Abstract
Vertical structured Gallium nitride (GaN) p-n junction diodes with improved breakdown properties have been demonstrated using high-k dielectric passivation underneath the field plate. Simulation results at a reverse voltage of 1 kV showed that the maximum electric field near the mesa-etched p-n junction edges covered with film of dielectric constant k = 10 was reduced to 2.0 MV/cm from 3.0 MV/cm (SiO2 (k = 3.9)). The diodes were fabricated using the high-k mixed oxide of SiO2 and CeO2 with k = 12.3. I–V characteristics of the diode with a field plate showed a breakdown voltage above 2 kV with an increased avalanche resistance. This means that the electric field reduces at the periphery of the mesa-etched p-n junction and is uniformly formed across the whole p-n junction. It is clear that high-k dielectric film passivation and filed plate termination are essential techniques for GaN power devices.
1. Introduction
Gallium nitride (GaN) has been well recognized as the material whose electrical parameters are ideally suited for power devices as well as high frequency devices [1]. Horizontal structured GaN power-switching devices such as Metal-Insulator-Semiconductor Field Effect Transistor (MISFET) are already been commercially available. However, their power conversion efficiency and current drivability are limited because of their very high lattice-misfit dislocation densities which are caused by hetero-epitaxy on foreign substrates such as Si and SiC. Recent progress in crystalline quality and productivity of free-standing GaN substrates has enabled rapid development of vertical structure devices, which can extract the GaN’s full potentials in power-conversion applications [2,3,4].
For p-n junction diodes, the electric field becomes high at the p-n interface, depletion layer edges and electrode edges when a high reverse voltage is applied. So the breakdown voltage is determined by the electric field of the edges. To decrease the edge electric field of the device, edge termination techniques are important in designing high voltage power devices. Some techniques have been applied to the GaN diodes with high breakdown voltage to reduce their maximum electric field. These techniques are mesa-etched edge termination, guard rings and field plate (FP) termination [5,6,7]. Although the maximum electric field of the GaN diodes can be decreased by FP termination, the peak electric field is still located at the edge [8,9].The thickness of the dielectric film affects the depth of the depletion region. Thin dielectric film is effective for the breakdown characteristics within the p-n junction, but as a result, the electric field in the dielectric film becomes higher, and then breakdown tends to occur near the field-plate edge on the dielectric film. Our approach for increasing breakdown voltage using FP termination is to use high-dielectric-constant films. A high-dielectric-constant film generates a greater expanded depletion region than that generated using SiO2 film of the same thickness. Therefore, higher breakdown voltage devices are expected.
In this study, we used high-k mesa-etched GaN diodes with FP termination. To improve breakdown characteristics, we tried to determine the optimum dielectric constant for mesa-etched GaN diodes from the simulated result. Furthermore, we fabricated diodes that were immune to avalanche breakdown.
2. Device Structure and Fabrication Process
Figure 1 shows the schematic cross-section of the p-n diode simulated and fabricated in this study. The layer structure was grown by metal–organic vapor phase epitaxy (MOVPE) on a free-standing GaN substrate. The epitaxial layers consist of p+-GaN (Mg: 2 × 1020 cm−3, 30 nm)/p-GaN (Mg: 1 × 1018 cm−3, 500 nm)/n—GaN (Si: 3 × 1015 cm−3, 1 μm)/n-GaN (Si: 1.1 × 1016 cm−3, 17 μm)/n-GaN (Si: 2 × 1018 cm−3, 2 μm). The mesa structure was fabricated by inductively-coupled plasma (ICP) dry-etching. Pd ohmic electrodes were deposited by electron-beam deposition and formed by a liftoff process on the surface of the p+-GaN layer. Passivation film (SOG (spin-on-glass)/SiO2 or mixed oxide of CeO2 and SiO2) with the thickness of 700 nm was deposited on the top excluding the surface of the Pd contact. Contact holes were formed by ICP dry-etching. A Ti/Al electrode as a field plate was deposited by electron-beam deposition and formed by a liftoff process on the top surface [10]. The Ti/Al electrode was deposited by electron-beam deposition on the bottom surface of the n-GaN substrate.
Figure 1.
Schematic cross-section of GaN p-n junction diode with field plate termination.
