Sources and Radiations of the Fermi Bubbles
Abstract
1. Introduction: Sources of the Fermi Bubbles
2. Structure of the Fermi Bubbles
3. Envelope Disruption by Rayleigh–Taylor Instability
4. Energy and Spectrum of Hydrodynamic Fluctuations
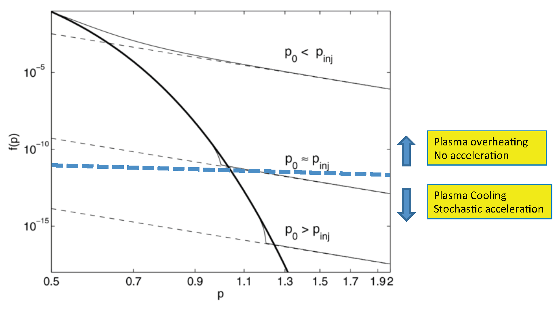
5. Particle Acceleration by Alfvén Fluctuations and the Lighthill Radiation
6. Spectrum of MHD Turbulence in the Fermi Bubble Envelope
7. Leptonic and Hadronic Origins of the Radiation from the Fermi Bubbles
7.1. Origin of Gamma-Ray Emission from the Fermi Bubbles
- Leptonic model: The rate of gamma-ray production by relativistic electrons interacting with low-energy interstellar photons is (see [72])where is the inverse Compton (IC) cross-section (see, e.g., [78]). The parameters of the CR electron spectrum were derived from the observed gamma-ray emission from the envelope: , TeV. The required total energy in electrons above 1 GeV is erg.
- Hadronic model: Gamma rays can be produced by proton–proton (p-p) collisions. For calculations of the emission from p-p collision, Ackermann et al. [72] used the p-p cross-section from Kamae et al. [79]. The rate of gamma-ray production by p-p collisions isThe required spectrum of CR protons is expressed as , where TeV. The total required energy in CR protons above 1 GeV is erg for .
7.2. Microwave Origin in Cosmic-Ray Electron Model
7.3. Microwave Origin in Cosmic-Ray Proton Model
8. Number of Relativistic Electrons in the Fermi Bubble Envelope
8.1. Electrons Accelerated from Background Plasma in the Fermi Bubbles
8.2. Cosmic-Ray Electrons Re-Accelerated in the Fermi Bubbles
9. Cosmic-Ray Protons Escaping from the Fermi Bubbles into the Galaxy

Escape of Cosmic-Ray Protons Re-Accelerated by Supersonic Turbulence Inside the Fermi Bubbles
10. Summary
- The key point of the bubbles is a huge energy release of ∼ erg in the Galactic Center, whose origin is still unknown.
- We assume that the energy source of the bubbles could be a routine tidal disruption of stars near the central supermassive black hole. Each disruption of a star releases a total energy about ∼ erg. For a typical rate of stellar capture (once every years), this can provide a luminosity ≳ erg from the Galactic Center. These processes of stellar tidal disruption events can be directly observed in some external galaxies.
- Hydrodynamic models can describe the envelope of bubble propagation in the galactic halo where the gas distribution is nonuniform. The distribution is commonly characterized by an exponential or a power-law function. The observed shape of the Fermi bubbles seems to suggest an exponential halo. If the velocity of the top of the envelope prevails over the sound velocity in the halo, then the envelope may reach the size of 10 kpc.
- The surface of the top of the envelope propagates with acceleration in the halo. As a result, Rayleigh–Taylor instabilities are developed and they will destroy the bubble envelope at the top. We expect excitation of hydrodynamic instabilities and generation of hydrodynamic turbulence there.
- Turbulent motions act as a source of waves, which are manifested as a hierarchy of eddies, and act as a direct source of energy to the MHD waves (via the Lighthill mechanism). For small Mach numbers, a small fraction of the power radiated by the turbulent motion is Afvén waves.
- The coefficients of the spatial and momentum diffusion of the system of nonlinear kinetic equations of the cosmic-ray distribution function are derived from the spectrum of MHD waves. These coefficients were calculated analytically, but we were unable to estimate the numerical values for the bubbles because of the lack of available observations on the wave spectrum.
- We roughly estimated the spatial and momentum diffusion of cosmic rays in the envelope from the data of gamma-ray and microwave radiations from the Fermi bubbles.
- We concluded that the observed gamma-ray and microwave radiations from the envelope of the Fermi Bubbles are generated by cosmic-ray electrons only. The contribution of cosmic-ray protons can be neglected.
- We prefer the model that GeV cosmic-ray electrons from supernova remnants in the galactic disk are re-accelerated in situ in the bubbles to TeV energy range. With the help of a divergent flow, this can reproduce the data of both gamma-ray and microwave observations.
- On the other hand, high-energy cosmic ray protons can escape the bubbles and reach the Earth. Cosmic ray protons from supernova remnants can be accelerated in the bubbles by supersonic turbulence to higher energies. We found that the escaped high-energy protons that arrive the Earth can reproduce the spectrum and flux of cosmic rays in the range ∼ eV (from the ‘knee’ to the ‘ankle’), observed near Earth.
