Salicylic Acid and Water Stress: Effects on Morphophysiology and Essential Oil Profile of Eryngium foetidum
Abstract
1. Introduction
2. Materials and Methods
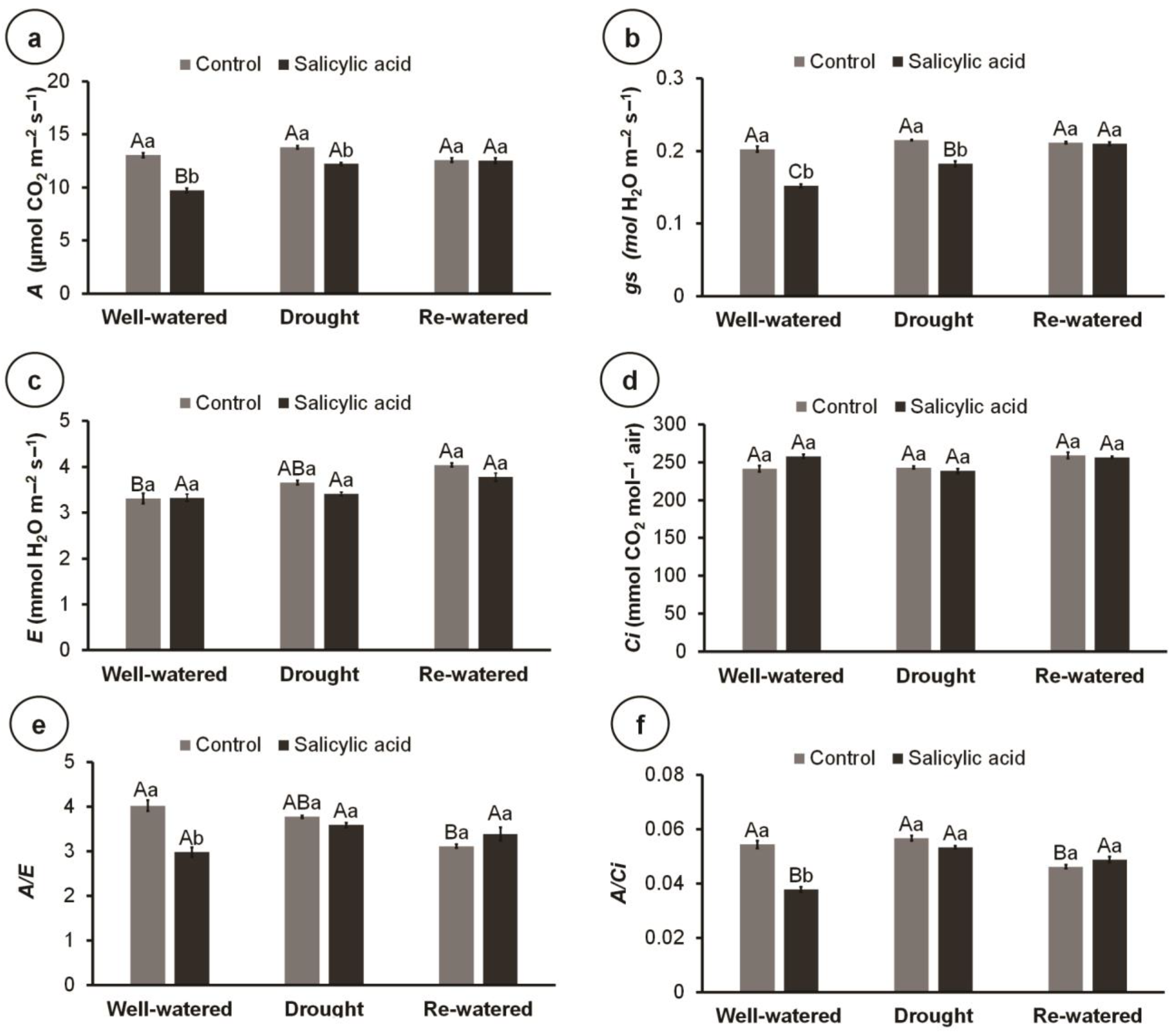
3. Results
4. Discussion
5. Conclusions
Author Contributions
Funding
Institutional Review Board Statement
Informed Consent Statement
Data Availability Statement
Acknowledgments
Conflicts of Interest
References
- Bhardwaj, K.; Raina, M.; Sanfratello, G.M.; Pandey, P.; Singh, A.; Rajwanshi, R.; Negi, N.P.; Rustagi, A.; Kuma, K.D. Exogenous Melatonin Counteracts Salinity and Cadmium Stress via Photosynthetic Machinery and Antioxidant Modulation in Solanum lycopersicum L. J. Plant Growth Regul. 2022, 42, 6332–6348. [Google Scholar] [CrossRef]
- Zulfiqar, F.; Younis, A.; Abideen, Z.; Francini, A.; Ferrante, A. Bioregulators can improve biomass production, photosynthetic efficiency, and ornamental quality of Gazania rigens L. Agronomy 2019, 9, 773. [Google Scholar] [CrossRef]
- Saud, S.; Li, X.; Chen, Y.; Zhang, L.; Fahad, S.; Hussain, S.; Sadiq, A.; Chen, Y. Silicon application increases drought tolerance of Kentucky bluegrass by improving plant water relations and morphophysiological functions. Sci. World J. 2014, 2014, 368694. [Google Scholar] [CrossRef] [PubMed]
- Sikder, S.; Qiao, Y.; Baodi, D.; Shi, C.; Liu, M. Effect of water stress on leaf level gas exchange capacity and water-use efficiency of wheat cultivars. Ind. J. Plant Physiol. 2016, 21, 300–305. [Google Scholar] [CrossRef]
- Tang, Y.Y.; Yuan, Y.H.; Shu, S.; Guo, S.R. Regulatory mechanism of NaCl stress on photosynthesis and antioxidant capacity mediated by transglutaminase in cucumber (Cucumis sativus L.) seedlings. Sci. Hortic. 2018, 235, 294–306. [Google Scholar] [CrossRef]
- Agurla, S.; Gahir, S.; Munemasa, S.; Murata, Y.; Raghavendra, A.S. Mechanism of Stomatal Closure in Plants Exposed to Drought and Cold Stress. Adv. Exp. Med. Biol. 2018, 1081, 215–232. [Google Scholar] [CrossRef]
- Al-Yasi, H.; Attia, H.; Alamer, K.; Hassan, F.; Ali, E.; Elshazl, S.; Kadambot, H.M.; Hessini, K. Impact of drought on growth, photosynthesis, osmotic adjustment, and cell wall elasticity in Damask rose. Plant Physiol. Biochem. 2020, 150, 133–139. [Google Scholar] [CrossRef] [PubMed]
- Kato, Y.; Oi, T.; Taniguchi, M. Aggregative movement of C4 mesophyll chloroplasts is promoted by low CO2 under high intensity blue light. Plant Biol. 2023, 25, 563–570. [Google Scholar] [CrossRef]
- Chaves, M.M.; Pereira, J.S.; Maroco, J.; Rodrigues, M.L.; Ricardo, C.P.P.; Osório, M.L.; Carvalho, I.; Faria, T.; Pinheiro, C. How plants cope with water stress in the field photosynthesis and growth. Ann. Bot. 2002, 89, 907–916. [Google Scholar] [CrossRef]
