Evaluation of Spatial Profile of Local Emissions from W17+–W23+ Unresolved Transition Array Spectra
Abstract
1. Introduction
2. Experimental Setup
2.1. Large Helical Device and Measurement System
2.2. Space-Resolved Spectroscopic System in EUV Wavelength
2.3. Method to Evaluate Impurity Spatial Profile
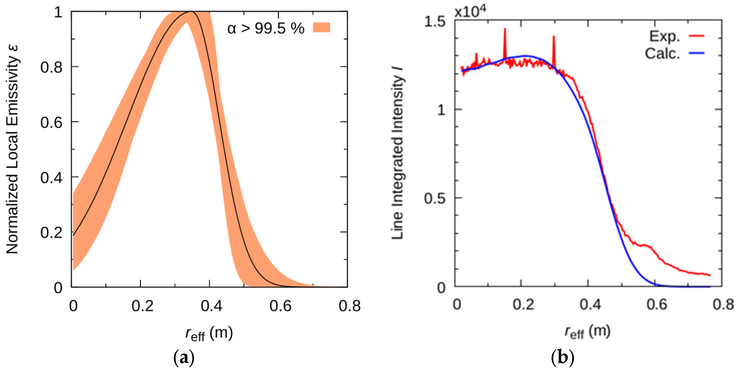
3. Results and Discussion
4. Conclusions
Author Contributions
Funding
Data Availability Statement
Acknowledgments
Conflicts of Interest
References
- Loarte, A.; Lipschultz, B.; Kukushkin, A.S.; Matthews, G.F.; Stangeby, P.C.; Asakura, N.; Counsell, G.F.; Federici, G.; Kallenbach, A.; Krieger, K.; et al. Chapter 4: Power and particle control. Nucl. Fusion 2007, 47, S203–S263. [Google Scholar] [CrossRef]
- Grammers, T.; Emmerich, T.; Qu, D.; Heinze, O.; Vaβen, R.; Aktaa, J. Functionally graded tungsten/EUROFER coating for DEMO first wall: From laboratory to industrial production. Fusion Eng. Des. 2023, 188, 113430. [Google Scholar]
- Asmussen, K.; Fournier, K.B.; Laming, J.M.; Neu, R.; Seely, J.F.; Dux, R.; Engelhardt, J.C.; ASDEX Upgrade Teem. Spectroscopic investigations of tungsten in the EUV region and the determination of its concentration in tokamaks. Nucl. Fusion 1998, 38, 967. [Google Scholar] [CrossRef]
- Nakano, T. The JT-60 Team. Tungsten transport and accumulation in JT-60U. J. Nucl. Mater. 2011, 415, S327–S333. [Google Scholar] [CrossRef]
- Van Rooij, G.J.; Coenen, J.W.; Aho-Mantila, L.; Brezinsek, S.; Clever, M.; Dux, R.; Groth, M.; Krieger, K.; Marsen, S.; Matthews, G.F.; et al. Tungsten divertor erosion in all metal devices: Lessons from the ITER like wall of JET. J. Nucl. Mater. 2013, 438, S42–S47. [Google Scholar] [CrossRef]
- Zhang, L.; Morita, S.; Wu, Z.; Xu, Z.; Yang, X.; Cheng, Y.; Zang, Q.; Liu, H.; Liu, Y.; Zhang, H.; et al. A space-resolved extreme ultraviolet spectrometer for radial profile measurement of tungsten ions in the Experimental Advanced Superconducting Tokamak. Nucl. Inst. Methods Phys. Res. A 2019, 916, 169–178. [Google Scholar] [CrossRef]
- Dong, C.F.; Morita, S.; Cui, Z.Y.; Sun, P.; Zhang, K.; Murakami, I.; Zhang, B.Y.; Yang, Z.C.; Feng, L.; Li, Y.; et al. Evaluation of tungsten influx rate and study of edge tungsten behavior based on the observation of EUV line emissions from W6+ ions in HL-2A. Nucl. Fusion 2019, 59, 016020. [Google Scholar] [CrossRef]
- Guirlet, R.; Desgranges, C.; Schwob, J.L.; Mandelbaum, P.; Boumendjel, M.Y. The WEST Team. Extreme UV spectroscopy measurements and analysis for tungsten density studies in the WEST tokamak. Plasma Phys. Control. Fusion 2022, 64, 105024. [Google Scholar] [CrossRef]
- Zurro, B.; Hollmann, E.M.; Baciero, A.; Ochando, M.A.; McCarthy, K.J.; Medina, F.; Velasco, J.L.; Pastor, I.; Baião, D.; de la Cal, E.; et al. Studying the impurity charge and main ion mass dependence of impurity confinement in ECR-heated TJ-II stellarator. Plasma Phys. Control. Fusion 2014, 56, 124007. [Google Scholar] [CrossRef]
- McCarthy, K.J.; Zurro, B.; Hollmann, E.M.; Hernández Sánchez, J. The TJ-II Team. A spectral line survey from 17.6–250 nm of plasmas created in a magnetic confinement device. Phys. Scr. 2016, 91, 115601. [Google Scholar] [CrossRef]
- Oishi, T.; Morita, S.; Kato, D.; Murakami, I.; Sakaue, H.A.; Goto, M.; Kawamoto, Y.; Kawate, T.; Nishimura, R.; Takahashi, H.; et al. Observation of tungsten spectra up to W46+ ions in the Large Helical Device and contribution to the study of high-Z impurity transport in fusion plasmas. Nucl. Fusion 2024, 64, 106011. [Google Scholar] [CrossRef]
- Kramida, A.; Ralchenko, Y.; Reader, J.; NIST ASD Team. NIST Atomic Spectra Database (Version 5.11). 2023. Available online: https://physics.nist.gov/asd (accessed on 1 November 2024).