Author Contributions
Funding
Data Availability Statement
Acknowledgments
Conflicts of Interest
References
- Predehl, P.; Sunyaev, R.A.; Becker, W.; Brunner, H.; Burenin, R.; Bykov, A.; Cherepashchuk, A.; Chugai, N.; Churazov, E.; Doroshenko, V.; et al. Detection of large-scale X-ray bubbles in the Milky Way halo. Nature 2020, 588, 227–231. [Google Scholar] [CrossRef] [PubMed]
- Su, M.; Slatyer, T.R.; Finkbeiner, D.P. Giant Gamma-ray Bubbles from Fermi-LAT: Active Galactic Nucleus Activity or Bipolar Galactic Wind? Astrophys. J. 2010, 724, 1044–1082. [Google Scholar] [CrossRef]
- Planck Collaboration. Planck intermediate results. IX. Detection of the Galactic haze with Planck. Astron. Astrophys. 2013, 554, A139. [Google Scholar] [CrossRef]
- Sofue, Y. Propagation of magnetohydrodynamic waves from the galactic center. Origin of the 3-kpc arm and the North Polar Spur. Astron. Astrophys. 1977, 60, 327–336. [Google Scholar]
- Bland-Hawthorn, J.; Cohen, M. The Large-Scale Bipolar Wind in the Galactic Center. Astrophys. J. 2003, 582, 246–256. [Google Scholar] [CrossRef]
- Mou, G.; Wu, J.; Sofue, Y. Cosmic-ray electrons and the magnetic field of the North Polar Spur. Astron. Astrophys. 2023, 676, L3. [Google Scholar] [CrossRef]
- Sarkar, K.C. The Fermi/eROSITA bubbles: A look into the nuclear outflow from the Milky Way. Astron. Astrophys. Rev. 2024, 32, 1. [Google Scholar] [CrossRef]
- Nayakshin, S.; Zubovas, K. Sgr A* envelope explosion and the young stars in the centre of the Milky Way. Astrophys. J. Lett. 2018, 478, L127–L131. [Google Scholar] [CrossRef]
- Yang, H.-Y.K.; Ruszkowski, M.; Ricker, P.M.; Zweibel, E.; Lee, D. The Fermi Bubbles: Supersonic Active Galactic Nucleus Jets with Anisotropic Cosmic-Ray Diffusion. Astrophys. J. 2012, 761, 185. [Google Scholar] [CrossRef]
- Yang, H.-Y.K.; Ruszkowski, M.; Zweibel, E.G. Fermi and eROSITA bubbles as relics of the past activity of the Galaxy’s central black hole. Nat. Astron. 2022, 6, 584–591. [Google Scholar] [CrossRef]
- Cheng, K.-S.; Chernyshov, D.O.; Dogiel, V.A. Annihilation Emission from the Galactic Black Hole. Astrophys. J. 2006, 645, 1138–1151. [Google Scholar] [CrossRef][Green Version]
- Cheng, K.-S.; Chernyshov, D.O.; Dogiel, V.A. Diffuse gamma-ray emission from the Galactic center—A multiple energy injection model. Astron. Astrophys. 2007, 473, 351–356. [Google Scholar] [CrossRef][Green Version]
- Cheng, K.-S.; Chernyshov, D.O.; Dogiel, V.A.; Ko, C.M.; Ip, W.-H. Origin of the Fermi Bubble. Astrophys. J. Lett. 2011, 731, L17. [Google Scholar] [CrossRef]
- Zubovas, K.; Nayakshin, S. Fermi bubbles in the Milky Way: The closest AGN feedback laboratory courtesy of Sgr A*? Astrophys. J. Lett. 2012, 424, 666–683. [Google Scholar] [CrossRef]
- Mertsch, P.; Sarkar, S. Fermi Gamma-Ray “Bubbles” from Stochastic Acceleration of Electrons. Phys. Rev. Lett. 2011, 107, 091101. [Google Scholar] [CrossRef]
- Ko, C.M.; Breitschwerdt, D.; Chernyshov, D.O.; Cheng, H.; Dai, L.; Dogiel, V.A. Analytical and Numerical Studies of Central Galactic Outflows Powered by Tidal Disruption Events: A Model for the Fermi Bubbles? Astrophys. J. 2020, 904, 46. [Google Scholar] [CrossRef]
- Zhang, H.S.; Ponti, G.; Carretti, E.; Liu, R.Y.; Morris, M.R.; Haverkorn, M.; Locatelli, N.; Zheng, X.; Aharonian, F.; Zhang, H.M.; et al. A magnetized Galactic halo from inner Galaxy outflows. Nat. Astron. 2024. [Google Scholar] [CrossRef]
- Genzel, R.; Eisenhauer, F.; Gillessen, S. The Galactic Center massive black hole and nuclear star cluster. Rev. Mod. Phys. 2010, 82, 3121–3195. [Google Scholar] [CrossRef]