- Jangra, M.; Devi, S.; Satpal-Kumar, N.; Goyal, V.; Mehrotra, S. Amelioration Effect of Salicylic Acid Under Salt Stress in Sorghum bicolor L. Appl. Biochem. Biotechnol. 2022, 194, 4400–4423. [Google Scholar] [CrossRef]
- Gaion, L.A.; Monteiro, C.C.; Cruz, F.J.R.; Rossatto, D.R.; Lopez-Diaz, I.; Carrera, E.; Lima, J.E.; Peres, L.E.P.; Carvalho, R.F. Constitutive gibberellin response in grafted tomato modulates root-to-shoot signaling under drought stress. J. Plant Physiol. 2018, 221, 11–21. [Google Scholar] [CrossRef] [PubMed]
- dos Santos, S.K.; da Silva Gomes, D.; de Azevedo Soares, V.; Dantas, E.F.O.; de Oliveira, A.F.P.; Gusmão, M.H.A.; de Matos, E.M.; Viccini, L.F.; Grazul, R.M.; Henschel, J.M.; et al. Ascorbic acid mediated mitigation of drought effects on growth, physiology, and essential oil profile in culantro (Eryngium foetidum L.). Vegetos 2024. [Google Scholar] [CrossRef]
- Trolinder, N.L. Use of plant bioregulators in tissue culture. In Plant Biochemical Regulators, 1st ed.; Gausman, H.M., Ed.; CRC Press: Boca Raton, FL, USA, 2020; pp. 99–112. [Google Scholar]
- Tormena, C.D.; Rutledge, D.N.; Rakocevic, M.; Bruns, R.E.; Scarminio, I.S.; Marcheafave, G.G.; Pauli, E.D. Exogenous application of bioregulators in Coffea arabica beans during ripening: Investigation of UV–Visible and NIR mixture design-fingerprints using AComDim-ICA. Microchem J. 2022, 181, 107702. [Google Scholar] [CrossRef]
- Asghari, M.; Aghdam, M.S. Impact of salicylic acid on post-harvest physiology of horticultural crops. Trends Food Sci. Technol. 2010, 21, 502–509. [Google Scholar] [CrossRef]
- Dawood, M.G.; Sadak, M.S.; Hozayen, M. Physiological role of salicylic acid in improving performance, yield and some biochemical aspects of sunflower plant grown under newly reclaimed sandy soil. Aust. J. Basic Appl. Sci. 2012, 6, 82–89. [Google Scholar]
- Janda, T.; Szalai, G.; Pál, M. Salicylic acid signaling in plants. Int. J. Mol. Sci. 2020, 21, 2655. [Google Scholar] [CrossRef] [PubMed]
- Zhang, Y.; Xu, S.; Ding, P.; Wang, D.; Cheng, Y.T.; He, J.; Gao, M.; Xu, F.; Li, Y.; Zhu, Z.; et al. Control of salicylic acid synthesis and systemic acquired resistance by two members of a plant-specific family of transcription factors. Proc. Natl. Acad. Sci. USA 2010, 107, 18220–18225. [Google Scholar] [CrossRef] [PubMed]
- Henschel, J.M.; Dantas, E.F.O.; Soares, V.A.; Santos, S.K.; Santos, L.W.O.; Dias, T.J.; Batista, D.S. Salicylic acid mitigates the effects of mild drought stress on radish (Raphanus sativus) growth. Funct. Plant Biol. 2022, 49, 822–831. [Google Scholar] [CrossRef]
