An Optimized NGS Workflow Defines Genetically Based Prognostic Categories for Patients with Uveal Melanoma
Abstract
1. Introduction
2. Materials and Methods
2.1. Sample Collection
2.2. DNA Extraction and Quantification
2.3. NGS Cancer Panel Design (UMpanel)
2.4. NGS Library Preparation
2.5. NGS Data Analysis
2.6. Performance Evaluation of the UMpanel
2.7. Sanger Sequencing
2.8. Statistical Analysis and Overall Survival Estimation
3. Results
3.1. UMpanel Coverage Analysis
3.2. UMpanel Performance Validation and Comparative Analysis for Major Driver Genes
3.3. Validation of UMpanel SNV Calling by a Comparative Analysis with Conventional Sanger Sequencing and with the Genome in a Bottle Consortium Data
3.4. Validation of Bi-Allelic Imbalances Detected by the UMpanel
3.5. Molecular Landscape of 44 Patients with Uveal Melanoma Using the UMpanel
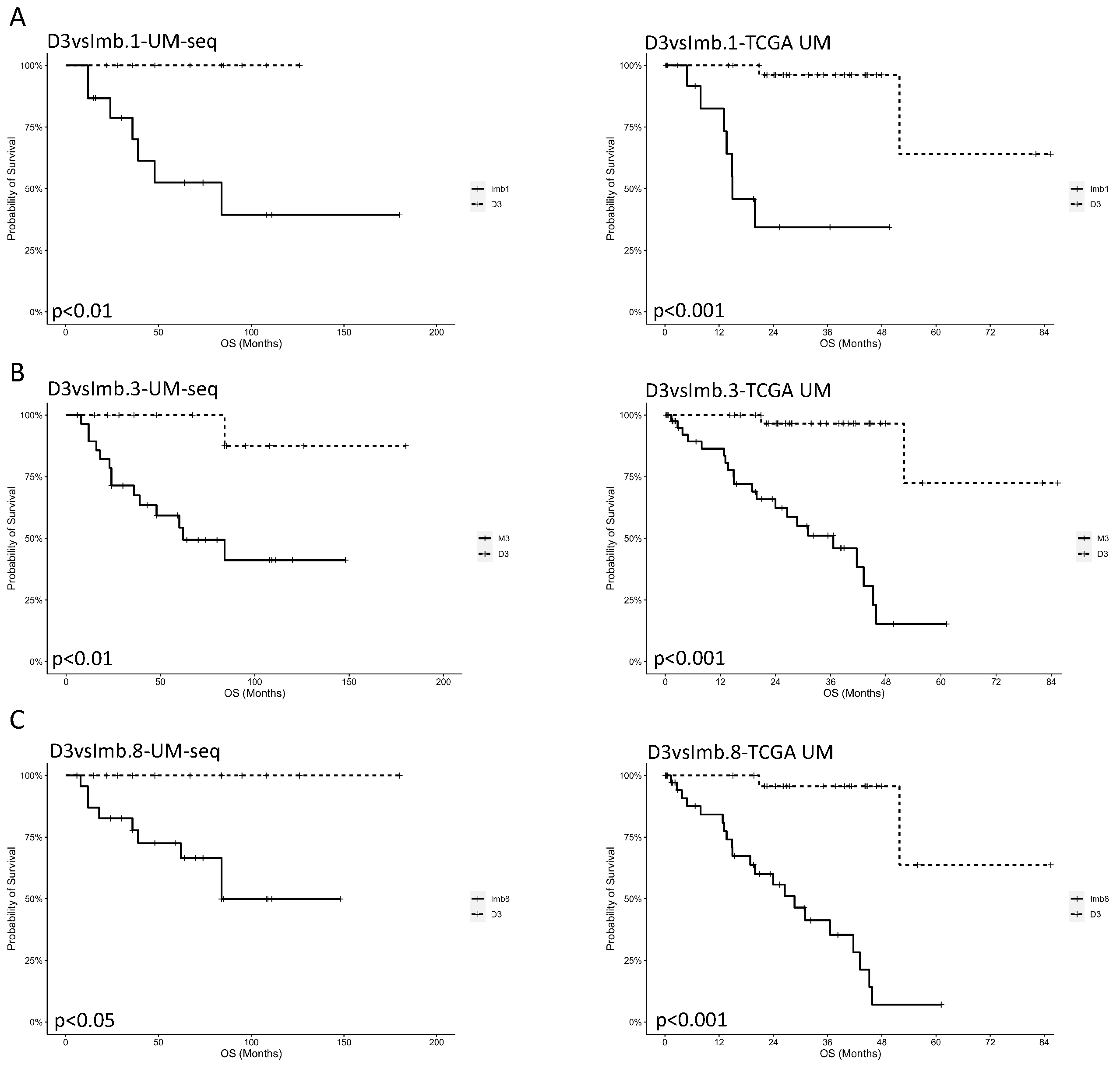
3.6. Impact of BAP1 Mutations and Bi-Allelic Imbalances in Chromosomes 1, 3 and 8 on the Survival of Patients with UM
4. Discussion
5. Conclusions
Supplementary Materials
Author Contributions
Funding
Institutional Review Board Statement
Informed Consent Statement
Data Availability Statement
Conflicts of Interest
References
- Zbytek, B.; Carlson, J.A.; Granese, J.; Ross, J.; Mihm, M.C., Jr.; Slominski, A. Current concepts of metastasis in melanoma. Expert Rev. Dermatol. 2008, 3, 569–585. [Google Scholar] [CrossRef] [PubMed]
- Krantz, B.A.; Dave, N.; Komatsubara, K.M.; Marr, B.P.; Carvajal, R.D. Uveal melanoma: Epidemiology, etiology, and treatment of primary disease. Clin. Ophthalmol. 2017, 11, 279–289. [Google Scholar] [CrossRef] [PubMed]
- Koch, E.A.T.; Heppt, M.V.; Berking, C. The Current State of Systemic Therapy of Metastatic Uveal Melanoma. Am. J. Clin. Dermatol. 2024, 25, 691–700. [Google Scholar] [CrossRef] [PubMed]
- Hua, G.; Carlson, D.; Starr, J.R. Tebentafusp-tebn: A Novel Bispecific T-Cell Engager for Metastatic Uveal Melanoma. J. Adv. Pract. Oncol. 2022, 13, 717–723. [Google Scholar] [CrossRef]
- Hassel, J.C.; Piperno-Neumann, S.; Rutkowski, P.; Baurain, J.F.; Schlaak, M.; Butler, M.O.; Sullivan, R.J.; Dummer, R.; Kirkwood, J.M.; Orloff, M.; et al. Three-Year Overall Survival with Tebentafusp in Metastatic Uveal Melanoma. N. Engl. J. Med. 2023, 389, 2256–2266. [Google Scholar] [CrossRef] [PubMed]
- Vichitvejpaisal, P.; Dalvin, L.A.; Mazloumi, M.; Ewens, K.G.; Ganguly, A.; Shields, C.L. Genetic Analysis of Uveal Melanoma in 658 Patients Using the Cancer Genome Atlas Classification of Uveal Melanoma as A, B, C, and D. Ophthalmology 2019, 126, 1445–1453. [Google Scholar] [CrossRef] [PubMed]
