Melatonin Combined with Wax Treatment Enhances Tolerance to Chilling Injury in Red Bell Pepper
Abstract
1. Introduction
2. Materials and Methods
2.1. Plant Material and Growing Conditions
2.2. Melatonin Concentration
2.3. Combined Treatment of Melatonin and Commercial Wax
2.4. Incidence of Chilling Injury (CI)
2.5. Weight Loss
2.6. Respiration Rate
2.7. Surface Color
2.8. Firmness
2.9. Trolox Equivalent Antioxidant Capacity (TEAC)
2.10. Proline Content
2.11. Statistical Analysis
3. Results and Discussion
3.1. Melatonin Effectiveness and Concentration Selection
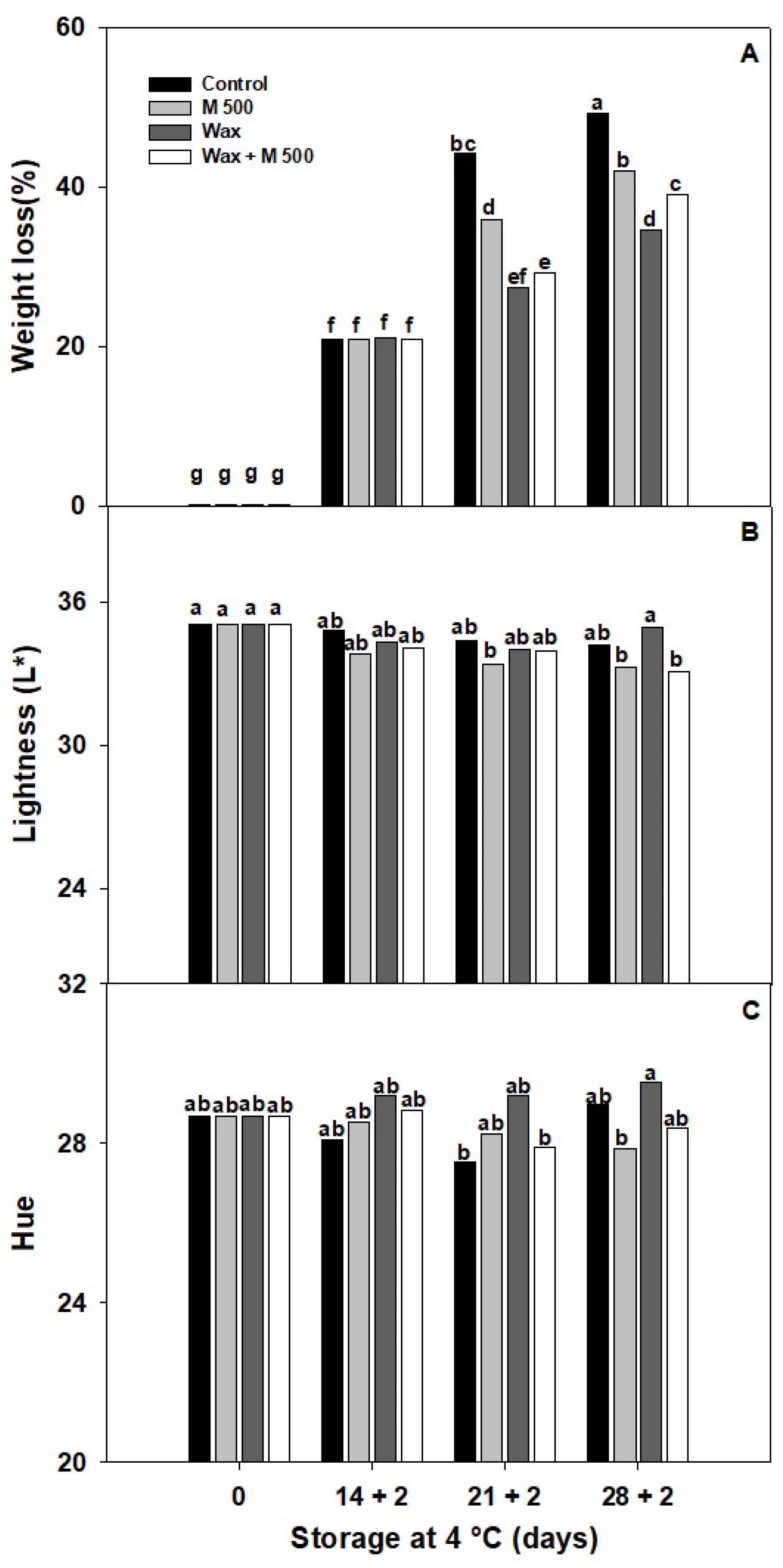
3.2. Effect of Melatonin and Wax Used Alone or as Combined Treatment on Red Pepper CI Incidence
3.3. Effect of Melatonin and Wax Combined Treatment on Chilled Red Pepper TEAC and Proline Content
4. Conclusions
Author Contributions
Funding
Institutional Review Board Statement
Informed Consent Statement
Data Availability Statement
Acknowledgments
Conflicts of Interest
References
- Singletary, K. Red pepper: Overview of potential health benefits. Nutr. Today 2011, 46, 33–47. [Google Scholar] [CrossRef]
- Kong, X.M.; Ge, W.Y.; Wei, B.D.; Zhou, Q.; Zhou, X.; Zhao, Y.B.; Ji, S.J. Melatonin ameliorates chilling injury in green bell peppers during storage by regulating membrane lipid metabolism and antioxidant capacity. Postharvest Biol. Technol. 2020, 170, 111315. [Google Scholar] [CrossRef]
- Purvis, A.C. Diphenylamine reduces chilling injury of green bell pepper fruit. Postharvest Biol. Technol. 2002, 25, 41–48. [Google Scholar] [CrossRef]
- Zhang, W.; Jiang, H.; Cao, J.; Jiang, W. Advances in biochemical mechanisms and control technologies to treat chilling injury in postharvest fruits and vegetables. Trends Food Sci. Technol. 2021, 113, 355–365. [Google Scholar] [CrossRef]
- Li, P.; Zheng, X.; Liu, Y.; Zhu, Y. Pre-storage application of oxalic acid alleviates chilling injury in mango fruit by modulating proline metabolism and energy status under chilling stress. Food Chem. 2014, 142, 72–78. [Google Scholar] [CrossRef] [PubMed]
- Madebo, M.P.; Luo, S.M.; Li, W.A.N.G.; Zheng, Y.H.; Peng, J.I.N. Melatonin treatment induces chilling tolerance by regulating the contents of polyamine, γ-aminobutyric acid, and proline in cucumber fruit. J. Integr. Agric. 2021, 20, 3060–3074. [Google Scholar] [CrossRef]
- Ali, S.; Nawaz, A.; Naz, S.; Ali, M.; Ejaz, S.; Azam, M.; Razzaq, K. Exogenous melatonin mitigates chilling injury in zucchini fruit by enhancing antioxidant system activity, promoting endogenous proline and GABA accumulation, and preserving cell wall stability. Postharvest Biol. Technol. 2023, 204, 112445. [Google Scholar] [CrossRef]