- El-Mergawi, R.A.; Abd El-Wahed, M.S.A. Effect of exogenous salicylic acid or indole acetic acid on their endogenous levels, germination, and growth in maize. Bull. Natl. Res. Cent. 2020, 44, 167. [Google Scholar] [CrossRef]
- Serna-Escolano, V.; Martínez-Romero, D.; Giménez, M.J.; Serrano, M.; García-Martínez, S.; Valero, D.; Valverde, J.M.; Zapata, P.J. Enhancing antioxidant systems by preharvest treatments with methyl jasmonate and salicylic acid leads to maintain lemon quality during cold storage. Food Chem. 2021, 338, 128044. [Google Scholar] [CrossRef]
- Soares, V.A.; Dantas, E.F.; Santos, S.K.; Santos, L.W.; Dias, T.J.; Henschel, J.M.; Batista, D.S. Effect of salicylic acid on the growth and biomass partitioning in water-stressed radish plants. Vegetos 2022, 35, 585–591. [Google Scholar] [CrossRef]
- Yildirim, E.; Turan, M.; Guvenc, I. Effect of foliar salicylic acid applications on growth, chlorophyll and mineral content of cucumber (Cucumis sativus L.) grown under salt stress. J. Plant Nutr. 2008, 31, 593–612. [Google Scholar] [CrossRef]
- Santos, S.K.; Soares, V.A.; Dantas, E.F.O.; Santos, L.W.O.; Gomes, D.S.; Henschel, J.M.; Batista, D.S. Exogenous carnitine application enhances the growth of culantro (Eryngium foetidum) plants. Vegetos 2022, 36, 393–399. [Google Scholar] [CrossRef]
- Singh, B.K.; Ramakrishna, Y.; Ngachan, S.V. Spiny coriander (Eryngium foetidum L.): A commonly used, neglected spicing-culinary herb of Mizoram, India. Genet. Resour. Crop Evol. 2014, 61, 1085–1090. [Google Scholar] [CrossRef]
- Rodrigues, T.L.M.; Silva, M.E.; Gurgel, E.S.; Oliveira, M.S.; Lucas, F.C. Eryngium Foetidum L. (Apiaceae): A literature review of traditional uses, chemical composition, and pharmacological activities. Evid-Based Complement. Altern. Med. 2022, 2022, 2896895. [Google Scholar] [CrossRef] [PubMed]
- Rojas-Silva, P.; Graziose, R.; Vesely, B.; Poulev, A.; Mbeunkui, F.; Grace, M.H.; Kyle, D.E.; Lila, M.A.; Raskin, I. Leishmanicidal activity of a daucane sesquiterpene isolated from Eryngium foetidum. Pharm. Biol. 2014, 52, 398–401. [Google Scholar] [CrossRef] [PubMed]
- Panda, S.K.; Mohanta, Y.K.; Padhi, L.; Park, Y.H.; Mohanta, T.P.; Bae, H. Large scale screening of ethnomedicinal plants for identification of potential antibacterial compounds. Molecules 2016, 21, 293. [Google Scholar] [CrossRef] [PubMed]
- Borah, J.; Singh, K.L.; Mondal, S.; Dutta, S.P. Phytochemical analysis and synergistic interaction of plants extracts on bacterial and fungal isolates. Int. J. Acad. Res. 2020, 2, 618–623. [Google Scholar]