- Plasseraud, K.M.; Wilkinson, J.K.; Oelschlager, K.M.; Poteet, T.M.; Cook, R.W.; Stone, J.F.; Monzon, F.A. Gene expression profiling in uveal melanoma: Technical reliability and correlation of molecular class with pathologic characteristics. Diagn. Pathol. 2017, 12, 59. [Google Scholar] [CrossRef]
- Lamas, N.J.; Martel, A.; Nahon-Esteve, S.; Goffinet, S.; Macocco, A.; Bertolotto, C.; Lassalle, S.; Hofman, P. Prognostic Biomarkers in Uveal Melanoma: The Status Quo, Recent Advances and Future Directions. Cancers 2021, 14, 96. [Google Scholar] [CrossRef]
- Smit, K.N.; van Poppelen, N.M.; Vaarwater, J.; Verdijk, R.; van Marion, R.; Kalirai, H.; Coupland, S.E.; Thornton, S.; Farquhar, N.; Dubbink, H.J.; et al. Combined mutation and copy-number variation detection by targeted next-generation sequencing in uveal melanoma. Mod. Pathol. 2018, 31, 763–771. [Google Scholar] [CrossRef] [PubMed]
- Coupland, S.E.; Lake, S.L.; Zeschnigk, M.; Damato, B.E. Molecular pathology of uveal melanoma. Eye 2013, 27, 230–242. [Google Scholar] [CrossRef]
- Motulsky, H.J.; Brown, R.E. Detecting outliers when fitting data with nonlinear regression—A new method based on robust nonlinear regression and the false discovery rate. BMC Bioinform. 2006, 7, 123. [Google Scholar] [CrossRef] [PubMed]
- Liu, J.; Lichtenberg, T.; Hoadley, K.A.; Poisson, L.M.; Lazar, A.J.; Cherniack, A.D.; Kovatich, A.J.; Benz, C.C.; Levine, D.A.; Lee, A.V.; et al. An Integrated TCGA Pan-Cancer Clinical Data Resource to Drive High-Quality Survival Outcome Analytics. Cell 2018, 173, 400–416.e411. [Google Scholar] [CrossRef] [PubMed]
- Yu, J.; Wu, X.; Yan, J.; Yu, J.; Yin, T.; Dai, J.; Ma, M.; Xu, T.; Yu, H.; Xu, L.; et al. Potential Mutations in Uveal Melanoma Identified Using Targeted Next-Generation Sequencing. J. Cancer 2019, 10, 488–493. [Google Scholar] [CrossRef] [PubMed]
- Russo, D.; Di Crescenzo, R.M.; Broggi, G.; Merolla, F.; Martino, F.; Varricchio, S.; Ilardi, G.; Borzillo, A.; Carandente, R.; Pignatiello, S.; et al. Expression of P16INK4a in Uveal Melanoma: New Perspectives. Front. Oncol. 2020, 10, 562074. [Google Scholar] [CrossRef] [PubMed]
- Johansson, P.A.; Brooks, K.; Newell, F.; Palmer, J.M.; Wilmott, J.S.; Pritchard, A.L.; Broit, N.; Wood, S.; Carlino, M.S.; Leonard, C.; et al. Whole genome landscapes of uveal melanoma show an ultraviolet radiation signature in iris tumours. Nat. Commun. 2020, 11, 2408. [Google Scholar] [CrossRef]
