Abstract
Since the first observations of biofilm formation by microorganisms on various surfaces more than 50 years ago, it has been shown that most “unicellular” microorganisms prefer to grow in multicellular communities that often adhere to surfaces. The microbes in these communities adhere to each other, produce an extracellular matrix (ECM) that protects them from drugs, toxins and the host’s immune system, and they coordinate their development and differentiate into different forms via signaling molecules and nutrient gradients. Biofilms are a serious problem in industry, agriculture, the marine environment and human and animal health. Many researchers are therefore investigating ways to disrupt biofilm formation by killing microbes or disrupting adhesion to a surface, quorum sensing or ECM production. This review provides an overview of approaches to altering various surfaces through physical, chemical or biological modifications to reduce/prevent microbial cell adhesion and biofilm development and maintenance. It also discusses the advantages and disadvantages of each approach and the challenges faced by researchers in this field.
1. Introduction
1.1. Biofilms: Discovery, Importance and Formation
Bill Costerton pioneered biofilm research, having observed cell attachment and “glycocalyx” (extracellular matrix―ECM) production in bacteria from the rumen of cows [1,2,3,4]. He later identified similar bacterial lifestyles on rocks in streams, in urinary catheters, within lungs, and in many settings in agriculture, industry and medicine [4,5,6,7,8,9,10,11,12]. It is now widely accepted that bacteria, fungi and other microorganisms prefer to grow in communities attached to biotic or abiotic surfaces embedded in the ECM and protected from environmental challenges [13,14,15]. Biofilms have beneficial roles, including in probiotics, food fermentation, curing and ripening, the production of chemicals, wastewater treatment, stimulation of plant growth, bioprotection, biofertilizers, bioremediation, anti-corrosion treatment and microbial fuel cells [16,17,18,19]. Biofilms of “friendly” microorganisms also colonize human (and other animal) skin and mucous membranes, protecting against colonization by pathogens, facilitating digestion and producing vitamins [20,21]. Altering the balance of gut microbes causes obesity, diabetes, cancer, nerve pathologies, liver disease, allergies, inflammation and behavioral changes [22,23]. On the other hand, biofilms can be the cause of serious infections in medicine and contamination in industry.
Biofilm formation by bacteria and yeasts (Figure 1) [24,25,26,27] begins with adhesion to a biotic or abiotic surface via charge or hydrophobic interactions and van der Waals forces, etc., but later, adhesion proteins (adhesins) become dominant. Adhesins promote biofilm formation, and strains that lack adhesins are often less virulent. Examples of fungal adhesins include ALS (agglutinin-like sequence) and HWP (hyphal wall protein) adhesins of Candida albicans that adhere to host ECMs and transglutaminases and Epa1 (epithelial adhesin) of Nakaseomyces glabratus that adhere to host cell carbohydrates. Some adhesins are only expressed by yeast or filamentous cell forms, and some proteins with other functions also act as adhesins, e.g., glyceraldehyde-3-phosphate dehydrogenase (GAPDH). Bacteria have a negatively charged cell surface and tend to adhere to positively charged surfaces. The fimbriae and pili of some bacteria participate in attachment, and the Escherichia coli fimbrial adhesin FimH plays a role in attachment to host mannosides, laminin, fibronectin and plasminogen. The Staphylococcus aureus adhesin FnBPA (fibronectin-binding protein A) adheres to fibronectin and fibrinogen in the host as well as to FnBPA on other S. aureus cells. The adsorption of proteins to surfaces increases the range of moieties to which microorganisms can adhere. Examples include the adsorption of fibronectin and vitronectin to the surface of biliary stents [28] and serum proteins such as collagen, fibronectin and immunoglobulin G to titanium surfaces [29].
Figure 1.
Stages in biofilm development by bacteria (A) and the yeast C. albicans (B). Brown: surface, Blue: microbial cells, Yellow: ECM.
In the next stage (biofilm maturation, Figure 1), the ECM (also known as glycocalyx or extracellular polymeric substances) is secreted by adhered cells and protects microbes from dehydration, toxins, immune responses and antimicrobial drugs. The ECM consists mainly of exopolysaccharides such as cellulose, alginate, levan type I and II (both fructose polymers) and Psl in various bacteria, and α-mannan and β-1,6-glucan in fungi [30,31]. Other components of the ECM include proteins, lipids and nucleic acids. The ECM is also a reservoir of water and nutrients. Microbes adhere to one another and secrete signaling molecules. Following biofilm maturation, complex structure develops (Figure 1) with water channels and gradients of oxygen, nutrients, waste products, pH and signaling molecules, and some cells may become persister cells―cells that are tolerant towards antimicrobials and environmental change. The next step is biofilm dispersion, when microbes secrete enzymes and surfactants that break up the ECM, allowing cells to return to a single-celled lifestyle, spread from the biofilm and potentially colonize other surfaces. The stages of biofilm development were first observed in bacteria (Figure 1A). Many C. albicans cells in biofilms switch to hyphal growth during biofilm maturation [32], but dispersion involves cells in the yeast phase (Figure 1B).
1.2. Biofilms in Medicine and Industry
In medical care, 110,000 U.S. patients with an orthopedic implant suffer a nosocomial infection due to biofilm formation on the implant, and implant-associated infections approach 1,000,000 per annum [33]. Drug tolerance (phenotypic resistance) can be 5000 times higher for bacteria in biofilms [34]. The yeast genus Candida has been detected in 25% of urinary tract infections and 10% of bloodstream infections [35]. C. albicans produces persister cells in biofilms that are phenotypically tolerant to antifungal drugs. The production of persisters depends on cell adherence and surface material, and the number of persister cells remains stable as the biofilm grows [36]. Further, 40% of cases where a catheter becomes colonized by yeast result in blood stream infections, leading to 40% mortality [37]. Indwelling catheters adsorb proteins, providing an interface for microbial attachment and leading to biofilm formation [38]. The complex architecture and extracellular matrix of biofilms block drug diffusion, the upregulation of efflux pumps excludes drugs from cells, and metabolic differences (e.g., dormancy) counteract drug activity [34,39,40].
Biofilms are a problem in industry and form on fluid pipelines, membranes, work surfaces, storage bins, etc., and can be lethal if they include pathogens such as Bacillus cereus (which causes diarrhea or vomiting), Listeria monocytogenes (which causes listeriosis) and Salmonella enterica (which causes salmonellosis) [41]. Drinking water pipes are contaminated by biofilms that alter the smell, flavor and appearance of water, cause corrosion and may include pathogens such as Salmonella typhimurium (which causes enteric or typhoid fever), Legionella pneumophila (which causes legionnaire’s disease) and Helicobacter pylori (which causes stomach ulcers), all of which are more resistant to disinfectants when growing as biofilms [42].
This review covers different methods of modifying surfaces to reduce adhesion and/or biofilm formation by microorganisms (Appendix A). This includes physical modifications to surfaces that affect the roughness and wettability. It also includes chemical modifications that influence the hydrophilicity, charge or electrical conductivity of the surface or that use a positively charged nitrogen atom to attack microbial membranes, proteins and nucleic acids. In addition, it covers the attachment or embedding of an antimicrobial peptide or antibiotic that has antifungal or antibacterial properties. Finally, this review discusses some of the newer approaches to anti-biofilm surface modification.
2. How to Combat Biofilms
2.1. When to Combat Biofilms
Once biofilms produce an ECM, they are difficult to treat, since the ECM protects microbial cells from many antifungal or antibacterial drugs, phagocytosis and neutrophil extracellular traps (NETs) [43,44,45]. Some studies use enzymes or bacteriophages to disrupt the ECM [46,47], but bacteria have defenses against phage infection and such approaches are not as effective as hoped, hough phage treatment has been combined with antibacterial drugs, disinfectants or nanoparticles [48,49]. Furthermore, such treatments may disperse cells to seed new biofilms, and dispersed cells can be highly virulent [50]. For all these reasons, many treatments in use today aim to block the first step of biofilm formation―microbial attachment to the surface [51]. This is also important when dealing with C. albicans, which only forms drug-tolerant persister cells after adherence to a surface [36].
2.2. How to Prevent Cell Adhesion, the First Step in Biofilm Formation
The characteristics of surfaces determine the likelihood and rate of biofilm formation [52]. The hydrophilicity/wettability of a surface is influenced by surface moieties, and some cells are more likely to adhere to more wettable surfaces. Carboxyl and amino groups participate in cell and protein adsorption, and adsorbed proteins provide chemical groups to which microbes can attach [53]. However, microbes respond differently to a range of surface properties. S. aureus favors hydrophilic surfaces, while S. epidermidis prefers hydrophobic surfaces. C. albicans adherence and biofilm formation was reduced when polyethylene terephthalate (PET) was modified to be more hydrophilic or more cationic [54]. Greater hydrophilicity, achieved via oxygen glow discharge (treatment with ionized gas) on polyvinyl chloride, reduces Pseudomonas aeruginosa adhesion by 70% [55]. Plasma treatment (bombardment with a mixture of ions and electrons) also increased surface roughness, reducing microbial adherence. The size of surface hills, valleys, etc., affects microbial adhesion [52]. Where valley size and microbe size are similar, adherence is more likely, while where valleys are smaller, adherence is less likely.
The surfaces of catheters, medical implants, pipes, etc., may be modified to prevent biofilm formation by killing microbes or inhibiting attachment [51]. Countering adhesion and biofilm formation via surface modification has been reviewed by several groups [52,56,57,58,59,60,61]. There are ways [59,61] to prevent or reduce adhesion, halt the growth of microorganisms or kill them with techniques that use physical, chemical or biological effects (Table 1).
Table 1.
Surface modifications to reduce biofilm formation.