We have fabricated different types of insulators as a passivation film. One type is SOG/SiO2. SOG insulating film was deposited on the whole chip. The SOG film was annealed at 450 °C for 30 min in the ambient N2. Then, a SiO2 insulating film was deposited on the whole chip by sputtering. We developed a two-step process for anode electrodes in order to avoid plasma damage to the p+-GaN contact layer during the SiO2 sputtering process. The specific ON-resistance is further improved due to a new low-damage process [8,9]. The other type is a mixed oxide of CeO2 and SiO2. We deposited a mixed oxide of CeO2 and SiO2 using Metal Organic Chemical Vapor Deposition (MOCVD) with the compositional ratio of CeO2:SiO2 = 2:1 [11,12,13]. The deposited dielectric film by MOCVD with intermittent Si(OC2H5)4 introduction was based on the idea that the decomposition temperature of tetraethylorthosilicate (TEOS) can be lowered by the hydrolysis utilizing H2O generated during the CeO2 deposition. The CeO2 source is Ce[OC(C2H5)2CH3]4. The CeO2 source was continuously introduced during deposition for 30 min while TEOS was intermittently introduced for 10 sec every 3 min using the pneumatic cutout valve, according to the deposition cycle. The substrate temperature during deposition was 350 °C and the deposition pressure was 50 Pa. Before deposition, samples were dipped in hafnium (Hf) to remove native oxide on the GaN.
The measured k of mixed oxide of SiO2 and CeO2 with a thickness of 700 nm was 12.3. The structure and thickness of high-k dielectric passivation film were measured using a Scanning Ion Microscope (SIM). As a result of the observation, the side wall of the mesa was a little curved; however, we used linear approximation to obtain convergent results in this simulation. The edge degrees were determined as 60 and 45 degrees from the observation.
We fabricated a GaN diode to obtain its breakdown voltages of 2.0 to 2.5 kV. By reducing the doping concentration underneath the p-GaN layer, the maximum electric field at the p-n junction can be decreased under reverse biased conditions. The GaN diode with a mesa structure can relax the electric field concentration at the p-n junction edge.
3. Simulation
Device simulation was carried out by using the half of the device structure shown in Figure 1. The simulations were carried out using the TCAD Sentaurus Device from Synopsys Inc. To determine the electric field, Poisson’s Equation is solved. Because the device was bilaterally symmetric (Figure 1), the simulated model used only the left half of the structure.
Figure 2 shows the simulation results with an FP termination at k = 3.9, 10, and 100 when a reverse bias of −1 kV is applied to the device. The line interval is 20 V. Figure 2a shows the simulated equipotential contour distributions when the insulator is SiO2 (k = 3.9). The equipotential contours are concentrated on the side wall of the mesa region. Therefore, if a large voltage is applied to the device, the p-n junction at the mesa edge will be destroyed. Next, we increased the value of k. Figure 2b shows the simulated equipotential contour distributions when the dielectric constant of the insulator is k = 10. As shown in the figure, the lines became less dense than in Figure 2a. Figure 2c shows the simulated equipotential contour distributions when the dielectric constant of the insulator is k = 100. While equipotential lines no longer appear on the side wall of the mesa, lines are concentrated at the bottom of the mesa. Therefore, if a large voltage is applied to the device, the bottom of the mesa will be destroyed.
Figure 2.
Simulation result at the mesa and peripheral: (a) k = 3.9 (SiO2); (b) k = 10; (c) k = 100.