- Ghez, A.M.; Salim, S.; Hornstein, S.D.; Tanner, A.; Lu, J.R.; Morris, M.; Becklin, E.E.; Duchêne, G. Stellar Orbits around the Galactic Center Black Hole. Astrophys. J. 2005, 620, 744–757. [Google Scholar] [CrossRef]
- Gillessen, S.; Eisenhauer, F.; Trippe, S.; Alexander, T.; Genzel, R.; Martins, F.; Ott, T. Monitoring Stellar Orbits around the Massive Black Hole in the Galactic Center. Astrophys. J. 2009, 692, 1075–1109. [Google Scholar] [CrossRef]
- Rees, M.J. Tidal disruption of stars by black holes of 106–108 solar masses in nearby galaxies. Nature 1988, 333, 523–528. [Google Scholar] [CrossRef]
- Burrows, D.N.; Kennea, J.A.; Ghisellini, G.; Mangano, V.; Zhang, B.; Page, K.L.; Eracleous, M.; Romano, P.; Sakamoto, T.; Falcone, A.D.; et al. Relativistic jet activity from the tidal disruption of a star by a massive black hole. Nature 2011, 476, 421–424. [Google Scholar] [CrossRef] [PubMed]
- Dai, L.; McKinney, J.C.; Roth, N.; Ramirez-Ruiz, E.; Miller, M.C. A Unified Model for Tidal Disruption Events. Astrophys. J. Lett. 2018, 859, L20. [Google Scholar] [CrossRef]
- Donato, D.; Cenko, S.B.; Covino, S.; Troja, E.; Pursimo, T.; Cheung, C.C.; Fox, O.; Kutyrev, A.; Campana, S.; Fugazza, D.; et al. A Tidal Disruption Event in a nearby Galaxy Hosting an Intermediate Mass Black Hole. Astrophys. J. 2014, 781, 59. [Google Scholar] [CrossRef]
- Goodwin, A.J.; Alexander, K.D.; Miller-Jones, J.C.A.; Bietenholz, M.F.; van Velzen, S.; Anderson, G.E.; Berger, E.; Cendes, Y.; Chornock, R.; Coppejans, D.L.; et al. A radio-emitting outflow produced by the tidal disruption event AT2020vwl. Astrophys. J. Lett. 2023, 522, 5084–5097. [Google Scholar] [CrossRef]
- Kara, E.; Miller, J.M.; Reynolds, C.; Dai, L. Relativistic reverberation in the accretion flow of a tidal disruption event. Nature 2016, 535, 388–390. [Google Scholar] [CrossRef] [PubMed]
- Lin, D.; Guillochon, J.; Komossa, S.; Ramirez-Ruiz, E.; Irwin, J.A.; Maksym, W.P.; Grupe, D.; Godet, O.; Webb, N.A.; Barret, D.; et al. A likely decade-long sustained tidal disruption event. Nat. Astron. 2017, 1, 0033. [Google Scholar] [CrossRef]
- Lu, W.; Kumar, P. On the Missing Energy Puzzle of Tidal Disruption Events. Astrophys. J. 2018, 865, 128. [Google Scholar] [CrossRef]
- Metzger, B.D.; Stone, N.C. A bright year for tidal disruptions. Astrophys. J. Lett. 2016, 461, 948–966. [Google Scholar] [CrossRef]
- Mockler, B.; Ramirez-Ruiz, E. An Energy Inventory of Tidal Disruption Events. Astrophys. J. 2021, 906, 101. [Google Scholar] [CrossRef]
- Piran, T.; Svirski, G.; Krolik, J.; Cheng, R.M.; Shiokawa, H. Disk Formation Versus Disk Accretion—What Powers Tidal Disruption Events? Astrophys. J. 2015, 806, 164. [Google Scholar] [CrossRef]
- Zauderer, B.A.; Berger, E.; Soderberg, A.M.; Loeb, A.; Narayan, R.; Frail, D.A.; Petitpas, G.R.; Brunthaler, A.; Chornock, R.; Carpenter, J.M.; et al. Birth of a relativistic outflow in the unusual γ-ray transient Swift J164449.3+573451. Nature 2011, 476, 425–428. [Google Scholar] [CrossRef]
- Dai, L.; Lodato, G.; Cheng, R. The Physics of Accretion Discs, Winds and Jets in Tidal Disruption Events. Space Sci. Rev. 2021, 217, 12. [Google Scholar] [CrossRef]
- Gezari, S. Tidal Disruption Events. Annu. Rev. Astron. Astrophys. 2021, 59, 21–58. [Google Scholar] [CrossRef]
- Hung, T.; Gezari, S.; Cenko, S.B.; van Velzen, S.; Blagorodnova, N.; Yan, L.; Kulkarni, S.R.; Lunnan, R.; Kupfer, T.; Leloudas, G.; et al. Sifting for Sapphires: Systematic Selection of Tidal Disruption Events in iPTF. Astrophys. J. Suppl. Ser. 2018, 238, 15. [Google Scholar] [CrossRef] [PubMed]
- Sarkar, K.C.; Mondal, S.; Sharma, P.; Piran, T. Misaligned Jets from Sgr A* and the Origin of Fermi/eROSITA Bubbles. Astrophys. J. 2023, 951, 36. [Google Scholar] [CrossRef]