3. Physical Modifications of Surfaces
Physical techniques (Table 1) may involve using lasers to modify surfaces via melting, alloying or surface structuring to yield structures with a small surface area and changed hydrophobicity [57,62]. Roughening a surface, to produce “valleys” that are smaller than a particular microbe, reduces colonization [63] (Figure 2A). Lithography, X-rays, electrons, charged particles, etc., deposit specifically sized and shaped structures onto a surface, reducing adhesion and biofilm formation, while plasma treatment attaches groups to surfaces to change their properties [57]. Such changes may be random or ordered [60]. Ordered changes are more demanding and are inspired by natural structures such as the lotus leaf surface, animal wings, scales, etc. In nature, cicada and dragonfly wings are covered in “nanopillars”. The regularly sized nanopillars on cicada wings (Figure 2B) exert stress, causing deformation of the Gram-negative bacterial membrane between pillars, disrupting the membrane and killing the bacterium, but due to their more robust cell membrane, Gram-positive bacteria are protected against this strategy [60]. The surface of dragonfly wings kills both Gram-positive and Gram-negative bacteria as they have differently sized nanopillars (Figure 2C), and the taller pillars bend as bacteria adhere, pulling on the membrane and exerting pressure sufficient to disrupt membranes of both types of bacteria.
Figure 2.
Natural and manufactured antibacterial surface modifications. (A) Surface roughening, (B) nanopillars on the surface of cicada wings, (C) nanopillars on the surface of dragonfly wings, (D) manufactured nanopillars, (E) troughs created in a surface, (F) biofilm formation on unmodified surface, (G) biofilm formation on surface on which nanodots have been deposited, and (H) biofilm formation on surface on which more complex spires have been deposited. Gray: surface, Orange: troughs made in surface or structures deposited on surface, Blue/Green: microorganisms.
Unfortunately, surface modifications that reduce pathogen adherence may also reduce host cell adherence during tissue regeneration or reduce the adherence of commensal cells that control pathogens [72]. The choice of material for medical implants, etc., is also important. Steel is easier to work with than titanium, but titanium has greater strength, is not as dense, is protected from corrosion by its layer of titanium oxide and supports new bone formation [89]. Gold nanopillars have been produced, which combat microbial adhesion but are also biocompatible [90]. Each method of surface modification has advantages and disadvantages, including complicated manufacturing procedures, the need to heat the material to a high temperature, long production times and expensive machinery and processes [62,91]. Several teams have tested the deposition of metal onto the surface of a polymer followed by treatment that creates patterns in the metal surface. Fu et al. [92] bombarded metal with ionized gas plasma to deposit a thin layer of gold or silver on polystyrene by sputtering and then heated it to shrink the coating, creating wrinkles less than 1 μm apart. Another team used sputtering to deposit gold and silver on the surface and heating to increase roughness and hydrophobicity and then made a polydimethyl siloxane mold that they used to cast polystyrene, polycarbonate and polyethylene surfaces [93]. The team showed that E. coli adherence was greatly reduced by structuring the surface, particularly for polycarbonate and polyethylene.
Examples of the use of surface modifications by various physical methods are presented below and in Table 1.
3.1. Laser Treatment
Using a laser to roughen a polyethylene surface and introduce 0.6–2 μm “valleys” decreased wettability and reduced colonization by E. coli but not by S. aureus [63]. Smaller (0.5–1 μm) S. aureus cells may fit into the “valleys”, while larger (>1 μm) E. coli cells do not (Figure 2A). It has also been shown that covering titanium implants with a layer of anatase (a titanium oxide mineral) reduces the width of surface “valleys” from 5 μm to 0.4 μm, reducing the adherence of E. coli by up to 50% [94]. Laser modification of surfaces is also effective against fungi, and altering stainless steel using laser-induced periodic surface structures (LIPSSs) introduced 630 nm patterning, resulting in a reduction in biofilm formation by a wild (biofilm-forming) strain of Saccharomyces cerevisiae [62]. Laser treatment is effective, but the equipment is extremely expensive (Table 2).
Table 2.
Advantages and disadvantages of physical modifications.
3.2. Lithography
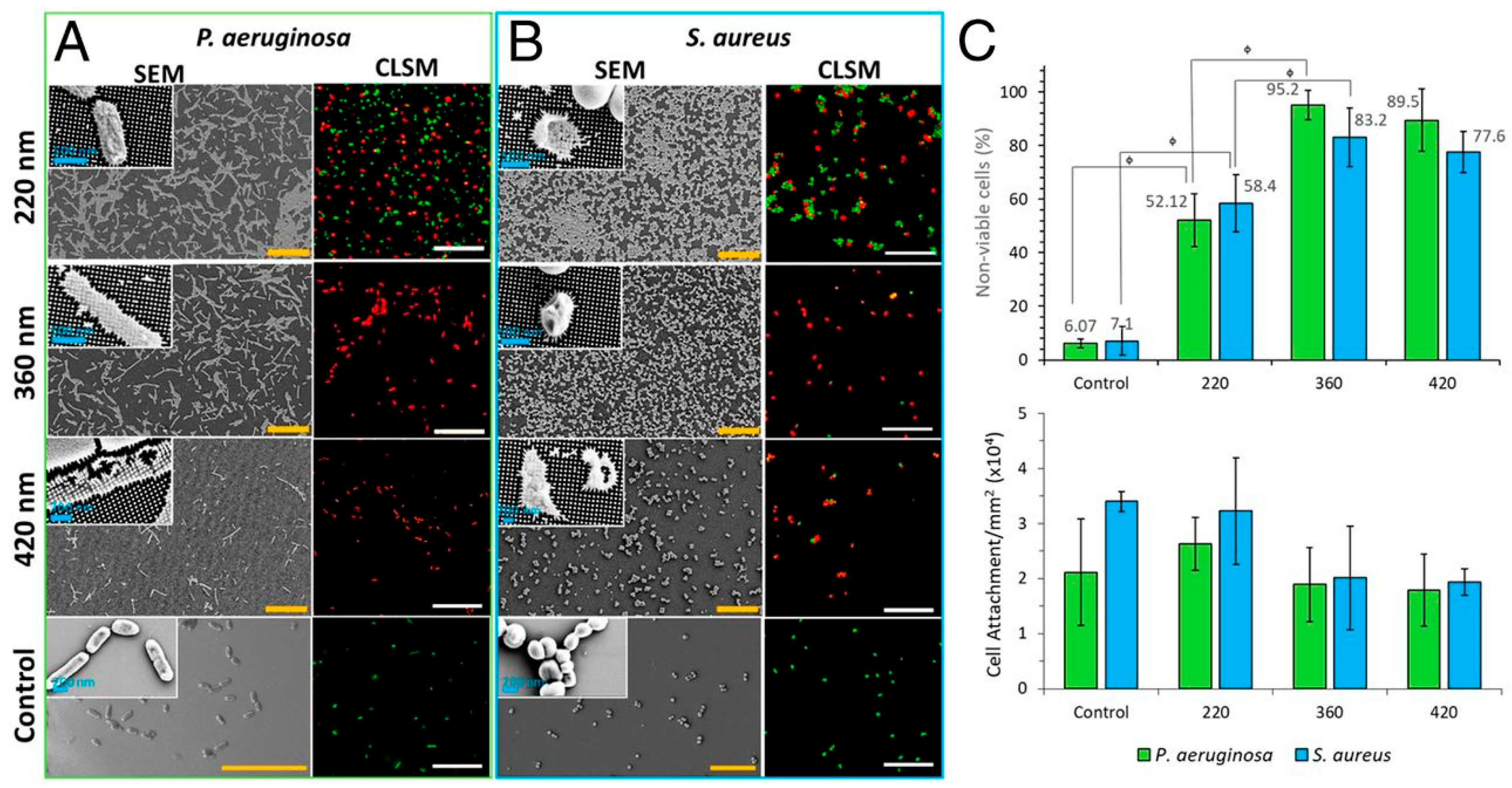
Lithography is a well-known method used in printing [96]. However, dip pen nanolithography (DPN―using an atomic force microscope tip to apply molecular “ink” under a meniscus of water) can also be used to print nanoscale structures onto surfaces (Figure 3) and reduce microbial adherence [97,98]. DPN was used [64] to apply patterns of dots on silicon/gold alloy. A synthetic polymer, polydimethylsiloxane, was used to create a mold of the resulting surface and then applied to silica sol on stainless steel to yield a similar patterned surface, consisting of silica dots on stainless steel. Streptococcus mutans adherence on silicon-patterned stainless steel was lower than that on diamond-paste-polished or silica-dip-coated stainless steel. Silica nanopillars of different heights were deposited on a surface by UV immersion lithography (Table 1) (Figure 4), and live/dead staining was used to identify viable (green) and non-viable (red) cells. The greater the nanopillar height, the greater the reduction in bacterial viability in P. aeruginosa (A) and S. aureus (B) [95].
Figure 3.
Dip pen nanolithography. Reproduced from [98] with permission from Science.
Figure 4.
Effect of nanopillar size on bacterial viability. Mixture of Syto 9 and propidium iodide used for live/dead staining. Syto 9 (green) crosses the membrane of live and dead cells, staining nucleic acids, etc., while propidium iodide (red) enters only dead cells but binds nucleic acids with greater affinity than Syto 9. (A) P. aeruginosa, (B) S. aureus, (C) non-viable (upper bar chart) and attached (lower bar chart) cells. Scale bars: 20 μm. Statistical significance is denoted by ɸp < 0.05. Reproduced from [95] with permission from PNAS.
3.3. Plasma Treatment
Plasma treatment (bombardment with electrons, ions, atoms, molecules, etc.) can modify polyvinyl chloride, polyethylene terephthalate and polyurethane surfaces, increasing the wettability (Figure 5) and reducing the adhesion of P. aeruginosa, S. aureus, E. coli and S. epidermis [57]. Plasma treatment turns molecules into reactive species that attach to a surface, and adding carboxyl, amino or alkyl groups influences the surface’s chemical properties [52]. Glow discharge uses incompletely ionized gas, such as carbon dioxide and ethylene, to modify the roughness, charge density and free energy of adhesion of a polymer surface and showed that while the first two had no effect, the free energy of adhesion was proportional to microbial adhesivity [74]. A silicon/boron wafer was etched via reactive ion etching (RIE) using sulfur hexafluoride and oxygen to produce nanopillars similar to those on the wings of cicadas and dragonflies [65]. This etched silicon material (black silicon―bSi) killed 4.3 × 105 P. aeruginosa, 4.5 × 105 S. aureus and 1.4 × 105 B. subtilis cells per cm2 per minute. It also (like dragonfly wings) killed B. subtilis spores. Plasma treatment of stainless-steel enhanced oxygen content, wettability and nano-structuring, yielding a superhydrophilic surface and reducing adhesion by E. coli and S. aureus [99]. When titanium was subject to plasma electrolytic oxidation with or without silver or zinc, bacterial viability was greatly reduced on the silver- or zinc-spiked surfaces [100] Plasma treatment can combat microbial adhesion by enhancing wettability (Figure 5) [101].