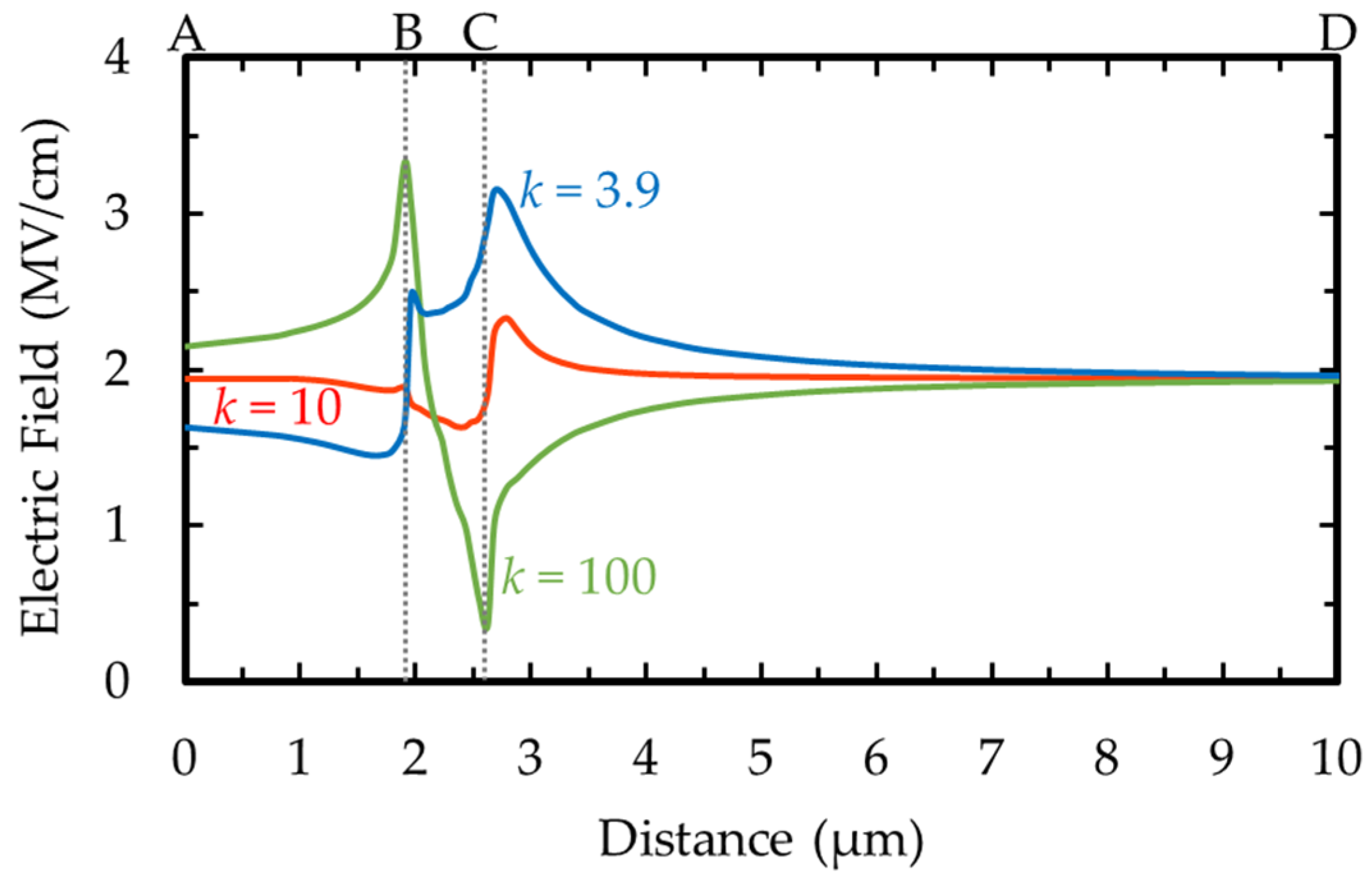
Figure 3 shows the electric field from point A to point D (see Figure 4) when a reverse bias of −1 kV is applied to the device. The horizontal axis indicates the distance from point A to point D. Figure 4 shows the enlarged view of the mesa and the p-n junction. Point A is under the insulator. Point B is the bottom of the mesa. Point C is the p-n junction at the mesa edge. Point D is the intrinsic p-n junction. For the diode with an insulator having k = 3.9 when the insulator is SiO2, the electric field is shown as a solid line, and it is 1.6 MV/cm at point A and increases at point B and near C, then gradually decreases. The maximum electric field is 3.1 MV/cm near C. Since the diode is destroyed at the point of the highest electric field, we will focus on the peak value of the electric field. There are two peaks, at point B and near point C. At near-C peak, the electric field at the p-n junction reaches its maximum. The electric field between point A and point B is low, but between point B and point D it is high. For k = 100, the electric field near B is the highest and that at point C is the lowest. For k = 10, the electric field at point B and the maximum electric field are lower than those of k = 3.9 and 100.
Figure 3.
Electric field along the mesa and peripheral from point A to point D.
Figure 4.
Enlarged view of the mesa and the p-n junction. Point A is the bottom face of the mesa. Point B is the bottom of the mesa side. Point C is a p-n junction edge. Point D is an inner p-n junction.
