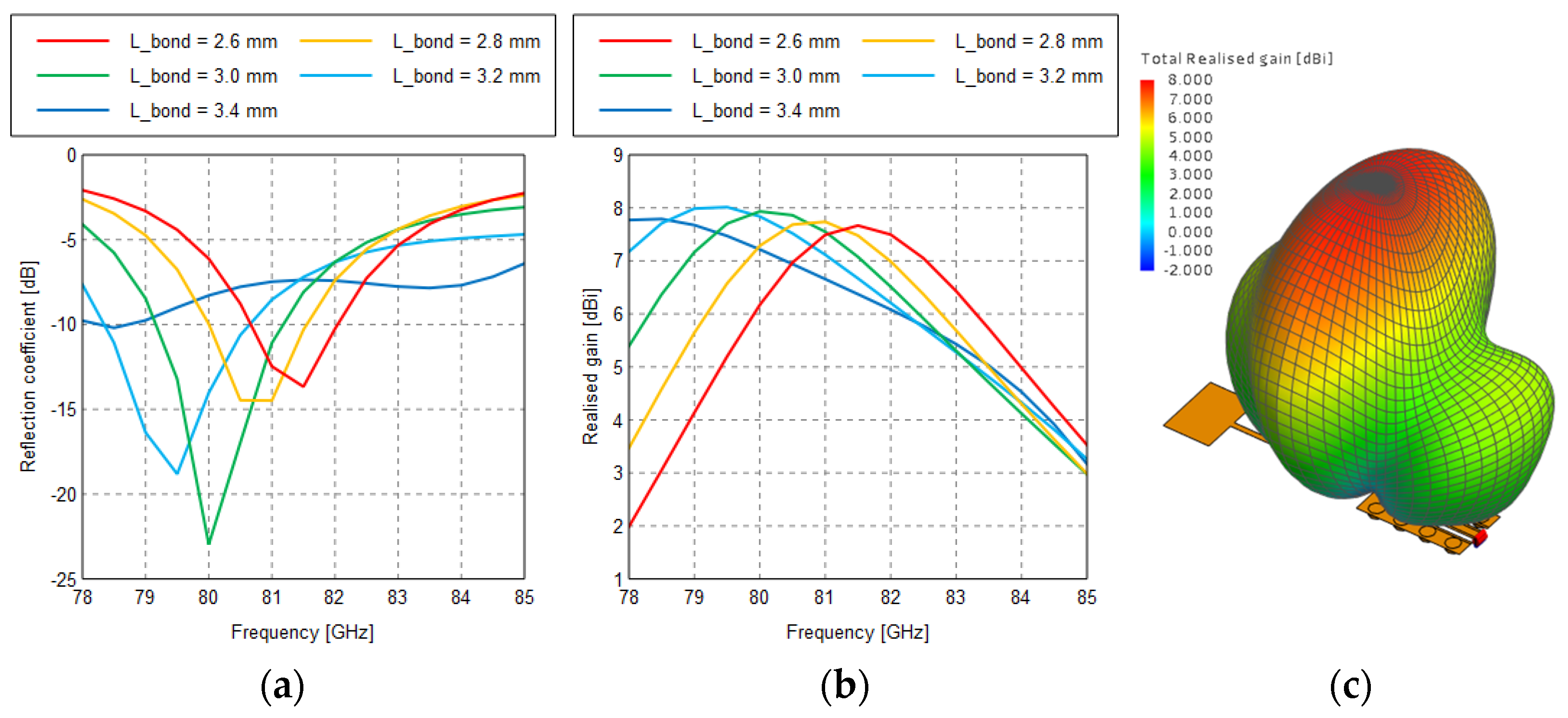
2.3.1. Wire Bond Length
2.3.2. Wire Bond Height
2.3.3. Wire Bond Material
2.3.4. Wire Bond Thickness
2.3.5. Two Parallel Wire Bonds
2.3.6. Wire Bond Shape
3. Measurement Results
3.1. Fabrication of the Experimental Design
- Drilling of 0.2 mm holes performed on a computer numerical control (CNC) machine with aluminum exit boards instead of phenolic drill exit boards, because the latter turned out to be inappropriate due to swelling debris (Figure 10a).