- Stone, N.C.; Metzger, B.D. Rates of stellar tidal disruption as probes of the supermassive black hole mass function. Astrophys. J. Lett. 2016, 455, 859–883. [Google Scholar] [CrossRef]
- Miller, M.J.; Bregman, J.N. The Interaction of the Fermi Bubbles with the Milky Way’s Hot Gas Halo. Astrophys. J. 2016, 829, 9. [Google Scholar] [CrossRef]
- Ponti, G.; Hofmann, F.; Churazov, E.; Morris, M.R.; Haberl, F.; Nandra, K.; Terrier, R.; Clavel, M.; Goldwurm, A. An X-ray chimney extending hundreds of parsecs above and below the Galactic Centre. Nature 2019, 567, 347–350. [Google Scholar] [CrossRef]
- Ponti, G.; Morris, M.R.; Churazov, E.; Heywood, I.; Fender, R.P. The Galactic center chimneys: The base of the multiphase outflow of the Milky Way. Astron. Astrophys. 2021, 646, A66. [Google Scholar] [CrossRef]
- Heywood, I.; Camilo, F.; Cotton, W.D.; Yusef-Zadeh, F.; Abbott, T.D.; Adam, R.M.; Aldera, M.A.; Bauermeister, E.F.; Booth, R.S.; Botha, A.G.; et al. Inflation of 430-parsec bipolar radio bubbles in the Galactic Centre by an energetic event. Nature 2019, 573, 235–237. [Google Scholar] [CrossRef] [PubMed]
- Levan, A.J.; Tanvir, N.R.; Cenko, S.B.; Perley, D.A.; Wiersema, K.; Bloom, J.S.; Fruchter, A.S.; Postigo, A.D.U.; O’Brien, P.T.; Butler, N.; et al. An Extremely Luminous Panchromatic Outburst from the Nucleus of a Distant Galaxy. Science 2011, 333, 199–202. [Google Scholar] [CrossRef] [PubMed]
- Cheng, K.-S.; Chernyshov, D.O.; Dogiel, V.A.; Kong, A.K.H.; Ko, C.M. X-Ray Afterglow of Swift J1644+57: A Compton Echo? Astrophys. J. Lett. 2016, 816, L10. [Google Scholar] [CrossRef]
- Nakashima, S.; Koyama, K.; Wang, Q.D.; Enokiya, R. X-Ray Observation of a Magnetized Hot Gas Outflow in the Galactic Center Region. Astrophys. J. 2019, 875, 32. [Google Scholar] [CrossRef]
- Sedov, L.I. Similarity and Dimensional Methods in Mechanics; Academic Press: New York, NY, USA, 1959. [Google Scholar]
- Kompaneets, A.S. A point explosion in the uniform atmosphere. Akad. Nauk SSSR Dokl. 1960, 130, 1001–1003. (In Russian) [Google Scholar]
- Bisnovatyi-Kogan, G.S.; Silich, S.A. Shock-wave propagation in the nonuniform interstellar medium. Rev. Mod. Phys. 1995, 67, 661–712. [Google Scholar] [CrossRef]
- Zel’dovich, Y.B.; Raizer, Y.P. Physics of Shock Waves and High-Temperature Hydrodynamic Phenomena; Academic Press: New York, NY, USA, 1967. [Google Scholar]
- Kahn, F.D. The Galactic Fountain. In Proceedings of the Local Bubble and Beyond Lyman-Spitzer-Colloquium, IAU Colluquium 166, Garching, Germany, 21–25 April 1997; Breitschwerdt, D., Freyberg, M.J., Trümper, J., Eds.; Lecture Notes in Physics. Springer: Berlin/Heidelberg, Germany, 1998; Volume 506, pp. 483–494. [Google Scholar]
- Baumgartner, V.; Breitschwerdt, D. Superbubble evolution in disk galaxies. I. Study of blow-out by analytical models. Astron. Astrophys. 2013, 557, A140. [Google Scholar] [CrossRef]
- Schulreich, M.; Breitschwerdt, D. The time-dependent Rayleigh-Taylor instability in interstellar shells and supershells, including the eROSITA bubbles. Astrophys. J. Lett. 2022, 509, 716–737. [Google Scholar] [CrossRef]
- Chandrasekhar, S. Hydrodynamic and Hydromagnetic Stability; International Series of Monographs on Physics; Oxford University Press: Oxford, UK, 1961. [Google Scholar]
- Landau, L.D.; Lifshitz, E.M. Fluid Mechanics, 2nd ed.; Pergamon Press: Oxford, UK, 1987. [Google Scholar]
- Eilek, J.A.; Hendriksen, R.N. The electron energy spectrum produced in radio sources by turbulent, resonant acceleration. Astrophys. J. 1984, 277, 820–831. [Google Scholar] [CrossRef]