Figure 5 shows the maximum electric field characteristics of a diode with a different dielectric constant k of insulators. As shown in the figure, the electric field is dependent on the dielectric constant. At point A, the electric field increases as the dielectric constant increases, but the electric field stays almost the same when the dielectric constant k is above 10. At point B, the electric field decreases rapidly and reaches the minimum at the dielectric constant k below 10, and then it gradually increases. At point C, the electric field decreases as the dielectric constant increases. In other words, the maximum electric field at the mesa-etched p-n junction diodes covered with films with a dielectric constant k value of 10 was reduced to 2.0 MV/cm from 3.1 MV/cm (for SiO2 of k = 3.9).
Figure 5.
Maximum electric field characteristics of a diode with different k.
4. Results and Discussion
We selected a mixed oxide of SiO2 and CeO2 for a passivation film in this study. From the simulation results of the reduction of the electric field at the mesa edge, a dielectric constant k of about 10 is appropriate for a mesa-etched diode. The dielectric constant of CeO2 is 26, but can be lowered when SiO2 is mixed in CeO2. CeO2 can easily be deposited on the Si substrate. The capacitance of the mixed oxide of CeO2 and SiO2 is 15 nF/cm2. Assuming the thickness of the mixed oxide is 700 nm, we calculated the dielectric constant k of the mixed oxide as 12.3 at 1 MHz. The measured breakdown electric field of CeO2 is 1.8 MV/cm. The mixed oxide was not measured. However, the breakdown electric field of the mixed oxide of SiO2 and CeO2 is higher than that of CeO2. Therefore, the breakdown electric field of the mixed oxide is greater than 1.8 MV/cm.
Figure 6 shows the forward bias characteristics of the diodes with SiO2/SOG and the mixed oxide of SiO2 and CeO2. The turn-on voltage was about 3 V and Ron was 0.3 mΩ·cm2 (@5 V) for both diodes. In the log-scale plots (not shown), ideality factors were close to 2. Although the forward characteristics were the same, the reverse ones were apparently different.
Figure 6.
Forward bias characteristics of diodes.
Figure 7 shows the reverse bias characteristics of the diodes with SiO2/SOG and the mixed oxide of SiO2 and CeO2. Figure 7 represents characteristics of two diodes for each of the GaN diodes with the different dielectrics. So, four curves were plotted in Figure 7. We made measurements on several diodes within each chip and found almost significant results; hence, we left the four curves in Figure 7 to avoid complexity. Breakdown voltage (BV) characteristics were evaluated using Agilent B1505A combined with an ultra-high-voltage unit at room temperature. The expected breakdown voltage calculated by Poisson’s Equation using the layer structure was 2.0–2.5 kV assuming the GaN’s breakdown field is about 3.3 MV/cm. The measured breakdown voltage was close to the calculated values. I–V characteristics of the diode covered with the mixed oxide showed a breakdown voltage of 2.2 kV with an increased avalanche capability. While breakdown characteristics of the diode covered with SiO2/SOG showed the same breakdown voltage, the diode was suddenly broken at the same voltage (2.2 kV). This means that the electric field reduces at the periphery of the mesa-etched p-n junction and was uniformly formed across the whole p-n junction. When a higher dielectric film passivation is used, uniform reverse current flows and avalanche breakdown–immune diode characteristics can be obtained. It is clear that high-k dielectric film passivation and field plate termination are essential techniques for GaN power devices.
Figure 7.
Reverse bias characteristics of diodes.
5. Conclusions
New GaN high voltage diodes with high-k dielectric passivation underneath the field plate were designed and fabricated. The maximum electric field at the mesa-etched p-n junction diodes covered with films of a dielectric constant k value of 10 was reduced to 2.0 MV/cm from 3.0 MV/cm. GaN diodes with a mixed oxide of CeO2 and SiO2 which had a k value close to the values above were fabricated. The electric field reduces at the periphery of the mesa-etched p-n junction and was uniformly formed across the whole p-n junction. The electric field at the edge was suppressed. The structures were shown to be effective in improving the avalanche immunity. This result can provide an advantageous measure for vertical structure GaN power devices.
Acknowledgments
This work is supported by the Japan Ministry of the Environment and VLSI Design and Education Center (VDEC), the University of Tokyo in collaboration with Synopsys, Inc.
Author Contributions
All the authors contributed equally. All the authors read and approved final manuscript.
Conflicts of Interest
The authors declare no conflicts of interest.