- Thomas, P.S.; Essien, E.E.; Ntuk, S.J.; Choudhary, M.I. Eryngium foetidum L. Essential Oils: Chemical Composition and Antioxidant Capacity. Medicines 2017, 4, 24. [Google Scholar] [CrossRef]
- Santos, S.K.; Gomes, D.S.; Oliveira, A.F.P.; Silva, A.M.O.; Moura, V.S.; Gusmão, M.H.A.; Matos, E.M.; Viccini, L.F.; Grazul, R.M.; Henschel, J.M.; et al. Water stress and exogenous carnitine on growth and essential oil profile of Eryngium foetidum L. 3 Biotech 2023, 13, 328. [Google Scholar] [CrossRef]
- Wellburn, A.R. The spectral determination of chlorophylls a and b, as well as total carotenoids, using various solvents with spectrophotometers of different resolution. J. Plant Physiol. 1994, 144, 307–313. [Google Scholar] [CrossRef]
- Santos, R.P.; Cruz, A.C.F.; Iarema, L.; Kuki, K.N.; Otoni, W.C. Protocolo para extração de pigmentos foliares em porta-enxertos de videira micropropagados. Ceres 2008, 55, 356–364. [Google Scholar]
- Bajji, M.; Kinet, J.M.; Lutts, S. The use of the electrolyte leakage method for assessing cell membrane stability as a water stress tolerance test in durum wheat. Plant Growth Regul. 2002, 36, 61–70. [Google Scholar] [CrossRef]
- Castro, K.M.; Batista, D.S.; Silva, T.D.; Fortini, E.A.; Felipe, S.H.S.; Fernandes, A.M.; Sousa, R.M.J.; Nascimento, L.S.Q.; Campos, V.R.; Grazul, R.M.; et al. Water deficit modulates growth, morphology, and the essential oil profile in Lippia alba L. (Verbenaceae) grown in vitro. Plant Cell Tissue Org. Cult. 2020, 141, 55–65. [Google Scholar] [CrossRef]
- Cruz, C.D. Genes Software-extended and integrated with the R, MATLAB and Selegen. Acta Sci. Agron. 2016, 38, 547–552. [Google Scholar] [CrossRef]
- Singh, D. The relative importance of characters affecting genetic divergence. Indian J. Genet. Plant Breed. 1981, 41, 237–245. [Google Scholar]
- Fadiji, A.E.; Santoyo, G.; Yadav, A.N.; Babalola, O.O. Efforts towards overcoming drought stress in crops: Revisiting the mechanisms employed by plant growth-promoting bacteria. Front. Microbiol. 2022, 13, 962427. [Google Scholar] [CrossRef] [PubMed]
- Kudo, M.; Kidokoro, S.; Yoshida, T.; Mizoi, J.; Kojima, M.; Takebayashi, Y.; Sakakibara, H.; Fernie, A.R.; Shinozaki, K.; Yamaguchi-Shinozaki, K. A gene-stacking approach to overcome the trade-off between drought stress tolerance and growth in Arabidopsis. Plant J. 2019, 97, 240–256. [Google Scholar] [CrossRef]
- Khaleghnezhad, V.; Yousefi, A.R.; Tavakoli, A.; Farajmand, B.; Mastinu, A. Concentrations-dependent effect of exogenous abscisic acid on photosynthesis, growth and phenolic content of Dracocephalum moldavica L. under drought stress. Planta 2021, 253, 127. [Google Scholar] [CrossRef]
