Metabolites Concentration in Plasma and Heart Tissue in Relation to High Sensitive Cardiac Troponin T Level in Septic Shock Pigs
Abstract
1. Introduction
2. Methods
2.1. Animal Study
2.2. Plasma and Heart Tissue Analyses
2.3. Data Analyses and Statistics
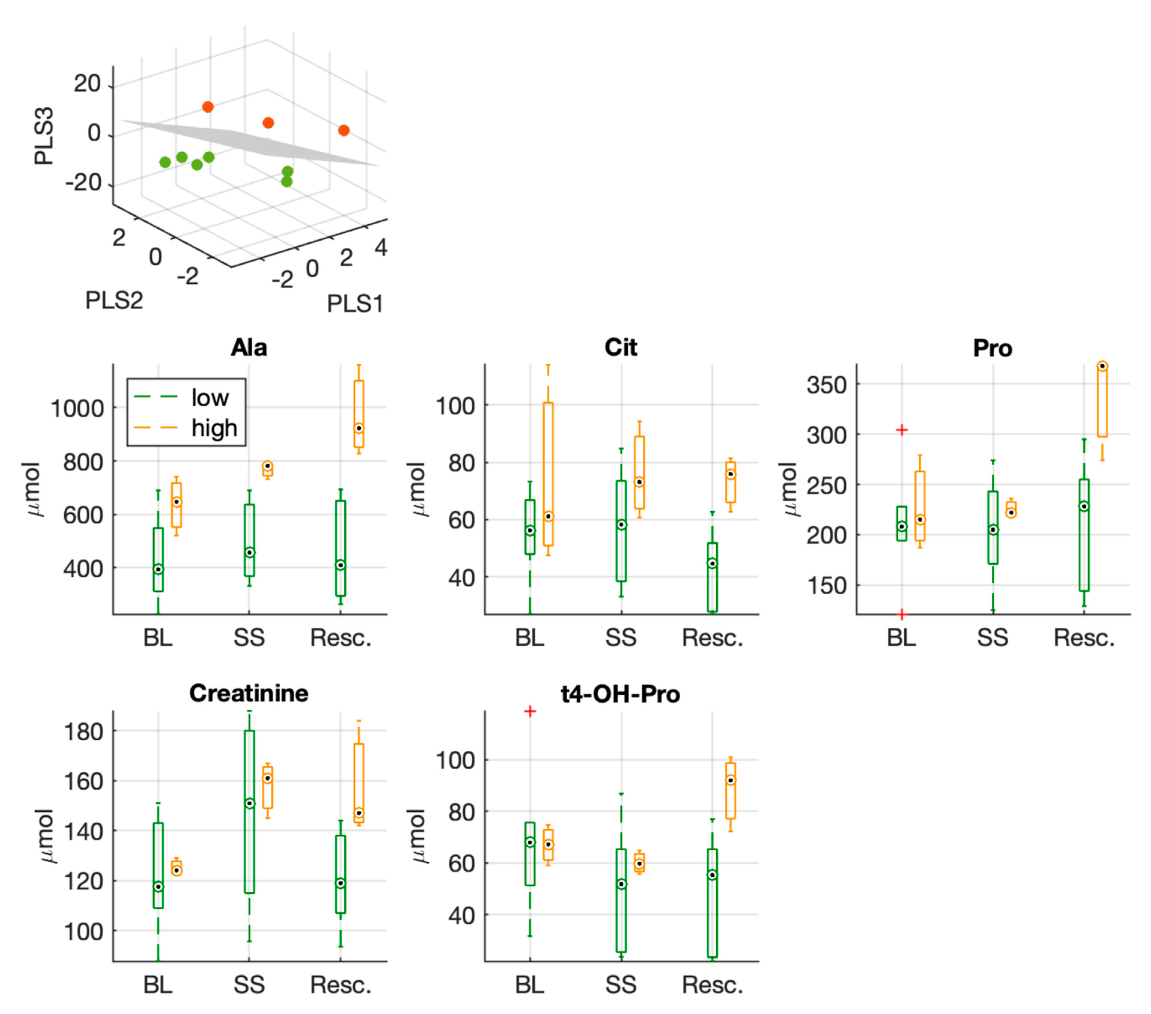
3. Results
4. Discussion
5. Conclusions
Supplementary Materials
Author Contributions
Funding
Institutional Review Board Statement
Informed Consent Statement
Data Availability Statement
Acknowledgments
Conflicts of Interest
Abbreviations
| hs-cTnT | high-sensitive cardiac troponin T |
| cTnT | cardiac troponin T |
| FC | fold change |
| SS | septic shock |
| t4-OH-Pro | trans-4-hydroxyproline |
| pro | proline |
| SM | sphingomyelins |
| lyso PC | lysophosphatidylcholine |
| PC | diacylphosphatidylcholine |
| PLS-DA | partial least square discriminant analysis |
| His | histidine |
| Gly | glycine |
| UPR | upper reference level |
References
- Ehrman, R.R.; Sullivan, A.N.; Favot, M.J.; Sherwin, R.L.; Reynolds, C.; Abidov, A.; Levy, P.D. Pathophysiology, echocardiographic evaluation, biomarker findings, and prognostic implications of septic cardiomyopathy: A review of the literature. Crit. Care 2018, 22, 112. [Google Scholar] [CrossRef] [PubMed]
- L’Heureux, M.; Sternberg, M.; Brath, L.; Turlington, J.; Kashiouris, M.G. Sepsis-Induced Cardiomyopathy: A Comprehensive Review. Curr. Cardiol. Rep. 2020, 22, 35. [Google Scholar] [CrossRef] [PubMed]
- Pathan, N.; Sandiford, C.; Harding, S.E.; Levin, M. Characterization of a myocardial depressant factor in meningococcal septicemia*. Crit. Care Med. 2002, 30, 2191–2198. [Google Scholar] [CrossRef] [PubMed]
- Cain, B.S.; Meldrum, D.R.; Dinarello, C.A.; Meng, X.; Joo, K.S.; Banerjee, A.; Harken, A.H. Tumor necrosis factor-alpha and interleukin-1 beta synergistically depress human myocardial function. Crit. Care Med. 1999, 27, 1309–1318. [Google Scholar] [CrossRef] [PubMed]
- Favory, R.; Neviere, R. Bench-to-bedside review: Significance and interpretation of elevated troponin in septic patients. Crit. Care 2006, 10, 224. [Google Scholar] [CrossRef]
- Martin, L.; Derwall, M.; Al Zoubi, S.; Zechendorf, E.; Reuter, D.A.; Thiemermann, C.; Schuerholz, T. The Septic Heart. Chest 2019, 155, 427–437. [Google Scholar] [CrossRef] [PubMed]
- Wu, A.H.; Jialal, I. How Specific Is Cardiac Troponin? Am. J. Clin. Pathol. 2000, 114, 509–511. [Google Scholar] [CrossRef]
- Parsonage, W.; Ruane, L. Cardiac Troponin and Exercise; Still Much to Learn. Hear. Lung Circ. 2017, 26, 645–647. [Google Scholar] [CrossRef]