- Ralchenko, Y. Collisional-Radiative Modeling for Highly-Charged Ions of Tungsten. Plasma Fusion Res. 2013, 8, 2503024. [Google Scholar] [CrossRef]
- Li, W.; Shi, Z.; Yang, Y.; Xiao, J.; Brage, T.; Hutton, R.; Zou, Y. Tungsten spectroscopy in the EUV range observed at a high-temperature superconducting electron-beam ion trap. Phys. Rev. A 2015, 91, 062501. [Google Scholar] [CrossRef]
- Sakaue, H.A.; Kato, D.; Yamamoto, N.; Nakamura, N.; Murakami, I. Spectra of W19+–W23+ observed in the EUV region between 15 and 55 Å with an electron-beam ion trap. Phys. Rev. A 2015, 92, 012504. [Google Scholar] [CrossRef]
- Liang, S.; Lu, Q.; Wang, X.; Yang, Y.; Yao, K.; Shen, Y.; Wei, B.; Xiao, J.; Chen, S.; Zhou, P.; et al. A low-energy compact Shanghai-Wuhan electron beam ion trap for extraction of highly charged ions. Rev. Sci. Instrum. 2019, 90, 093301. [Google Scholar] [CrossRef]
- Pütterich, T.; Jonauskas, V.; Nue, R.; Dux, R. ASDEX Upgrade Team. The Extreme Ultraviolet Emissions of W23+ (4f5). AIP Conf. Ser. 2013, 1545, 132–142. [Google Scholar]
- Murakami, I.; Kato, D.; Oishi, T.; Goto, M.; Kawamoto, Y.; Suzuki, C.; Sakaue, H.A.; Morita, S. LHD Experiment Group. Progress of tungsten spectral modeling for ITER edge plasma diagnostics based on tungsten spectroscopy in LHD. Nucl. Mater. Energy 2021, 26, 100923. [Google Scholar]
- Priti; Inadome, K.; Funabashi, M.; Nakamura, N.; Sakaue, H.A.; Murakami, I.; Kato, D. Identification of Visible Lines in Pm-like W13+. Atoms 2023, 11, 57. [Google Scholar] [CrossRef]
- Murata, S.; Safronova, M.S.; Safronova, U.I.; Nakamura, N. Visible spectra of heavy ions with an open 4f shell. X-Ray Spectrom. 2020, 49, 200–203. [Google Scholar] [CrossRef]
- Bauche, J.; Bauche-Arnoult, C. Unresolved Transition Arrays. Phys. Scr. 1998, 37, 659–663. [Google Scholar] [CrossRef]
- Churilov, S.S.; Kildiyarova, R.R.; Ryabtsev, A.N.; Sadosky, S.V. EUV spectra of Gd and Tb ions excited in laser-produced and vacuum spark plasmas. Phys. Scr. 2009, 80, 045303. [Google Scholar] [CrossRef]
- Demura, A.V.; Leontyev, D.S.; Lisitsa, V.S.; Shurygin, V.A. Statistical Model for Quasicontinuum of Heavy Ions in Hot Plasma. Plasma Phys. Rep. 2020, 46, 241–251. [Google Scholar] [CrossRef]
- Nishimura, R.; Oishi, T.; Murakami, I.; Kato, D.; Sakaue, H.A.; Gupta, S.; Ohashi, H.; Goto, M.; Kawamoto, Y.; Kawate, T.; et al. Observation and Identification of W19+-W23+ Spectra in the EUV Wavelength Region in the Vicinity of 200 Å. Plasma Fusion Res. 2024, 19, 1402022. [Google Scholar] [CrossRef]
- Gu, M.F. Indirect X-Ray Line-Formation Processes in Iron L-Shell Ions. Astrophys. J. 2003, 582, 1241. [Google Scholar] [CrossRef]
- Nishimura, R.; Oishi, T.; Murakami, I.; Kato, D.; Sakaue, H.A.; Gupta, S.; Ohashi, H.; Goto, M.; Kawamoto, Y.; Kawate, T.; et al. Collisional-Radiative modeling of unresolved transition array spectra near 200 Å from W17+–W25+ emissions for diagnostics of ITER edge plasma. Nucl. Mater. Energy 2024, 41, 101740. [Google Scholar] [CrossRef]