- A chemical process of dielectric activation for creating a hydrophilic layer on the polytetrafluoroethylene laminate surface (Figure 10b).
- Electroless deposition of a thin copper layer (3~4 μm) over the activated dielectric laminate with Printoganth® P Plus technology by Atotech (Figure 10b).
- Photolithography process which uses ultraviolet light (UV) to make the desired mosaic pattern on the surface of the photoresist including the following:
- Deployment of the KOLON PK1640 photoresist on the top surface of the laminate;
- UV exposure of mosaic on the photoresist layer (Figure 10c); the pattern was exposed on MDI direct imagesetter ST/TT Schmoll;
- Development of the photoresist layer realized with a horizontal line of 1% potassium carbonate solution (Figure 10d).
- Electrochemical deposition of the copper layer (Figure 10e) and the tin layer (Figure 10f) on the exposed copper surface in baths produced by DuPont (Copper Gleam CuPulse and Ronastan EC1, respectively). The copper layer thickness after deposition was 25 µm. The tin layer thickness was 7 μm. The purpose of tin layer deposition is to achieve a metallic resist layer for etching.
- Removal of the photoresist layer after galvanic process using an automatic horizontal line (Figure 10g).
- Etching of the copper (Figure 10h). Tin layer acts as a resist. This process is crucial to obtain the required pattern. Parameters such as pH, temperature, nozzles pressure, and solution density must be precisely controlled in order to achieve sharp copper layer edges. The process was realized using automatic horizontal line with the ammoniacal etching solution produced by MacDermid.
- Tin resist layer removal by using TINSOLV180 produced by Atotech (Figure 10i).
- The last stage was deposition of electroless nickel immersion gold (ENIG) layer (Figure 10j), which creates a solid surface required for the thermosonic wire bonding. Nickel and gold layers were deposited in two baths provided by DuPont–Duraposit™ Electroless Nickel and Aurolectroless™ Immersion Gold, respectively. After the process, the nickel layer thickness was 5 µm and the gold layer thickness was 60 nm.
3.2. Reflection Coefficient Measurements
3.3. Radiation Pattern Measurements
4. Discussion
Author Contributions
Funding
Conflicts of Interest
References
- Baumann, G.; Richter, H.; Baumgaertner, A.; Ferling, D.; Heilig, R.; Hollmann, D.; Mueller, H.; Nechansky, H.; Schlechtweg, M. 51 GHz Frontend with Flip Chip and Wire Bond Interconnections from GaAs MMICs to a Planar Patch Antenna. In Proceedings of the IEEE MTT-S International Microwave Symposium Digest, Orlando, FL, USA, 16–20 May 1995; Volume 3, pp. 1639–1642. [Google Scholar] [CrossRef]
- Heinrich, W.; Hossain, M.; Sinha, S.; Schmuckle, F.-J.; Doerner, R.; Krozer, V.; Weimann, N. Connecting Chips With More Than 100 GHz Bandwidth. IEEE J. Microw. 2021, 1, 364–373. [Google Scholar] [CrossRef]
- Lau, J.H. Recent Advances and Trends in Advanced Packaging. IEEE Trans. Compon. Packag. Manuf. Technol. 2022, 12, 228–252. [Google Scholar] [CrossRef]
- Bajurko, P.; Sobolewski, J.; Bogdan, G.; Godziszewski, K.; Marczewski, J.; Kulawik, J.; Widlok, M.; Yashchyshyn, Y. Millimeter-Wave Transmitter with LTCC Antenna and Silicon Lens. Int. J. Electron. Telecommun. 2022, 68, 269–274. [Google Scholar] [CrossRef]