- González-Aguilar, G.A.; Gayosso, L.; Cruz, R.; Fortiz, J.; Báez, R.; Wang, C.Y. Polyamines induced by hot water treatments reduce chilling injury and decay in pepper fruit. Postharvest Biol. Technol. 2000, 18, 19–26. [Google Scholar] [CrossRef]
- Wang, Y.; Gao, L.; Wang, Q.; Zuo, J. Low temperature conditioning combined with methyl jasmonate can reduce chilling injury in bell peppers. Sci. Hortic. 2019, 243, 434–439. [Google Scholar] [CrossRef]
- Wang, X.; Yuan, S.; Shi, J.; Zhao, Y.; Lu, H.; Jiang, X.; Lv, J.; Xu, X.; Zuo, J.; Wang, Q. Hydroxypropyl cellulose reduces chilling injury in green bell pepper (Capsicum annuum L.) by regulating the activity and gene expression of enzymes involved in antioxidant and membrane lipid metabolism. Sci. Hortic. 2023, 312, 111884. [Google Scholar] [CrossRef]
- Riga, P.; Medina, S.; García-Flores, L.A.; Gil-Izquierdo, Á. Melatonin content of pepper and tomato fruits: Effects of cultivar and solar radiation. Food Chem. 2014, 156, 347–352. [Google Scholar] [CrossRef] [PubMed]
- Wang, S.Y.; Shi, X.C.; Wang, R.; Wang, H.L.; Liu, F.; Laborda, P. Melatonin in fruit production and postharvest preservation: A review. Food Chem. 2020, 320, 126642. [Google Scholar] [CrossRef] [PubMed]
- Arabia, A.; Muñoz, P.; Pallarés, N.; Munné-Bosch, S. Experimental approaches in studying active biomolecules modulating fruit ripening: Melatonin as a case study. Plant Physiol. 2023, 192, 1747–1767. [Google Scholar] [CrossRef] [PubMed]
- Sati, H.; Khandelwal, A.; Pareek, S. Effect of exogenous melatonin in fruit postharvest, crosstalk with hormones, and defense mechanism for oxidative stress management. Food Front. 2023, 4, 233–261. [Google Scholar] [CrossRef]
- Cao, S.; Song, C.; Shao, J.; Bian, K.; Chen, W.; Yang, Z. Exogenous melatonin treatment increases chilling tolerance and induces a defense response in harvested peach fruit during cold storage. J. Agric. Food Chem. 2016, 64, 5215–5222. [Google Scholar] [CrossRef] [PubMed]
- Gao, H.; Zhang, Z.K.; Chai, H.K.; Cheng, N.; Yang, Y.; Wang, D.N.; Cao, W. Melatonin treatment delays postharvest senescence and regulates reactive oxygen species metabolism in peach fruit. Postharvest Biol. Technol. 2016, 118, 103–110. [Google Scholar] [CrossRef]