- Brunetti, G.; Blasi, P.; Cassano, R.; Gabici, S. Alfvénic reacceleration of relativistic particles in galaxy clusters: MHD waves, leptons and hadrons. Astrophys. J. Lett. 2004, 350, 1174–1194. [Google Scholar] [CrossRef][Green Version]
- Hendriksen, R.N.; Bridle, A.H.; Chan, K.L. Synchrotron brightness distribution of turbulent radio jets. Astrophys. J. 1982, 257, 63–74. [Google Scholar] [CrossRef]
- Blasi, P. Stochastic Acceleration and Nonthermal Radiation in Clusters of Galaxies. Astrophys. J. 2000, 532, L9–L12. [Google Scholar] [CrossRef][Green Version]
- Brunetti, G.; Setti, G.; Feretti, L.; Giovannini, G. Particle reacceleration in the Coma cluster: Radio properties and hard X-ray emission. Astrophys. J. Lett. 2001, 320, 365–378. [Google Scholar] [CrossRef]
- Fujita, Y.; Takizawa, M.; Sarazin, C.L. Nonthermal Emissions from Particles Accelerated by Turbulence in Clusters of Galaxies. Astrophys. J. 2003, 584, 190–202. [Google Scholar] [CrossRef]
- Stein, R.F. Stellar chromospheric and coronal heating by magnetohydrodynamic waves. Astrophys. J. 1981, 246, 966–971. [Google Scholar] [CrossRef]
- Lighthill, M.J. On Sound Generated Aerodynamically. I. General Theory. Proc. R. Soc. Lond. A 1952, 211, 564–587. [Google Scholar]
- Kulsrud, R. Effect of Magnetic Fields on Generation of Noise by Isotropic Turbulence. Astrophys. J. 1955, 121, 461–480. [Google Scholar] [CrossRef]
- Parker, E.N. A Mechanism for Magnetic Enhancement of Sound-Wave Generation and the Dynamical Origin of Spicules. Astrophys. J. 1964, 140, 1170–1173. [Google Scholar] [CrossRef]
- Kato, S. Generation of Alfvén Waves from Turbulence. Publ. Astron. Soc. Jpn. 1968, 20, 59–72. [Google Scholar]
- Brunetti, G.; Blasi, P. Alfvénic reacceleration of relativistic particles in galaxy clusters in the presence of secondary electrons and positrons. Mon. Not. R. Astron. Soc. 2005, 363, 1173–1187. [Google Scholar] [CrossRef]
- Miller, J.A.; Roberts, D.A. Stochastic Proton Acceleration by Cascading Alfvén Waves in Impulsive Solar Flares. Astrophys. J. 1995, 452, 912–932. [Google Scholar] [CrossRef]
- Eilek, J.A. Particle reacceleration in radio galaxies. Astrophys. J. 1979, 230, 373–385. [Google Scholar] [CrossRef]
- Norman, C.A.; Ferrara, A. The Turbulent Interstellar Medium: Generalizing to a Scale-dependent Phase Continuum. Astrophys. J. 1996, 467, 280–291. [Google Scholar] [CrossRef]
- Ptuskin, V.S.; Moskalenko, I.V.; Jones, F.C.; Strong, A.W.; Zirakashvili, V.N. Dissipation of Magnetohydrodynamic Waves on Energetic Particles: Impact on Interstellar Turbulence and Cosmic-Ray Transport. Astrophys. J. 2006, 642, 902–916. [Google Scholar] [CrossRef]
- Berezinskii, V.S.; Bulanov, S.V.; Dogiel, V.A.; Ginzburg, V.L.; Ptuskin, V.S. Astrophysics of Cosmic Rays; Ginzburg, V.L., Ed.; North Holland: Amsterdam, The Netherlands, 1990. [Google Scholar]
- Cheng, K.-S.; Chernyshov, D.O.; Dogiel, V.A.; Ko, C.M. Multi-wavelength Emission from the Fermi Bubbles. I. Stochastic Acceleration from Background Plasma. Astrophys. J. 2014, 790, 23. [Google Scholar] [CrossRef]
- Ackermann, M.; Albert, A.; Atwood, W.B.; Baldini, L.; Ballet, J.; Barbiellini, G.; Bastieri, D.; Bellazzini, R.; Bissaldi, E.; Blandford, R.D.; et al. The Spectrum and Morphology of the Fermi Bubbles. Astrophys. J. 2014, 793, 64. [Google Scholar] [CrossRef]
- Moskalenko, I.V.; Strong, A.W. Production and Propagation of Cosmic-Ray Positrons and Electrons. Astrophys. J. 1998, 493, 694–707. [Google Scholar] [CrossRef]
- Porter, T.A.; Moskalenko, I.V.; Strong, A.W.; Orlando, E.; Bouchet, L. Inverse Compton Origin of the Hard X-Ray and Soft Gamma-Ray Emission from the Galactic Ridge. Astrophys. J. 2008, 682, 400–407. [Google Scholar] [CrossRef]