- Nishimura, R.; Oishi, T.; Murakami, I.; Kato, D.; Sakaue, H.A.; Gupta, S.; Ohashi, H.; Goto, M.; Kawamoto, Y.; Kawate, T.; et al. Investigation of Tungsten Unresolved Transition Array Spectrum around 300 Å for Fusion Plasma Diagnostics. Plasma Fusion Res. 2025, 20, 2402005. [Google Scholar] [CrossRef]
- Takeiri, Y.; Morisaki, T.; Osakabe, M.; Yokoyama, M.; Sakakibara, S.; Takahashi, H.; Nakamura, Y.; Oishi, T.; Motojima, G.; Murakami, S.; et al. Extension of the operational regime of the LHD towards a deuterium experiment. Nucl. Fusion 2017, 57, 102023. [Google Scholar] [CrossRef]
- Narihara, R.; Yamada, I.; Hayashi, H.; Yamauchi, K. Design and performance of the Thomson scattering diagnostics on LHD. Rev. Sci. Instrum. 2001, 72, 1122–1125. [Google Scholar] [CrossRef]
- Peterson, B.J.; Yoshimura, S.; Drapiko, E.A.; Seo, D.C.; Ashikawa, N.; Miyazawa, J. Bolometer diagnostics on LHD. Fusion Sci. Technol. 2010, 58, 412–417. [Google Scholar] [CrossRef]
- Huang, X.; Morita, S.; Oishi, T.; Goto, M.; Dong, C. Space-resolved ultraviolet spectroscopy free of high-energy neutral particle noise in wavelength range of 10–130 Å on the large helical device. Rev. Sci. Instrum. 2014, 85, 043511. [Google Scholar] [CrossRef]
- Dong, C.; Morita, S.; Goto, M.; Zhou, H. Space-resolved ultraviolet spectrometer for impurity emission profile measurement in Large Helical Device. Rev. Sci. Instrum. 2010, 81, 033107. [Google Scholar] [CrossRef]
- Laviron, C.; Donné, A.J.H.; Manso, M.E.; Sanchez, J. Reflectometry techniques for density profile measurements on fusion plasmas. Plasma Phys. Control. Fusion 1996, 38, 905–936. [Google Scholar] [CrossRef]
- Smith, M.L.; Dennis, R.K.; Sudharsanan, S.I. Abel inversion using transform techniques. J. Quant. Spectrosc. Radiat. Transf. 1998, 39, 367–373. [Google Scholar] [CrossRef]
- Ingesson, L.C.; Alper, B.; Peterson, B.J.; Vallet, J.-C. Chapter 7: Tomography Diagnostics: Bolometry and Soft-X-Ray Detection. Fusion Sci. Technol. 2007, 53, 528–576. [Google Scholar] [CrossRef]
- Fujii, K.; Kato, D.; Nakamura, N.; Goto, M.; Morita, S.; Hasuo, M. Experimental evaluation of fractional abundance data for W23+–W28+. J. Phys. B At. Mol. Opt. Phys. 2017, 50, 055004. [Google Scholar] [CrossRef]
- Kato, D.; Sakaue, H.A.; Murakami, I.; Goto, M.; Oishi, T.; Tamura, N.; Funaba, H.; Morita, S. Assessment of W density in LHD core plasmas using visible forbidden lines of highly charged W ions. Nucl. Fusion 2021, 61, 116008. [Google Scholar] [CrossRef]
- Demura, A.V.; Kadomtsev, M.B.; Lisitsa, V.S.; Shurygin, V.A. Tungsten Ions in Plasmas: Statistical Theory of Radiative-Collisional Processes. Atoms 2015, 3, 162–181. [Google Scholar] [CrossRef]
- Liu, Y.; Morita, S.; Huang, X.; Oishi, T.; Goto, M.; Zhang, H. Component investigation of ionization stages on tungsten unresolved transition array spectra for plasma diagnostics based on space-resolved extreme ultra-violet spectroscopy in large helical device. J. Appl. Phys. 2017, 122, 233301. [Google Scholar] [CrossRef]
