Anti-Inflammatory and Barrier-Stabilising Effects of Myrrh, Coffee Charcoal and Chamomile Flower Extract in a Co-Culture Cell Model of the Intestinal Mucosa
Abstract
1. Introduction
2. Materials and Methods
2.1. Chemicals
2.2. Plant Extraction and Phytochemical Profiling
2.3. Cell Culture Model of the Intestinal Mucosa
2.4. Inflammatory Stimulation and Substance Incubation
2.5. Transepithelial Electrical Resistance (TEER) Measurement
2.6. Mediator Protein Release Quantification
2.7. Cell Viability Testing
2.7.1. MTT Assay
2.7.2. LDH Assay
2.7.3. JC-10 Assay
2.7.4. BrdU Assay
2.8. Data Analysis
3. Results and Discussion
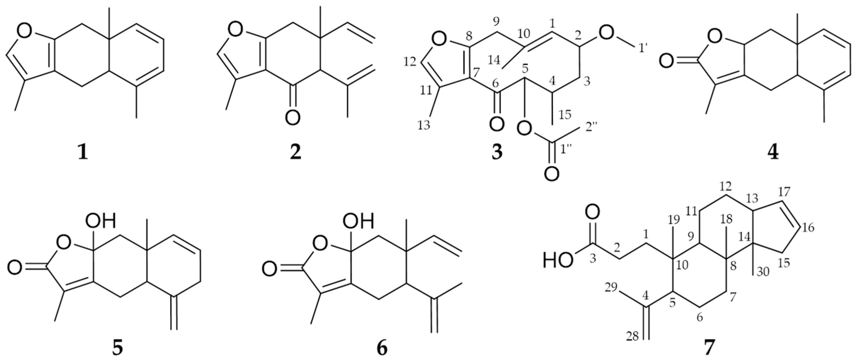
3.1. Phytochemical Profiling
3.2. Pharmacological Evaluation of Plant Extracts with In Vitro Model of the Inflamed Intestinal Mucosa
4. Conclusions
Supplementary Materials
Author Contributions
Funding
Acknowledgments
Conflicts of Interest
References
- Windsor, J.W.; Kaplan, G.G. Evolving epidemiology of IBD. Curr. Gastroenterol. Rep. 2019, 21, 40. [Google Scholar] [CrossRef] [PubMed]
- Sairenji, T.; Collins, K.L.; Evans, D.V. An update on inflammatory bowel disease. Prim. Care 2017, 44, 673–692. [Google Scholar] [CrossRef] [PubMed]
- Zhang, Y.-Z.; Li, Y.-Y. Inflammatory bowel disease: Pathogenesis. World J. Gastroenterol. 2014, 20, 91–99. [Google Scholar] [CrossRef] [PubMed]
- Xavier, R.J.; Podolsky, D.K. Unravelling the pathogenesis of inflammatory bowel disease. Nature 2007, 448, 427–434. [Google Scholar] [CrossRef] [PubMed]
- Camilleri, M. Leaky gut: Mechanisms, measurement and clinical implications in humans. Gut 2019, 68, 1516–1526. [Google Scholar] [CrossRef] [PubMed]
- Cheifetz, A.S.; Gianotti, R.; Luber, R.; Gibson, P.R. Complementary and alternative medicines used by patients with inflammatory bowel diseases. Gastroenterology 2017, 152, 415–429.e15. [Google Scholar] [CrossRef]
- Gröchenig, H.P.; Waldhör, T.; Haas, T.; Wenzl, H.; Steiner, P.; Koch, R.; Feichtenschlager, T.; Eckhardt, G.; Mayer, A.; Kirchgatterer, A.; et al. Prevalence and indicators of use of complementary and alternative medicine in Austrian patients with inflammatory bowel disease. Eur. J. Gastroenterol. Hepatol. 2019, 31, 1211–1219. [Google Scholar] [CrossRef]
- Langhorst, J.; Wulfert, H.; Lauche, R.; Klose, P.; Cramer, H.; Dobos, G.J.; Korzenik, J. Systematic review of complementary and alternative medicine treatments in inflammatory bowel diseases. J. Crohns Colitis 2015, 9, 86–106. [Google Scholar] [CrossRef] [PubMed]
- Langhorst, J.; Varnhagen, I.; Schneider, S.B.; Albrecht, U.; Rueffer, A.; Stange, R.; Michalsen, A.; Dobos, G.J. Randomised clinical trial: A herbal preparation of myrrh, chamomile and coffee charcoal compared with mesalazine in maintaining remission in ulcerative colitis—A double-blind, double-dummy study. Aliment. Pharmacol. Ther. 2013, 38, 490–500. [Google Scholar] [CrossRef] [PubMed]
- Kucharzik, T.; Dignass, A.U.; Atreya, R.; Bokemeyer, B.; Esters, P.; Herrlinger, K.; Kannengießer, K.; Kienle, P.; Langhorst, J.; Lügering, A.; et al. Aktualisierte S3-Leitlinie Colitis ulcerosa der Deutschen Gesellschaft für Gastroenterologie, Verdauungs- und Stoffwechselkrankheiten (DGVS). Z. Gastroenterol. 2018, 56, 1087–1169. [Google Scholar] [CrossRef]
- Vissiennon, C.; Goos, K.-H.; Goos, O.; Nieber, K. Antispasmodic effects of myrrh due to calcium antagonistic effects in inflamed rat small intestinal preparations. Planta Med. 2015, 81, 116–122. [Google Scholar] [CrossRef] [PubMed]
