An Isotropic Cosmological Model with Aetherically Active Axionic Dark Matter
Abstract
1. Introduction
2. The Formalism of the Extended Einstein–Aether–Axion Theory
2.1. The Extended Action Functional and Auxiliary Quantities
2.2. Master Equations of the Model
2.2.1. Master Equations for the Unit Vector Field
2.2.2. Master Equation for the Axion Field
2.2.3. Master Equations for the Gravitational Field
3. Application to the Spatially Isotropic Homogeneous Cosmological Model
3.1. The Spacetime Platform, Reduced Master Equations, and Their Solutions
3.1.1. Geometric Aspects
3.1.2. Solution to the Equations for the Vector Field
3.1.3. First Integral of the Reduced Equation for the Axion Field
3.1.4. Key Equations for the Gravity Field
3.2. Modeling of the Guiding Function of the First Type
3.2.1. First Analytically Solvable Submodel
3.2.2. Second Analytically Solvable Submodel
3.2.3. Third Analytically Solvable Submodel
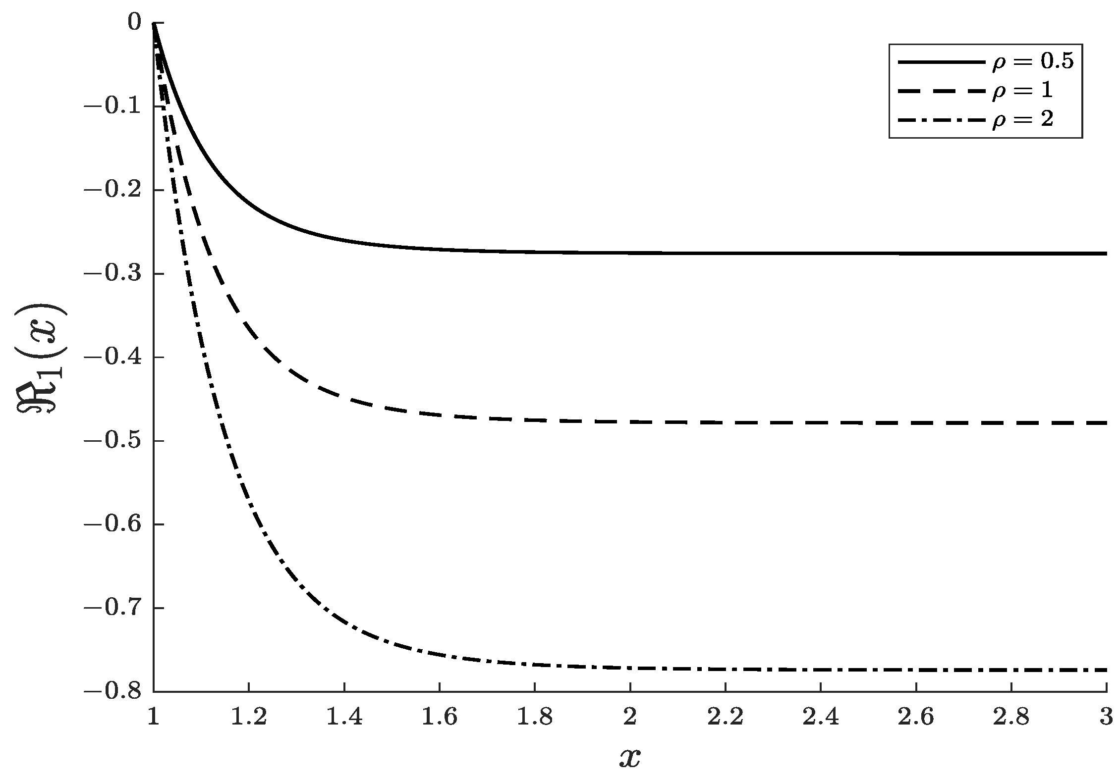
3.2.4. Special Case
4. Discussion and Conclusions
Author Contributions
Funding
Data Availability Statement
Acknowledgments
Conflicts of Interest
References
- Abbott, B.P. et al. [LIGO Scientific Collaboration and Virgo Collaboration] Observation of Gravitational Waves from a Binary Black Hole Merger. Phys. Rev. Lett. 2016, 116, 061102. [Google Scholar] [CrossRef]
- Abbott, R.; Abbott, T.D.; Abraham, S.; Acernese, F.; Ackley, K.; Adams, C.; Adhikari, R.X.; Adya, V.B.; Affeldt, C.; Agathos, M.; et al. GW190521: A Binary Black Hole Merger with a Total Mass of 150 M(Sun). Phys. Rev. Lett. 2020, 125, 101102. [Google Scholar] [CrossRef]
- Pechetti, R.; Seth, A.; Kamann, S.; Caldwell, N.; Strader, J.; den Brok, M.; Luetzgendorf, N.; Neumayer, N.; Voggel, K. Detection of a 100,000 M(Sun) black hole in M31’s Most Massive Globular Cluster: A Tidally Stripped Nucleus. Astrophys. J. 2022, 924, 48. [Google Scholar] [CrossRef]
- Diego, J.M.; Sun, B.; Yan, H.; Furtak, L.J.; Zackrisson, E.; Dai, L.; Kelly, P.; Nonino, M.; Adams, N.; Meena, A.K.; et al. JWST’s PEARLS: Mothra, a new kaiju star at z=2.091 extremely magnified by MACS0416, and implications for dark matter models. Astron. Astrophys. 2023, 679, A31. [Google Scholar] [CrossRef]
- Spilker, J.S.; Phadke, K.A.; Aravena, M.; Archipley, M.; Bayliss, M.B.; Birkin, J.E.; Béthermin, M.; Burgoyne, J.; Cathey, J.; Chapman, S.C.; et al. Spatial variations in aromatic hydrocarbon emission in a dust-rich galaxy. Nature 2023, 618, 708–711. [Google Scholar] [CrossRef]
- James Webb Telescope Discoveries Tracker. Available online: https://www.jameswebbdiscovery.com/ (accessed on 2 February 2024).
- Calderon, R.; L’Huillier, B.; Polarski, D.; Shafieloo, A.; Starobinsky, A.A. Joint reconstructions of growth and expansion histories from stage-IV surveys with minimal assumptions: Dark Energy beyond? Phys. Rev. D 2022, 106, 083513. [Google Scholar] [CrossRef]