- Jacques, C.; Salon, C.; Barnard, R.L.; Vernoud, V.; Prudent, M. Drought stress memory at the plant cycle level: A review. Plants 2021, 10, 1873. [Google Scholar] [CrossRef]
- Sintaha, M.; Man, C.K.; Yung, W.S.; Duan, S.; Li, M.W.; Lam, H.M. Drought stress priming improved the drought tolerance of soybean. Plants 2022, 11, 2954. [Google Scholar] [CrossRef] [PubMed]
- Dinneny, J.R. Developmental Responses to Water and Salinity in Root Systems. Annu. Rev. Cell Dev. Biol. 2019, 35, 239–257. [Google Scholar] [CrossRef] [PubMed]
- Gupta, A.; Rico-Medina, A.; Caño-Delgado, A.I. The physiology of plant responses to drought. Science 2020, 368, 266–269. [Google Scholar] [CrossRef] [PubMed]
- Rivas-San-Vicente, M.; Plasencia, J. Salicylic acid beyond defence: Its role in plant growth and development. J. Exp. Bot. 2011, 62, 3321–3338. [Google Scholar] [CrossRef] [PubMed]
- Zulfiqar, F.; Chen, J.; Finnegan, P.M.; Younis, A.; Nafees, M.; Zorrig, W.; Hamed, K.B. Application of trehalose and salicylic acid mitigates drought stress in sweet basil and improves plant growth. Plants 2021, 10, 1078. [Google Scholar] [CrossRef] [PubMed]
- Reich, P.B.; Walters, M.B.; Elsworth, D.S.; Vose, J.M.; Volin, J.C.; Gresham, C.; Bowman, D. Relationships of leaf dark respiration to leaf nitrogen, specific leaf area and leaf life-span: A test across biomes and functional groups. Oecologia 1998, 114, 471–482. [Google Scholar] [CrossRef] [PubMed]
- Sugiyama, S. Developmental basis of interspecific differences in leaf size and specific leaf area among C3 grass species. Funct. Ecol. 2005, 19, 916–924. [Google Scholar] [CrossRef]
- Koester, R.P.; Skoneczka, J.A.; Cary, T.R.; Diers, B.W.; Ainsworth, E.A. Historical gains in soybean (Glycine max Merr.) seed yield are driven by linear increases in light interception, energy conversion, and partitioning efficiencies. J. Exp. Bot. 2014, 65, 3311–3321. [Google Scholar] [CrossRef] [PubMed]
- Leslie, C.A.; Romani, R.J. Salicylic acid: A new inhibitor of ethylene biosynthesis. Plant Cell Rep. 1986, 5, 144–146. [Google Scholar] [CrossRef]
- Ghassemi-Golezani, K.; Farhangi-Abriz, S.; Bandehagh, A. Salicylic acid and jasmonic acid alter physiological performance, assimilate mobilization and seed filling of soybean under salt stress. Acta Agric. Slov. 2018, 111, 597–607. [Google Scholar] [CrossRef]
- Khoshbakht, D.; Asgharei, M.R. Influence of foliar-applied salicylic acid on growth, gas-exchange characteristics, and chlorophyll fluorescence in citrus under saline conditions. Photosynthetica 2015, 53, 410–418. [Google Scholar] [CrossRef]