- Hebeler, J.; Steinweg, L.; Zwick, T. Differential Bondwire Interface for Chip-to-Chip and Chip-to-Antenna Interconnect above 200 GHz. In Proceedings of the 2022 52nd European Microwave Conference (EuMC), Milan, Italy, 27–29 September 2022; Institute of Electrical and Electronics Engineers (IEEE): Piscataway, NJ, USA, 2022; pp. 306–309. [Google Scholar]
- Krems, T.; Haydl, W.; Massler, H.; Ruediger, J. Millimeter-Wave Performance of Chip Interconnections Using Wire Bonding and Flip Chip. In Proceedings of the IEEE MTT-S International Microwave Symposium Digest, San Francisco, CA, USA, 17–21 June 1996; Volume 1, pp. 247–250. [Google Scholar] [CrossRef]
- Valenta, V.; Spreng, T.; Yuan, S.; Winkler, W.; Ziegler, V.; Dancila, D.; Rydberg, A.; Schumacher, H. Design and Experimental Evaluation of Compensated Bondwire Interconnects above 100 GHz. Int. J. Microw. Wirel. Technol. 2015, 7, 261–270. [Google Scholar] [CrossRef]
- SeyyedEsfahlan, M.; Öztürk, E.; Kaynak, M.; Tekin, I. 77-GHz Four-Element Phased-Array Radar Receiver Front End. IEEE Trans. Compon. Packag. Manuf. Technol. 2016, 6, 1162–1173. [Google Scholar] [CrossRef]
- Jiang, C.; Krozer, V.; Bach, H.G.; Mekonnen, G.G.; Johansen, T.K. Broadband Packaging of Photodetectors for 100 Gb/s Ethernet Applications. IEEE Trans. Compon. Packag. Manuf. Technol. 2013, 3, 422–429. [Google Scholar] [CrossRef]
- Fikar, S.; Bogenberger, R.; Scholtz, A.L. A 100GHz Bandwidth Matched Chip to PCB Transition Using Bond Wires for Broadband Matching. In Proceedings of the 12th IEEE Workshop on Signal Propagation on Interconnects (SPI 2008), Avignon, France, 12–15 May 2008. [Google Scholar] [CrossRef]
- Gilardoni, R. Ribbon Bonding for High Frequency Applications Advantages of Ribbon and the Impact on the Microwave Market. In Proceedings of the IMAPS/SEMI Advanced Technology Workshop on Wire Bonding, San Francisco, CA, USA, 2–3 February 2008; p. 5. [Google Scholar]
- Salarpour, M.; Farzaneh, F.; Staszewski, R.B. A Low Cost-Low Loss Broadband Integration of a CMOS Transmitter and Its Antenna for Mm-Wave FMCW Radar Applications. AEU Int. J. Electron. Commun. 2018, 95, 313–325. [Google Scholar] [CrossRef]
- Chu, J.; Li, J.; Zhou, Y.; Cao, J.; Chen, P.; Cao, L. Si-Based System-in-Package Design with Broadband Interconnection for E-Band Applications. IEICE Electron. Express 2021, 18, 20210140. [Google Scholar] [CrossRef]
- Zhang, Y.P.; Sun, M.; Chua, K.M.; Wai, L.L.; Duixian, L. Antenna-in-Package Design for Wirebond Interconnection to Highly Integrated 60-GHz Radios. IEEE Trans. Antennas Propag. 2009, 57, 2842–2852. [Google Scholar] [CrossRef]
- Bondarik, A.; Forsberg, T.; Sjöberg, D.; Sjöland, H.; Tormänen, M. A Bond Wire Connection Implementation at Mm-Wave Active Microstrip Antenna. IEEE Microw. Wirel. Compon. Lett. 2019, 29, 427–429. [Google Scholar] [CrossRef]
- Beer, S.; Ripka, B.; Diebold, S.; Gulan, H.; Rusch, C.; Pahl, P.; Zwick, T. Design and Measurement of Matched Wire Bond and Flip Chip Interconnects for D-Band System-in-Package Applications. In Proceedings of the IEEE MTT-S International Microwave Symposium Digest, Baltimore, MD, USA, 5–10 June 2011. [Google Scholar] [CrossRef]
- Devlin, L. The Future of MM-Wave Packaging. Microw. J. 2014, 57, 24–39. [Google Scholar]