- Vissiennon, C.; Hammoud, D.; Rodewald, S.; Fester, K.; Goos, K.-H.; Nieber, K.; Arnhold, J. Chamomile flower, myrrh, and coffee charcoal, components of a traditional herbal medicinal product, diminish proinflammatory activation in human macrophages. Planta Med. 2017, 83, 846–854. [Google Scholar] [CrossRef] [PubMed]
- Martini, E.; Krug, S.M.; Siegmund, B.; Neurath, M.F.; Becker, C. Mend your fences: The epithelial barrier and its relationship with mucosal immunity in inflammatory bowel disease. Cell. Mol. Gastroenterol. Hepatol. 2017, 4, 33–46. [Google Scholar] [CrossRef]
- Salim, S.A.Y.; Söderholm, J.D. Importance of disrupted intestinal barrier in inflammatory bowel diseases. Inflamm. Bowel Dis. 2011, 17, 362–381. [Google Scholar] [CrossRef] [PubMed]
- Weber, L.; Hammoud Mahdi, D.; Jankuhn, S.; Lipowicz, B.; Vissiennon, C. Bioactive plant compounds in coffee charcoal (Coffeae carbo) extract inhibit cytokine release from activated human THP-1 macrophages. Molecules 2019, 24, 4263. [Google Scholar] [CrossRef]
- Chou, T.-C. Theoretical basis, experimental design, and computerized simulation of synergism and antagonism in drug combination studies. Pharmacol. Rev. 2006, 58, 621–681. [Google Scholar] [CrossRef] [PubMed]
- Brieskorn, C.H.; Noble, P. Drei neue Furanogermacrene aus Myrrhe. Tetrahedron Lett. 1980, 21, 1511–1514. [Google Scholar] [CrossRef]
- Ayyad, S.-E.N.; Hoye, T.R.; Alarif, W.M.; Al Ahmadi, S.A.M.; Basaif, S.A.; Ghandourah, M.A.; Badria, F.A. Differential cytotoxic activity of the petroleum ether extract and its furanosesquiterpenoid constituents from Commiphora molmol resin. Z. Naturforsch. C 2015, 70, 87–92. [Google Scholar] [CrossRef]
- Takeda, K.I.; Horibe, I.; Minato, H. Components of the root of Lindera strychnifolia Vill. Part XIV. Sesquiterpene lactones from the root of Lindera strychnifolia Vill. J. Chem. Soc. C Org. 1968, 569. [Google Scholar] [CrossRef]
- Shen, T.; Wan, W.-Z.; Wang, X.-N.; Yuan, H.-Q.; Ji, M.; Lou, H.-X. A triterpenoid and sesquiterpenoids from the resinous exudates of Commiphora myrrha. HCA 2009, 92, 645–652. [Google Scholar] [CrossRef]
- Provan, G.J.; Waterman, P.G. The mansumbinanes: Octanordammaranes from the resin of Commiphora incisa. Phytochemistry 1986, 25, 917–922. [Google Scholar] [CrossRef]
- Rahman, M.M.; Garvey, M.; Piddock, L.J.V.; Gibbons, S. Antibacterial terpenes from the oleo-resin of Commiphora molmol (Engl.). Phytother. Res. 2008, 22, 1356–1360. [Google Scholar] [CrossRef] [PubMed]
- Aksoy, M.O.; Li, X.; Borenstein, M.; Yi, Y.; Kelsen, S.G. Effects of topical corticosteroids on inflammatory mediator-induced eicosanoid release by human airway epithelial cells. J. Allergy Clin. Immunol. 1999, 103, 1081–1091. [Google Scholar] [CrossRef]
- Adcock, I.M. Molecular mechanisms of glucocorticosteroid actions. Pulm. Pharmacol. Ther. 2000, 13, 115–126. [Google Scholar] [CrossRef] [PubMed]
- Gomollón, F.; Dignass, A.; Annese, V.; Tilg, H.; van Assche, G.; Lindsay, J.O.; Peyrin-Biroulet, L.; Cullen, G.J.; Daperno, M.; Kucharzik, T.; et al. 3rd European evidence-based consensus on the diagnosis and management of Crohn’s disease 2016. Part 1: Diagnosis and medical management. J. Crohns Colitis 2017, 11, 3–25. [Google Scholar] [CrossRef]
- Fischer, A.; Gluth, M.; Weege, F.; Pape, U.-F.; Wiedenmann, B.; Baumgart, D.C.; Theuring, F. Glucocorticoids regulate barrier function and claudin expression in intestinal epithelial cells via MKP-1. Am. J. Physiol. Gastrointest. Liver Physiol. 2014, 306, G218–G228. [Google Scholar] [CrossRef]