Figure 5.
Effect of plasma treatment on wettability. Green: untreated surface, orange: plasma-bombarded surface, red: treated surface, blue: water drop. Adapted from [101].
3.4. Electron Beam
Heating titanium pellets with an electron beam (EB) to coat titanium foil (Figure 6) [102] and produce a rough surface resulted in significantly reduced biofilm formation by S. aureus, S. epidermidis and P. aeruginosa [66], and the effects of further surface treatment of EB-coated titanium pellets on adherence were tested [67]. Acid etching of the pellets increased C. albicans adherence, while machining and sandblasting decreased adherence. All three surface treatments reduced S. aureus adhesion, while all increased P. aeruginosa adhesion. These results demonstrate that the effects of surface roughness may be species-specific.
Figure 6.
Electron beam treatment of surfaces. Adapted from [102].
3.5. Physical Vapor Deposition
Another method, physical vapor deposition, was used to create gold surfaces with various patterns, including a grainy pattern and channels roughly the size of the bacteria being tested [103]. P. fluorescens were largely found aligned in the channels, and cells were shorter and differently shaped. The channels acted as traps, preventing bacteria from reaching the surface. The channels interfered with colonization, swarming and twitching. The channels also affected cell aggregation, preventing the formation of large bacterial aggregates [68].
4. Chemical Modifications of Surfaces
The chemical modification of surfaces involves coating the surface (Figure 7) or attaching groups with specific chemical properties. Some antimicrobial polymers, such as polyethylene glycol (PEG) and zwitterionic polymers, are passive―blocking the adsorption of microbial proteins (Table 1), while others, such as quaternary ammonium compounds (QACs), are active―attacking and killing the microorganisms [61]. Major concerns of chemical modification of surfaces include toxicity, bioaccumulation, biodegradation and the specificity of the effect. Longer QAC chains and ring structures increase toxicity towards other organisms. Copper-based and pesticide-based paints are effective at controlling biofouling, but they are toxic and remain in the environment [104].
Figure 7.
Chemical modification of surfaces. Gray: medical/industrial material, green: unmodified surface, red: modified surface, pink: water, purple: antimicrobial compound or effect, blue: live microorganism, yellow: dead microorganism. (A) Microbes tend to favor hydrophobic surfaces and hydrophilic PEG becomes saturated with water, reducing adhesion, (B) zwitterionic coatings have equal numbers of positive and negative charges that repel charges on microbes, (C) adhesion to some surfaces involves electron exchange between microbes and surfaces and coatings may be used to reduce electron exchange and thus adhesion, (D) Surfaces may be modified to reduce the availability of charged groups that participate in adhesion, based on van der Waals forces, (E) QACs have positively-charged nitrogen atoms that are attracted to negatively-charged microbial membranes, penetrate and disrupt the membranes, (F) antimicrobial drugs may be attached to or embedded in a surface, killing microbes or inhibiting their growth.
Various techniques can be used for attaching moieties [59], including the adsorption and grafting of specific groups. Silver, in the form of coatings, mixed-metal surfaces or nanoparticles kill microorganisms by a combination of silver toxicity, silver REDOX reactions and (on a silver/palladium surface) electric fields [105]. Biofilm formation on different dental cements may depend on differences in conductivity and the exchange of electrons between bacteria and surfaces during adherence [106]. Antimicrobial drugs may also be attached to surfaces or embedded within a semi-porous material, allowing the drug to diffuse out at a rate which ensures microbial killing but avoids toxicity against the patient’s own cells [81]. The choice of drug is crucial. For example, non-albicans Candida species have evolved greater resistance to many drugs in recent years and are increasingly being isolated from candidiasis patients. In addition, antifungal drugs can have severe side-effects and can damage host organs, but low doses can lead to drug resistance in target microorganisms [107]. For these reasons, the release of drugs from surface coatings must be carefully regulated or the drug must be tethered to the surface.
Some chemical modifications of materials increase or decrease hydrophobicity [61], but some microbes, such as C. albicans, can exist in two forms―one with higher cell surface hydrophobicity and one with lower cell surface hydrophobicity, and the former is regarded as more virulent [108,109]. C. albicans yeast-shaped cells are more hydrophilic, while hyphae are more hydrophobic, and some experiments find no effect of surface wettability on C. albicans adherence [81].
Examples of the use of surface chemical modifications are presented below and in Table 1.
4.1. Passive Chemical Modification
4.1.1. Polyethylene Glycol (PEG)
One passive chemical modification technique (Figure 7A and Table 1) involves attaching PEG to the surface of a material to form a brush-like covering which absorbs water. This was shown to reduce biofilm formation by S. epidermidis, S. aureus and S. salivaris by at least 94% and that by C. aeruginosa, C. albicans and C. tropicalis by 80% [69]. Attaching PEG reduces cell adherence by reducing protein adsorption [53], but protein adsorption and cell adhesion are affected by hydrophilicity, the absence of charges and chain length, mobility and density [110]. PEG is safe and effective but attached groups can trigger immune responses and the chemical bond can be oxidized [61] (Table 3).
Table 3.
Advantages and disadvantages of chemical modifications.
4.1.2. Zwitterions
Polymers, such as carboxy betaine, phosphorylcholine and sulfobetaine, are zwitterionic (Figure 7B and Table 1), with similar numbers of positive and negative charges, increasing hydrophilicity and decreasing the adherence of E. coli and S. aureus [61]. Three older antimicrobial zwitterionic compounds [111] are phosphorylcholine (Figure 8A), sulfobetaine (Figure 8B) and carboxybetaine (Figure 8C). Chains of alternate basic lysine and acidic glutamate residues formed a brush-like layer on the surface of hydrophobic polystyrene and caused a 70% reduction in adsorption of extracellular material from P. aeruginosa, an 80% reduction in P. aeruginosa cell adhesion and a reduction in biofilm thickness [70]. Masotti et al. investigated the effect of hydrophobicity and hydrophilicity of surfaces on C. albicans adherence since there were conflicting accounts. They grafted zwitterionic (hydrophilic) or fluorinated (hydrophobic) copolymers onto glass slides and tested for C. albicans adherence, using glass as a negative control (glass resists C. albicans adherence). The fluorinated copolymer performed almost as well as bare glass, but adherence was greatly increased on zwitterionic copolymers [71]. Zwitterions are generally biocompatible, with low toxicity and immunogenicity [111].
Figure 8.
Structures of three common zwitterions phosphorylcholine (A), sulfobetaine (B) and carboxybetaine (C). Adapted from [111].
4.1.3. Other Modifications of Polymers to Change Hydrophobicity or Charge
Several polymers were directly modified (Table 1) to change their chemical properties. Polyether–urethane copolymers were modified by the addition of polyethylene oxide, fluorocarbon or silicone, while polyethylene terephthalate was modified with different surface-modifying end groups (SMEs) to render them hydrophobic, hydrophilic, anionic or cationic. C. albicans biofilm formation was significantly increased when polyethylene terephthalate was modified with cationic or hydrophilic SMEs, while the addition of polyethylene oxide to polyether urethane reduced C. albicans biofilm development significantly [37].
4.1.4. Electrical Conductivity
Substances used by dentists may be made of metals, ceramics or polymers [72] and include cements, resins and implants. Mixing zirconia (a zirconium oxide ceramic) with an acrylic polymer significantly lowered mixed biofilm formation by Streptococcus sanguinis, Porphyromonas gingivalis and Fusobacterium nucleatum, possibly via altered electrical conductivity (Figure 7C and Table 1), and biofilm formation was still lower on the acrylic polymer itself [73].
4.1.5. Superhydrophobic and Superhydrophilic Surfaces
Superhydrophobic surfaces have extremely low wettability and include siloxane and fluorosiloxane (TCFS) deposited on silicon or boron-doped titanium surfaces using a plasma jet as well as hexamethyldisiloxane (HMDSO) and Teflon. The superhydrophobic surfaces had nano-patterned surfaces. Bovine serum albumin and fibrinogen adsorption were greatest on the hydrophobic HMDSO, whereas hydrophobic TCFS had the lowest adsorption of both proteins. S. aureus adherence was much lower on superhydrophobic TCFS-coated titanium than on uncoated titanium. Van der Waals forces may be reduced on hydrophobic TCFS-covered silicon (Figure 7D and Table 1), leading to reduced adsorption [58,118]. Problems associated with creating such superhydrophobic surfaces include the need for expensive equipment and a high energy requirement, pollution, toxicity and poor performance in some cases [113].
4.1.6. Adding Charge to a Surface
In one study, the pretreatment of polyurethane sheets with glow discharge and oxygen was followed by plasma grafting to attach acrylic acid, butyl acrylate or methyl vinyl to the polymer surface, and some of the polyurethane/acrylic acid polymer was treated with silver nitrate. It was found that the smoothness or hydrophobicity of the surface did not influence the level of bacterial colonization, but a negative charge on the polymer surface (Table 1) led to reduced adherence by S. epidermidis. However, adherence was independent of charge density. Silver ions at the surface of the silver nitrate-treated polymer killed all adhered bacteria within 48 h [74].