- Vasile, V.C.; Chai, H.-S.; Abdeldayem, D.; Afessa, B.; Jaffe, A.S. Elevated Cardiac Troponin T Levels in Critically Ill Patients with Sepsis. Am. J. Med. 2013, 126, 1114–1121. [Google Scholar] [CrossRef]
- Chaulin, A.M. Elevation Mechanisms and Diagnostic Consideration of Cardiac Troponins under Conditions Not Associated with Myocardial Infarction. Part 1. Life 2021, 11, 914. [Google Scholar] [CrossRef]
- Hai, P.D.; Binh, N.T.; Tot, N.H.; Hung, H.M.; Hoa, L.T.V.; Hien, N.V.Q.; Son, P.N. Diagnostic Value of High-Sensitivity Troponin T for Subclinical Left Ventricular Systolic Dysfunction in Patients with Sepsis. Cardiol. Res. Pract. 2021, 2021, 8897738. [Google Scholar] [CrossRef] [PubMed]
- Epstein, F.H.; Parrillo, J.E. Pathogenetic Mechanisms of Septic Shock. N. Engl. J. Med. 1993, 328, 1471–1477. [Google Scholar] [CrossRef] [PubMed]
- Zochios, V.; Valchanov, K. Raised cardiac troponin in intensive care patients with sepsis, in the absence of angiographically documented coronary artery disease: A systematic review. J. Intensiv. Care Soc. 2014, 16, 52–57. [Google Scholar] [CrossRef] [PubMed]
- Landesberg, G.; Levin, P.D.; Gilon, D.; Goodman, S.; Georgieva, M.; Weissman, C.; Jaffe, A.S.; Sprung, C.L.; Barak, V. Myocardial Dysfunction in Severe Sepsis and Septic Shock: No correlation with inflammatory cytokines in real-life clinical setting. Chest 2015, 148, 93–102. [Google Scholar] [CrossRef] [PubMed]
- Hollenberg, S.M.; Singer, M. Pathophysiology of sepsis-induced cardiomyopathy. Nat. Rev. Cardiol. 2021, 18, 424–434. [Google Scholar] [CrossRef]
- Rossi, M.A.; Celes, M.R.N.; Prado, C.M.; Saggioro, F.P. Myocardial structural changes in long-term human severe sepsis/septic shock may be responsible for cardiac dysfunction. Shock 2007, 27, 10–18. [Google Scholar] [CrossRef]
- Baker, P.; Leckie, T.; Harrington, D.; Richardson, A. Exercise-induced cardiac troponin elevation: An update on the evidence, mechanism and implications. IJC Heart Vasc. 2019, 22, 181–186. [Google Scholar] [CrossRef]
- Ferrario, M.; Brunelli, L.; Su, F.; Herpain, A.; Pastorelli, R. The Systemic Alterations of Lipids, Alanine-Glucose Cycle and Inter-Organ Amino Acid Metabolism in Swine Model Confirms the Role of Liver in Early Phase of Septic Shock. Front. Physiol. 2019, 10, 11. [Google Scholar] [CrossRef]
- Carrara, M.; Herpain, A.; Baselli, G.; Ferrario, M. A Mathematical Model of dP/dt Max for the Evaluation of the Dynamic Control of Heart Contractility in Septic Shock. IEEE Trans. Biomed. Eng. 2019, 66, 2719–2727. [Google Scholar] [CrossRef]