- Soliman, N.; Mamdouh, D.; Elkordi, A. Choroidal Melanoma: A Mini Review. Medicines 2023, 10, 11. [Google Scholar] [CrossRef]
- Piaggio, F.; Croce, M.; Reggiani, F.; Monti, P.; Bernardi, C.; Ambrosio, M.; Banelli, B.; Dogrusoz, M.; Jockers, R.; Bordo, D.; et al. In uveal melanoma Galpha-protein GNA11 mutations convey a shorter disease-specific survival and are more strongly associated with loss of BAP1 and chromosomal alterations than Galpha-protein GNAQ mutations. Eur. J. Cancer 2022, 170, 27–41. [Google Scholar] [CrossRef]
- Szalai, E.; Wells, J.R.; Ward, L.; Grossniklaus, H.E. Uveal Melanoma Nuclear BRCA1-Associated Protein-1 Immunoreactivity Is an Indicator of Metastasis. Ophthalmology 2018, 125, 203–209. [Google Scholar] [CrossRef]
- Tsimberidou, A.M.; Fountzilas, E.; Nikanjam, M.; Kurzrock, R. Review of precision cancer medicine: Evolution of the treatment paradigm. Cancer Treat. Rev. 2020, 86, 102019. [Google Scholar] [CrossRef]
- Di Nicolantonio, F.; Vitiello, P.P.; Marsoni, S.; Siena, S.; Tabernero, J.; Trusolino, L.; Bernards, R.; Bardelli, A. Precision oncology in metastatic colorectal cancer—From biology to medicine. Nat. Rev. Clin. Oncol. 2021, 18, 506–525. [Google Scholar] [CrossRef]
- Massimino, M.; Stella, S.; Tirro, E.; Pennisi, M.S.; Stagno, F.; Vitale, S.R.; Romano, C.; Tomarchio, C.; Parrinello, N.L.; Manzella, L.; et al. High BCR::ABL1 Expression Defines CD34+ Cells with Significant Alterations in Signal Transduction, Short-Proliferative Potential and Self-Renewal Ability. Onco Targets Ther. 2023, 16, 803–816. [Google Scholar] [CrossRef]
- Stella, S.; Massimino, M.; Manzella, L.; Parrinello, N.L.; Vitale, S.R.; Martorana, F.; Vigneri, P. Glucose-dependent effect of insulin receptor isoforms on tamoxifen antitumor activity in estrogen receptor-positive breast cancer cells. Front. Endocrinol. 2023, 14, 1081831. [Google Scholar] [CrossRef]
- Massimino, M.; Stella, S.; Micale, G.; Motta, L.; Pavone, G.; Broggi, G.; Piombino, E.; Magro, G.; Soto Parra, H.J.; Manzella, L.; et al. Mechanistic Translation of Melanoma Genetic Landscape in Enriched Pathways and Oncogenic Protein-Protein Interactions. Cancer Genom. Proteom. 2022, 19, 350–361. [Google Scholar] [CrossRef] [PubMed]
- Smit, K.N.; Jager, M.J.; de Klein, A.; Kiliҫ, E. Uveal melanoma: Towards a molecular understanding. Prog. Retin. Eye Res. 2020, 75, 100800. [Google Scholar] [CrossRef] [PubMed]