4.1.7. Poly Sodium Sulfonate
When sodium polysulfonate (polyNaSS) is grafted onto a surface, it changes the conformation of proteins that adsorb to the surface, preventing the binding of microorganisms to the adsorbed proteins. [119]. Sulfuric acid and hydrogen peroxide react with titanium to yield hydroxide and peroxide. Heating this with sodium styrene sulfonate yields radicals that induce the grafting of polyNaSS to the surface [120]. Another method that generates polymerization-triggering radicals involves the use of UV light [119]. Grafting polyNaSS to titanium surfaces reduced MRSA S. aureus adherence by 80 or 90% without affecting osteoblast adhesion [75,121]. Another anchoring method involves attaching catechol (1,2-dihydroxybenzene) or a catechol derivative to the surface and then attaching polyNaSS [59,122] (Figure 9). Grafting polyNaSS onto polyaryletherketone reduces microbial adhesion and enhances hydrophilicity, protein adsorption, bone repair and biocompatibility [114].
Figure 9.
Attachment of polyNaSS to titanium via catechol. Reproduced from [122] https://creativecommons.org/licenses/by/4.0/ (accessed on 20 April 2025).
4.2. Active Chemical Modification
4.2.1. Quaternary Ammonium Compounds (QACs)
QACs consist of one positively charged nitrogen and four alkyl moieties. The ideal alkyl chain length for attacking Gram-positive bacteria is shorter than that for Gram-negative bacteria [61]. QACs are surfactants that induce micelle formation in cell membranes by reducing surface tension, disrupting the membranes and causing cytoplasmic leakage. They react with intracellular proteins and nucleic acids, and they trigger cell lysis by cellular hydrolytic enzymes [123] (Figure 7E and Table 1). Cellulophaga lytica is a Gram-negative marine bacterium that forms biofilms [124]. Tethering about 4% QACs to polysiloxane reduced C. lytica biofilm formation by half [76]. When painted onto titanium or stainless-steel implants, the coating reduced biofilm formation by S. aureus after implantation into sheep [77]. Covering a PVC catheter with N,N-dodecyl, and methyl-polyethylenimine (DMPEI) polymer, makes the surface smoother and raises the hydrophilicity, reducing colonization by E. coli by 89%, that by S. aureus by 94% and that by C. albicans by 87% [78]. Unfortunately, QACs persist in the environment and can trigger allergies, respiratory and reproductive problems and endocrine disruption [112].
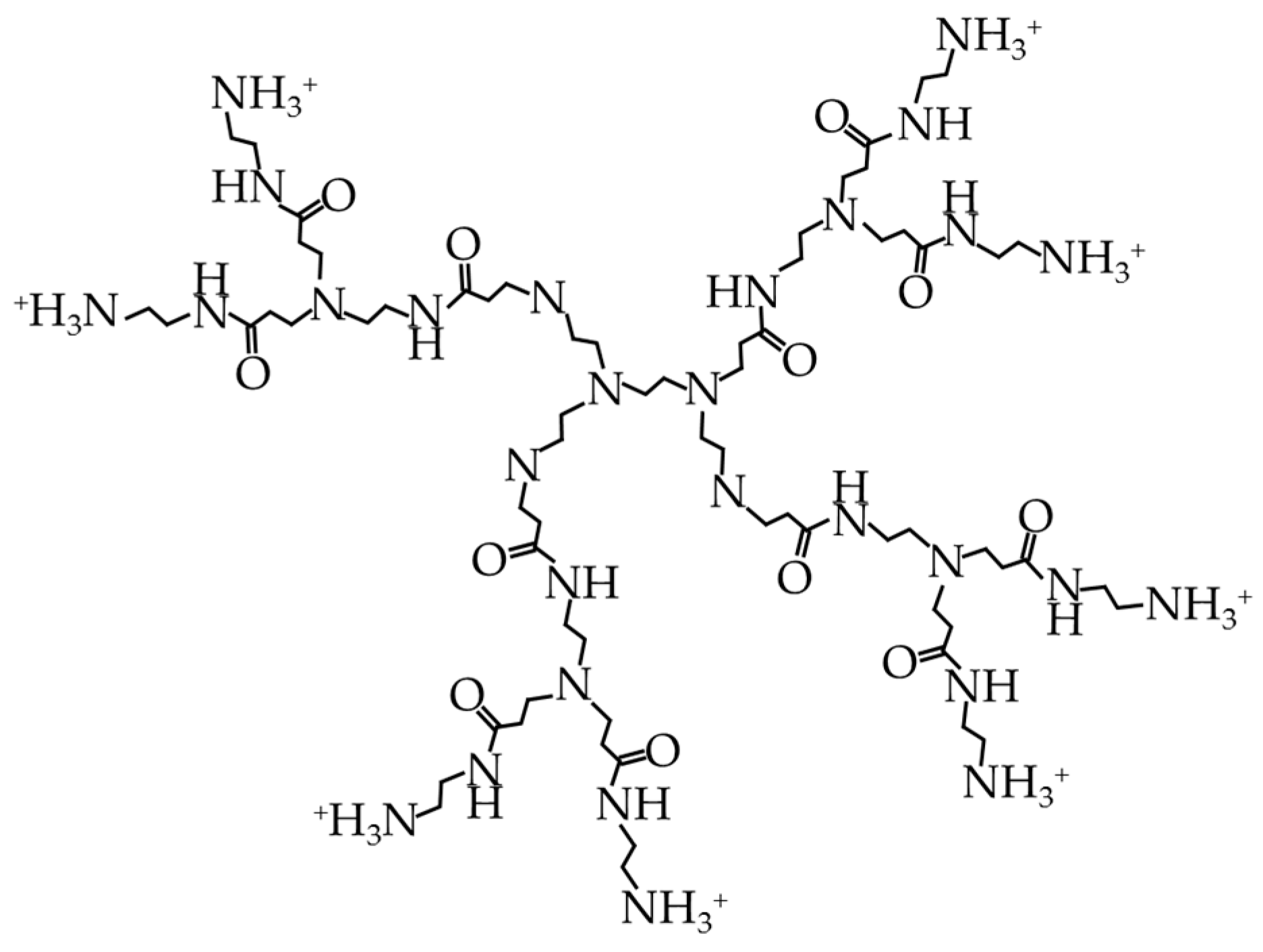
4.2.2. Cationic Dendrimers
Cationic dendrimers have a net-positive charge, are active against negatively charged microbial membranes, and have both hydrophilic and hydrophobic portions, enabling them to form pores in microbial membranes, much like some natural antimicrobial peptides (AMPs) [116]―see later. The branching (dendritic) structure and positive charge (Figure 10) can be seen in the structure of poly(amidoamine) (PAMAM) [125]. Dendrimers are effective at low concentrations (Table 3) and resistant to proteolysis (causing high bioavailability), and peptide dendrimers are more effective and biodegradable [117]. Unfortunately, they are cytotoxic and, at a high density, immunogenic. They are expensive and difficult to produce and purify. One method of attaching PAMAM dendrimers to a surface is to plasma-treat a polymer surface in the presence of maleic anhydride and then bind a dendrimer with an amine group to the polymer-bound maleic group [126]. Another group [127] produced self-assembling peptide dendron nanoparticles from modified dendrimer molecules with repeating arginine–proline units. The SPDNs were effective at reducing the viability of E. coli, P. aeruginosa, S. typhimurium, S. aureus, S. epidermidis, E. faecalis and MRSA. A hydrogel containing ketoconazole and PAMAM had a greater effect on C. albicans viability than one containing ketoconazole alone, possibly because PAMAM improved the solubility of the antifungal drug [115].
Figure 10.
Structure of PAMAM (adapted from [125]).
4.2.3. Nanoparticles
Stainless steel is strong and easy to shape, so it was initially used in dental implants. However, microorganisms colonize the area between the implant and the bone, so stainless steel is now used for temporary implants, and cobalt alloys, titanium and polyether ether ketone are used instead [72]. Silver nanoparticles (Table 1) embedded in titanium kill microorganisms and prevent biofilm formation [79]. Electron movement between titanium and silver may generate reactive oxygen species (ROS) that kill microorganisms [128]. A surface may be covered in calcium phosphate using a sol–gel process (successive hydrolysis and condensation), leading to a reduction in adhesion by S. mutans, S. sanguinis and Aggregatibacter actinomycetemcomitans [72]. Nanoparticles that are effective against C. albicans include silver, gold, chitosan, iron oxide, copper, zirconium dioxide and titanium dioxide. They act by downregulating ergosterol biosynthesis or drug efflux, ROS production, inhibition of growth, filamentation, enzyme activity and germination, and downregulation of virulence, morphogenesis and biofilm formation genes. Nanoparticles have synergistic effects with other antifungal agents [129]. Nanomaterials have been developed that respond to stimuli such as reduced pH, the presence of particular enzymes and raised levels of hydrogen peroxide or hydrogen sulfide (produced by some microbes) at the infection site [130]. For example, a change in pH could trigger drug release via the protonation/deprotonation of amine groups. “Intelligent nanomaterials” may be designed with bonds or coatings that are disrupted by infection-related enzymes. Cuprous oxide forms Cu9S8 in the presence of hydrogen sulfide, which is antibacterial and generates ROS that help kill microorganisms. Nanoparticles have also been developed that are sensitive to light or heat, ultrasound, microwaves and magnetism, enabling their functions to be switched on. Effective antimicrobial coatings may be produced using titanium oxide, zinc oxide, copper oxide, magnesium oxide, calcium oxide, cerium oxide and aluminum oxide nanoparticles [131]. Antimicrobial activity was enhanced by embedding a mixture of magnesium oxide and zinc oxide nanoparticles in acrylic latex.
4.2.4. Calcium Phosphate Coatings
Fluoride and zinc ions have antibacterial properties, so titanium alloy discs were coated using a solution of calcium and phosphate ions (Table 1) (producing a calcium phosphate coating), and the solution was spiked with zinc ions, fluoride ions or both [80]. All coatings reduced biofilm formation by P. gingivalis compared with uncoated titanium alloy. The zinc-spiked coating had the greatest effect, followed by the other ion-spiked coatings. Zinc enters microbial cells and interferes with ATP biosynthesis, while fluoride affects the enzymes and membranes of bacterial cells.