- Ferrario, M.; Pastorelli, R.; Brunelli, L.; Liu, S.; Campos, P.P.Z.D.A.; Casoni, D.; Z’Graggen, W.J.; Jakob, S.M. Persistent hyperammonia and altered concentrations of urea cycle metabolites in a 5-day swine experiment of sepsis. Sci. Rep. 2021, 11, 18430. [Google Scholar] [CrossRef]
- Krane, S.M. The importance of proline residues in the structure, stability and susceptibility to proteolytic degradation of collagens. Amino Acids 2008, 35, 703–710. [Google Scholar] [CrossRef] [PubMed]
- van den Borne, S.W.M.; Diez, J.; Blankesteijn, W.M.; Verjans, J.; Hofstra, L.; Narula, J. Myocardial remodeling after infarction: The role of myofibroblasts. Nat. Rev. Cardiol. 2010, 7, 30–37. [Google Scholar] [CrossRef] [PubMed]
- Florea, V.G.; Anand, I.S. Troponin T and Plasma Collagen Peptides in Heart Failure. Circ. Heart Fail. 2012, 5, 394–397. [Google Scholar] [CrossRef] [PubMed][Green Version]
- Mair, J.; Lindahl, B.; Hammarsten, O.; Müller, C.; Giannitsis, E.; Huber, K.; Möckel, M.; Plebani, M.; Thygesen, K.; Jaffe, A.S. How is cardiac troponin released from injured myocardium? Eur. Heart J. Acute Cardiovasc. Care 2018, 7, 553–560. [Google Scholar] [CrossRef] [PubMed]
- Kop, W.J.; Gottdiener, J.S.; Defilippi, C.R.; Barasch, E.; Seliger, S.L.; Jenny, N.S.; Christenson, R.H. Cardiac Microinjury Measured by Troponin T Predicts Collagen Metabolism in Adults Aged ≥65 Years with Heart Failure. Circ. Heart Fail. 2012, 5, 406–413. [Google Scholar] [CrossRef] [PubMed]
- Siwik, D.A.; Pagano, P.J.; Colucci, W.S. Oxidative stress regulates collagen synthesis and matrix metalloproteinase activity in cardiac fibroblasts. Am. J. Physiol. Cell Phisiol. 2001, 280, C53–C60. [Google Scholar] [CrossRef] [PubMed]
- Siwik, D.A.; Chang, D.L.-F.; Colucci, W.S. Interleukin-1β and Tumor Necrosis Factor-α Decrease Collagen Synthesis and Increase Matrix Metalloproteinase Activity in Cardiac Fibroblasts In Vitro. Circ. Res. 2000, 86, 1259–1265. [Google Scholar] [CrossRef]
- Yu, P.; Boughner, D.R.; Sibbald, W.J.; Keys, J.; Dunmore, J.; Martin, C.M. Myocardial collagen changes and edema in rats with hyperdynamic sepsis. Crit. Care Med. 1997, 25, 657–662. [Google Scholar] [CrossRef]
- Gäddnäs, F.; Koskela, M.; Koivukangas, V.; Risteli, J.; Oikarinen, A.; Laurila, J.; Saarnio, J.; Ala-Kokko, T. Markers of collagen synthesis and degradation are increased in serum in severe sepsis: A longitudinal study of 44 patients. Crit. Care 2009, 13, R53. [Google Scholar] [CrossRef]
- Soriano, F.G.; Nogueira, A.C.; Caldini, E.G.; Lins, M.H.; Teixeira, A.C.; Cappi, S.B.; Lotufo, P.A.; Bernik, M.M.S.; Zsengeller, Z.; Chen, M.; et al. Potential role of poly(adenosine 5′-diphosphate-ribose) polymerase activation in the pathogenesis of myocardial contractile dysfunction associated with human septic shock. Crit. Care Med. 2006, 34, 1073–1079. [Google Scholar] [CrossRef]