- Aghdam, M.S.; Luo, Z.; Jannatizadeh, A.; Sheikh-Assadi, M.; Sharafi, Y.; Farmani, B.; Razavi, F. Employing exogenous melatonin application confers chilling tolerance in tomato fruits by upregulating ZAT2/6/12 giving rise to promoting endogenous polyamines, proline, and nitric oxide accumulation by triggering arginine pathway activity. Food Chem. 2019, 275, 549–556. [Google Scholar] [CrossRef]
- Lim, C.S.; Kang, S.M.; Cho, J.L.; Gross, K.C.; Woolf, A.B. Bell pepper (Capsicum annuum L.) fruits are susceptible to chilling injury at the breaker stage of ripeness. HortScience 2007, 42, 1659–1664. [Google Scholar] [CrossRef]
- Lin, W.C.; Hall, J.W.; Saltveit, M.E. Ripening stage affects the chilling sensitivity of greenhouse-grown peppers. J. Am. Soc. Hortic. Sci. 1993, 118, 791–795. [Google Scholar] [CrossRef]
- Bauer, S.; Schulte, E.; Thier, H.P. Composition of the surface waxes from bell pepper and eggplant. Eur. Food Res. Technol. 2005, 220, 5–10. [Google Scholar] [CrossRef]
- Miranda, M.; Marilene De Mori, M.; Spricigo, P.; Pilon, L.; Mitsuyuki, M.; Correa, D.; Ferreira, M. Carnauba wax nanoemulsion applied as an edible coating on fresh tomato for postharvest quality evaluation. Heliyon 2022, 8, e09803. [Google Scholar] [CrossRef] [PubMed]
- de Freitas, C.; de Sousa PSoares, D.; da Silva, J.; Benjamin, S.; Guedes, M. Carnauba wax uses in food—A review. Food Chem. 2019, 291, 38–48. [Google Scholar] [CrossRef] [PubMed]
- Singh, S.; Khemariya, P.; Rai, A.; Rai, A.C.; Koley, T.K.; Singh, B. Carnauba wax-based edible coating enhances shelf-life and retain quality of eggplant (Solanum melongena L.) fruits. LWT-Food Sci. Technol. 2016, 74, 420–426. [Google Scholar] [CrossRef]
- Devi, L.S.; Kalita, S.; Mukherjee, A.; Kumar, S. Carnauba wax-based composite films and coatings: Recent advancement in prolonging postharvest shelf-life of fruits and vegetables. Trends Food Sci. Technol. 2022, 129, 296–305. [Google Scholar] [CrossRef]
- Arumugam, V.; Balamohan, T. Wax coating affects postharvest shelf-life of non-cooled sweet pepper. JOSAC 2014, 23, 98–101. [Google Scholar]
- Barman, K.; Asrey, R.; Pal, R. Putrescine and carnauba wax pretreatments alleviate chilling injury, enhance shelf life and preserve pomegranate fruit quality during cold storage. Sci. Hortic. 2021, 130, 795–800. [Google Scholar] [CrossRef]
- Nazoori, F.; ZamaniBahramabadi, E.; Rafie, A.; Mirdehghan, S. Combined application of gamma-aminobutyric acid and carnauba wax as edible coating on pomegranates in cold storage. J. Agric. Sci. Technol. 2022, 24, 591–602. [Google Scholar]