4.2.5. Toremifene
Surgical implants are often made of titanium, and biofilms can form on the surface. Braem et al. mixed titanium and titanium hydride, which they molded and dehydrogenated to yield discs with pores. They filled the pores with a sol consisting of aqueous silicon dioxide and hydrochloric acid (Table 1). Discs were placed in the wells of a 12-well polystyrene plate, and the wells were heated and crimped to seal them around the discs. The anticancer drug toremifene, which has been shown to possess antimicrobial properties, was placed under the discs. The greater the concentration of drug, the higher the rate of diffusion via sol-filled pores, so the toremifene release rate may be antimicrobial but not cytotoxic. There was a 70% reduction in the metabolism (and therefore mass) of C. albicans biofilm within the wells [81]. Another group showed that toremifene blocks the growth and the biofilm formation of P. gingivalis and S. mutans, actively kills S. mutans and acts by disrupting the cell membrane [132].
4.2.6. SPI031
SPI031 is an antibacterial drug (Figure 7F) active against Gram-negative and Gram-positive bacteria. SPI031 was covalently attached to roughened titanium discs using a silane anchor (Table 1). Discs were soaked overnight in a solution of fetal bovine serum to allow adsorption of the protein and then placed in the wells of a 24-well plate, and S. aureus or P. aeruginosa suspensions were added. SPI031 attachment significantly reduced biofilm formation by both species. The drug was less active against P. aeruginosa, possibly because the outer membrane protects the bacterium. SPI031 attachment to titanium discs, implanted into immunosuppressed mice, reduced S. aureus biofilm formation on titanium discs by 98% [133]. The structure of SPI031 is shown at Figure 11A, and the result of drug treatment on the membranes of S. aureus and P. aeruginosa is shown at Figure 11B. The cells were stained with FM 4-64, which stains cellular membranes. There was uniform membrane staining in DMSO-treated controls, but in cells treated with SPI031, there was heterogenous membrane staining, indicating that SPI031 had caused some kind of membrane disruption. The mechanism by which SPI031 attacks the membrane is not known, but some groups are working on variants of the drug with reduced activity against animal cell membranes, and it has been shown that immobilized SPI031 is not cytotoxic against human cells that form bone or blood vessels.
Figure 11.
(A) Structure of SPI031. (B) Effect of SPI031 on cell membranes, visualized by staining with FM 4-64. Reproduced from [133] http://creativecommons.org/licenses/by/4.0/ (accessed on 20 April 2025).
5. Biological Modifications of Surfaces
A wide range of antibiotics and antimicrobial peptides have antimicrobial effects (Table 1) and can be incorporated into or attached to coatings on various surfaces to prevent or reduce biofilm formation [59]. The disadvantages of these modifications are that the peptides can be attacked by host hydrolytic enzymes, and their activity is affected by pH, salt concentration and adsorption of proteins from the blood, but the use of protease-resistant, synthetic peptides can correct problems with activity and proteolysis. Cytotoxicity can also be a problem but is determined by the presence of cationic and hydrophobic moieties and their position within the peptide, so synthetic peptides can be designed with lower toxicity [134]. Different biological modifications have advantages and disadvantages (Table 4), such as stability in vivo, increasing resistance among microbes, degradation by host proteases and non-specific interactions. In general, AMPs are active against a broad spectrum of microorganisms, effective at low doses (reducing toxicity), combat microbes that are resistant to antimicrobial drugs or antibiotics and do not trigger immune responses [135]. AMPs are degraded rapidly in vivo, and synthetic AMPs, which are more resistant to degradation, are expensive to produce [136]. Antibiotics are critical for treating the early stages of an infection to prevent sepsis and for prophylaxis in high-risk patients, but some antibiotics have serious side-effects, including allergic reactions, toxicity and interaction with other drugs, damage to the patient’s microbiome and increasing microbial antibiotic resistance [137].
Table 4.
Advantages and disadvantages of biological modifications.
Examples of the use of biological modifications of surfaces are presented below and in Table 4.
5.1. Antimicrobial Peptides (AMPs)
Thousands of AMPs have been isolated, mainly from animals, and they kill microbes (Table 1) by forming pores in, or otherwise disrupting, the microbial membrane by inhibiting cell wall, nucleic acid or protein biosynthesis or by blocking the activity of enzymes [138,139]. Fungi such as C. albicans have evolved strategies to combat AMPs, including proteases that degrade AMPs, peptides that bind and inhibit them, membrane transporters that pump AMPs out of the fungal cell and increased chitin biosynthesis to counteract AMPs that target chitin synthesis [140]. Methods of attaching AMPs to surfaces include the attachment of magainin via a self-assembled monolayer of 11-mercaptoundecanoic acid (Figure 12A), site-specific attachment of LL-37 to titanium via a PEG spacer (Figure 12B) and attachment of hLf1-11 to titanium by adsorption or by silanization with 3-aminopropyltriethoxysilane (Figure 12C) [139].
Figure 12.
Attachment of AMPs to metal surfaces. (A) magainin attached to a SAM of MUA on a gold surface, (B) site-specific coupling of LL-37 to titanium, (C) attachment of hLf1-11 to titanium by physical adsorption (top) and by silanization and covalent bond with CPTES. EDC: 1-ethyl-3-(3-dimethylaminopropyl) carbodiimide, SAM: self-assembled monolayer. MUA: 11-mercapto-undecanoic acid, PEG: poly(ethylene glycol), CPTES: 3-chloropropyltriethoxysilane, Gray: surface being modified, orange: SAM, red explosion symbol: antimicrobial peptide. Adapted from [139].
5.1.1. Magainins (MAGs)
MAGs were first isolated from the skin of Xenopus laevis (Table 1) and are active against several Gram-positive and Gram-negative bacteria as well as C. albicans [141]. The sequences of magainin I and magainin II [142] were aligned in Clustal Omega [143]. The two sequences differ in 2 amino acid residues out of 23 (Figure 13). Magainins have hydrophobic (bold) and hydrophilic (plain text) portions, allowing them to interact with the cell membrane and form pores and micelles, thus disrupting the membrane and killing microbes. 11-mercaptoundecanoic acid (MUA) can be assembled into a single layer on surfaces such as gold, the carboxylate group converted to an ester and magainin I attached via its amino groups to the MUA ester group. In experiments with the MAG-modified gold, over half of the adhered Listeria ivanovii, S. aureus and Enterococcus faecalis were killed within 30 min [84,139].
Figure 13.
The sequences of magainin I and magainin II were aligned in Clustal Omega [143]. Hydrophobic residues, shown in bold, * identical conserved residues. Adapted from [142].
5.1.2. Human Cathelicidin, LL-37
LL-37 is the only cathelicidin AMP found in humans. It kills Pseudomonas, Escherichia, Staphylococcus and Enterococcus species. Furthermore, it blocks biofilm formation and adherence and disrupts biofilms of S. aureus and P. aeruginosa. However, LL-37 is cytotoxic, readily degraded by proteases, expensive to synthesize and less active in vivo. Several organisms, including S. aureus, S. typhimurium and Clostridioides difficile, have been shown to develop resistance after multiple passages in the presence of a sub-lethal dose of LL-37. Attaching LL-37 to a surface helps combat problems with cytotoxicity and proteolytic degradation. When LL-37 was connected to a titanium surface via polyethylene glycol, it actively killed E. coli. Some groups have produced synthetic versions of LL-37 with an altered sequence and have reported reduced cytotoxicity and instability, but others have reported the opposite and also a narrower antimicrobial spectrum, reduced activity against biofilms, poorer membrane disruption and lower in vivo activity [85,139,144].
5.1.3. hLF1-11
The AMP hLF1-11 is based on the N-terminus of human lactoferrin and can be attached to the hydroxyl groups created by oxygen plasma treatment of titanium surfaces (Table 1), reducing adhesion and biofilm formation by Streptococcus sanguinis and Lactobacillus sailvarius. Three attachment methods were tested―silanization and two types of copolymer brush methods. The copolymer brush methods were more effective at reducing bacterial colonization than the simple salinization method, probably because there was a greater density of hLF1-11 [86]. Lactoferrin is believed to affect bacteria by sequestering the iron that bacteria need to grow and replicate, disrupting the membrane by binding to a component of Gram-negative bacterial lipopolysaccharide, and degrading virulence factors of Shigella species and E. coli in a manner that depends on interaction between lactoferrin and target proteins on the microbial cell surface, including lipid A of Gram-negative bacteria or S. epidermidis lipoteichoic acid [145].
5.1.4. Melimine
The artificial AMP melimine (Table 1) is made up of fragments of the AMPs mellitin (from honeybee venom) and protamine (from salmon sperm) and damages bacterial membranes, including those of S. aureus and P. aeruginosa, and can be attached to a surface, where it inhibits adherence of bacteria. Melimine possesses a mix of hydrophobic and polar/charged residues. A tryptophan residue or perhaps leucine or isoleucine residues are believed to be important in the interaction of melimine with lipids of the bacterial cell membrane. The newer Mel4 molecule lacks these residues and is less cytotoxic but permeabilizes cell membranes more slowly than melimine (Figure 14). Melimine was attached to titanium via a silane moiety. First the titanium was treated with 3-aminopropyltriethoxysilane to attach amine groups to the surface. Then, 4-(N-maleimidomethyl) cyclohexane-1-carboxylic 3-sulfo-n-hydroxysuccinimide ester (sulfo-SMCC) was attached to these groups and melamine was attached to the sulfo-SMCC. S. aureus colonization was reduced by 84% and that by P. aeruginosa by 62% on melimine-covered titanium compared with bare titanium. Melimine alters the architecture of the cell membrane, and repeated rounds of microbial growth in the presence of a sub-inhibitory dose of melimine did not result in resistance to the AMP [87,146].
Figure 14.
Structure of melimine and Mel4. Blue: positive charge, gray: uncharged, pink: polar, yellow: hydrophobic residues. Reproduced from [147] https://creativecommons.org/licenses/by/4.0/ (accessed on 20 April 2025).