- Gallenga, C.E.; Franco, E.; Adamo, G.G.; Violanti, S.S.; Tassinari, P.; Tognon, M.; Perri, P. Genetic Basis and Molecular Mechanisms of Uveal Melanoma Metastasis: A Focus on Prognosis. Front. Oncol. 2022, 12, 828112. [Google Scholar] [CrossRef] [PubMed]
- Karlsson, J.; Nilsson, L.M.; Mitra, S.; Alsen, S.; Shelke, G.V.; Sah, V.R.; Forsberg, E.M.V.; Stierner, U.; All-Eriksson, C.; Einarsdottir, B.; et al. Molecular profiling of driver events in metastatic uveal melanoma. Nat. Commun. 2020, 11, 1894. [Google Scholar] [CrossRef] [PubMed]
- Silva-Rodriguez, P.; Fernandez-Diaz, D.; Bande, M.; Pardo, M.; Loidi, L.; Blanco-Teijeiro, M.J. GNAQ and GNA11 Genes: A Comprehensive Review on Oncogenesis, Prognosis and Therapeutic Opportunities in Uveal Melanoma. Cancers 2022, 14, 3066. [Google Scholar] [CrossRef] [PubMed]
- Liu-Smith, F.; Lu, Y. Opposite Roles of BAP1 in Overall Survival of Uveal Melanoma and Cutaneous Melanoma. J. Clin. Med. 2020, 9, 411. [Google Scholar] [CrossRef] [PubMed]
- Geng, Y.; Geng, Y.; Liu, X.; Chai, Q.; Li, X.; Ren, T.; Shang, Q. PI3K/AKT/mTOR pathway-derived risk score exhibits correlation with immune infiltration in uveal melanoma patients. Front. Oncol. 2023, 13, 1167930. [Google Scholar] [CrossRef]
- Tirro, E.; Massimino, M.; Broggi, G.; Romano, C.; Minasi, S.; Gianno, F.; Antonelli, M.; Motta, G.; Certo, F.; Altieri, R.; et al. A Custom DNA-Based NGS Panel for the Molecular Characterization of Patients With Diffuse Gliomas: Diagnostic and Therapeutic Applications. Front. Oncol. 2022, 12, 861078. [Google Scholar] [CrossRef]
- de Bruyn, D.P.; Beasley, A.B.; Verdijk, R.M.; van Poppelen, N.M.; Paridaens, D.; de Keizer, R.O.B.; Naus, N.C.; Gray, E.S.; de Klein, A.; Brosens, E.; et al. Is Tissue Still the Issue? The Promise of Liquid Biopsy in Uveal Melanoma. Biomedicines 2022, 10, 506. [Google Scholar] [CrossRef] [PubMed]






| Characteristic | Value |
|---|---|
| Overall population | 44 (100%) |
| Gender | |
| Male | 23 (52.3%) |
| Female | 21 (47.7%) |
| Age/years | 62 (median with range of 31–77) |
| Side | 2 N.A. |
| Left eye | 15 (35.7%) |
| Right eye | 27 (64.3%) |
| Thickness | |
| ≤10 (mm) | 22 (50%) |
| >10 (mm) | 22 (50%) |
| Diameter | |
| ≤10 (mm) | 10 (22.7%) |
| >10 (mm) | 34 (77.3%) |
| Tumor type | |
| Choroid | 43 (97.7%) |
| Choroid and ciliary body | 1 (2.3%) |
| Extraocular extension | |
| Yes | 3 (6.8%) |
| No | 41 (93.2%) |
| Variable | GNA11/GNAQ/TP53 |
|---|---|
| Samples analyzed with both CHPv2 and the UMpanel | 9 |