- Calderon, R.; L’Huillier, B.; Polarski, D.; Shafieloo, A.; Starobinsky, A.A. Joint reconstructions of growth and expansion histories from stage-IV surveys with minimal assumptions. II. Modified gravity and massive neutrinos. Phys. Rev. D 2023, 108, 023504. [Google Scholar] [CrossRef]
- Capozziello, S.; Nojiri, S.; Odintsov, S.D. Unified phantom cosmology: Inflation, dark energy and dark matter under the same standard. Phys. Lett. B 2006, 632, 597–604. [Google Scholar] [CrossRef]
- Sotiriou, T.P. Unification of inflation and cosmic acceleration in the Palatini formalism. Phys. Rev. D 2006, 73, 063515. [Google Scholar] [CrossRef]
- Nojiri, S.; Odintsov, S.D.; Oikonomou, V.K. Unifying inflation with early and late-time dark energy in F(R) gravity. Phys. Dark Universe 2020, 29, 100602. [Google Scholar] [CrossRef]
- Odintsov, S.D.; Oikonomou, V.K. Unification of inflation with dark energy in f(R) Gravity and axion dark matter. Phys. Rev. D 2019, 99, 104070. [Google Scholar] [CrossRef]
- Oikonomou, V.K. Unifying of inflation with early and late dark energy epochs in axion F(R) gravity. Phys. Rev. D 2021, 103, 044036. [Google Scholar] [CrossRef]
- Jacobson, T.; Mattingly, D. Gravity with a dynamical preferred frame. Phys. Rev. D 2001, 64, 024028. [Google Scholar] [CrossRef]
- Jacobson, T. Einstein-aether gravity: A status report. PoSQG-Ph 2007, 020, 020. [Google Scholar]
- Jacobson, T.; Mattingly, D. Einstein-aether waves. Phys. Rev. D 2004, 70, 024003. [Google Scholar] [CrossRef]
- Heinicke, C.; Baekler, P.; Hehl, F.W. Einstein-aether theory, violation of Lorentz invariance, and metric-affine gravity. Phys. Rev. D 2005, 72, 025012. [Google Scholar] [CrossRef]
- Balakin, A.B.; Shakirzyanov, A.F. Axionic extension of the Einstein-aether theory: How does dynamic aether regulate the state of axionic dark matter? Phys. Dark Universe 2019, 24, 100283. [Google Scholar] [CrossRef]
- Balakin, A.B.; Shakirzyanov, A.F. Is the axionic Dark Matter an equilibrium System? Universe 2020, 6, 192. [Google Scholar] [CrossRef]
- Balakin, A.B.; Ilin, A.S.; Shakirzyanov, A.F. Interaction of the Cosmic Dark Fluid with Dynamic Aether: Parametric Mechanism of Axion Generation in the Early Universe. Symmetry 2023, 15, 1824. [Google Scholar] [CrossRef]
- Balakin, A.B.; Efremova, A.O. Interaction of the axionic dark matter, dynamic aether, spinor and gravity fields as an origin of oscillations of the fermion effective mass. Eur. Phys. J. C 2021, 81, 674. [Google Scholar] [CrossRef]
- Balakin, A.B.; Efremova, A.O. Dynamic aether as a trigger for spontaneous spinorization in early Universe. Universe 2023, 9, 481. [Google Scholar] [CrossRef]
- Balakin, A.B.; Shakirzyanov, A.F. The extended Einstein-Maxwell-aether-axion theory: Effective metric as an instrument of the aetheric control over the axion dynamics. Gravit. Cosmol. 2024, 30, 57–67. [Google Scholar]
- Peccei, R.D.; Quinn, H.R. CP conservation in the presence of instantons. Phys. Rev. Lett. 1977, 38, 1440–1443. [Google Scholar] [CrossRef]