5.1.5. Cateslytin
Medical devices may be coated with layers of hyaluronic acid, the antimicrobial peptide cateslytin and chitosan (Table 1). When pathogens secrete hyaluronidase, the enzyme degrades the chitosan coating, leading to the release of cateslytin, which inhibits the growth of C. albicans and S. aureus [88]. Alternatively, devices may be coated with layers of poly-L-lysine and poly-L-glutamic acid in which the antifungal peptide CGA 47–66 has been embedded. The peptide diffuses out of the coating and inhibits C. albicans growth by 65% and completely blocks the growth of Neurospora crassa. N. crassa is not normally considered to be a pathogen, but Neurospora spp. have been implicated in several fungal infections, often in patients with COVID-19 infection and/or type 2 diabetes [148,149,150].
5.2. Antibiotics
Antibiotics (Table 1) may be attached covalently or by adsorption to various surfaces (Figure 15) [151]. Covalent attachment extends the period over which the antibiotic is effective as it avoids desorption, which could also lead to unwanted toxicity as desorbed antimicrobials accumulate in various tissues. Alternatively, antibiotics may be released from the surface, either at once or over time (leading to possible undesirable toxicity). If attached to the surface, the antibiotic is immobilized and acts locally when microorganisms approach the surface being protected [82]. Antibiotics may be biostatic (blocking growth/replication) or biocidal (killing microorganisms by a range of mechanisms) [152].
Figure 15.
Use of antibiotics to protect surfaces. Gray: surface from which antibiotics are released or to which they are attached, dark blue: live microorganisms, light blue: dead microorganisms, red: explosion symbols: antibiotic. Adapted from [151].
Gentamicin and Other Antibiotics on Hydroxyapatite Coatings
Gentamicin (Table 1) was originally extracted from the bacterium Micromonospora purpureais. It is active against a wide variety of bacteria and does not denature under mild heat treatment. It is therefore preferred for attaching to hydroxyapatite (HA) coatings on metal implants to protect them from biofilm formation [153]. Rabbit tibias were infected with a clinical strain of S. aureus, and then steel wires were implanted either with HA but without antibiotics or with gentamicin on HA. In all, 88% of test animals were infected when gentamicin was not used, whereas no test animal was infected where HA-covered wires had gentamicin attached. Biofilm formation on wires and in bones was significantly reduced when gentamicin was used [83]. Another group incorporated antibiotics into carbonated hydroxyapatite on titanium. A wider range of antibiotics could be used since the method was carried out at 37 °C. They crystallized the calcium phosphate and HA and co-precipitated the antibiotics from a solution of calcium and phosphate. Antibiotics with carboxylate groups (cephalothin, carbenicillin and cefamandol) were better incorporated and more slowly released than those without [154].
6. Conclusions
All surface modification strategies have advantages and disadvantages. Some modifications cause inflammation, affect wound healing or bone deposition or are toxic to host cells [57,59,61]. Combining techniques may have synergistic effects, e.g., slippery liquid-infused porous surfaces (SLIPSs) [155] repel and prevent the adherence of microbes and can be loaded with hydrophobic drugs. Drugs diffuse slowly and prevent the growth of non-adhered microbes. PEG brushes combined with cerium (IV) oxide and trimanganese tetraoxide may be used to modify the surface of titanium [156]. The PEG component resists the adherence of microbes, while the manganese and cerium ions trigger the production of ROS that damage the membrane and cause cell death, and the trimanganese tetraoxide oxidizes glutathione, countering its antioxidant activities. Poly-N-isopropyl-acrylamide hydrogels form gels above a certain temperature but solutions below it, and the addition of other compounds produces coatings that slough off microorganisms when the temperature is changed [157]. Another approach is to degrade quorum-sensing molecules [158] or the ECM [47]. One group attached enzymes to the anticorrosion agent, polyaniline, and reported that embedded α-amylase reduced marine biofilm formation by 76.5% [159]. Bacteriophages or their proteins can disrupt biofilm [46], and techniques have been developed to attach bacteriophages to gold, glass, cellulose or hydrogels via adsorption, electrostatic interaction or covalent bonds [58].
Given the growing incidence of drug-resistant bacteria and fungi, it is vital to identify effective means of protecting industrial and medical equipment and devices from microbial adhesion and biofilm formation. There are many promising biocidal or biostatic compounds that could be embedded in or attached to surfaces or coatings. However, in addition to the optimization of the surface treatments themselves to prevent adhesion and biofilm formation, the question of the durability of such a treatment and the maintenance of its long-term functionality is crucial. For example, if physical surface structuring or the chemical formation of a brush-like coating is used, such a structure must be able to withstand the conditions under which it is used, i.e., mechanical damage/abrasion during movement or the smoothing of surface structures due to the deposition of substances from liquids as they flow through pipes, for example. Similarly, the antimicrobial substances in the treated surface must retain their effectiveness over a sufficiently long period of time. If they gradually dissolve from the surface or are unstable, the antimicrobial effectiveness of the surface is lost. An important challenge is to produce surfaces that allow adhesion/biofilm formation by beneficial microbes but prevent adhesion and pathogenic biofilms.
Author Contributions
Conceptualization, D.W. and Z.P.; writing—original draft preparation, D.W.; writing—review and editing, Z.P. and L.V.; visualization, D.W., Z.P. and L.V.; funding acquisition, Z.P. and L.V. All authors have read and agreed to the published version of the manuscript.
Funding
This work was co-funded by the European Union and the state budget of the Czech Republic under the project LasApp CZ.02.01.01/00/22_008/0004573, and by Czech Academy of Sciences RVO 61388971.
Institutional Review Board Statement
Not applicable.
Informed Consent Statement
Not applicable.
Data Availability Statement
Not applicable.
Conflicts of Interest
The authors declare no conflicts of interest.
Appendix A
Literature Search Methodology: Relevant literature was identified primarily through PubMed and Google Scholar using the keyword combinations “biofilm”, “surface modification”, “antifouling”, “bacteria” and “fungi”. Other terms included “surface roughness”, “nanopillar”, “nanotopology”, “superhydrophobicity”, “superhydrophilic-ity”, “PEG”, “QAC”, “AMP”, “antibiotic” and other terms referring to various methods of physical modification of surfaces. The source articles with the most recent relevant findings (published within the past 10 years), supplemented by the earliest key reports, were prioritized.
References
- Cheng, K.; Akin, D.; Costerton, J. Rumen bacteria: Interaction with particulate dietary components and response to dietary variation. Fed. Proc. 1977, 36, 193–197. [Google Scholar] [PubMed]
- Costerton, J.W.; Geesey, G.G.; Cheng, K.-J. How bacteria stick. Sci. Am. 1978, 238, 86–95. [Google Scholar] [CrossRef]
- McCowan, R.; Cheng, K.; Bailey, C.; Costerton, J. Adhesion of bacteria to epithelial cell surfaces within the reticulo-rumen of cattle. Appl. Environ. Microbiol. 1978, 35, 149–155. [Google Scholar] [CrossRef]
- Lappin-Scott, H.; Burton, S.; Stoodley, P. Revealing a world of biofilms—The pioneering research of Bill Costerton. Nat. Rev. Microbiol. 2014, 12, 781–787. [Google Scholar] [CrossRef] [PubMed]
- Geesey, G.; Richardson, W.; Yeomans, H.; Irvin, R.; Costerton, J. Microscopic examination of natural sessile bacterial populations from an alpine stream. Can. J. Microbiol. 1977, 23, 1733–1736. [Google Scholar] [CrossRef] [PubMed]
- Geesey, G.; Mutch, R.; Costerton, J.; Green, R. Sessile bacteria: An important component of the microbial population in small mountain streams 1. Limnol. Oceanogr. 1978, 23, 1214–1223. [Google Scholar] [CrossRef]
- Costerton, J.; Gessey, G. Microbial contamination of surfaces. In Surface Contamination: Genesis, Detection, and Control; Springer: Berlin/Heidelberg, Germany, 1979; pp. 211–221. [Google Scholar]