- Lavado, R.S.; Rodríguez, M.B.; Scheiner, J.D.; Taboada, M.A.; Rubio, G.; Alvarez, R.; Alconada, M.; Zubillaga, M.S. Heavy metals in soils of Argentina: Comparison between urban and agricultural soils. Commun. Soil. Sci. Plant Anal. 1998, 29, 1913–1917. [Google Scholar] [CrossRef]
- Rodoni, L.M.; Zaro, M.J.; Hasperué, J.H.; Concellón, A.; Vicente, A.R. UV-C treatments extend the shelf life of fresh-cut peppers by delaying pectin solubilization and inducing local accumulation of phenolics. LWT-Food Sci. Technol. 2015, 63, 408–414. [Google Scholar] [CrossRef]
- Ábrahám, E.; Hourton-Cabassa, C.; Erdei, L.; Szabados, L. Methods for determination of proline in plants. In Plant Stress Tolerance. Methods in Molecular Biology; Sunkar, R., Ed.; Humana Press: Totowa, NJ, USA, 2010; Volume 639, pp. 317–331. [Google Scholar] [CrossRef]
- Njie, A.; Zhang, W.E.; Dong, X.; Lu, C.; Pan, X.; Liu, Q. Effect of melatonin on fruit quality via decay inhibition and enhancement of antioxidative enzyme activities and genes expression of two mango cultivars during cold storage. Foods 2022, 11, 3209. [Google Scholar] [CrossRef]
- Andrade-Cuvi, M.J.; Vicente, A.R.; Concellón, A.; Chaves, A.R. Changes in red pepper antioxidants as affected by UV-C treatments and storage at chilling temperatures. LWT-Food Sci. Technol. 2011, 44, 1666–1671. [Google Scholar] [CrossRef]
- Gonçalves, F.P.; Martins, M.C.; Junior, G.J.S.; Lourenço, S.A.; Amorim, L. Postharvest control of brown rot and Rhizopus rot in plums and nectarines using carnauba wax. Postharvest Biol. Technol. 2010, 58, 211–217. [Google Scholar] [CrossRef]
- Germano, T.A.; Aguiar, R.P.; Bastos MS, R.; Moreira, R.A.; Ayala-Zavala, J.F.; de Miranda, M.R.A. Galactomannan-carnauba wax coating improves the antioxidant status and reduces the chilling injury of P‘aluma’ guava. Postharvest Biol. Technol. 2019, 149, 9–17. [Google Scholar] [CrossRef]
- López-Angulo, G.; López-Velázquez, J.G.; Vega-García, M.O.; Bojórquez-Acosta, W.D.; Delgado-Vargas, F.; Ayón-Reyna, L.E.; López-López, M.E. Antioxidant enzymatic changes in bell pepper fruit associated with chilling injury tolerance induced by hot water. J. Food Biochem. 2021, 45, e13966. [Google Scholar] [CrossRef]
- Ochoa-Reyes, E.; Tirado-Gallegos, J.M.; Tafolla-Arellano, J.C.; Buenrostro-Figueroa, J.; Rojas, R.; Ochoa-Chantaca, A. Chapter 1: Edible active coatings for foods as a key factor for shelf-life prolongation. In Handbook of Research on Food Science and Technology; Chávez-González, M.L., Buenrostro-Figueroa, J.J., Aguilar, C.N., Eds.; Apple Academic Press: Oakville, ON, Canada, 2021; Volume 1, pp. 1–42. [Google Scholar] [CrossRef]