- Vladimirov, A.E.; Digel, S.W.; Johannesson, G.; Michelson, P.F.; Moskalenko, I.V.; Nolan, P.L.; Orlando, E.; Porter, T.A.; Strong, A.W. GALPROP WebRun: An internet-based service for calculating galactic cosmic ray propagation and associated photon emissions. Comput. Phys. Commun. 2011, 182, 1156–1161. [Google Scholar] [CrossRef]
- Bykov, A.M.; Toptygin, I.N. Particle kinetics in highly turbulent plasmas (renormalization and self-consistent field methods). Physics-Uspekhi 1993, 36, 1020–1052. [Google Scholar] [CrossRef]
- Ackermann, M.; Ajello, M.; Atwood, W.B.; Baldini, L.; Ballet, J.; Barbiellini, G.; Bastieri, D.; Bechtol, K.; Bellazzini, R.; Berenji, B.; et al. Fermi-LAT Observations of the Diffuse γ-Ray Emission: Implications for Cosmic Rays and the Interstellar Medium. Astrophys. J. 2012, 750, 3. [Google Scholar] [CrossRef]
- Moskalenko, I.V.; Porter, T.A.; Strong, A.W. Attenuation of Very High Energy Gamma Rays by the Milky Way Interstellar Radiation Field. Astrophys. J. 2006, 640, L155–L158. [Google Scholar] [CrossRef]
- Kamae, T.; Karlsson, N.; Mizuno, T.; Abe, T.; Koi, T. Parameterization of γ, e±, and Neutrino Spectra Produced by p-p Interaction in Astronomical Environments. Astrophys. J. 2006, 647, 692–708. [Google Scholar] [CrossRef]
- Ginzburg, V.L.; Syrovatskii, S.I. The Origin of Cosmic Rays; Macmillan: New York, NY, USA, 1964. [Google Scholar]
- Ginzburg, V.L.; Syrovatskii, S.I. Cosmic Magnetobremsstrahlung (Synchrotron Radiation). Annu. Rev. Astron. Astrophys. 1965, 3, 297–350. [Google Scholar] [CrossRef]
- Cheng, K.-S.; Chernyshov, D.O.; Dogiel, V.A.; Ko, C.M. Multi-wavelength Emission from the Fermi Bubble. II. Secondary Electrons and the Hadronic Model of the Bubble. Astrophys. J. 2015, 799, 112. [Google Scholar] [CrossRef]
- Ginzburg, V.L. Applications of Electrodynamics in Theoretical Physics and Astrophysics; Gordon and Breach: New York, NY, USA, 1989. [Google Scholar]
- Hayakawa, S. Cosmic Ray Physics; Wiley-Interscience: New York, NY, USA, 1969. [Google Scholar]
- Dorfi, E.A.; Breitschwerdt, D. Time-dependent galactic winds. I. Structure and evolution of galactic outflows accompanied by cosmic ray acceleration. Astron. Astrophys. 2012, 540, A77. [Google Scholar] [CrossRef][Green Version]
- Peretti, E.; Morlino, G.; Blasi, P.; Cristofari, P. Particle acceleration and multimessenger emission from starburst-driven galactic winds. Astrophys. J. Lett. 2022, 511, 1336–1348. [Google Scholar] [CrossRef]
- Axford, W.I.; Leer, E.; Skadron, G. The Acceleration of Cosmic Rays by Shock Waves. In Proceedings of the 15th International Cosmic Ray Conference, 15th ICRC, Plovdiv, Bulgaria, 13–26 August 1977; Volume 11, pp. 132–137. [Google Scholar]
- Bell, A.R. The acceleration of cosmic rays in shock fronts—I. Astrophys. J. Lett. 1978, 182, 147–156. [Google Scholar] [CrossRef]
- Blandford, R.D.; Ostriker, J.P. Particle acceleration by astrophysical shocks. Astrophys. J. 1978, 221, L29–L32. [Google Scholar] [CrossRef]
- Krymskii, G.F. Mechanism of regular acceleration on the front of the shock wave. Akad. Nauk SSSR Dokl. 1977, 234, 1306–1307. (In Russian) [Google Scholar]
- Lifshitz, E.M.; Pitaevskii˘, L.P. Physical Kinetics; Pergamon Press: Oxford, UK, 1981. [Google Scholar]
- Gurevich, A.V. On the amount of accelerated particles in an ionized gas under various accelerating mechanisms. Sov. Phys JETP 1960, 38, 1150–1157. [Google Scholar]
- Dogiel, V.A. On the thermal origin of the hard X-ray emission from the Coma cluster. Astron. Astrophys. 2000, 357, 66–74. [Google Scholar]
