Scientific Highlights of the AGILE Gamma-ray Mission
Abstract
1. Introduction
2. The AGILE Mission
3. The Crab Nebula
4. Probes for Cosmic-Ray Acceleration
4.1. W28
4.2. W44
4.3. IC 433
5. The Cygnus Region
6. The Crazy Diamond 3C 454.3
7. High-Redshift Sources
7.1. 4C +71.07
7.2. PKS 1830−211
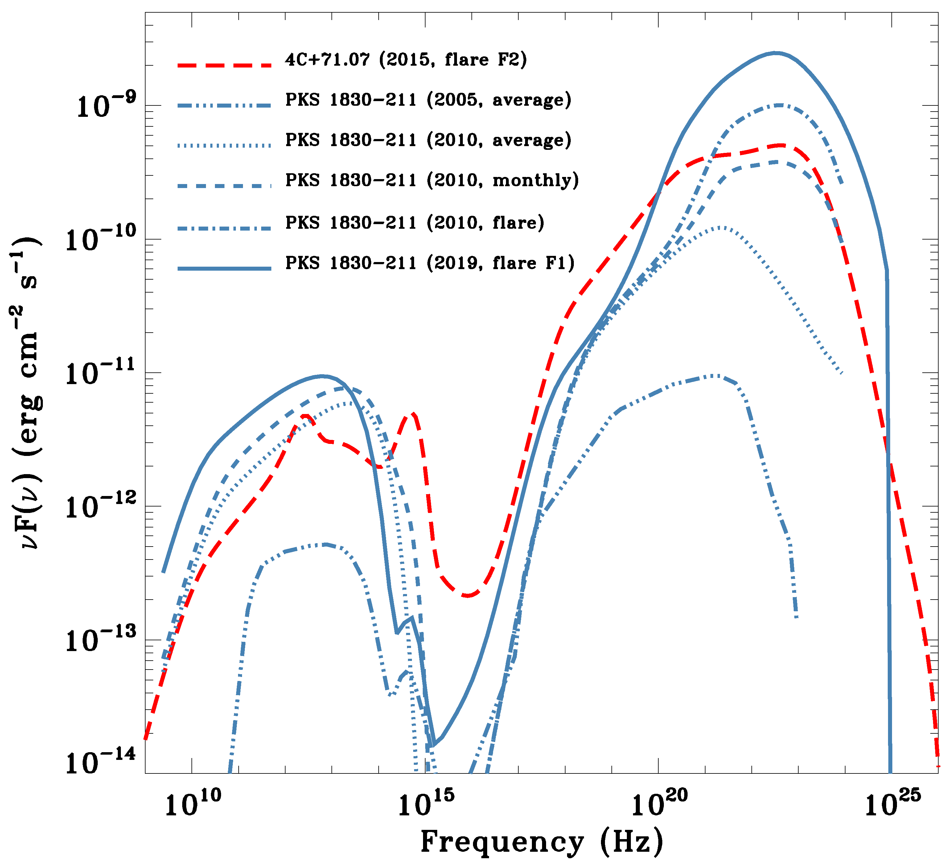
7.3. SED Comparison
8. From MeV to TeV
8.1. Search for MeV–GeV Counterparts of TeV Sources
8.2. The Multiwavelength View of TeV Sources: W Comae and Mrk 421

9. Gamma-ray Bursts and Multimessenger Astrophysics
9.1. The AGILE-GRID View of GRBs and the Exceptional GRB 221009A
9.2. AGILE and Other Transients
- AGILE and neutrinos: AGILE published results from follow-up observations of IceCube neutrinos range from the first (still unconfirmed) tentative discovery of a -ray precursor in 2017 [138] to the systematic search for transient -ray sources temporally and spatially coincident with ten high-energy neutrino IceCube events published up to August 2018 [139], and the AGILE detection of the flaring blazar TXS 0506+056 in 2017, following the most interesting neutrino event detected to date [140].
- AGILE and FRBs: FRBs are millisecond radio pulses originating from powerful sources of unknown origin at extragalactic distances. AGILE observations in a multiwavelength context provide important constraints on the prompt (millisecond and hundreds of millisecond timescales) emission in the sub-MeV–MeV range. AGILE also studied the persistent long timescale -ray emission above 30 MeV from repeating FRBs [141,142,143,144]. A breakthrough in FRB science happened in 2020, with the AGILE detection of an X-ray burst from the galactic magnetar SGR 1935+2154 [145], an important finding that supports magnetar models and sheds light on the understanding of the physical mechanism of FRBs.
10. The AGILE Legacy: The Catalogs
11. Conclusions
Author Contributions
Funding
Data Availability Statement
Acknowledgments
Conflicts of Interest
Abbreviations
| 3EG | third EGRET catalog |
| ACS | anticoincidence system |
| ADC | AGILE data center |
| AGILE | Astrorivelatore Gamma ad Immagini LEggero |
| AGN | active galactic nuclei |
| ASI | Agenzia spaziale Italiana |
| ATel | Astronomer’s Telegram |
| BH | black hole |
| C.L. | confidence limit |
| CLAGN | changing-look AGN |
| COSI | Compton spectrometer and imager |
| CR | cosmic ray |
| CsI | cesium iodide |
| CTAO | Čherenkov Telescope Array Observatory |
| EAS | extensive air shower |
| EC | external Compton |
| EGRET | Energetic Gamma Ray Experiment Telescope |
| FR | Fanaroff–Riley galaxies |
| FoV | field of view |
| FRB | fast radio burst |
| FSRQ | flat-spectrum radio quasar |
| FWHM | full-width half maximum |
| FWZI | full-width zero intensity |
| GASP | GLAST-AGILE Support Program |
| GCN | general coordinates network |
| GRB | gamma-ray burst |
| GRID | gamma-ray imaging detector |
| GW | gravitational wave |
| HBL | high-peaked BL Lacs |
| HE | high energy |
| HMXB | high-mass X-ray binary |
| IBL | intermediate-peaked BL Lacs |
| LAT | large area telescope |
| LBL | low-peaked BL Lacs |
| LST | large-sized telescope |
| LMXB | low-mass X-ray binary |
| MCAL | mini-calorimeter |
| MJD | Modified Julian Day |
| NS | neutron star |
| PI | principal investigator |
| PSR | pulsar |
| RTA | real-time analysis |
| SA | Super-AGILE |
| SED | spectral energy distribution |
| S/N | signal-to-noise |
| SNR | supernova remnant |
| SSC | synchrotron self-Compton |
| SSDC | space science data center |
| ST | silicon tracker |
| TGF | terrestrial gamma-ray flashes |
| WEBT | whole-earth blazar telescope |
| 1 | We do not discuss here the large number of balloon-based instruments. |
| 2 | http://agile.rm.iasf.cnr.it/ (accessed on 18 March 2024). |
| 3 | https://agile.ssdc.asi.it/ (accessed on 18 March 2024). |
| 4 | On 2009 November 4 the AGILE scientific operations were reconfigured following a malfunction of the unique rotation wheel. See, https://agile.asdc.asi.it/news.html#115 and https://agile.asdc.asi.it/news.html#117 (accessed on 18 March 2024). Since then, the satellite started operating in a controlled “spinning observing mode”, with the solar panels pointing at the Sun and the instrument axis sweeping the accessible sky with an angular speed of about 0.8 deg . In spinning mode AGILE was able to survey a large fraction (about 80%) of the sky each day. |
| 5 | We note that changing-look AGN, CLAGN, are sources changing from one type to another, and vice versa. |
| 6 | http://tevcat.uchicago.edu/ (accessed on 18 March 2024). |
| 7 | https://gcn.nasa.gov/ (accessed on 18 March 2024). |
| 8 | https://www.astronomerstelegram.org/ (accessed on 18 March 2024). |
| 9 | https://head.aas.org/rossi/rossi.recip.html#AB (accessed on 18 March 2024). |
References
- Kraushaar, W.L.; Clark, G.W. GAMMA RAY ASTRONOMY. Sci. Am. 1962, 206, 52–61. [Google Scholar] [CrossRef]
- Kraushaar, W.L.; Clark, G.W.; Garmire, G.P.; Borken, R.; Higbie, P.; Leong, V.; Thorsos, T. High-Energy Cosmic Gamma-ray Observations from the OSO-3 Satellite. Astrophys. J. 1972, 177, 341. [Google Scholar] [CrossRef]
- Fichtel, C.E.; Hartman, R.C.; Kniffen, D.A.; Thompson, D.J.; Bignami, G.F.; Ögelman, H.; Özel, M.E.; Tümer, T. High-energy gamma-ray results from the second Small Astronomy Satellite. Astrophys. J. 1975, 198, 163–182. [Google Scholar] [CrossRef]
- Swanenburg, B.N.; Bennett, K.; Bignami, G.F.; Buccheri, R.; Caraveo, P.; Hermsen, W.; Kanbach, G.; Lichti, G.G.; Masnou, J.L.; Mayer-Hasselwander, H.A.; et al. Second COS-B catalogue of high-energy gamma-ray sources. Astrophys. J. Lett. 1981, 243, L69–L73. [Google Scholar] [CrossRef]
- Bignami, G.F.; Caraveo, P.A. Geminga: Its Phenomenology, Its Fraternity, and Its Physics. Annu. Rev. Astron. Astrophys. 1996, 34, 331–382. [Google Scholar] [CrossRef]
- Kanbach, G.; Bertsch, D.L.; Fichtel, C.E.; Hartman, R.C.; Hunter, S.D.; Kniffen, D.A.; Hughlock, B.W.; Favale, A.; Hofstadter, R.; Hughes, E.B. The project EGRET (energetic gamma-ray experiment telescope) on NASA’s Gamma-ray Observatory GRO. Space Sci. Rev. 1989, 49, 69–84. [Google Scholar] [CrossRef]