- Demidchik, V.; Straltsova, D.; Medvedev, S.S.; Pozhvanov, G.A.; Sokolik, A.; Yurin, V. Stress-induced electrolyte leakage: The role of K+-permeable channels and involvement in programmed cell death and metabolic adjustment. J. Exp. Bot. 2014, 65, 1259–1270. [Google Scholar] [CrossRef]
- Niu, T.; Zhang, T.; Qiao, Y.; Wen, P.; Zhai, G.; Liu, E.; Al-Bakre, D.A.; Al-Harbi, M.S.; Gao, X.; Yang, X. Glycine betaine mitigates drought stress-induced oxidative damage in pears. PLoS ONE 2021, 16, e0251389. [Google Scholar] [CrossRef] [PubMed]
- Prakash, V.; Singh, V.P.; Tripathi, D.K.; Sharma, S.; Corpas, F.J. Nitric oxide (NO) and salicylic acid (SA): A framework for their relationship in plant development under abiotic stress. Plant Biol. 2021, 23, 39–49. [Google Scholar] [CrossRef] [PubMed]
- Xi, J.J.; Chen, H.Y.; Bai, W.P.; Yang, R.C.; Yang, P.Z.; Chen, R.J.; Hu, T.M.; Wang, S.M. Sodium-related adaptations to drought: New insights from the xerophyte plant Zygophyllum xanthoxylum. Front. Plant Sci. 2018, 9, 1678. [Google Scholar] [CrossRef] [PubMed]
- Chen, S.D.; Wang, B.; Cao, D.; Cao, G.; Leng, H.; Li, L.; Yin, L.; Shan, X.; Deng, X. Genotypic variation in growth and physiological response to drought stress and re-watering reveals the critical role of recovery in drought adaptation in Maize seedlings. Front. Plant Sci. 2016, 6, 1241. [Google Scholar] [CrossRef] [PubMed]
- Luo, Z.; Wu, X.; Xie, Y.; Chen, C. Alleviation of chilling injury and browning of postharvest bamboo shoot by salicylic acid treatment. J. Food Chem. 2012, 3, 456–461. [Google Scholar] [CrossRef]
- Eismann, A.I.; Reis, R.P.; Silva, A.F.; Cavalcanti, D.N. Ulva spp. carotenoids: Responses to environmental conditions. Algal Res. 2020, 48, 101916. [Google Scholar] [CrossRef]
- Belkadhi, A.; De-Haro, A.; Obregon, S.; Chaïbi, W.; Djebali, W. Exogenous salicylic acid protects phospholipids against cadmium stress in flax (Linum usitatissimum L.). Ecotoxicol. Environ. Saf. 2015, 120, 102–109. [Google Scholar] [CrossRef]
- Rocha, J.; Nitenberg, M.; Girard-Egrot, A.; Jouhet, J.; Maréchal, E.; Block, M.A.; Breton, C. Do galactolipid synthases play a key role in the biogenesis of chloroplast membranes of higher plants? Front. Plant Sci. 2018, 9, 126. [Google Scholar] [CrossRef]
- Belkhadi, L.A.; Hediji, H.; Abbes, Z.; Nouairi, I.; Barhoumi, Z.; Zarrouk, M.; Chaıbi, W.; Djebali, W. Effects of exogenous salicylic acid pre-treatment on cadmium toxicity and leaf lipid content in Linum usitatissimum. Ecotoxicol. Environ. Saf. 2010, 73, 1004–1101. [Google Scholar] [CrossRef] [PubMed]