- Lozoya-Agullo, I.; Araújo, F.; González-Álvarez, I.; Merino-Sanjuán, M.; González-Álvarez, M.; Bermejo, M.; Sarmento, B. Usefulness of Caco-2/HT29-MTX and Caco-2/HT29-MTX/Raji B coculture models to predict intestinal and colonic permeability compared to Caco-2 monoculture. Mol. Pharm. 2017, 14, 1264–1270. [Google Scholar] [CrossRef]
- Kämpfer, A.A.M.; Urbán, P.; Gioria, S.; Kanase, N.; Stone, V.; Kinsner-Ovaskainen, A. Development of an in vitro co-culture model to mimic the human intestine in healthy and diseased state. Toxicol. In Vitro 2017, 45, 31–43. [Google Scholar] [CrossRef] [PubMed]
- Rosenthal, R.; Luettig, J.; Hering, N.A.; Krug, S.M.; Albrecht, U.; Fromm, M.; Schulzke, J.-D. Myrrh exerts barrier-stabilising and -protective effects in HT-29/B6 and Caco-2 intestinal epithelial cells. Int. J. Colorectal Dis. 2017, 32, 623–634. [Google Scholar] [CrossRef]


| Mediator Release | Myrrh (0.1–100 µg/mL) | Coffee Charcoal (1–500 µg/mL) | Chamomile Flower (0.1–200 µg/mL) | Extract Combination (0.25–150 µg/mL) | |
|---|---|---|---|---|---|
| IC50 (µg/mL) (95%CI) | IC50 (µg/mL) (95%CI) | IC50 (µg/mL) (95%CI) | IC50 (µg/mL) (95%CI) | Combination Index | |
| M-IL-6 | 14 (3.3–62.3) | 152 (2.1–10905) | - | 5 (1.9–15.6) | 0.13 (++++) |
| M-TNF | 15 (5.1–44.5) | - | 98 (54.8–175.6) | 26 (13.7–49.7) | 0.67 (+++) |
| M-PGE2 | 6 (1.5–17.9) | 251 (105.2–3005) | 39 (7.9–116.4) | 17 (4.2–33.2) | 1.11 (−) |
| IEC-IL-8 | 42 (20.5–86.1) | 106 (46.1–244.9) | 268 (40.1–1790) | 59 (34.1–103.5) | 0.73 (++) |
| IEC-MCP-1 | 35 (9.9–122.5) | 293 (107.3–800.2) | - | 54 (27.1–106.7) | 0.58 (+++) |
| IEC-PGE2 | 13 (2.9–64.1) | 136 (51.8–532.0) | 51 (15.2–154.0) | 17 (4.5–39.6) | 0.59 (+++) |
| IEC barrier | EC50 (µg/mL) (95%CI) | EC50 (µg/mL) (95%CI) | EC50 (µg/mL) (95%CI) | EC50 (µg/mL) (95%CI) | Combination Index |
| TEER | 48 (8.3–99.5) | 98 (15.2–3123) | - | 80 (35.7–102.0) | 0.83 (++) |
© 2020 by the authors. Licensee MDPI, Basel, Switzerland. This article is an open access article distributed under the terms and conditions of the Creative Commons Attribution (CC BY) license (http://creativecommons.org/licenses/by/4.0/).
Share and Cite
Weber, L.; Kuck, K.; Jürgenliemk, G.; Heilmann, J.; Lipowicz, B.; Vissiennon, C. Anti-Inflammatory and Barrier-Stabilising Effects of Myrrh, Coffee Charcoal and Chamomile Flower Extract in a Co-Culture Cell Model of the Intestinal Mucosa. Biomolecules 2020, 10, 1033. https://doi.org/10.3390/biom10071033
Weber L, Kuck K, Jürgenliemk G, Heilmann J, Lipowicz B, Vissiennon C. Anti-Inflammatory and Barrier-Stabilising Effects of Myrrh, Coffee Charcoal and Chamomile Flower Extract in a Co-Culture Cell Model of the Intestinal Mucosa. Biomolecules. 2020; 10(7):1033. https://doi.org/10.3390/biom10071033
Chicago/Turabian StyleWeber, Laura, Katrin Kuck, Guido Jürgenliemk, Jörg Heilmann, Bartosz Lipowicz, and Cica Vissiennon. 2020. "Anti-Inflammatory and Barrier-Stabilising Effects of Myrrh, Coffee Charcoal and Chamomile Flower Extract in a Co-Culture Cell Model of the Intestinal Mucosa" Biomolecules 10, no. 7: 1033. https://doi.org/10.3390/biom10071033
APA StyleWeber, L., Kuck, K., Jürgenliemk, G., Heilmann, J., Lipowicz, B., & Vissiennon, C. (2020). Anti-Inflammatory and Barrier-Stabilising Effects of Myrrh, Coffee Charcoal and Chamomile Flower Extract in a Co-Culture Cell Model of the Intestinal Mucosa. Biomolecules, 10(7), 1033. https://doi.org/10.3390/biom10071033