- Dogiel, V.A.; Colafrancesco, S.; Ko, C.M.; Kuo, P.H.; Hwang, C.Y.; Ip, W.-H.; Birkinshaw, M.; Prokhorov, D.A. In-situ acceleration of subrelativistic electrons in the Coma halo and the halo’s influence on the Sunyaev-Zeldovich effect. Astron. Astrophys. 2007, 461, 433–443. [Google Scholar] [CrossRef][Green Version]
- Liang, H.; Dogiel, V.A.; Birkinshaw, M. The origin of radio haloes and non-thermal emission in clusters of galaxies. Astrophys. J. Lett. 2002, 337, 567–577. [Google Scholar] [CrossRef][Green Version]
- Dogiel, V.A.; Inoue, H.; Masai, K.; Schönfelder, V.; Strong, A.W. The Origin of Diffuse X-Ray Emission from the Galactic Ridge. I. Energy Output of Particle Sources. Astrophys. J. 2002, 581, 1061–1070. [Google Scholar] [CrossRef]
- Petrosian, V. On the Nonthermal Emission and Acceleration of Electrons in Coma and Other Clusters of Galaxies. Astrophys. J. 2001, 557, 560–572. [Google Scholar] [CrossRef]
- Wolfe, B.; Melia, F. Covariant Kinetic Theory with an Application to the Coma Cluster. Astrophys. J. 2006, 638, 125–137. [Google Scholar] [CrossRef]
- Petrosian, V.; East, W.E. Heating and Acceleration of Intracluster Medium Electrons by Turbulence. Astrophys. J. 2008, 682, 175–185. [Google Scholar] [CrossRef][Green Version]
- Chernyshov, D.O.; Dogiel, V.A.; Ko, C.M. Stochastic Particle Acceleration and the Problem of Background Plasma Overheating. Astrophys. J. 2012, 759, 113. [Google Scholar] [CrossRef]
- Cheng, K.-S.; Chernyshov, D.O.; Dogiel, V.A.; Ko, C.M. Multi-wavelength Emission from the Fermi Bubble. III. Stochastic (Fermi) Re-acceleration of Relativistic Electrons Emitted by SNRs. Astrophys. J. 2015, 804, 135. [Google Scholar] [CrossRef]
- Blasi, P.; Amato, E.; Serpico, P.D. Spectral Breaks as a Signature of Cosmic Ray Induced Turbulence in the Galaxy. Phys. Rev. Lett. 2012, 109, 061101. [Google Scholar] [CrossRef]
- Bloemen, J.B.G.M.; Dogiel, V.A.; Dorman, V.L.; Ptuskin, V.S. Galactic diffusion and wind models of cosmic-ray transport. I. Insight from CR composition studies and gamma-ray observations. Astron. Astrophys. 1993, 267, 372–387. [Google Scholar]
- Breitschwerdt, D.; McKenzie, J.F.; Völk, H.J. Galactic winds. I. Cosmic ray and wave-driven winds from the galaxy. Astron. Astrophys. 1991, 245, 79–98. [Google Scholar]
- Breitschwerdt, D.; Dogiel, V.A.; Völk, H.J. The gradient of diffuse γ-ray emission in the Galaxy. Astron. Astrophys. 2002, 385, 216–238. [Google Scholar] [CrossRef]
- Dogiel, V.A.; Ivlev, A.V.; Chernyshov, D.O.; Ko, C.M. Formation of the Cosmic-Ray Halo: Galactic Spectrum of Primary Cosmic Rays. Astrophys. J. 2020, 903, 135. [Google Scholar] [CrossRef]
- Swordy, S. The Energy Spectra and Anisotropies of Cosmic Rays. Space Sci. Rev. 2001, 99, 85–94. [Google Scholar] [CrossRef]
- Greisen, K. End to the Cosmic-Ray Spectrum? Phys. Rev. Lett. 1966, 16, 748–750. [Google Scholar] [CrossRef]
- Zatsepin, G.T.; Kuz’min, V.A. Upper Limit of the Spectrum of Cosmic Rays. JETP Lett. 1966, 4, 78–80. [Google Scholar]
- Axford, W.I. The Origins of High-Energy Cosmic Rays. ApJS 1994, 90, 937–944. [Google Scholar] [CrossRef]
- Lagage, P.O.; Cesarsky, C.J. The maximum energy of cosmic rays accelerated by supernova shocks. Astron. Astrophys. 1983, 125, 249–257. [Google Scholar]
- Berezhko, E.G.; Völk, H.J. Kinetic theory of cosmic ray and gamma-ray production in supernova remnants expanding into wind bubbles. Astron. Astrophys. 2000, 357, 283–300. [Google Scholar]
- Bell, A.R. Turbulent amplification of magnetic field and diffusive shock acceleration of cosmic rays. Astrophys. J. Lett. 2004, 353, 550–558. [Google Scholar] [CrossRef]
- Bykov, A.M.; Osipov, S.M.; Toptygin, I.N. Long-wavelength MHD instability in the prefront of collisionless shocks with accelerated particles. Astron. Lett. 2009, 35, 555–563. [Google Scholar] [CrossRef]