- Weinberg, S. A new light boson? Phys. Rev. Lett. 1978, 40, 223–226. [Google Scholar] [CrossRef]
- Wilczek, F. Problem of strong P and T invariance in the presence of instantons. Phys. Rev. Lett. 1978, 40, 279–282. [Google Scholar] [CrossRef]
- Ni, W.-T. Equivalence principles and electromagnetism. Phys. Rev. Lett. 1977, 38, 301–304. [Google Scholar] [CrossRef]
- Sikivie, P. Experimental tests of the “invisible” axion. Phys. Rev. Lett. 1983, 51, 1415–1417. [Google Scholar] [CrossRef]
- Wilczek, F. Two applications of axion electrodynamics. Phys. Rev. Lett. 1987, 58, 1799–1802. [Google Scholar] [CrossRef]
- Bertone, G.; Hooper, D.; Silk, J. Particle Dark Matter: Evidence, Candidates and Constraints. Phys. Rep. 2005, 405, 279–390. [Google Scholar] [CrossRef]
- Duffy, L.D.; van Bibber, K. Axions as dark matter particles. New J. Phys. 2009, 11, 105008. [Google Scholar] [CrossRef]
- Khlopov, M. Fundamentals of Cosmic Particle Physics; CISP-Springer: Cambridge, UK, 2012. [Google Scholar]
- Del Popolo, A. Nonbaryonic dark matter in cosmology. Int. J. Mod. Phys. D 2014, 23, 1430005. [Google Scholar] [CrossRef]
- Marsh, D.J.E. Axion cosmology. Phys. Rep. 2016, 643, 1–79. [Google Scholar] [CrossRef]
- Abbott, B.P. et al. [LIGO Scientific Collaboration, Virgo Collaboration, Fermi Gamma-Ray Burst Monitor, INTEGRAL] Gravitational Waves and Gamma-rays from a Binary Neutron Star Merger: GW170817 and GRB 170817A. Astrophys. J. Lett. 2017, 848, L13. [Google Scholar] [CrossRef]



Disclaimer/Publisher’s Note: The statements, opinions and data contained in all publications are solely those of the individual author(s) and contributor(s) and not of MDPI and/or the editor(s). MDPI and/or the editor(s) disclaim responsibility for any injury to people or property resulting from any ideas, methods, instructions or products referred to in the content. |
© 2024 by the authors. Licensee MDPI, Basel, Switzerland. This article is an open access article distributed under the terms and conditions of the Creative Commons Attribution (CC BY) license (https://creativecommons.org/licenses/by/4.0/).
Share and Cite
Balakin, A.; Shakirzyanov, A. An Isotropic Cosmological Model with Aetherically Active Axionic Dark Matter. Universe 2024, 10, 74. https://doi.org/10.3390/universe10020074
Balakin A, Shakirzyanov A. An Isotropic Cosmological Model with Aetherically Active Axionic Dark Matter. Universe. 2024; 10(2):74. https://doi.org/10.3390/universe10020074
Chicago/Turabian StyleBalakin, Alexander, and Amir Shakirzyanov. 2024. "An Isotropic Cosmological Model with Aetherically Active Axionic Dark Matter" Universe 10, no. 2: 74. https://doi.org/10.3390/universe10020074
APA StyleBalakin, A., & Shakirzyanov, A. (2024). An Isotropic Cosmological Model with Aetherically Active Axionic Dark Matter. Universe, 10(2), 74. https://doi.org/10.3390/universe10020074