- Hartman, R.C.; Bertsch, D.L.; Bloom, S.D.; Chen, A.W.; Deines-Jones, P.; Esposito, J.A.; Fichtel, C.E.; Friedlander, D.P.; Hunter, S.D.; McDonald, L.M.; et al. The Third EGRET Catalog of High-Energy Gamma-ray Sources. Astrophys. J. Suppl. Ser. 1999, 123, 79–202. [Google Scholar] [CrossRef]
- Vercellone, S.; Soldi, S.; Chen, A.W.; Tavani, M. On the duty-cycle of γ-ray blazars. Mon. Not. R. Astron. Soc. 2004, 353, 890–902. [Google Scholar] [CrossRef][Green Version]
- Tavani, M.; Barbiellini, G.; Argan, A.; Boffelli, F.; Bulgarelli, A.; Caraveo, P.; Cattaneo, P.W.; Chen, A.W.; Cocco, V.; Costa, E.; et al. The AGILE Mission. Astron. Astrophys. 2009, 502, 995–1013. [Google Scholar] [CrossRef]
- Tavani, M.; Addis, A.; Argan, A.; Antonelli, L.A.; Auricchio, N.; Barbiellini, G.; Baroncelli, L.; Basset, M.; Boffelli, F.; Bulgarelli, A.; et al. The AGILE satellite ceased operations and re-entered today into the atmosphere. Astron. Telegr. 2024, 16450, 1. [Google Scholar]
- Prest, M.; Barbiellini, G.; Bordignon, G.; Fedel, G.; Liello, F.; Longo, F.; Pontoni, C.; Vallazza, E. The AGILE silicon tracker: An innovative /γ-ray instrument for space. Nucl. Instruments Methods Phys. Res. 2003, 501, 280–287. [Google Scholar] [CrossRef]
- Feroci, M.; Costa, E.; Soffitta, P.; Del Monte, E.; di Persio, G.; Donnarumma, I.; Evangelista, Y.; Frutti, M.; Lapshov, I.; Lazzarotto, F.; et al. SuperAGILE: The hard X-ray imager for the AGILE space mission. Nucl. Instruments Methods Phys. Res. 2007, 581, 728–754. [Google Scholar] [CrossRef]
- Labanti, C.; Marisaldi, M.; Fuschino, F.; Galli, M.; Argan, A.; Bulgarelli, A.; Di Cocco, G.; Gianotti, F.; Tavani, M.; Trifoglio, M. Design and construction of the Mini-Calorimeter of the AGILE satellite. Nucl. Instruments Methods Phys. Res. 2009, 598, 470–479. [Google Scholar] [CrossRef]
- Perotti, F.; Fiorini, M.; Incorvaia, S.; Mattaini, E.; Sant’Ambrogio, E. The AGILE anticoincidence detector. Nucl. Instruments Methods Phys. Res. 2006, 556, 228–236. [Google Scholar] [CrossRef]
- Pittori, C.; The Agile-Ssdc Team. The AGILE data center and its legacy. Rend. Lincei. Sci. Fis. Nat. 2019, 30, 217–223. [Google Scholar] [CrossRef]
- Bulgarelli, A.; Trifoglio, M.; Gianotti, F.; Tavani, M.; Parmiggiani, N.; Fioretti, V.; Chen, A.W.; Vercellone, S.; Pittori, C.; Verrecchia, F.; et al. The AGILE Alert System for Gamma-ray Transients. Astrophys. J. 2014, 781, 19. [Google Scholar] [CrossRef]
- Trimble, V. Motions and Structure of the Filamentary Envelope of the Crab Nebula. Astron. J. 1968, 73, 535. [Google Scholar] [CrossRef]
- Hester, J.J. The Crab Nebula: An astrophysical chimera. Annu. Rev. Astron. Astrophys. 2008, 46, 127–155. [Google Scholar] [CrossRef]
- Weekes, T.C.; Cawley, M.F.; Fegan, D.J.; Gibbs, K.G.; Hillas, A.M.; Kowk, P.W.; Lamb, R.C.; Lewis, D.A.; Macomb, D.; Porter, N.A.; et al. Observation of TeV Gamma Rays from the Crab Nebula Using the Atmospheric Cerenkov Imaging Technique. Astrophys. J. 1989, 342, 379. [Google Scholar] [CrossRef]
- Lombardi, S.; Catalano, O.; Scuderi, S.; Antonelli, L.A.; Pareschi, G.; Antolini, E.; Arrabito, L.; Bellassai, G.; Bernlöhr, K.; Bigongiari, C.; et al. First detection of the Crab Nebula at TeV energies with a Cherenkov telescope in a dual-mirror Schwarzschild-Couder configuration: The ASTRI-Horn telescope. Astron. Astrophys. 2020, 634, A22. [Google Scholar] [CrossRef]
- Abe, H.; Abe, K.; Abe, S.; Aguasca-Cabot, A.; Agudo, I.; Alvarez Crespo, N.; Antonelli, L.A.; Aramo, C.; Arbet-Engels, A.; Arcaro, C.; et al. Observations of the Crab Nebula and Pulsar with the Large-sized Telescope Prototype of the Cherenkov Telescope Array. Astrophys. J. 2023, 956, 980. [Google Scholar] [CrossRef]
- Abeysekara, A.U.; Albert, A.; Alfaro, R.; Alvarez, C.; Álvarez, J.D.; Camacho, J.R.A.; Arceo, R.; Arteaga-Velázquez, J.C.; Arunbabu, K.P.; Avila Rojas, D.; et al. Measurement of the Crab Nebula Spectrum Past 100 TeV with HAWC. Astrophys. J. 2019, 881, 134. [Google Scholar] [CrossRef]
- Aharonian, F.; An, Q.; Axikegu; Bai, L.X.; Bai, Y.X.; Bao, Y.W.; Bastieri, D.; Bi, X.J.; Bi, Y.J.; Cai, H.; et al. Observation of the Crab Nebula with LHAASO-KM2A - a performance study. Chin. Phys. C 2021, 45, 025002. [Google Scholar] [CrossRef]
- Scargle, J.D. Activity in the Crab Nebula. Astrophys. J. 1969, 156, 401. [Google Scholar] [CrossRef]
- Hester, J.J.; Scowen, P.A.; Sankrit, R.; Burrows, C.J.; Gallagher, J.S.; Holtzman, J.A.; Watson, A.; Trauger, J.T.; Ballester, G.E.; Casertano, S.; et al. WFPC2 Studies of the Crab Nebula. I. HST and ROSAT Imaging of the Synchrotron Nebula. Astrophys. J. 1995, 448, 240. [Google Scholar] [CrossRef]
- Hester, J.J.; Mori, K.; Burrows, D.; Gallagher, J.S.; Graham, J.R.; Halverson, M.; Kader, A.; Michel, F.C.; Scowen, P. Hubble Space Telescope and Chandra Monitoring of the Crab Synchrotron Nebula. Astrophys. J. Lett. 2002, 577, L49–L52. [Google Scholar] [CrossRef]
- Weisskopf, M.C.; Hester, J.J.; Tennant, A.F.; Elsner, R.F.; Schulz, N.S.; Marshall, H.L.; Karovska, M.; Nichols, J.S.; Swartz, D.A.; Kolodziejczak, J.J.; et al. Discovery of Spatial and Spectral Structure in the X-ray Emission from the Crab Nebula. Astrophys. J. Lett. 2000, 536, L81–L84. [Google Scholar] [CrossRef]
- Greiveldinger, C.; Aschenbach, B. Temporal Variability of the X-ray Emission of the Crab Nebula Torus. Astrophys. J. 1999, 510, 305–311. [Google Scholar] [CrossRef]
- Ling, J.C.; Wheaton, W.A. Gamma-ray Spectra and Variability of the Crab Nebula Emission Observed by BATSE. Astrophys. J. 2003, 598, 334–348. [Google Scholar] [CrossRef]
- Wilson-Hodge, C.A.; Cherry, M.L.; Case, G.L.; Baumgartner, W.H.; Beklen, E.; Narayana Bhat, P.; Briggs, M.S.; Camero-Arranz, A.; Chaplin, V.; Connaughton, V.; et al. When a Standard Candle Flickers. Astrophys. J. Lett. 2011, 727, L40. [Google Scholar] [CrossRef]
- Meyer, M.; Horns, D.; Zechlin, H.S. The Crab Nebula as a standard candle in very high-energy astrophysics. Astron. Astrophys. 2010, 523, A2. [Google Scholar] [CrossRef]
- Tavani, M.; Striani, E.; Bulgarelli, A.; Gianotti, F.; Trifoglio, M.; Pittori, C.; Verrecchia, F.; Argan, A.; Trois, A.; de Paris, G.; et al. AGILE detection of enhanced gamma-ray emission from the Crab Nebula region. Astron. Telegr. 2010, 2855, 1. [Google Scholar]