- Cahill, S.S.; Sanjuan, E.A.; Levine, L. Development of 100+ GHz High-Frequency MicroCoax Wire Bonds. In Proceedings of the Proceedings of International Symposium on Microelectronics, San Diego, CA, USA, 29 October–4 November 2006; p. 668. [Google Scholar]
- Bogdan, G.; Yashchyshyn, Y. Study of Bondwire Interconnect for Antenna Applications in W-Band. In Proceedings of the 2021 IEEE International Symposium on Antennas and Propagation and North American Radio Science Meeting (APS/URSI 2021), Singapore, 4–10 December 2021. [Google Scholar] [CrossRef]
- Beer, S.; Rusch, C.; Gottel, B.; Gulan, H.; Zwick, T.; Zwyssig, M.; Kunkel, G. A Self-Compensating 130-GHz Wire Bond Interconnect with 13% Bandwidth. In Proceedings of the IEEE Antennas and Propagation Society, AP-S International Symposium (Digest), Orlando, FL, USA, 7–13 July 2013; pp. 2133–2134. [Google Scholar] [CrossRef]
- Lee, H.Y. Wideband Characterization of a Typical Bonding Wire for Microwave and Millimeter-Wave Integrated Circuits. IEEE Trans. Microw. Theory Tech. 1995, 43, 63–68. [Google Scholar] [CrossRef]
- Ndip, I.; ÖZ, A.; Tschoban, C.; Guttowski, S.; Reichl, H.; Lang, K.D.; Henke, H. Modelling the Shape, Length and Radiation Characteristics of Bond Wire Antennas. IET Microw. Antennas Propag. 2012, 6, 1187–1194. [Google Scholar] [CrossRef]
- Ndip, I.; Becker, K.F.; Brandenburger, F.; Le, T.H.; Huhn, M.; Bauer, J.; Koch, M.; Hempel, M.; Schneider-Ramelow, M.; Lang, K.D. Can Bond Wires Really Be Used as Antennas? In Proceedings of the 2018 7th Electronic System-Integration Technology Conference (ESTC 2018), Dresden, Germany, 18–21 September 2018. [CrossRef]
- Ndip, I.; Lang, K.D.; Reichl, H.; Henke, H. On the Radiation Characteristics of Full-Loop, Half-Loop, and Quasi-Half-Loop Bond Wire Antennas. IEEE Trans. Antennas Propag. 2018, 66, 5672–5686. [Google Scholar] [CrossRef]
- Zhao, B.; Gao, Z.; Tang, M. A Yagi-Uda Array of Bond Wire Antennas with High Front-to-Back Ratio. In Proceedings of the 2021 IEEE International Symposium on Antennas and Propagation and North American Radio Science Meeting (APS/URSI 2021), Singapore, 4–10 December 2021; pp. 1285–1286. [Google Scholar] [CrossRef]
- Bakshi, H.S.; Dong, S.; Momson, I.; Chacon, D.; Chen, Z.; Choi, W.; Blanchard, A.J.; Kenneth, K.O. 180-GHz Broadside Radiation Bond-Wire Antenna for Short-Range Wireless Communication. IEEE Trans. Compon. Packag. Manuf. Technol. 2021, 11, 530–532. [Google Scholar] [CrossRef]
- Shahramian, S.; Baeyens, Y.; Kaneda, N.; Chen, Y.K. A 70-100 GHz Direct-Conversion Transmitter and Receiver Phased Array Chipset Demonstrating 10 Gb/s Wireless Link. IEEE J. Solid-State Circuits 2013, 48, 1113–1125. [Google Scholar] [CrossRef]
- Trzebiatowski, K.; Rzymowski, M.; Kulas, L.; Nyka, K. Simple Millimeter Wave Identification System Based on 60 GHz Van Atta Arrays. Sensors 2022, 22, 9809. [Google Scholar] [CrossRef]
- Jang, T.-H.; Jung, K.P.; Park, C.S. Broadband Millimeter-Wave Antenna in Package with L-Probed E-Shaped Patch Covering 57 GHz to 71 GHz. IEEE Trans. Antennas Propag. 2022, 71, 89. [Google Scholar] [CrossRef]
- Jang, T.; Park, C.S. 60-GHz Wideband L-Probe Circular Slotted E-Shaped Patch Antenna Array. IEEE Access 2022, 10, 79939–79947. [Google Scholar] [CrossRef]
- Anim, K.; Lee, J.N.; Jung, Y.B. High-Gain Millimeter-Wave Patch Array Antenna for Unmanned Aerial Vehicle Application. Sensors 2021, 21, 3914. [Google Scholar] [CrossRef]