- Chauin, A. The Main Causes and Mechanisms of Increase in Cardiac Troponin Concentrations Other Than Acute Myocardial Infarction (Part 1): Physical Exertion, Inflammatory Heart Disease, Pulmonary Embolism, Renal Failure, Sepsis. Vasc. Health Risk Manag. 2021, 17, 601–617. [Google Scholar] [CrossRef] [PubMed]




| Low hs-cTnT (n = 6) | High hs-cTnT (n = 3) | |||||
|---|---|---|---|---|---|---|
| Baseline | Shock | Full Resuscitation | Baseline | Shock | Full Resuscitation | |
| hs-cTnT (ng/L) | 16.00 (12.00, 21.00) | 21.00 (15.00, 40.00) | 26.00 (18.00, 30.00) * | 8.00 (8.00, 9.50) | 21.00 (18.00, 24.00) | 48.00 (42.00, 58.50) |
| Lactate mmol/L | 0.90 (0.90, 0.90) | 1.15 (0.90, 1.30) | 1.45 (0.90, 1.90) * | 0.90 (0.90, 0.90) | 2.10 (1.65, 2.55) | 3.10 (3.02, 3.55) |
| HR bpm | 74.00 (72.00, 80.00) | 94.00 (79.00, 129.00) | 148.50 (144.00, 152.00) | 82.00 (65.50, 88.75) | 160.00 (115.75, 162.25) | 150.00 (145.50, 152.25) |
| DAP rad mmHg | 54.50 (51.00, 55.00) | 41.50 (37.00, 45.00) | 53.50 (48.00, 58.00) * | 57.00 (54.75, 58.50) | 33.00 (31.50, 36.00) | 35.00 (34.25, 40.25) |
| MAP rad mmHg | 71.00 (70.00, 75.00) | 54.00 (46.00, 63.00) | 76.00 (70.00, 82.00) * | 76.00 (73.75, 77.50) | 46.00 (45.25, 46.00) | 55.00 (51.25, 64.00) |
| CO mL/min | 4600 (4300, 4700) | 3200 (2800, 4700) | 8550 (7400, 9700) | 5400 (4500, 5775) | 4850 (3700, 6000) | 9900 (9675, 11,100) |
| SvO2 % | 62.00 (61.00, 69.00) | 55.00 (52.25, 59.25) * | 75.50 (73.00, 81.00) | 67.00 (61.75, 68.50) | 68.00 (65.00, 69.50) | 68.00 (64.25, 74.75) |
| T °C | 38.90 (38.70, 39.20) | 39.10 (39.00, 39.90) | 39.10 (39.00, 39.30) | 39.00 (38.85, 39.08) | 37.70 (37.70, 38.30) | 38.50 (38.28, 39.10) |
| pH | 7.47 (7.46, 7.48) | 7.45 (7.41, 7.46) | 7.45 (7.45, 7.46) | 7.48 (7.47, 7.49) | 7.42 (7.41, 7.46) | 7.43 (7.35, 7.44) |
| PaCO2 mmHg | 47.05 (46.60, 48.00) | 48.05 (47.00, 49.50) | 47.85 (46.30, 48.40) | 45.60 (45.15, 47.48) | 48.90 (45.07, 49.95) | 48.80 (48.05, 56.15) |
| PaO2 mmHg | 122 (114, 130) | 122 (110, 143) | 130 (101, 165) * | 129 (126, 137) | 134 (94, 149) | 70 (63, 90) |
| HCO3– mmol/L | 33.60 (33.00, 34.00) | 32.00 (30.70, 33.20) | 32.10 (30.00, 33.00) | 33.00 (32.25, 34.95) | 31.20 (31.20, 31.35) | 31.40 (30.20, 31.70) |
| BE | 8.90 (8.80, 9.70) | 7.10 (5.20, 8.70) | 7.40 (5.20, 8.30) | 8.40 (8.10, 10.35) | 5.90 (5.82, 6.80) | 6.10 (3.85, 6.78) |
| Sat O2 % | 99.50 (99.00, 100.00) | 99.50 (99.00, 100.00) | 99.00 (98.00, 100.00) | 100.00 (99.25, 100.00) | 100.00 (97.00, 100.00) | 89.00 (88.25, 95.75) |