- Tavani, M.; Bulgarelli, A.; Vittorini, V.; Pellizzoni, A.; Striani, E.; Caraveo, P.; Weisskopf, M.C.; Tennant, A.; Pucella, G.; Trois, A.; et al. Discovery of Powerful Gamma-ray Flares from the Crab Nebula. Science 2011, 331, 736. [Google Scholar] [CrossRef]
- Buehler, R.; D’Ammando, F.; Hays, E. Fermi LAT confirmation of enhanced gamma-ray emission from the Crab Nebula region. Astron. Telegr. 2010, 2861, 1. [Google Scholar]
- Striani, E.; Tavani, M.; Vittorini, V.; Donnarumma, I.; Giuliani, A.; Pucella, G.; Argan, A.; Bulgarelli, A.; Colafrancesco, S.; Cardillo, M.; et al. Variable Gamma-ray Emission from the Crab Nebula: Short Flares and Long “Waves”. Astrophys. J. 2013, 765, 52. [Google Scholar] [CrossRef]
- Vittorini, V.; Tavani, M.; Pucella, G.; Striani, E.; Donnarumma, I.; Caraveo, P.; Giuliani, A.; Mereghetti, S.; Pellizzoni, A.; Trois, A.; et al. Spectral Evolution of the 2010 September Gamma-ray Flare from the Crab Nebula. Astrophys. J. Lett. 2011, 732, L22. [Google Scholar] [CrossRef]
- Bhattacharje, Y. Crab That Roared. Science 2013, 341, 710–711. [Google Scholar] [CrossRef] [PubMed]
- Pittori, C.; Verrecchia, F.; Chen, A.W.; Bulgarelli, A.; Pellizzoni, A.; Giuliani, A.; Vercellone, S.; Longo, F.; Tavani, M.; Giommi, P.; et al. First AGILE catalog of high-confidence gamma-ray sources. Astron. Astrophys. 2009, 506, 1563–1574. [Google Scholar] [CrossRef]
- Buehler, R.; Scargle, J.D.; Blandford, R.D.; Baldini, L.; Baring, M.G.; Belfiore, A.; Charles, E.; Chiang, J.; D’Ammando, F.; Dermer, C.D.; et al. Gamma-ray Activity in the Crab Nebula: The Exceptional Flare of 2011 April. Astrophys. J. 2012, 749, 26. [Google Scholar] [CrossRef]
- Yeung, P.K.H.; Horns, D. Fermi Large Area Telescope observations of the fast-dimming Crab Nebula in 60-600 MeV. Astron. Astrophys. 2020, 638, A147. [Google Scholar] [CrossRef]
- Amato, E.; Olmi, B. The Crab Pulsar and Nebula as Seen in Gamma-rays. Universe 2021, 7, 448. [Google Scholar] [CrossRef]
- Blandford, R.; Eichler, D. Particle acceleration at astrophysical shocks: A theory of cosmic ray origin. Phys. Rep. 1987, 154, 1–75. [Google Scholar] [CrossRef]
- Malkov, M.A.; Drury, L.O. Nonlinear theory of diffusive acceleration of particles by shock waves. Rep. Prog. Phys. 2001, 64, 429–481. [Google Scholar] [CrossRef]
- Reynolds, S.P. Supernova remnants at high energy. Annu. Rev. Astron. Astrophys. 2008, 46, 89–126. [Google Scholar] [CrossRef]
- Aharonian, F.A.; Akhperjanian, A.G.; Aye, K.M.; Bazer-Bachi, A.R.; Beilicke, M.; Benbow, W.; Berge, D.; Berghaus, P.; Bernlöhr, K.; Bolz, O.; et al. High-energy particle acceleration in the shell of a supernova remnant. Nature 2004, 432, 75–77. [Google Scholar] [CrossRef]
- Aharonian, F.; Akhperjanian, A.G.; Bazer-Bachi, A.R.; Beilicke, M.; Benbow, W.; Berge, D.; Bernlöhr, K.; Boisson, C.; Bolz, O.; Borrel, V.; et al. Primary particle acceleration above 100 TeV in the shell-type supernova remnant <ASTROBJ>RX J1713.7-3946</ASTROBJ> with deep HESS observations. Astron. Astrophys. 2007, 464, 235–243. [Google Scholar] [CrossRef]
- Aharonian, F.; Akhperjanian, A.G.; Bazer-Bachi, A.R.; Beilicke, M.; Benbow, W.; Berge, D.; Bernlöhr, K.; Boisson, C.; Bolz, O.; Borrel, V.; et al. H.E.S.S. Observations of the Supernova Remnant RX J0852.0-4622: Shell-Type Morphology and Spectrum of a Widely Extended Very High Energy Gamma-ray Source. Astrophys. J. 2007, 661, 236–249. [Google Scholar] [CrossRef][Green Version]
- Dermer, C.D.; Powale, G. Gamma rays from cosmic rays in supernova remnants. Astron. Astrophys. 2013, 553, A34. [Google Scholar] [CrossRef]
- Peron, G.; Aharonian, F. Probing the galactic cosmic-ray density with current and future γ-ray instruments. Astron. Astrophys. 2022, 659, A57. [Google Scholar] [CrossRef]
- Mizuno, A.; Fukui, Y. Physical properties of molecular clouds as revealed by NANTEN CO survey: From the galactic center to the galactic warp. In Proceedings of the 5th Boston University Astrophysics Conference, Boston, MA, USA, 15–17 June 2003; p. 59. [Google Scholar]
- Aharonian, F.; Akhperjanian, A.G.; Bazer-Bachi, A.R.; Behera, B.; Beilicke, M.; Benbow, W.; Berge, D.; Bernlöhr, K.; Boisson, C.; Bolz, O.; et al. Discovery of very high energy gamma-ray emission coincident with molecular clouds in the W 28 (G6.4-0.1) field. Astron. Astrophys. 2008, 481, 401–410. [Google Scholar] [CrossRef]
- Giuliani, A.; Tavani, M.; Bulgarelli, A.; Striani, E.; Sabatini, S.; Cardillo, M.; Fukui, Y.; Kawamura, A.; Ohama, A.; Furukawa, N.; et al. AGILE detection of GeV γ-ray emission from the SNR W28. Astron. Astrophys. 2010, 516, L11. [Google Scholar] [CrossRef]
- Giuliani, A.; Chen, A.; Mereghetti, S.; Pellizzoni, A.; Tavani, M.; Vercellone, S. Gamma-ray emission from the Galaxy: A new model for AGILE. Mem. Della Soc. Astron. Ital. Suppl. 2004, 5, 135. [Google Scholar]
- Giuliani, A.; Cardillo, M.; Tavani, M.; Fukui, Y.; Yoshiike, S.; Torii, K.; Dubner, G.; Castelletti, G.; Barbiellini, G.; Bulgarelli, A.; et al. Neutral Pion Emission from Accelerated Protons in the Supernova Remnant W44. Astrophys. J. Lett. 2011, 742, L30. [Google Scholar] [CrossRef]
- Cardillo, M.; Tavani, M.; Giuliani, A.; Yoshiike, S.; Sano, H.; Fukuda, T.; Fukui, Y.; Castelletti, G.; Dubner, G. The supernova remnant W44: Confirmations and challenges for cosmic-ray acceleration. Astron. Astrophys. 2014, 565, A74. [Google Scholar] [CrossRef]
- Castelletti, G.; Dubner, G.; Brogan, C.; Kassim, N.E. The low-frequency radio emission and spectrum of the extended SNR <ASTROBJ>W44</ASTROBJ>: New VLA observations at 74 and 324 MHz. Astron. Astrophys. 2007, 471, 537–549. [Google Scholar] [CrossRef][Green Version]
- Buckley, J.H.; Akerlof, C.W.; Carter-Lewis, D.A.; Catanese, M.; Cawley, M.F.; Connaughton, V.; Fegan, D.J.; Finley, J.P.; Gaidos, J.A.; Hillas, A.M.; et al. Constraints on cosmic-ray origin from TeV gamma-ray observations of supernova remnants. Astron. Astrophys. 1998, 329, 639–658. [Google Scholar]