- Song, Y.; Wu, Y.; Yang, J.; Tian, Y.; Tong, W.; Chen, Y.; Wang, C.; Tang, X.; Benedikt, J.; Kang, K. A Compact Ka-Band Active Integrated Antenna with a GaAs Amplifier in a Ceramic Package. IEEE Antennas Wirel. Propag. Lett. 2017, 16, 2416–2419. [Google Scholar] [CrossRef]
- Felic, G.; Thomas, C.; Skafidas, E. Design of Co-Planar Waveguide-Fed Slot/Patch Antenna with Wire Bond for a 60-GHz Complementary Metal-Oxide-Semiconductor Transceiver. IET Microw. Antennas Propag. 2011, 5, 490–494. [Google Scholar] [CrossRef]
- Wang, R.; Sun, Y.; Wipf, C.; Scheytt, J.C. An On-Board Differential Patch Array Antenna and Interconnects Design for 60 GHz Applications. In Proceedings of the 2011 IEEE International Conference on Microwaves, Communications, Antennas and Electronic Systems (COMCAS 2011), Tel Aviv, Israel, 7–9 November 2011. [Google Scholar] [CrossRef]
- Zhang, T.; Li, L.; Zhao, D.; Xia, H.; Chai, Y.; Guo, J.; Qian, C.; Zheng, F.C.; Cui, T.J. High-Gain Low-Cost Broadband 60 GHz Differential Integrated Patch Array Antennas with Wire-Bonding Packaging and on-Board Compensation Network. IET Microw. Antennas Propag. 2017, 11, 971–975. [Google Scholar] [CrossRef]
- Felic, G.; Skafidas, E. A CPW-Fed Loop Slot Antenna for Integration with Millimeter Wave CMOS Transceiver. In Proceedings of the 2009 European Wireless Technology Conference, Rome, Italy, 28–29 September 2009; pp. 77–80. [Google Scholar]
- Beer, S.; Rusch, C.; Gulan, H.; Göttel, B.; Girma, M.G.; Hasch, J.; Winkler, W.; Debski, W.; Zwick, T. An Integrated 122-GHz Antenna Array with Wire Bond Compensation for SMT Radar Sensors. IEEE Trans. Antennas Propag. 2013, 61, 5976–5983. [Google Scholar] [CrossRef]
- Simsek, A.; Kim, S.K.; Abdelghany, M.; Ahmed, A.S.H.; Farid, A.A.; Madhow, U.; Rodwell, M.J.W. A 146.7 GHz Transceiver with 5 GBaud Data Transmission Using a Low-Cost Series-Fed Patch Antenna Array through Wirebonding Integration. In Proceedings of the IEEE Radio and Wireless Symposium (RWS), San Antonio, TX, USA, 26–29 January 2020; pp. 68–71. [Google Scholar] [CrossRef]
- Bauer, F.; Wang, X.; Menzel, W.; Stelzer, A. A 79-GHz Radar Sensor in Ltcc Technology Using Grid Array Antennas. IEEE Trans. Microw. Theory Tech. 2013, 61, 2514–2521. [Google Scholar] [CrossRef]
- Yu, J.; Li, X.; Xiao, J. Long-Distance Wireless Mm-Wave Signal Delivery at W-Band. J. Light. Technol. 2016, 34, 661–668. [Google Scholar]
- Fujibayashi, T.; Takeda, Y.; Wang, W.; Yeh, Y.S.; Stapelbroek, W.; Takeuchi, S.; Floyd, B. A 76- to 81-GHz Multi-Channel Radar Transceiver. IEEE J. Solid-State Circuits 2017, 52, 2226–2241. [Google Scholar] [CrossRef]
- Feng, G.; Yi, X.; Meng, F.; Boon, C.C. A W-Band Switch-Less Dicke Receiver for Millimeter-Wave Imaging in 65 Nm CMOS. IEEE Access 2018, 6, 39233–39240. [Google Scholar] [CrossRef]
- Bogdan, G.; Sobolewski, J.; Yashchyshyn, Y. Enhancement of Patch Antenna Gain by Means of Wire Bond Radiation Effect in W Band. In Proceedings of the 2022 24th International Microwave and Radar Conference (MIKON), Gdansk, Poland, 12–14 September 2022; pp. 1–2. [Google Scholar] [CrossRef]
- Rogers Corporation RO3003G2TM Circuit Materials. Available online: https://www.rogerscorp.com/advanced-electronics-solutions/ro3000-series-laminates/ro3003g2-laminates (accessed on 19 January 2023).