| Positive in both the UMpanel and CHPv2 | 8 |
| Positive in CHPv2 and Negative in the UMpanel | 0 |
| Positive in the UMpanel and Negative in CHPv2 | 0 |
| Negative in both the UMpanel and CHPv2 | 1 |
| Cohen’s k | 1 |
| Sensitivity for CHPv2, % | 100 |
| Specificity for CHPv2, % | 100 |
| Sensitivity for NGS, % | 100 |
| Specificity for NGS, % | 100 |
Disclaimer/Publisher’s Note: The statements, opinions and data contained in all publications are solely those of the individual author(s) and contributor(s) and not of MDPI and/or the editor(s). MDPI and/or the editor(s) disclaim responsibility for any injury to people or property resulting from any ideas, methods, instructions or products referred to in the content. |
© 2025 by the authors. Licensee MDPI, Basel, Switzerland. This article is an open access article distributed under the terms and conditions of the Creative Commons Attribution (CC BY) license (https://creativecommons.org/licenses/by/4.0/).
Share and Cite
Massimino, M.; Tirrò, E.; Stella, S.; Tomarchio, C.; Di Bella, S.; Vitale, S.R.; Conti, C.; Puglisi, M.; Di Crescenzo, R.M.; Varricchio, S.; et al. An Optimized NGS Workflow Defines Genetically Based Prognostic Categories for Patients with Uveal Melanoma. Biomolecules 2025, 15, 146. https://doi.org/10.3390/biom15010146
Massimino M, Tirrò E, Stella S, Tomarchio C, Di Bella S, Vitale SR, Conti C, Puglisi M, Di Crescenzo RM, Varricchio S, et al. An Optimized NGS Workflow Defines Genetically Based Prognostic Categories for Patients with Uveal Melanoma. Biomolecules. 2025; 15(1):146. https://doi.org/10.3390/biom15010146
Chicago/Turabian StyleMassimino, Michele, Elena Tirrò, Stefania Stella, Cristina Tomarchio, Sebastiano Di Bella, Silvia Rita Vitale, Chiara Conti, Marialuisa Puglisi, Rosa Maria Di Crescenzo, Silvia Varricchio, and et al. 2025. "An Optimized NGS Workflow Defines Genetically Based Prognostic Categories for Patients with Uveal Melanoma" Biomolecules 15, no. 1: 146. https://doi.org/10.3390/biom15010146
APA StyleMassimino, M., Tirrò, E., Stella, S., Tomarchio, C., Di Bella, S., Vitale, S. R., Conti, C., Puglisi, M., Di Crescenzo, R. M., Varricchio, S., Merolla, F., Broggi, G., Martorana, F., Turdo, A., Gaggianesi, M., Manzella, L., Russo, A., Stassi, G., Caltabiano, R., ... Vigneri, P. (2025). An Optimized NGS Workflow Defines Genetically Based Prognostic Categories for Patients with Uveal Melanoma. Biomolecules, 15(1), 146. https://doi.org/10.3390/biom15010146