- Boumendjel, M.Y.; Desgranges, C.; Guirlet, R.; Peyrusse, O.; West Team. Collisional-radiative modeling and radiative emission of tungsten in tokamak plasmas in the temperature range (800–5000) eV. Phys. Plasmas 2023, 30, 093302. [Google Scholar] [CrossRef]
- TFR Group. Are Heavy Impurities in TFR Tokamak Plasmas at Iozination Equilibrium? Plasma Phys. 1980, 22, 851. [Google Scholar]
- Breton, C.; Compant la Fontaine, A.; Michelis, C.D.; Hecq, W.; Lasalle, J.; Leocoustey, P.; Mattioli, M.; Mazzitelli, G.; Platz, P.; Ramette, J. Relevance of heavy-impurity transport simulations if TFR Tokamak plasmas to ionization equilibrium evaluations. J. Phys. B At. Mol. Phys. 1983, 16, 2627–2646. [Google Scholar] [CrossRef]
- Berhinger, K. Description of the Impurity Transport Code STRAHL; JET Joint Undertaking: Abingdon, UK, 1987; p. 87. [Google Scholar]
- Pütterich, T.; Neu, R.; Dux, R.; Whiteford, A.D.; O’Mullane, M.G.; The ASDEX Upgrade Team. Modeling of measured tungsten spectra from ASDEX Upgrade and predictions for ITER. Plasma Phys. Control. Fusion 2008, 50, 085016. [Google Scholar] [CrossRef]
- Shurygin, V.A. Diffusive-Convective Model of Impurity Transport in Quasi-Stationary Plasma: Criticism and Alternative. Plasma Phys. Rep. 2024, 50, 911–930. [Google Scholar] [CrossRef]










Disclaimer/Publisher’s Note: The statements, opinions and data contained in all publications are solely those of the individual author(s) and contributor(s) and not of MDPI and/or the editor(s). MDPI and/or the editor(s) disclaim responsibility for any injury to people or property resulting from any ideas, methods, instructions or products referred to in the content. |
© 2025 by the authors. Licensee MDPI, Basel, Switzerland. This article is an open access article distributed under the terms and conditions of the Creative Commons Attribution (CC BY) license (https://creativecommons.org/licenses/by/4.0/).
Share and Cite
Nishimura, R.; Oishi, T.; Murakami, I.; Kato, D.; Sakaue, H.A.; Ohashi, H.; Gupta, S.; Suzuki, C.; Goto, M.; Kawamoto, Y.; et al. Evaluation of Spatial Profile of Local Emissions from W17+–W23+ Unresolved Transition Array Spectra. Atoms 2025, 13, 21. https://doi.org/10.3390/atoms13020021
Nishimura R, Oishi T, Murakami I, Kato D, Sakaue HA, Ohashi H, Gupta S, Suzuki C, Goto M, Kawamoto Y, et al. Evaluation of Spatial Profile of Local Emissions from W17+–W23+ Unresolved Transition Array Spectra. Atoms. 2025; 13(2):21. https://doi.org/10.3390/atoms13020021
Chicago/Turabian StyleNishimura, Ryota, Tetsutarou Oishi, Izumi Murakami, Daiji Kato, Hiroyuki A. Sakaue, Hayato Ohashi, Shivam Gupta, Chihiro Suzuki, Motoshi Goto, Yasuko Kawamoto, and et al. 2025. "Evaluation of Spatial Profile of Local Emissions from W17+–W23+ Unresolved Transition Array Spectra" Atoms 13, no. 2: 21. https://doi.org/10.3390/atoms13020021
APA StyleNishimura, R., Oishi, T., Murakami, I., Kato, D., Sakaue, H. A., Ohashi, H., Gupta, S., Suzuki, C., Goto, M., Kawamoto, Y., Kawate, T., Takahashi, H., & Tobita, K. (2025). Evaluation of Spatial Profile of Local Emissions from W17+–W23+ Unresolved Transition Array Spectra. Atoms, 13(2), 21. https://doi.org/10.3390/atoms13020021