- Sharma, S.; Krishna, H.; Barman, K.; Kole, B.; Singh, S.K.; Behera, T.K. Synergistic effect of polyamine treatment and chitosan coating on postharvest senescence and enzyme activity of bell pepper (Capsicum annuum L.) fruit. S. Afr. J. Bot. 2022, 151, 175–184. [Google Scholar] [CrossRef]
- Yao, W.; Xu, T.; Farooq, S.U.; Jin, P.; Zheng, Y. Glycine betaine treatment alleviates chilling injury in zucchini fruit (Cucurbita pepo L.) by modulating antioxidant enzymes and membrane fatty acid metabolism. Postharvest Biol. Technol. 2018, 144, 20–28. [Google Scholar] [CrossRef]
- Mirshekari, A.; Madani, B.; Yahia, E.M.; Golding, J.B.; Vand, S.H. Postharvest melatonin treatment reduces chilling injury in sapota fruit. J. Sci. Food Agric. 2020, 100, 1897–1903. [Google Scholar] [CrossRef]







Disclaimer/Publisher’s Note: The statements, opinions and data contained in all publications are solely those of the individual author(s) and contributor(s) and not of MDPI and/or the editor(s). MDPI and/or the editor(s) disclaim responsibility for any injury to people or property resulting from any ideas, methods, instructions or products referred to in the content. |
© 2024 by the authors. Licensee MDPI, Basel, Switzerland. This article is an open access article distributed under the terms and conditions of the Creative Commons Attribution (CC BY) license (https://creativecommons.org/licenses/by/4.0/).
Share and Cite
Darré, M.; Zaro, M.J.; Guijarro-Fuertes, M.; Careri, L.; Concellón, A. Melatonin Combined with Wax Treatment Enhances Tolerance to Chilling Injury in Red Bell Pepper. Metabolites 2024, 14, 330. https://doi.org/10.3390/metabo14060330
Darré M, Zaro MJ, Guijarro-Fuertes M, Careri L, Concellón A. Melatonin Combined with Wax Treatment Enhances Tolerance to Chilling Injury in Red Bell Pepper. Metabolites. 2024; 14(6):330. https://doi.org/10.3390/metabo14060330
Chicago/Turabian StyleDarré, Magalí, María José Zaro, Michelle Guijarro-Fuertes, Ludmila Careri, and Analia Concellón. 2024. "Melatonin Combined with Wax Treatment Enhances Tolerance to Chilling Injury in Red Bell Pepper" Metabolites 14, no. 6: 330. https://doi.org/10.3390/metabo14060330
APA StyleDarré, M., Zaro, M. J., Guijarro-Fuertes, M., Careri, L., & Concellón, A. (2024). Melatonin Combined with Wax Treatment Enhances Tolerance to Chilling Injury in Red Bell Pepper. Metabolites, 14(6), 330. https://doi.org/10.3390/metabo14060330