- Aharonian, F.A.; Akhperjanian, A.G.; Beilicke, M.; Bernloehr, K.; Bojahr, H.; Bolz, O.; Boerst, H.; Coarasa, T.; Contreras, J.L.; Cortina, J.; et al. A search for TeV gamma-ray emission from SNRs, pulsars and unidentified GeV sources in the Galactic plane in the longitude range between -2 deg and 85 deg. Astron. Astrophys. 2002, 395, 803–811. [Google Scholar] [CrossRef]
- Abdo, A.A.; Allen, B.T.; Aune, T.; Berley, D.; Chen, C.; Christopher, G.E.; DeYoung, T.; Dingus, B.L.; Ellsworth, R.W.; Gonzalez, M.M.; et al. Milagro Observations of Multi-TeV Emission from Galactic Sources in the Fermi Bright Source List. Astrophys. J. Lett. 2009, 700, L127–L131. [Google Scholar] [CrossRef]
- Tavani, M.; Giuliani, A.; Chen, A.W.; Argan, A.; Barbiellini, G.; Bulgarelli, A.; Caraveo, P.; Cattaneo, P.W.; Cocco, V.; Contessi, T.; et al. Direct Evidence for Hadronic Cosmic-ray Acceleration in the Supernova Remnant IC 443. Astrophys. J. Lett. 2010, 710, L151–L155. [Google Scholar] [CrossRef]
- Verrecchia, F.; Pittori, C.; Chen, A.W.; Bulgarelli, A.; Tavani, M.; Lucarelli, F.; Giommi, P.; Vercellone, S.; Pellizzoni, A.; Giuliani, A.; et al. An updated list of AGILE bright γ-ray sources and their variability in pointing mode. Astron. Astrophys. 2013, 558, A137. [Google Scholar] [CrossRef]
- Bulgarelli, A.; Fioretti, V.; Parmiggiani, N.; Verrecchia, F.; Pittori, C.; Lucarelli, F.; Tavani, M.; Aboudan, A.; Cardillo, M.; Giuliani, A.; et al. Second AGILE catalogue of gamma-ray sources. Astron. Astrophys. 2019, 627, A13. [Google Scholar] [CrossRef]
- Sabatini, S.; Tavani, M.; Striani, E.; Bulgarelli, A.; Vittorini, V.; Piano, G.; Del Monte, E.; Feroci, M.; de Pasquale, F.; Trifoglio, M.; et al. Episodic Transient Gamma-ray Emission from the Microquasar Cygnus X-1. Astrophys. J. Lett. 2010, 712, L10–L15. [Google Scholar] [CrossRef]
- Sabatini, S.; Tavani, M.; Coppi, P.; Pooley, G.; Del Santo, M.; Campana, R.; Chen, A.; Evangelista, Y.; Piano, G.; Bulgarelli, A.; et al. Gamma-ray Observations of Cygnus X-1 above 100 MeV in the Hard and Soft States. Astrophys. J. 2013, 766, 83. [Google Scholar] [CrossRef]
- Tavani, M.; Bulgarelli, A.; Piano, G.; Sabatini, S.; Striani, E.; Evangelista, Y.; Trois, A.; Pooley, G.; Trushkin, S.; Nizhelskij, N.A.; et al. Extreme particle acceleration in the microquasar CygnusX-3. Nature 2009, 462, 620–623. [Google Scholar] [CrossRef] [PubMed]
- Bulgarelli, A.; Tavani, M.; Chen, A.W.; Evangelista, Y.; Trifoglio, M.; Gianotti, F.; Piano, G.; Sabatini, S.; Striani, E.; Pooley, G.; et al. AGILE detection of Cygnus X-3 γ-ray active states during the period mid-2009/mid-2010. Astron. Astrophys. 2012, 538, A63. [Google Scholar] [CrossRef]
- Piano, G.; Tavani, M.; Vittorini, V.; Trois, A.; Giuliani, A.; Bulgarelli, A.; Evangelista, Y.; Coppi, P.; Del Monte, E.; Sabatini, S.; et al. The AGILE monitoring of Cygnus X-3: Transient gamma-ray emission and spectral constraints. Astron. Astrophys. 2012, 545, A110. [Google Scholar] [CrossRef]
- Koljonen, K.I.I.; Maccarone, T.; McCollough, M.L.; Gurwell, M.; Trushkin, S.A.; Pooley, G.G.; Piano, G.; Tavani, M. The hypersoft state of Cygnus X-3. A key to jet quenching in X-ray binaries? Astron. Astrophys. 2018, 612, A27. [Google Scholar] [CrossRef]
- Piano, G.; Munar-Adrover, P.; Verrecchia, F.; Tavani, M.; Trushkin, S.A. High-energy Gamma-ray Activity from V404 Cygni Detected by AGILE during the 2015 June Outburst. Astrophys. J. 2017, 839, 84. [Google Scholar] [CrossRef]
- Casares, J.; Negueruela, I.; Ribó, M.; Ribas, I.; Paredes, J.M.; Herrero, A.; Simón-Díaz, S. A Be-type star with a black-hole companion. Nature 2014, 505, 378–381. [Google Scholar] [CrossRef]
- H. E. S. S. Collaboration; Abdalla, H.; Abramowski, A.; Aharonian, F.; Ait Benkhali, F.; Angüner, E.O.; Arakawa, M.; Arrieta, M.; Aubert, P.; Backes, M.; et al. The H.E.S.S. Galactic plane survey. Astron. Astrophys. 2018, 612, A1. [Google Scholar] [CrossRef]
- Cao, Z.; Aharonian, F.; An, Q.; Axikegu.; Bai, Y.X.; Bao, Y.W.; Bastieri, D.; Bi, X.J.; Bi, Y.J.; Cai, J.T.; et al. The First LHAASO Catalog of Gamma-ray Sources. arXiv 2023, arXiv:2305.17030. [Google Scholar] [CrossRef]
- Lucarelli, F.; Verrecchia, F.; Striani, E.; Pittori, C.; Tavani, M.; Vercellone, S.; Bulgarelli, A.; Gianotti, F.; Trifoglio, M.; Chen, A.; et al. AGILE detection of the new unidentified gamma-ray source AGL J2241+4454. Astron. Telegr. 2010, 2761, 1. [Google Scholar]
- Hartman, R.C.; Bertsch, D.L.; Dingus, B.L.; Fichtel, C.E.; Hunter, S.D.; Kanbach, G.; Kniffen, D.A.; Lin, Y.C.; Mattox, J.R.; Mayer-Hasselwander, H.A.; et al. EGRET Detection of High-Energy Gamma Radiation from the OVV Quasar 3C 454.3. Astrophys. J. Lett. 1993, 407, L41. [Google Scholar] [CrossRef]
- Aller, M.F.; Marscher, A.P.; Hartman, R.C.; Aller, H.D.; Aller, M.C.; Balonek, T.J.; Begelman, M.C.; Chiaberge, M.; Clements, S.D.; Collmar, W.; et al. Radio to γ-ray observations of 3C 454.3:1993-1995. In Proceedings of the Fourth Compton Symposium, Williamsburg, VA, USA, 27–30 April 1997; pp. 1423–1427. [Google Scholar] [CrossRef]
- Giommi, P.; Blustin, A.J.; Capalbi, M.; Colafrancesco, S.; Cucchiara, A.; Fuhrmann, L.; Krimm, H.A.; Marchili, N.; Massaro, E.; Perri, M.; et al. Swift and infra-red observations of the blazar 3C 454.3 during the giant X-ray flare of May 2005. Astron. Astrophys. 2006, 456, 911–916. [Google Scholar] [CrossRef]
- Villata, M.; Raiteri, C.M.; Balonek, T.J.; Aller, M.F.; Jorstad, S.G.; Kurtanidze, O.M.; Nicastro, F.; Nilsson, K.; Aller, H.D.; Arai, A.; et al. The unprecedented optical outburst of the quasar <ASTROBJ>3C 454.3</ASTROBJ>. The WEBT campaign of 2004-2005. Astron. Astrophys. 2006, 453, 817–822. [Google Scholar] [CrossRef]
- Pian, E.; Foschini, L.; Beckmann, V.; Soldi, S.; Türler, M.; Gehrels, N.; Ghisellini, G.; Giommi, P.; Maraschi, L.; Pursimo, T.; et al. INTEGRAL observations of the blazar 3C 454.3 in outburst. Astron. Astrophys. 2006, 449, L21–L25. [Google Scholar] [CrossRef][Green Version]
- Vercellone, S.; Chen, A.W.; Giuliani, A.; Bulgarelli, A.; Donnarumma, I.; Lapshov, I.; Tavani, M.; Argan, A.; Barbiellini, G.; Caraveo, P.; et al. AGILE Detection of a Strong Gamma-ray Flare from the Blazar 3C 454.3. Astrophys. J. Lett. 2008, 676, L13. [Google Scholar] [CrossRef]