References
- Yanagihara, M.; Uemoto, Y.; Ueda, T.; Tanaka, T.; Ueda, D. Recent advances in GaN transistors for future emerging applications. Phys. Status Solidi (a) 2009, 206, 1221–1227. [Google Scholar] [CrossRef]
- Disney, D.; Nie, H.; Edwards, A.; Bour, D.; Shah, H.; Kizilyalli, I.C. Vertical power diodes in bulk GaN, Power Semiconductor Devices and ICs (ISPSD). In Proceedings of the 2013 25th International Symposium on Power Semiconductor Devices and ICs (ISPSD), Kanazawa, Japan, 26–30 May 2013; pp. 59–62.
- Kizilyalli, I.C.; Edwards, A.P.; Nie, H.; Disney, D.; Bour, D. High voltage vertical GaN p-n diodes with avalanche capability. IEEE Trans. Electron Devices 2013, 60, 3067–3070. [Google Scholar] [CrossRef]
- Kizilyalli, I.C.; Edwards, A.P.; Nie, H.; Bour, D.; Prunty, T.; Disney, D. 3.7 kV vertical GaN PN diodes. IEEE Electron Device Lett. 2014, 35, 247–249. [Google Scholar] [CrossRef]
- Kumta, A.; Rusli; Tin, C.; Ahn, J. Design of field-plate terminated 4H-SiC Schottky diodes using high-k dielectrics. Microelectron. Reliab. 2006, 46, 1295–1302. [Google Scholar] [CrossRef]
- Ikeda, K.; Umezawa, H.; Shikata, S. Edge termination techniques for p-type diamond Schottky barrier diodes. Diam. Relat. Mater. 2008, 17, 809–812. [Google Scholar] [CrossRef]
- Song, Q.; Zhang, Y.; Zhang, Y.; Tang, X. Simulation study on 4H–SiC power devices with high-k dielectric FP terminations. Diam. Relat. Mater. 2012, 22, 42–47. [Google Scholar] [CrossRef]
- Nomoto, K.; Hatakeyama, Y.; Katayose, H.; Kaneda, N.; Mishima, T.; Nakamura, T. Over 1.0 kV GaN p-n junction diodes on free-standing GaN substrates. Phys. Status Solidi (a) 2011, 208, 1535–1537. [Google Scholar] [CrossRef]
- Hatakeyama, Y.; Nomoto, K.; Kaneda, N.; Kawano, T.; Mishima, T.; Nakamura, T. Over 3.0 figure-of-merit GaN p-n junction diodes on free-standing GaN substrates. IEEE Electron Device Lett. 2011, 32, 1674–1676. [Google Scholar] [CrossRef]
- Hatakeyama, Y.; Nomoto, K.; Terano, A.; Kaneda, N.; Tsuchiya, T.; Mishima, T.; Nakamura, T. High-breakdown-voltage and low-specific-on-resistance GaN p-n junction diodes on free-standing GaN substrates fabricated through low-damage field-plate process. Jpn. J. Appl. Phys. 2013, 52, 028007. [Google Scholar] [CrossRef]
- Ohno, H.; Sakurai, K.; Tagui, K.; Morita, T.; Suzuki, S.; Ishibashi, K.; Yamamoto, Y. Chemical vapor deposition of CeO2 films using a liquid metallorganic source. Electrochem. Solid-State Lett. 2006, 9, G87–G89. [Google Scholar] [CrossRef]
- Tagui, K.; Nakamura, K.; Ogawa, M.; Saito, K.; Suzuki, S.; Ishibashi, K.; Yamamoto, Y. The electrical property of CeO2 films deposited by MOCVD on Si (100) annealing effects on the electrical property. Electrochem. Solid-State Lett. 2007, 10, D73–D75. [Google Scholar] [CrossRef]
- Matsumura, T.; Furuya, T.; Sato, T.; Okabe, Y.; Suzuki, S.; Ishibashi, K.; Yamamoto, Y. MOCVD of CeO2 and SiO2 mixture films using alkoxy sources. ECS Solid State Lett. 2015, 4, N17–N19. [Google Scholar] [CrossRef]
© 2016 by the authors; licensee MDPI, Basel, Switzerland. This article is an open access article distributed under the terms and conditions of the Creative Commons by Attribution (CC-BY) license (http://creativecommons.org/licenses/by/4.0/).