- Lam, J.; Chan, R.; Lam, K.; Costerton, J. Production of mucoid microcolonies by Pseudomonas aeruginosa within infected lungs in cystic fibrosis. Infect. Immun. 1980, 28, 546–556. [Google Scholar] [CrossRef]
- Marrie, T.J.; Lam, J.; Costerton, J.W. Bacterial adhesion to uroepithelial cells: A morphologic study. J. Infect. Dis. 1980, 142, 239–246. [Google Scholar] [CrossRef]
- Costerton, J.W.; Irvin, R.T.; Cheng, K. The bacterial glycocalyx in nature and disease. Ann. Rev. Microbiol. 1981, 35, 299–324. [Google Scholar] [CrossRef]
- Gristina, A.G.; Costerton, J. Bacterial adherence to biomaterials and tissue. The significance of its role in clinical sepsis. JBJS 1985, 67, 264–273. [Google Scholar] [CrossRef]
- Costerton, J.W.; Cheng, K.-J.; Geesey, G.G.; Ladd, T.I.; Nickel, J.C.; Dasgupta, M.; Marrie, T.J. Bacterial biofilms in nature and disease. Ann. Rev. Microbiol. 1987, 41, 435–464. [Google Scholar] [CrossRef] [PubMed]
- Shapiro, J.A. Bacteria as multicellular organisms. Sci. Am. 1988, 258, 82–89. [Google Scholar] [CrossRef]
- Palková, Z. Multicellular microorganisms: Laboratory versus nature. EMBO Rep. 2004, 5, 470–476. [Google Scholar] [CrossRef] [PubMed]
- Flemming, H.-C.; Wingender, J. The biofilm matrix. Nat. Rev. Microbiol. 2010, 8, 623–633. [Google Scholar] [CrossRef]
- Fleet, G.H. Yeasts in foods and beverages: Impact on product quality and safety. Curr. Opin. Biotechnol. 2007, 18, 170–175. [Google Scholar] [CrossRef]
- Robertson, S.R.; McLean, R.J. Beneficial biofilms. AIMS Bioeng. 2015, 2, 437–448. [Google Scholar] [CrossRef]
- Ünal Turhan, E.; Erginkaya, Z.; Korukluoğlu, M.; Konuray, G. Beneficial biofilm applications in food and agricultural industry. In Health and Safety Aspects of Food Processing Technologies; Springer: Berlin/Heidelberg, Germany, 2019; pp. 445–469. [Google Scholar]
- Ghiasian, M. Microbial biofilms: Beneficial applications for sustainable agriculture. In New and Future Developments in Microbial Biotechnology and Bioengineering; Elsevier: Amsterdam, The Netherlands, 2020; pp. 145–155. [Google Scholar]
- Clarke, R.; Bauchop, T. Microbial Ecology of the Gut; Academic Press: Cambridge, MA, USA, 1977. [Google Scholar]
- Percival, S.L.; Emanuel, C.; Cutting, K.F.; Williams, D.W. Microbiology of the skin and the role of biofilms in infection. Int. Wound J. 2012, 9, 14–32. [Google Scholar] [CrossRef]
- Rastelli, M.; Knauf, C.; Cani, P.D. Gut microbes and health: A focus on the mechanisms linking microbes, obesity, and related disorders. Obesity 2018, 26, 792–800. [Google Scholar] [CrossRef]
- Álvarez, J.; Real, J.M.F.; Guarner, F.; Gueimonde, M.; Rodríguez, J.M.; de Pipaon, M.S.; Sanz, Y. Gut microbes and health. Gastroenterol. Hepatol. (Engl. Ed.) 2021, 44, 519–535. [Google Scholar] [CrossRef]
- Pasmore, M.; Costerton, J.W. Biofilms, bacterial signaling, and their ties to marine biology. J. Ind. Microbiol. Biotechnol. 2003, 30, 407–413. [Google Scholar] [CrossRef]
- Lewis, K. Persister cells and the riddle of biofilm survival. Biochemistry 2005, 70, 267–274. [Google Scholar] [CrossRef] [PubMed]
- Kim, S.-K.; Lee, J.-H. Biofilm dispersion in Pseudomonas aeruginosa. J. Microbiol. 2016, 54, 71–85. [Google Scholar] [CrossRef]
- Bu, F.; Liu, M.; Xie, Z.; Chen, X.; Li, G.; Wang, X. Targeted anti-biofilm therapy: Dissecting targets in the biofilm life cycle. Pharmaceuticals 2022, 15, 1253. [Google Scholar] [CrossRef]
- Yu, J.-L.; Andersson, R.; Ljungh, Å. Protein adsorption and bacterial adhesion to biliary stent materials. J. Surg. Res. 1996, 62, 69–73. [Google Scholar] [CrossRef]
- Hou, W.; Liu, Y.; Wu, S.; Zhang, H.; Guo, B.; Zhang, B.; Qin, X.-J.; Li, H. Preadsorption of serum proteins regulates bacterial infections and subsequent macrophage phagocytosis on biomaterial surfaces. ACS Appl. Bio Mater. 2019, 2, 5957–5964. [Google Scholar] [CrossRef]
- Zegans, M.E.; Wozniak, D.; Griffin, E.; Toutain-Kidd, C.M.; Hammond, J.H.; Garfoot, A.; Lam, J.S. Pseudomonas aeruginosa exopolysaccharide Psl promotes resistance to the biofilm inhibitor polysorbate 80. Antimicrob. Agents Chemother. 2012, 56, 4112–4122. [Google Scholar] [CrossRef]
- Pierce, C.G.; Vila, T.; Romo, J.A.; Montelongo-Jauregui, D.; Wall, G.; Ramasubramanian, A.; Lopez-Ribot, J.L. The Candida albicans biofilm matrix: Composition, structure and function. J. Fungi 2017, 3, 14. [Google Scholar] [CrossRef] [PubMed]
- Arafa, S.H.; Elbanna, K.; Osman, G.E.; Abulreesh, H.H. Candida diagnostic techniques: A review. J. Umm Al-Qura Uni Appl. Sci. 2023, 9, 360–377. [Google Scholar] [CrossRef]
- Bruchmann, J.; Pini, I.; Gill, T.S.; Schwartz, T.; Levkin, P.A. Patterned SLIPS for the formation of arrays of biofilm microclusters with defined geometries. Adv. Healthc. Mater. 2017, 6, 1601082. [Google Scholar] [CrossRef]
- Grande, R.; Puca, V.; Muraro, R. Antibiotic resistance and bacterial biofilm. Expert. Opin. Ther. Pat. 2020, 30, 897–900. [Google Scholar] [CrossRef]
- Jahagirdar, V.L.; Davane, M.S.; Aradhye, S.C.; Nagoba, B.S. Candida species as potential nosocomial pathogens—A review. Electron. J. Gen. Med. 2018, 15. [Google Scholar]
- Wuyts, J.; Van Dijck, P.; Holtappels, M. Fungal persister cells: The basis for recalcitrant infections? PLoS Pathog. 2018, 14, e1007301. [Google Scholar] [CrossRef] [PubMed]
- Chandra, J.; Kuhn, D.M.; Mukherjee, P.K.; Hoyer, L.L.; McCormick, T.; Ghannoum, M.A. Biofilm formation by the fungal pathogen Candida albicans: Development, architecture, and drug resistance. J. Bacteriol. 2001, 183, 5385–5394. [Google Scholar] [CrossRef]
- Trautner, B.W.; Darouiche, R.O. Role of biofilm in catheter-associated urinary tract infection. Am. J. Infect. Control 2004, 32, 177–183. [Google Scholar] [CrossRef]
- Váchová, L.; Šťovíček, V.; Hlaváček, O.; Chernyavskiy, O.; Štěpánek, L.; Kubínová, L.; Palková, Z. Flo11p, drug efflux pumps, and the extracellular matrix cooperate to form biofilm yeast colonies. J. Cell Biol. 2011, 194, 679–687. [Google Scholar] [CrossRef] [PubMed]
- Fanning, S.; Mitchell, A.P. Fungal biofilms. PLoS Pathog. 2012, 8, e1002585. [Google Scholar] [CrossRef]
- Galie, S.; García-Gutiérrez, C.; Miguélez, E.M.; Villar, C.J.; Lombó, F. Biofilms in the food industry: Health aspects and control methods. Front. Microbiol. 2018, 9, 898. [Google Scholar] [CrossRef]
- Eboigbodin, K.E. Biophysical Investigation of Bacterial Aggregation; University of Sheffield: Sheffield, UK, 2008. [Google Scholar]
- Speth, C.; Rambach, G.; Lass-Flörl, C.; Howell, P.L.; Sheppard, D.C. Galactosaminogalactan (GAG) and its multiple roles in Aspergillus pathogenesis. Virulence 2019, 10, 976–983. [Google Scholar] [CrossRef]
- Kernien, J.F.; Johnson, C.J.; Bayless, M.L.; Chovanec, J.F.; Nett, J.E. Neutrophils from patients with invasive candidiasis are inhibited by Candida Albicans biofilms. Front. Immunol. 2020, 11, 587956. [Google Scholar] [CrossRef]
- Mannan, M.; Nabeela, S.; Mishra, R.; Uppuluri, P. Host immune response against fungal biofilms. Curr. Opin. Microbiol. 2024, 81, 102520. [Google Scholar] [CrossRef]
- Ferriol-González, C.; Domingo-Calap, P. Phages for biofilm removal. Antibiotics 2020, 9, 268. [Google Scholar] [CrossRef] [PubMed]
- Al-Madboly, L.A.; Aboulmagd, A.; El-Salam, M.A.; Kushkevych, I.; El-Morsi, R.M. Microbial enzymes as powerful natural anti-biofilm candidates. Microb. Cell Fact. 2024, 23, 343. [Google Scholar] [CrossRef]
- Topka-Bielecka, G.; Dydecka, A.; Necel, A.; Bloch, S.; Nejman-Faleńczyk, B.; Węgrzyn, G.; Węgrzyn, A. Bacteriophage-derived depolymerases against bacterial biofilm. Antibiotics 2021, 10, 175. [Google Scholar] [CrossRef]
- Liu, S.; Lu, H.; Zhang, S.; Shi, Y.; Chen, Q. Phages against pathogenic bacterial biofilms and biofilm-based infections: A review. Pharmaceutics 2022, 14, 427. [Google Scholar] [CrossRef] [PubMed]
- Wille, J.; Coenye, T. Biofilm dispersion: The key to biofilm eradication or opening Pandora’s box? Biofilm 2020, 2, 100027. [Google Scholar] [CrossRef]
- Veerachamy, S.; Yarlagadda, T.; Manivasagam, G.; Yarlagadda, P.K. Bacterial adherence and biofilm formation on medical implants: A review. Proc. Inst. Mech. Eng. Part. H J. Eng. Med. 2014, 228, 1083–1099. [Google Scholar] [CrossRef] [PubMed]
- Bazaka, K.; Jacob, M.V.; Crawford, R.J.; Ivanova, E.P. Plasma-assisted surface modification of organic biopolymers to prevent bacterial attachment. Acta Biomater. 2011, 7, 2015–2028. [Google Scholar] [CrossRef]
- Kingshott, P.; Griesser, H.J. Surfaces that resist bioadhesion. Curr. Opin. Solid. State Mater. Sci. 1999, 4, 403–412. [Google Scholar] [CrossRef]