- Vercellone, S.; D’Ammando, F.; Vittorini, V.; Donnarumma, I.; Pucella, G.; Tavani, M.; Ferrari, A.; Raiteri, C.M.; Villata, M.; Romano, P.; et al. Multiwavelength Observations of 3C 454.3. III. Eighteen Months of Agile Monitoring of the “Crazy Diamond”. Astrophys. J. 2010, 712, 405–420. [Google Scholar] [CrossRef]
- Vercellone, S.; Striani, E.; Vittorini, V.; Donnarumma, I.; Pacciani, L.; Pucella, G.; Tavani, M.; Raiteri, C.M.; Villata, M.; Romano, P.; et al. The Brightest Gamma-ray Flaring Blazar in the Sky: AGILE and Multi-wavelength Observations of 3C 454.3 During 2010 November. Astrophys. J. Lett. 2011, 736, L38. [Google Scholar] [CrossRef]
- Vercellone, S.; Chen, A.W.; Vittorini, V.; Giuliani, A.; D’Ammando, F.; Tavani, M.; Donnarumma, I.; Pucella, G.; Raiteri, C.M.; Villata, M.; et al. Multiwavelength Observations of 3C 454.3. I. The AGILE 2007 November campaign on the “Crazy Diamond”. Astrophys. J. 2009, 690, 1018–1030. [Google Scholar] [CrossRef]
- Donnarumma, I.; Pucella, G.; Vittorini, V.; D’Ammando, F.; Vercellone, S.; Raiteri, C.M.; Villata, M.; Perri, M.; Chen, W.P.; Smart, R.L.; et al. Multiwavelength Observations of 3C 454.3. II. The AGILE 2007 December Campaign. Astrophys. J. 2009, 707, 1115–1123. [Google Scholar] [CrossRef]
- Pacciani, L.; Vittorini, V.; Tavani, M.; Fiocchi, M.T.; Vercellone, S.; D’Ammando, F.; Sakamoto, T.; Pian, E.; Raiteri, C.M.; Villata, M.; et al. The 2009 December Gamma-ray Flare of 3C 454.3: The Multifrequency Campaign. Astrophys. J. Lett. 2010, 716, L170–L175. [Google Scholar] [CrossRef]
- Striani, E.; Vercellone, S.; Tavani, M.; Vittorini, V.; D’Ammando, F.; Donnarumma, I.; Pacciani, L.; Pucella, G.; Bulgarelli, A.; Trifoglio, M.; et al. The Extraordinary Gamma-ray Flare of the Blazar 3C 454.3. Astrophys. J. 2010, 718, 455–459. [Google Scholar] [CrossRef]
- Vittorini, V.; Tavani, M.; Cavaliere, A.; Striani, E.; Vercellone, S. The Blob Crashes into the Mirror: Modeling the Exceptional γ-ray Flaring Activity of 3C 454.3 in 2010 November. Astrophys. J. 2014, 793, 98. [Google Scholar] [CrossRef][Green Version]
- Ghisellini, G.; Tagliaferri, G.; Foschini, L.; Ghirlanda, G.; Tavecchio, F.; Della Ceca, R.; Haardt, F.; Volonteri, M.; Gehrels, N. High-redshift Fermi blazars. Mon. Not. R. Astron. Soc. 2011, 411, 901–914. [Google Scholar] [CrossRef]
- Foschini, L.; Lister, M.L.; Andernach, H.; Ciroi, S.; Marziani, P.; Antón, S.; Berton, M.; Dalla Bontà, E.; Järvelä, E.; Marchã, M.J.M.; et al. A New Sample of Gamma-ray Emitting Jetted Active Galactic Nuclei. Universe 2022, 8, 587. [Google Scholar] [CrossRef]
- Abdollahi, S.; Acero, F.; Ackermann, M.; Ajello, M.; Atwood, W.B.; Axelsson, M.; Baldini, L.; Ballet, J.; Barbiellini, G.; Bastieri, D.; et al. Fermi Large Area Telescope Fourth Source Catalog. Astrophys. J. Suppl. Ser. 2020, 247, 33. [Google Scholar] [CrossRef]
- Vercellone, S.; Romano, P.; Piano, G.; Vittorini, V.; Donnarumma, I.; Munar-Adrover, P.; Raiteri, C.M.; Villata, M.; Verrecchia, F.; Lucarelli, F.; et al. AGILE, Fermi, Swift, and GASP/WEBT multi-wavelength observations of the high-redshift blazar 4C +71.07 in outburst. Astron. Astrophys. 2019, 621, A82. [Google Scholar] [CrossRef]
- Gehrels, N.; Chincarini, G.; Giommi, P.; Mason, K.O.; Nousek, J.A.; Wells, A.A.; White, N.E.; Barthelmy, S.D.; Burrows, D.N.; Cominsky, L.R.; et al. The Swift Gamma-ray Burst Mission. Astrophys. J. 2004, 611, 1005–1020. [Google Scholar] [CrossRef]
- Burrows, D.N.; Hill, J.E.; Nousek, J.A.; Kennea, J.A.; Wells, A.; Osborne, J.P.; Abbey, A.F.; Beardmore, A.; Mukerjee, K.; Short, A.D.T.; et al. The Swift X-ray Telescope. Space Sci. Rev. 2005, 120, 165–195. [Google Scholar] [CrossRef]
- Roming, P.W.A.; Kennedy, T.E.; Mason, K.O.; Nousek, J.A.; Ahr, L.; Bingham, R.E.; Broos, P.S.; Carter, M.J.; Hancock, B.K.; Huckle, H.E.; et al. The Swift Ultra-Violet/Optical Telescope. Space Sci. Rev. 2005, 120, 95–142. [Google Scholar] [CrossRef]
- Villata, M.; Raiteri, C.M.; Larionov, V.M.; Kurtanidze, O.M.; Nilsson, K.; Aller, M.F.; Tornikoski, M.; Volvach, A.; Aller, H.D.; Arkharov, A.A.; et al. Multifrequency monitoring of the blazar <ASTROBJ>0716+714</ASTROBJ> during the GASP-WEBT-AGILE campaign of 2007. Astron. Astrophys. 2008, 481, L79–L82. [Google Scholar] [CrossRef]
- Donnarumma, I.; De Rosa, A.; Vittorini, V.; Miller, H.R.; Popović, L.Č.; Simić, S.; Tavani, M.; Eggen, J.; Maune, J.; Kuulkers, E.; et al. The Remarkable γ-ray Activity in the Gravitationally Lensed Blazar PKS 1830-211. Astrophys. J. Lett. 2011, 736, L30. [Google Scholar] [CrossRef]
- Vercellone, S.; Donnarumma, I.; Pittori, C.; Capitanio, F.; De Rosa, A.; Di Gesu, L.; Kiehlmann, S.; Iacolina, M.N.; Pellizzoni, P.A.; Egron, E.; et al. Multiwavelength observations of the lensed quasar PKS 1830-211 during the 2019 γ-ray flare. Mon. Not. R. Astron. Soc. 2024, 527, 5717–5731. [Google Scholar] [CrossRef]
- de Rosa, A.; Piro, L.; Tramacere, A.; Massaro, E.; Walter, R.; Bassani, L.; Malizia, A.; Bird, A.J.; Dean, A.J. The broad-band X-ray spectrum of the blazar PKS B1830-211 by Chandra and INTEGRAL. Astron. Astrophys. 2005, 438, 121–126. [Google Scholar] [CrossRef]
- Tagliaferri, G.; Ghisellini, G.; Perri, M.; Hayashida, M.; Baloković, M.; Covino, S.; Giommi, P.; Madejski, G.M.; Puccetti, S.; Sbarrato, T.; et al. NuSTAR and Multifrequency Study of the Two High-redshift Blazars S5 0836+710 and PKS 2149-306. Astrophys. J. 2015, 807, 167. [Google Scholar] [CrossRef]
- Nair, S.; Jin, C.; Garrett, M.A. Helical jet in the gravitationally lensed blazar PKS1830-211. Mon. Not. R. Astron. Soc. 2005, 362, 1157–1166. [Google Scholar] [CrossRef]
- Tavani, M.; Vittorini, V.; Cavaliere, A. An Emerging Class of Gamma-ray Flares from Blazars: Beyond One-zone Models. Astrophys. J. 2015, 814, 51. [Google Scholar] [CrossRef]
- Vittorini, V.; Tavani, M.; Cavaliere, A. Meeting the Challenge from Bright and Fast Gamma-ray Flares of 3C 279. Astrophys. J. Lett. 2017, 843, L23. [Google Scholar] [CrossRef]
- Araudo, A.T.; Bosch-Ramon, V.; Romero, G.E. Gamma rays from cloud penetration at the base of AGN jets. Astron. Astrophys. 2010, 522, A97. [Google Scholar] [CrossRef]