- Aires, E.S.; Ferraz, A.K.L.; Carvalho, B.L.; Teixeira, F.P.; Putti, F.F.; Souza, E.P.; Rodrigues, J.D.; Ono, E.O. Foliar application of salicylic acid to mitigate water stress in tomato. Plants 2022, 11, 1775. [Google Scholar] [CrossRef] [PubMed]
- Grigorova, B.; Vassileva, V.; Klimchuk, D.; Vaseva, I.; Demirevska, K.; Feller, U. Drought, High Temperature, and Their Combination Affect Ultrastructure of Chloroplasts and Mitochondria in Wheat (Triticum aestivum L.) Leaves. J. Plant Interact. 2012, 7, 204–213. [Google Scholar] [CrossRef]
- Tan, K.Y.; Zhou, G.S.; Ren, S.X. Response of leaf dark respiration of winter wheat to changes in CO2 concentration and temperature. Chin. Sci. Bull. 2013, 58, 1795–1800. [Google Scholar] [CrossRef][Green Version]
- Janda, T.; Gondor, O.K.; Yordanova, R.; Szalai, G.; Pál, M. Salicylic acid and photosynthesis: Signaling and effects. Acta Physiol. Plant. 2014, 36, 2537–2546. [Google Scholar] [CrossRef]
- He, W.; Yan, K.; Zhang, Y.; Bian, L.; Mei, H.; Han, G. Contrasting photosynthesis, photoinhibition and oxidative damage in honeysuckle (Lonicera japonica Thunb.) under iso-osmotic salt and drought stresses. Environ. Exp. Bot. 2021, 182, 104313. [Google Scholar] [CrossRef]
- Golkar, P.; Taghizadeh, M.; Yousefian, Z. The effects of chitosan and salicylic acid on elicitation of secondary metabolites and antioxidant activity of safflower under in vitro salinity stress. Plant Cell Tiss. Organ Cult. 2019, 137, 575–585. [Google Scholar] [CrossRef]
- Ali, B. Salicylic acid: An efficient elicitor of secondary metabolite production in plants. Biocat. Agric. Biotech. 2021, 31, 101884. [Google Scholar] [CrossRef]
- Bettaieb, I.; Zakhama, N.; Wannes, W.A.; Kchouk, M.E.; Marzouk, B. Water deficit effects on Salvia officinalis fatty acids and essential oils composition. Sci. Hortic. 2009, 120, 271–275. [Google Scholar] [CrossRef]
- Islam, M.; Srivastava, A.; Kumar, S.; Verma, N.K. Chemical and pharmacological properties of Foeniculum vulgare Mill: A review. World J. Pharm. Res. 2021, 7, 48–56. [Google Scholar]
- Cross, J.H.; Byler, R.C.; Cassidy, R.F.; Silverstein, R.M.; Greenblatt, R.E.; Burkholder, W.E.; Levinson, A.R.; Levinson, H.Z. Porapak-Q collection of pheromone components and isolation of (Z)-and (E)-14-methyl-8-hexadecenal, sex pheromone components, from the females of four species of Trogoderma (Coleoptera: Dermestidae). J. Chem. Ecol. 1976, 2, 457–468. [Google Scholar] [CrossRef]