- Balanis, C.A. Antenna Theory: Analysis and Design; John Wiley & Sons: Hoboken, NJ, USA, 2016; Volume 4, ISBN 978-1-118-64206-1. [Google Scholar]
- Rabbani, M.S.; Ghafouri-Shiraz, H. Improvement of Microstrip Patch Antenna Gain and Bandwidth at 60 GHz and X Bands for Wireless Applications. IET Microw. Antennas Propag. 2016, 10, 1167–1173. [Google Scholar] [CrossRef]
- Uno, T.; Kitamura, O.; Terashima, S.; Tatsumi, K. 50-Um Fine Pitch Ball Bonding Technology. Nippon. Steel Tech. Rep. 2001, 84, 24–29. [Google Scholar]















| Width 1 (µm) | Length (µm) | |||||
|---|---|---|---|---|---|---|
| Initial Design | Theoretical Design | Experimental Design | Initial Design | Theoretical Design | Experimental Design | |
| Patch antenna | 1280 | 1450 | 1450 | 980 | 984 | 984 |
| Microstrip line | 200 | 120 | 120 | 580 | 518 | 900 |
| Wire bond | 100 | 100 | 200 | 1800 | 2960 | 2920 |
Disclaimer/Publisher’s Note: The statements, opinions and data contained in all publications are solely those of the individual author(s) and contributor(s) and not of MDPI and/or the editor(s). MDPI and/or the editor(s) disclaim responsibility for any injury to people or property resulting from any ideas, methods, instructions or products referred to in the content. |
© 2023 by the authors. Licensee MDPI, Basel, Switzerland. This article is an open access article distributed under the terms and conditions of the Creative Commons Attribution (CC BY) license (https://creativecommons.org/licenses/by/4.0/).
Share and Cite
Bogdan, G.; Sobolewski, J.; Bajurko, P.; Yashchyshyn, Y.; Oklej, J.; Ostaszewski, D. A Wire-Bonded Patch Antenna for Millimeter Wave Applications. Electronics 2023, 12, 632. https://doi.org/10.3390/electronics12030632
Bogdan G, Sobolewski J, Bajurko P, Yashchyshyn Y, Oklej J, Ostaszewski D. A Wire-Bonded Patch Antenna for Millimeter Wave Applications. Electronics. 2023; 12(3):632. https://doi.org/10.3390/electronics12030632
Chicago/Turabian StyleBogdan, Grzegorz, Jakub Sobolewski, Paweł Bajurko, Yevhen Yashchyshyn, Jan Oklej, and Dariusz Ostaszewski. 2023. "A Wire-Bonded Patch Antenna for Millimeter Wave Applications" Electronics 12, no. 3: 632. https://doi.org/10.3390/electronics12030632
APA StyleBogdan, G., Sobolewski, J., Bajurko, P., Yashchyshyn, Y., Oklej, J., & Ostaszewski, D. (2023). A Wire-Bonded Patch Antenna for Millimeter Wave Applications. Electronics, 12(3), 632. https://doi.org/10.3390/electronics12030632