- Costamante, L.; Ghisellini, G. TeV candidate BL Lac objects. Astron. Astrophys. 2002, 384, 56–71. [Google Scholar] [CrossRef]
- Costamante, L. TeV-peaked candidate BL Lac objects. Mon. Not. R. Astron. Soc. 2020, 491, 2771–2778. [Google Scholar] [CrossRef]
- Punch, M.; Akerlof, C.W.; Cawley, M.F.; Chantell, M.; Fegan, D.J.; Fennell, S.; Gaidos, J.A.; Hagan, J.; Hillas, A.M.; Jiang, Y.; et al. Detection of TeV photons from the active galaxy Markarian 421. Nature 1992, 358, 477–478. [Google Scholar] [CrossRef]
- Quinn, J.; Akerlof, C.W.; Biller, S.; Buckley, J.; Carter-Lewis, D.A.; Cawley, M.F.; Catanese, M.; Connaughton, V.; Fegan, D.J.; Finley, J.P.; et al. Detection of Gamma Rays with E > 300 GeV from Markarian 501. Astrophys. J. Lett. 1996, 456, L83. [Google Scholar] [CrossRef]
- Cortina, J.; CTAO LST Collaboration. First detection of VHE gamma-ray emission from FSRQ OP 313 with LST-1. Astron. Telegr. 2023, 16381, 1. [Google Scholar]
- Wakely, S.P.; Horan, D. TeVCat: An online catalog for Very High Energy Gamma-ray Astronomy. Int. Cosm. Ray Conf. 2008, 3, 1341–1344. [Google Scholar]
- Rappoldi, A.; Lucarelli, F.; Pittori, C.; Longo, F.; Cattaneo, P.W.; Verrecchia, F.; Tavani, M.; Bulgarelli, A.; Chen, A.W.; Colafrancesco, S.; et al. Search of MeV-GeV counterparts of TeV sources with AGILE in pointing mode. Astron. Astrophys. 2016, 587, A93. [Google Scholar] [CrossRef]
- Bulgarelli, A.; Chen, A.W.; Tavani, M.; Gianotti, F.; Trifoglio, M.; Contessi, T. Evaluating the maximum likelihood method for detecting short-term variability of AGILE γ-ray sources. Astron. Astrophys. 2012, 540, A79. [Google Scholar] [CrossRef]
- Verrecchia, F.; Gasparrini, D.; Cutini, S.; Preger, B.; Pittori, C.; Colafrancesco, S.; Giommi, P.; Vercellone, S.; Chen, A.; Giuliani, A.; et al. AGILE detection of the blazar W Comae in the gamma-ray energy band. Astron. Telegr. 2008, 1582, 1. [Google Scholar]
- Swordy, S. TeV Outburst from W Comae. Astron. Telegr. 2008, 1565, 1. [Google Scholar]
- Swordy, S. VERITAS discovers TeV gamma rays from W Comae. Astron. Telegr. 2008, 1422, 1. [Google Scholar]
- Acciari, V.A.; Aliu, E.; Aune, T.; Beilicke, M.; Benbow, W.; Böttcher, M.; Boltuch, D.; Buckley, J.H.; Bradbury, S.M.; Bugaev, V.; et al. Multiwavelength Observations of a TeV-Flare from W Comae. Astrophys. J. 2009, 707, 612–620. [Google Scholar] [CrossRef]
- Costa, E.; Del Monte, E.; Donnarumma, I.; Evangelista, Y.; Feroci, M.; Lapshov, I.; Lazzarotto, F.; Pacciani, L.; Rapisarda, M.; Soffitta, P.; et al. SuperAGILE detects enhanced hard X-ray emission from Mkn 421. Astron. Telegr. 2008, 1574, 1. [Google Scholar]
- Pittori, C.; Cutini, S.; Gasparrini, D.; Verrecchia, F.; Colafrancesco, S.; Giommi, P.; Vercellone, S.; Chen, A.; Giuliani, A.; Donnarumma, I.; et al. AGILE detection of the blazar Mrk 421. Astron. Telegr. 2008, 1583, 1. [Google Scholar]
- Donnarumma, I.; Vittorini, V.; Vercellone, S.; del Monte, E.; Feroci, M.; D’Ammando, F.; Pacciani, L.; Chen, A.W.; Tavani, M.; Bulgarelli, A.; et al. The June 2008 Flare of Markarian 421 from Optical to TeV Energies. Astrophys. J. Lett. 2009, 691, L13–L19. [Google Scholar] [CrossRef]
- Villata, M.; Raiteri, C.M. Helical jets in blazars. I. The case of MKN 501. Astron. Astrophys. 1999, 347, 30–36. [Google Scholar]
- Villata, M.; Raiteri, C.M.; Kurtanidze, O.M.; Nikolashvili, M.G.; Ibrahimov, M.A.; Papadakis, I.E.; Tosti, G.; Hroch, F.; Takalo, L.O.; Sillanpää, A.; et al. The WEBT <ASTROBJ>BL Lacertae</ASTROBJ> Campaign 2001 and its extension. Optical light curves and colour analysis 1994-2002. Astron. Astrophys. 2004, 421, 103–114. [Google Scholar] [CrossRef]
- Barthelmy, S.D.; Barbier, L.M.; Cummings, J.R.; Fenimore, E.E.; Gehrels, N.; Hullinger, D.; Krimm, H.A.; Markwardt, C.B.; Palmer, D.M.; Parsons, A.; et al. The Burst Alert Telescope (BAT) on the SWIFT Midex Mission. Space Sci. Rev. 2005, 120, 143–164. [Google Scholar] [CrossRef]
- Parmiggiani, N.; Bulgarelli, A.; Ursi, A.; Addis, A.; Baroncelli, L.; Fioretti, V.; Di Piano, A.; Panebianco, G.; Tavani, M.; Pittori, C.; et al. The AGILE real-time analysis software system to detect short-transient events in the multi-messenger era. Astron. Comput. 2023, 44, 100726. [Google Scholar] [CrossRef]
- Giuliani, A.; Mereghetti, S.; Fornari, F.; Del Monte, E.; Feroci, M.; Marisaldi, M.; Esposito, P.; Perotti, F.; Tavani, M.; Argan, A.; et al. AGILE detection of delayed gamma-ray emission from GRB 080514B. Astron. Astrophys. 2008, 491, L25–L28. [Google Scholar] [CrossRef][Green Version]
- Ajello, M.; Arimoto, M.; Axelsson, M.; Baldini, L.; Barbiellini, G.; Bastieri, D.; Bellazzini, R.; Bhat, P.N.; Bissaldi, E.; Blandford, R.D.; et al. A Decade of Gamma-ray Bursts Observed by Fermi-LAT: The Second GRB Catalog. Astrophys. J. 2019, 878, 52. [Google Scholar] [CrossRef]
- Omodei, N. Fermi-LAT observation of GRB 081024B. GRB Coord. Netw. 2008, 8407, 1. [Google Scholar]
- Connaughton, V.; Briggs, M. GRB 081024B: Fermi gamma-ray burst monitor detection. GRB Coord. Netw. 2008, 8408, 1. [Google Scholar]
- Giuliani, A.; Fuschino, F.; Vianello, G.; Marisaldi, M.; Mereghetti, S.; Tavani, M.; Cutini, S.; Barbiellini, G.; Longo, F.; Moretti, E.; et al. AGILE Detection of Delayed Gamma-ray Emission From the Short Gamma-ray Burst GRB 090510. Astrophys. J. Lett. 2010, 708, L84–L88. [Google Scholar] [CrossRef]
- Ackermann, M.; Asano, K.; Atwood, W.B.; Axelsson, M.; Baldini, L.; Ballet, J.; Barbiellini, G.; Baring, M.G.; Bastieri, D.; Bechtol, K.; et al. Fermi Observations of GRB 090510: A Short-Hard Gamma-ray Burst with an Additional, Hard Power-law Component from 10 keV TO GeV Energies. Astrophys. J. 2010, 716, 1178–1190. [Google Scholar] [CrossRef]
- Ackermann, M.; Ajello, M.; Albert, A.; Anderson, B.; Arimoto, M.; Atwood, W.B.; Axelsson, M.; Baldini, L.; Ballet, J.; Barbiellini, G.; et al. Fermi-LAT Observations of the LIGO Event GW150914. Astrophys. J. Lett. 2016, 823, L2. [Google Scholar] [CrossRef]
- Tavani, M.; Pittori, C.; Verrecchia, F.; Bulgarelli, A.; Giuliani, A.; Donnarumma, I.; Argan, A.; Trois, A.; Lucarelli, F.; Marisaldi, M.; et al. AGILE Observations of the Gravitational-wave Event GW150914. Astrophys. J. Lett. 2016, 825, L4. [Google Scholar] [CrossRef]