- Mori, K. Pheromone synthesis. Part 240: Cross-metathesis with Grubbs I (but not Grubbs II) catalyst for the synthesis of (R)-trogodermal (14-methyl-8-hexadecenal) to study the optical rotatory powers of compounds with a terminal sec-butyl group. Tetrahedron 2009, 65, 3900–3909. [Google Scholar] [CrossRef]
- Morrison, W.R.; Grosdidier, R.F.; Arthur, F.H.; Myers, S.W.; Domingue, M.J. Attraction, arrestment, and preference by immature Trogoderma variabile and Trogoderma granarium to food and pheromonal stimuli. J. Pest. Sci. 2020, 93, 135–147. [Google Scholar] [CrossRef]






Disclaimer/Publisher’s Note: The statements, opinions and data contained in all publications are solely those of the individual author(s) and contributor(s) and not of MDPI and/or the editor(s). MDPI and/or the editor(s) disclaim responsibility for any injury to people or property resulting from any ideas, methods, instructions or products referred to in the content. |
© 2024 by the authors. Licensee MDPI, Basel, Switzerland. This article is an open access article distributed under the terms and conditions of the Creative Commons Attribution (CC BY) license (https://creativecommons.org/licenses/by/4.0/).
Share and Cite
Santos, S.K.d.; Gomes, D.d.S.; Soares, V.d.A.; Dantas, E.F.O.; de Oliveira, A.F.P.; Gusmão, M.H.A.; de Matos, E.M.; Souza, T.; Viccini, L.F.; Grazul, R.M.; et al. Salicylic Acid and Water Stress: Effects on Morphophysiology and Essential Oil Profile of Eryngium foetidum. Metabolites 2024, 14, 241. https://doi.org/10.3390/metabo14040241
Santos SKd, Gomes DdS, Soares VdA, Dantas EFO, de Oliveira AFP, Gusmão MHA, de Matos EM, Souza T, Viccini LF, Grazul RM, et al. Salicylic Acid and Water Stress: Effects on Morphophysiology and Essential Oil Profile of Eryngium foetidum. Metabolites. 2024; 14(4):241. https://doi.org/10.3390/metabo14040241
Chicago/Turabian StyleSantos, Sabrina Kelly dos, Daniel da Silva Gomes, Vanessa de Azevedo Soares, Estephanni Fernanda Oliveira Dantas, Ana Flávia Pellegrini de Oliveira, Moises Henrique Almeida Gusmão, Elyabe Monteiro de Matos, Tancredo Souza, Lyderson Facio Viccini, Richard Michael Grazul, and et al. 2024. "Salicylic Acid and Water Stress: Effects on Morphophysiology and Essential Oil Profile of Eryngium foetidum" Metabolites 14, no. 4: 241. https://doi.org/10.3390/metabo14040241
APA StyleSantos, S. K. d., Gomes, D. d. S., Soares, V. d. A., Dantas, E. F. O., de Oliveira, A. F. P., Gusmão, M. H. A., de Matos, E. M., Souza, T., Viccini, L. F., Grazul, R. M., Henschel, J. M., & Batista, D. S. (2024). Salicylic Acid and Water Stress: Effects on Morphophysiology and Essential Oil Profile of Eryngium foetidum. Metabolites, 14(4), 241. https://doi.org/10.3390/metabo14040241