| Hct % | 26.70 (23.00, 30.00) | 27.00 (24.00, 33.00) | 28.50 (27.00, 30.00) | 26.00 (24.50, 27.50) | 34.00 (26.50, 38.50) | 24.20 (21.05, 30.80) |
| Na+ mmol/L | 132 (129, 134) | 132 (127, 132) | 134 (133, 135) | 132 (131, 134) | 131 (131, 133) | 133 (132, 134) |
| K+ mmol/L | 4.40 (4.30, 4.40) | 4.30 (4.00, 4.40) | 4.35 (4.30, 4.40) | 4.00 (4.00, 4.00) | 3.80 (3.50, 3.80) | 4.30 (4.23, 4.52) |
| Cl− mmol/L | 101 (100, 103) | 100 (97, 101) | 99 (97, 100) | 99.00 (97.50, 102.00) | 97.00 (96.25, 98.50) | 97.00 (97.00, 98.50) |
| anion gap | −2.00 (−8.00, −1.00) | −0.35 (−2.20, 5.00) | 1.90 (0.00, 6.00) | −1.00 (−1.00, −0.70) | 2.80 (1.30, 5.65) | 6.20 (2.45, 6.50) |
| Ca++ mmol/L | 1.27 (1.24, 1.29) | 1.23 (1.18, 1.28) | 1.15 (1.10, 1.15) | 1.20 (1.15, 1.22) | 1.21 (1.13, 1.25) | 1.17 (1.03, 1.19) |
| Glucose mmol/L | 90.50 (86.00, 105.00) | 88.50 (71.00, 95.00) | 93.50 (86.00, 110.00) | 94.00 (92.50, 97.75) | 62.00 (61.25, 77.75) | 64.00 (61.00, 68.50) |
Publisher’s Note: MDPI stays neutral with regard to jurisdictional claims in published maps and institutional affiliations. |
© 2022 by the authors. Licensee MDPI, Basel, Switzerland. This article is an open access article distributed under the terms and conditions of the Creative Commons Attribution (CC BY) license (https://creativecommons.org/licenses/by/4.0/).
Share and Cite
Bollen Pinto, B.; Ferrario, M.; Herpain, A.; Brunelli, L.; Bendjelid, K.; Carrara, M.; Pastorelli, R. Metabolites Concentration in Plasma and Heart Tissue in Relation to High Sensitive Cardiac Troponin T Level in Septic Shock Pigs. Metabolites 2022, 12, 319. https://doi.org/10.3390/metabo12040319
Bollen Pinto B, Ferrario M, Herpain A, Brunelli L, Bendjelid K, Carrara M, Pastorelli R. Metabolites Concentration in Plasma and Heart Tissue in Relation to High Sensitive Cardiac Troponin T Level in Septic Shock Pigs. Metabolites. 2022; 12(4):319. https://doi.org/10.3390/metabo12040319
Chicago/Turabian StyleBollen Pinto, Bernardo, Manuela Ferrario, Antoine Herpain, Laura Brunelli, Karim Bendjelid, Marta Carrara, and Roberta Pastorelli. 2022. "Metabolites Concentration in Plasma and Heart Tissue in Relation to High Sensitive Cardiac Troponin T Level in Septic Shock Pigs" Metabolites 12, no. 4: 319. https://doi.org/10.3390/metabo12040319
APA StyleBollen Pinto, B., Ferrario, M., Herpain, A., Brunelli, L., Bendjelid, K., Carrara, M., & Pastorelli, R. (2022). Metabolites Concentration in Plasma and Heart Tissue in Relation to High Sensitive Cardiac Troponin T Level in Septic Shock Pigs. Metabolites, 12(4), 319. https://doi.org/10.3390/metabo12040319