- MAGIC Collaboration; Acciari, V.A.; Ansoldi, S.; Antonelli, L.A.; Engels, A.A.; Baack, D.; Babić, A.; Banerjee, B.; Barres de Almeida, U.; Barrio, J.A.; et al. Observation of inverse Compton emission from a long γ-ray burst. Nature 2019, 575, 459–463. [Google Scholar] [CrossRef]
- Ursi, A.; Tavani, M.; Frederiks, D.D.; Romani, M.; Verrecchia, F.; Marisaldi, M.; Aptekar, R.L.; Antonelli, L.A.; Argan, A.; Bulgarelli, A.; et al. AGILE and Konus-Wind Observations of GRB 190114C: The Remarkable Prompt and Early Afterglow Phases. Astrophys. J. 2020, 904, 133. [Google Scholar] [CrossRef]
- Tavani, M.; Piano, G.; Bulgarelli, A.; Foffano, L.; Ursi, A.; Verrecchia, F.; Pittori, C.; Casentini, C.; Giuliani, A.; Longo, F.; et al. AGILE Gamma-ray Detection of the Exceptional GRB 221009A. Astrophys. J. Lett. 2023, 956, L23. [Google Scholar] [CrossRef]
- Cao, Z.; Aharonian, F.; An, Q.; Axikegu; Bai, Y.X.; Bao, Y.W.; Bastieri, D.; Bi, X.J.; Bi, Y.J.; Cai, J.T.; et al. Very high-energy gamma-ray emission beyond 10 TeV from GRB 221009A. Sci. Adv. 2023, 9, eadj2778. [Google Scholar] [CrossRef]
- Vigliano, A.; Longo, F. Gamma-ray Bursts: 50 Years and Counting! Universe 2024, 10, 57. [Google Scholar] [CrossRef]
- Verrecchia, F.; Tavani, M.; Ursi, A.; Argan, A.; Pittori, C.; Donnarumma, I.; Bulgarelli, A.; Fuschino, F.; Labanti, C.; Marisaldi, M.; et al. AGILE Observations of the Gravitational-wave Source GW170104. Astrophys. J. Lett. 2017, 847, L20. [Google Scholar] [CrossRef]
- Verrecchia, F.; Tavani, M.; Donnarumma, I.; Bulgarelli, A.; Evangelista, Y.; Pacciani, L.; Ursi, A.; Piano, G.; Pilia, M.; Cardillo, M.; et al. AGILE Observations of the Gravitational-wave Source GW170817: Constraining Gamma-ray Emission from an NS-NS Coalescence. Astrophys. J. Lett. 2017, 850, L27. [Google Scholar] [CrossRef]
- Ursi, A.; Verrecchia, F.; Piano, G.; Casentini, C.; Tavani, M.; Bulgarelli, A.; Cardillo, M.; Longo, F.; Lucarelli, F.; Morselli, A.; et al. AGILE Observations of the LIGO-Virgo Gravitational-wave Events of the GWTC-1 Catalog. Astrophys. J. 2022, 924, 80. [Google Scholar] [CrossRef]
- Lucarelli, F.; Pittori, C.; Verrecchia, F.; Donnarumma, I.; Tavani, M.; Bulgarelli, A.; Giuliani, A.; Antonelli, L.A.; Caraveo, P.; Cattaneo, P.W.; et al. AGILE Detection of a Candidate Gamma-ray Precursor to the ICECUBE-160731 Neutrino Event. Astrophys. J. 2017, 846, 121. [Google Scholar] [CrossRef]
- Lucarelli, F.; Tavani, M.; Piano, G.; Bulgarelli, A.; Donnarumma, I.; Verrecchia, F.; Pittori, C.; Antonelli, L.A.; Argan, A.; Barbiellini, G.; et al. AGILE Detection of Gamma-ray Sources Coincident with Cosmic Neutrino Events. Astrophys. J. 2019, 870, 136. [Google Scholar] [CrossRef]
- IceCube Collaboration; Aartsen, M.G.; Ackermann, M.; Adams, J.; Aguilar, J.A.; Ahlers, M.; Ahrens, M.; Al Samarai, I.; Altmann, D.; Andeen, K.; et al. Multimessenger observations of a flaring blazar coincident with high-energy neutrino IceCube-170922A. Science 2018, 361, eaat1378. [Google Scholar] [CrossRef]
- Casentini, C.; Verrecchia, F.; Tavani, M.; Ursi, A.; Antonelli, L.A.; Argan, A.; Barbiellini, G.; Bulgarelli, A.; Caraveo, P.; Cardillo, M.; et al. AGILE Observations of Two Repeating Fast Radio Bursts with Low Intrinsic Dispersion Measures. Astrophys. J. Lett. 2020, 890, L32. [Google Scholar] [CrossRef]
- Tavani, M.; Verrecchia, F.; Casentini, C.; Perri, M.; Ursi, A.; Pacciani, L.; Pittori, C.; Bulgarelli, A.; Piano, G.; Pilia, M.; et al. Gamma-ray and X-ray Observations of the Periodic-repeater FRB 180916 during Active Phases. Astrophys. J. Lett. 2020, 893, L42. [Google Scholar] [CrossRef]
- Pilia, M.; Burgay, M.; Possenti, A.; Ridolfi, A.; Gajjar, V.; Corongiu, A.; Perrodin, D.; Bernardi, G.; Naldi, G.; Pupillo, G.; et al. The Lowest-frequency Fast Radio Bursts: Sardinia Radio Telescope Detection of the Periodic FRB 180916 at 328 MHz. Astrophys. J. Lett. 2020, 896, L40. [Google Scholar] [CrossRef]
- Verrecchia, F.; Casentini, C.; Tavani, M.; Ursi, A.; Mereghetti, S.; Pilia, M.; Cardillo, M.; Addis, A.; Barbiellini, G.; Baroncelli, L.; et al. AGILE Observations of Fast Radio Bursts. Astrophys. J. 2021, 915, 102. [Google Scholar] [CrossRef]
- Tavani, M.; Casentini, C.; Ursi, A.; Verrecchia, F.; Addis, A.; Antonelli, L.A.; Argan, A.; Barbiellini, G.; Baroncelli, L.; Bernardi, G.; et al. An X-ray burst from a magnetar enlightening the mechanism of fast radio bursts. Nat. Astron. 2021, 5, 401–407. [Google Scholar] [CrossRef]
- Feroci, M.; Costa, E.; Del Monte, E.; Donnarumma, I.; Evangelista, Y.; Lapshov, I.; Lazzarotto, F.; Pacciani, L.; Rapisarda, M.; Soffitta, P.; et al. Monitoring the hard X-ray sky with SuperAGILE. Astron. Astrophys. 2010, 510, A9. [Google Scholar] [CrossRef]
- Galli, M.; Marisaldi, M.; Fuschino, F.; Labanti, C.; Argan, A.; Barbiellini, G.; Bulgarelli, A.; Cattaneo, P.W.; Colafrancesco, S.; Del Monte, E.; et al. AGILE mini-calorimeter gamma-ray burst catalog. Astron. Astrophys. 2013, 553, A33. [Google Scholar] [CrossRef]
- Marisaldi, M.; Fuschino, F.; Tavani, M.; Dietrich, S.; Price, C.; Galli, M.; Pittori, C.; Verrecchia, F.; Mereghetti, S.; Cattaneo, P.W.; et al. Properties of terrestrial gamma ray flashes detected by AGILE MCAL below 30 MeV. J. Geophys. Res. 2014, 119, 1337–1355. [Google Scholar] [CrossRef]
- Marisaldi, M.; Argan, A.; Ursi, A.; Gjesteland, T.; Fuschino, F.; Labanti, C.; Galli, M.; Tavani, M.; Pittori, C.; Verrecchia, F.; et al. Enhanced detection of terrestrial gamma-ray flashes by AGILE. Geophys. Res. Lett. 2015, 42, 9481–9487. [Google Scholar] [CrossRef] [PubMed]
- Marisaldi, M.; Galli, M.; Labanti, C.; Østgaard, N.; Sarria, D.; Cummer, S.A.; Lyu, F.; Lindanger, A.; Campana, R.; Ursi, A.; et al. On the High-Energy Spectral Component and Fine Time Structure of Terrestrial Gamma Ray Flashes. J. Geophys. Res. 2019, 124, 7484–7497. [Google Scholar] [CrossRef]
- Ursi, A.; Romani, M.; Verrecchia, F.; Pittori, C.; Tavani, M.; Marisaldi, M.; Galli, M.; Labanti, C.; Parmiggiani, N.; Bulgarelli, A.; et al. The Second AGILE MCAL Gamma-ray Burst Catalog: 13 yr of Observations. Astrophys. J. 2022, 925, 152. [Google Scholar] [CrossRef]