- Bell, A.R. Cosmic ray acceleration. Astropart. Phys. 2013, 43, 56–70. [Google Scholar] [CrossRef]
- Cheng, K.-S.; Chernyshov, D.O.; Dogiel, V.A.; Ko, C.M.; Ip, W.-H.; Wang, Y. The Fermi Bubble as a Source of Cosmic Rays in the Energy Range >1015 eV. Astrophys. J. 2012, 746, 116. [Google Scholar] [CrossRef]
- Jokipii, J.R.; Morfill, G.E. On the origin of high-energy cosmic rays. Astrophys. J. 1985, 290, L1–L4. [Google Scholar] [CrossRef]
- Völk, H.J.; Zirakashvili, V.N. Cosmic ray acceleration by spiral shocks in the galactic wind. Astron. Astrophys. 2004, 417, 807–817. [Google Scholar] [CrossRef]
- Zirakashvili, V.N.; Ptuskin, V.S.; Rogovaya, S.I. Galactic origin of ultrahigh energy cosmic rays. Phys. Rev. D 2024, 110, 023016. [Google Scholar] [CrossRef]
- Dogiel, V.; Cheng, K.S.; Chernyshov, D.; Bamba, A.; Ichimura, A.; Inoue, H.; Ko, C.M.; Kokubun, M.; Maeda, Y.; Mitsuda, K.; et al. Origin of 6.4 keV Line Emission from Molecular Clouds in the Galactic Center. Publ. Astron. Soc. Jpn. 2009, 61, 901. [Google Scholar] [CrossRef]
- Dogiel, V.A.; Chernyshov, D.O.; Yuasa, T.; Prokhorov, D.; Cheng, K.S.; Bamba, A.; Inoue, H.; Ko, C.M.; Kokubun, M.; Maeda, Y.; et al. Origin of Thermal and Non-Thermal Hard X-Ray Emission from the Galactic Center. Publ. Astron. Soc. Jpn. 2009, 61, 1099–1105. [Google Scholar] [CrossRef]
- Dogiel, V.A.; Tatischeff, V.; Cheng, K.S.; Chernyshov, D.O.; Ko, C.M.; Ip, W.H. Nuclear interaction gamma-ray lines from the Galactic center region. Astron. Astrophys. 2009, 508, 1–7. [Google Scholar] [CrossRef][Green Version]
- Bykov, A.M.; Fleishman, G.D. On non-thermal particle generation in superbubbles. Astrophys. J. Lett. 1992, 255, 269–275. [Google Scholar] [CrossRef]
- Bulanov, S.V.; Dogel, V.A.; Syrovatskij, S.I. The Electron Component of Cosmic Rays. I. Spatial Distribution and Energy Spectrum. Cosmic Res. 1972, 10, 478. [Google Scholar]
- Bulanov, S.V.; Dogel, V.A. The Influence of the Energy Dependence of the Diffusion Coefficient on the Spectrum of the Electron Component of Cosmic Rays and the Radio Background Radiation of the Galaxy. Astrophys. Space Sci. 1974, 29, 305–318. [Google Scholar] [CrossRef]
- Strong, A.W.; Moskalenko, I.V.; Ptuskin, V.S. Cosmic-Ray Propagation and Interactions in the Galaxy. Annu. Rev. Nucl. Part. Sci. 2007, 57, 285–327. [Google Scholar] [CrossRef]














Disclaimer/Publisher’s Note: The statements, opinions and data contained in all publications are solely those of the individual author(s) and contributor(s) and not of MDPI and/or the editor(s). MDPI and/or the editor(s) disclaim responsibility for any injury to people or property resulting from any ideas, methods, instructions or products referred to in the content. |
© 2024 by the authors. Licensee MDPI, Basel, Switzerland. This article is an open access article distributed under the terms and conditions of the Creative Commons Attribution (CC BY) license (https://creativecommons.org/licenses/by/4.0/).
Share and Cite
Dogiel, V.A.; Ko, C.-M. Sources and Radiations of the Fermi Bubbles. Universe 2024, 10, 424. https://doi.org/10.3390/universe10110424
Dogiel VA, Ko C-M. Sources and Radiations of the Fermi Bubbles. Universe. 2024; 10(11):424. https://doi.org/10.3390/universe10110424
Chicago/Turabian StyleDogiel, Vladimir A., and Chung-Ming Ko. 2024. "Sources and Radiations of the Fermi Bubbles" Universe 10, no. 11: 424. https://doi.org/10.3390/universe10110424
APA StyleDogiel, V. A., & Ko, C.-M. (2024). Sources and Radiations of the Fermi Bubbles. Universe, 10(11), 424. https://doi.org/10.3390/universe10110424