- Ursi, A.; Parmiggiani, N.; Messerotti, M.; Pellizzoni, A.; Pittori, C.; Longo, F.; Verrecchia, F.; Argan, A.; Bulgarelli, A.; Tavani, M.; et al. The First AGILE Solar Flare Catalog. Astrophys. J. Suppl. Ser. 2023, 267, 9. [Google Scholar] [CrossRef]
- De Angelis, A.; Tatischeff, V.; Tavani, M.; Oberlack, U.; Grenier, I.; Hanlon, L.; Walter, R.; Argan, A.; von Ballmoos, P.; Bulgarelli, A.; et al. The e-ASTROGAM mission. Exploring the extreme Universe with gamma rays in the MeV-GeV range. Exp. Astron. 2017, 44, 25–82. [Google Scholar] [CrossRef]
- De Angelis, A.; Tatischeff, V.; Argan, A.; Brandt, S.; Bulgarelli, A.; Bykov, A.; Costantini, E.; Silva, R.C.d.; Grenier, I.A.; Hanlon, L.; et al. Gamma-ray astrophysics in the MeV range. Exp. Astron. 2021, 51, 1225–1254. [Google Scholar] [CrossRef]
- Tomsick, J.A.; Boggs, S.E.; Zoglauer, A.; Hartmann, D.; Ajello, M.; Burns, E.; Fryer, C.; Karwin, C.; Kierans, C.; Lowell, A.; et al. The Compton Spectrometer and Imager. arXiv 2023, arXiv:2308.12362. [Google Scholar] [CrossRef]













| Gamma-ray Imaging Detector (GRID) | |
|---|---|
| Energy range | 30 MeV–50 GeV |
| Field of view | ∼2.5 sr |
| Flux sensitivity ( MeV, 5 in 3 × 106 s) | 3 × 10−7 (ph cm−2 ) |
| Ang. resol. at 100 MeV (68% cont. radius) | 3.5° |
| Ang. resol. at 400 MeV (68% cont. radius) | 1.2° |
| Source localization acc. (, 90% C.L.) | ∼15′ |
| Energy resolution (at 400 MeV) | E/E ∼1 |
| Absolute time resolution | ∼2 s |
| Deadtime | ∼100–200 s |
| Hard X-ray Imaging Detector (SA) | |
| Energy range | 18–60 keV |
| Single (1-dim.) detector FoV (FWZI) | 107° × 68° |
| Combined (2-dim.) detector FoV (FWZI) | 68° × 68° |
| Sensitivity (18–60 keV, 5 in 1 day) | ∼15–30 mCrab |
| Angular resolution (pixel size) | 6 arcmin |
| Source location accuracy (S/N∼10) | ∼1–2 arcmin |
| Energy resolution (FWHM) | E ∼ 8 keV |
| Absolute time resolution | ∼2 s |
| Mini-Calorimeter (MCAL) | |
| Energy range | 0.35–50 MeV |
| Energy resolution ( at 1.3 MeV ) | 13% FWHM |
| Absolute time resolution | ∼3 s |
| Deadtime (for each of the 30 CsI bars) | ∼20 s |
| Flare Date | Duration | Peak -ray Flux | Instrument |
|---|---|---|---|
| (Days) | Photons | ||
| 2007 October | ≈15 | ≈6 | AGILE |
| 2009 February | ≈15 | ≈4 | Fermi |
| 2010 September | ≈4 | ≈5 | AGILE, Fermi |
| 2011 April | ≈2 | ≈0 | Fermi, AGILE |
| 2012 July | ≈3 | ≈5 | Fermi |
| 2013 March | ≈4 | ≈11 | AGILE |
| 2013 October | ≈3 | ≈10 | Fermi, AGILE |
| 2014 August | ≈4 | ≈7 | Fermi |
| 2016 October | ≈13 | ≈7 | AGILE, Fermi |
| 2018 March | ≈3 | ≈5 | Fermi, AGILE |
| 2018 October | ≈10 | ≈11 | Fermi, AGILE |
| 2019 May | ≈6 | ≈5 | Fermi |
| Cygnus X-1 | Cygnus X-3 | V404 Cygni | |
|---|---|---|---|
| Type | HMXB | HMXB | LMXB |
| Compact Object | BH (4.8-14.8) | BH or NS | BH 9 |
| Companion Star | O9.7 Iab (17–31) | WR (>7 ) | K III 0.7 |
| Distance | 1.9 kpc | (7–10) kpc | 2.39 kpc |
| Orbital Period | 5.6 d | 4.8 h | 6.47 d |
| TeV Name | Counterpart | Class |
|---|---|---|
| TeV J0222+430 | 3C 66A | IBL |
| TeV J0232+202 | 1ES 0229+200 | HBL |
| TeV J0319+415 | NGC 1275 | FR-I |
| TeV J0521+211 | RGB J0521.8+211 | IBL |
| TeV J0721+713 | S5 0716+714 | LBL |
| TeV J1104+382 | Mrk 421 | HBL |
| TeV J1256−057 | 3C 279 | FSRQ |
| TeV J1325−430 | Centaurus A | FR-I |
| TeV J1512 | PKS 1510−089 | FSRQ |
| TeV J2001+438 | MAGIC J2001+435 | HBL |
| TeV J2158−302 | PKS 2155−304 | HBL |
| TeV J2202+422 | BL Lacertae | LBL |
| TeV J2359−306 | H 2356−309 | HBL |
| Catalog Title | Description | Reference | Link |
|---|---|---|---|
| The 1st AGILE-GRID Catalog of High Confidence Gamma-ray Sources | Jul. 2007–Jun. 2008 47 Sources | (a) | 1AGL |
| Monitoring the hard X-ray sky with SuperAGILE | Jul. 2007–Apr. 2009 53 Sources | (b) | 1SA |
| The AGILE MCAL Gamma-ray Burst Catalog | Apr. 2007–Oct. 2008 84 Sources | (c) | 1GRB |
| An updated list of AGILE bright -ray sources and their variability in pointing mode | Jul. 2007–Oct. 2009 54 Sources | (d) | 1AGLR |
| Properties of Terrestrial Gamma-ray Flashes detected by AGILE MCAL below 30 MeV | Mar. 2009–Jul. 2012 308 Events | (e) | 1TGF |
| Enhanced detection of Terrestrial Gamma-ray Flashes by AGILE | Mar.–Jun. 2015 279 Events | (f) | 2TGF |
| Search of MeV-GeV counterparts of TeV sources with AGILE in pointing mode | Jul. 2007–Oct. 2009 52 Sources | (g) | 1ATEV |
| The 2nd AGILE Catalog of Gamma-ray sources AGILE in pointing mode | Jul. 2007–Oct. 2009 175 Sources | (h) | 2AGL |
| On The High-Energy Spectral Component and Fine Time Structure of Terrestrial Gamma-ray Flashes | Mar–Jun. 2015 84 Events | (i) | 1HETGF |
| The 3rd AGILE/MCAL TGF Catalog | Apr. 2007–Jun. 2022 5344 Events | (j) | 3TGF |
| The 1st AGILE/MCAL GRB Catalog | Nov. 2007–Nov. 2020 503 Sources | (k) | 2GRB |
| The 1st AGILE Solar Flare Catalog | May 2007–Aug. 2022 5003 Events | (l) | 1SOL |
Disclaimer/Publisher’s Note: The statements, opinions and data contained in all publications are solely those of the individual author(s) and contributor(s) and not of MDPI and/or the editor(s). MDPI and/or the editor(s) disclaim responsibility for any injury to people or property resulting from any ideas, methods, instructions or products referred to in the content. |
© 2024 by the authors. Licensee MDPI, Basel, Switzerland. This article is an open access article distributed under the terms and conditions of the Creative Commons Attribution (CC BY) license (https://creativecommons.org/licenses/by/4.0/).
Share and Cite
Vercellone, S.; Pittori, C.; Tavani, M. Scientific Highlights of the AGILE Gamma-ray Mission. Universe 2024, 10, 153. https://doi.org/10.3390/universe10040153
Vercellone S, Pittori C, Tavani M. Scientific Highlights of the AGILE Gamma-ray Mission. Universe. 2024; 10(4):153. https://doi.org/10.3390/universe10040153
Chicago/Turabian StyleVercellone, Stefano, Carlotta Pittori, and Marco Tavani. 2024. "Scientific Highlights of the AGILE Gamma-ray Mission" Universe 10, no. 4: 153. https://doi.org/10.3390/universe10040153
APA StyleVercellone, S., Pittori, C., & Tavani, M. (2024). Scientific Highlights of the AGILE Gamma-ray Mission. Universe, 10(4), 153. https://doi.org/10.3390/universe10040153