- Chandra, J.; Patel, J.D.; Li, J.; Zhou, G.; Mukherjee, P.K.; McCormick, T.S.; Anderson, J.M.; Ghannoum, M.A. Modification of surface properties of biomaterials influences the ability of Candida albicans to form biofilms. Appl. Environ. Microbiol. 2005, 71, 8795–8801. [Google Scholar] [CrossRef]
- Balazs, D.; Triandafillu, K.; Chevolot, Y.; Aronsson, B.O.; Harms, H.; Descouts, P.; Mathieu, H. Surface modification of PVC endotracheal tubes by oxygen glow discharge to reduce bacterial adhesion. Surf. Interface Anal. 2003, 35, 301–309. [Google Scholar] [CrossRef]
- Nouri, A.; Wen, C. Introduction to surface coating and modification for metallic biomaterials. In Surface Coating and Modification of Metallic Biomaterials; Elsevier: Amsterdam, The Netherlands, 2015; pp. 3–60. [Google Scholar]
- Waugh, D.G.; Toccaceli, C.; Gillett, A.R.; Ng, C.-H.; Hodgson, S.D.; Lawrence, J. Surface Treatments to Modulate Bioadhesion: A Critical Review; Wiley: Hoboken, NJ, USA, 2016. [Google Scholar]
- Adlhart, C.; Verran, J.; Azevedo, N.F.; Olmez, H.; Keinänen-Toivola, M.M.; Gouveia, I.; Melo, L.F.; Crijns, F. Surface modifications for antimicrobial effects in the healthcare setting: A critical overview. J. Hosp. Infect. 2018, 99, 239–249. [Google Scholar] [CrossRef] [PubMed]
- Chouirfa, H.; Bouloussa, H.; Migonney, V.-U.; Falentin-Daudré, C. Review of titanium surface modification techniques and coatings for antibacterial applications. Acta Biomater. 2019, 83, 37–54. [Google Scholar] [CrossRef] [PubMed]
- Ghilini, F.; Pissinis, D.E.; Minan, A.; Schilardi, P.L.; Diaz, C. How functionalized surfaces can inhibit bacterial adhesion and viability. ACS Biomater. Sci. Eng. 2019, 5, 4920–4936. [Google Scholar] [CrossRef] [PubMed]
- Uneputty, A.; Dávila-Lezama, A.; Garibo, D.; Oknianska, A.; Bogdanchikova, N.; Hernández-Sánchez, J.; Susarrey-Arce, A. Strategies applied to modify structured and smooth surfaces: A step closer to reduce bacterial adhesion and biofilm formation. Colloid. Interface Sci. Commun. 2022, 46, 100560. [Google Scholar] [CrossRef]
- Hauschwitz, P.; Palkova, Z.; Vachova, L.; Bicistova, R.; Prochazka, M.; Plocek, V.; Tarant, I.; Pathak, S.; Brajer, J.; Muzik, J. Rapid laser-induced nanostructuring for yeast adhesion-reducing surfaces using beam shaping with SLM. J. Mater. Res. Technol. 2025, 35, 193–198. [Google Scholar] [CrossRef]
- Schwibbert, K.; Menzel, F.; Epperlein, N.; Bonse, J.; Krüger, J. Bacterial adhesion on femtosecond laser-modified polyethylene. Materials 2019, 12, 3107. [Google Scholar] [CrossRef]
- Arango-Santander, S.; Pelaez-Vargas, A.; Freitas, S.C.; García, C. Surface Modification by Combination of Dip-Pen Nanolithography and Soft Lithography for Reduction of Bacterial Adhesion. J. Nanotechnol. 2018, 2018, 8624735. [Google Scholar] [CrossRef]
- Ivanova, E.P.; Hasan, J.; Webb, H.K.; Gervinskas, G.; Juodkazis, S.; Truong, V.K.; Wu, A.H.; Lamb, R.N.; Baulin, V.A.; Watson, G.S. Bactericidal activity of black silicon. Nat. Commun. 2013, 4, 2838. [Google Scholar] [CrossRef]
- Puckett, S.D.; Taylor, E.; Raimondo, T.; Webster, T.J. The relationship between the nanostructure of titanium surfaces and bacterial attachment. Biomaterials 2010, 31, 706–713. [Google Scholar] [CrossRef]
- Szymczyk-Ziółkowska, P.; Hoppe, V.; Rusińska, M.; Gąsiorek, J.; Ziółkowski, G.; Dydak, K.; Czajkowska, J.; Junka, A. The impact of EBM-manufactured Ti6Al4V ELI alloy surface modifications on cytotoxicity toward eukaryotic cells and microbial biofilm formation. Materials 2020, 13, 2822. [Google Scholar] [CrossRef]
- Diaz, C.; Salvarezza, R.C.; Fernandez Lorenzo de Mele, M.A.; Schilardi, P.L. Organization of Pseudomonas fluorescens on chemically different nano/microstructured surfaces. ACS Appl. Mater. Interfaces 2010, 2, 2530–2539. [Google Scholar] [CrossRef] [PubMed]
- Roosjen, A.; Kaper, H.J.; Van Der Mei, H.C.; Norde, W.; Busscher, H.J. Inhibition of adhesion of yeasts and bacteria by poly (ethylene oxide)-brushes on glass in a parallel plate flow chamber. Microbiology 2003, 149, 3239–3246. [Google Scholar] [CrossRef]
- Ziemba, C.; Khavkin, M.; Priftis, D.; Acar, H.; Mao, J.; Benami, M.; Gottlieb, M.; Tirrell, M.; Kaufman, Y.; Herzberg, M. Antifouling properties of a self-assembling glutamic acid-lysine zwitterionic polymer surface coating. Langmuir 2018, 35, 1699–1713. [Google Scholar] [CrossRef]
- Masotti, E.; Poma, N.; Guazzelli, E.; Fiaschi, I.; Glisenti, A.; Vivaldi, F.; Bonini, A.; Di Francesco, F.; Tavanti, A.; Galli, G. Fluorinated vs. zwitterionic-polymer grafted surfaces for adhesion prevention of the fungal pathogen Candida albicans. Polymers 2020, 12, 398. [Google Scholar] [CrossRef]
- Holban, A.-M.; Farcasiu, C.; Andrei, O.-C.; Grumezescu, A.M.; Farcasiu, A.-T. Surface modification to modulate microbial biofilms—Applications in dental medicine. Materials 2021, 14, 6994. [Google Scholar] [CrossRef]
- Astasov-Frauenhoffer, M.; Glauser, S.; Fischer, J.; Schmidli, F.; Waltimo, T.; Rohr, N. Biofilm formation on restorative materials and resin composite cements. Dent. Mater. 2018, 34, 1702–1709. [Google Scholar] [CrossRef] [PubMed]
- Jansen, B.; Kohnen, W. Prevention of biofilm formation by polymer modification. J. Ind. Microbiol. Biotechnol. 1995, 15, 391–396. [Google Scholar] [CrossRef] [PubMed]
- Alcheikh, A.; Pavon-Djavid, G.; Helary, G.; Petite, H.; Migonney, V.; Anagnostou, F. PolyNaSS grafting on titanium surfaces enhances osteoblast differentiation and inhibits Staphylococcus aureus adhesion. J. Mater. Sci. Mater. Med. 2013, 24, 1745–1754. [Google Scholar] [CrossRef]
- Majumdar, P.; Lee, E.; Patel, N.; Stafslien, S.J.; Daniels, J.; Chisholm, B.J. Development of environmentally friendly, antifouling coatings based on tethered quaternary ammonium salts in a crosslinked polydimethylsiloxane matrix. J. Coat. Technol. Res. 2008, 5, 405–417. [Google Scholar] [CrossRef]
- Schaer, T.P.; Stewart, S.; Hsu, B.B.; Klibanov, A.M. Hydrophobic polycationic coatings that inhibit biofilms and support bone healing during infection. Biomaterials 2012, 33, 1245–1254. [Google Scholar] [CrossRef]
- Tarabal, V.S.; Abud, Y.K.; da Silva, F.G.; da Cruz, L.F.; Fontes, G.N.; da Silva, J.A.; Filho, C.B.; Sinisterra, R.D.; Granjeiro, J.M.; Granjeiro, P.A. Effect of DMPEI coating against biofilm formation on PVC catheter surface. World J. Microbiol. Biotechnol. 2024, 40, 6. [Google Scholar] [CrossRef]
- Lampé, I.; Beke, D.; Biri, S.; Csarnovics, I.; Csik, A.; Dombrádi, Z.; Hajdu, P.; Hegedűs, V.; Rácz, R.; Varga, I. Investigation of silver nanoparticles on titanium surface created by ion implantation technology. Int. J. Nanomed. 2019, 14, 4709–4721. [Google Scholar] [CrossRef] [PubMed]
- Kulkarni, M.; Junkar, I.; Humpolíček, P.; Capáková, Z.; Radaszkiewicz, K.A.; Mikušová, N.; Pacherník, J.; Lehocký, M.; Iglič, A.; Hanáčková, M. Interaction of nanostructured TiO2 biointerfaces with stem cells and biofilm-forming bacteria. Mater. Sci. Eng C 2017, 77, 500–507. [Google Scholar] [CrossRef]
- Braem, A.; De Cremer, K.; Delattin, N.; De Brucker, K.; Neirinck, B.; Vandamme, K.; Martens, J.A.; Michiels, J.; Vleugels, J.; Cammue, B.P. Novel anti-infective implant substrates: Controlled release of antibiofilm compounds from mesoporous silica-containing macroporous titanium. Colloids Surf. B Biointerfaces 2015, 126, 481–488. [Google Scholar] [CrossRef] [PubMed]
- Gerits, E.; Kucharíková, S.; Van Dijck, P.; Erdtmann, M.; Krona, A.; Lövenklev, M.; Fröhlich, M.; Dovgan, B.; Impellizzeri, F.; Braem, A. Antibacterial activity of a new broad-spectrum antibiotic covalently bound to titanium surfaces. J. Orthop. Res.® 2016, 34, 2191–2198. [Google Scholar] [CrossRef] [PubMed]
- Alt, V.; Bitschnau, A.; Österling, J.; Sewing, A.; Meyer, C.; Kraus, R.; Meissner, S.A.; Wenisch, S.; Domann, E.; Schnettler, R. The effects of combined gentamicin–hydroxyapatite coating for cementless joint prostheses on the reduction of infection rates in a rabbit infection prophylaxis model. Biomaterials 2006, 27, 4627–4634. [Google Scholar] [CrossRef]
- Humblot, V.; Yala, J.-F.; Thebault, P.; Boukerma, K.; Héquet, A.; Berjeaud, J.-M.; Pradier, C.-M. The antibacterial activity of Magainin I immobilized onto mixed thiols Self-Assembled Monolayers. Biomaterials 2009, 30, 3503–3512. [Google Scholar] [CrossRef]
- Gabriel, M.; Nazmi, K.; Veerman, E.C.; Nieuw Amerongen, A.V.; Zentner, A. Preparation of LL-37-grafted titanium surfaces with bactericidal activity. Bioconjugate Chem. 2006, 17, 548–550. [Google Scholar] [CrossRef]
- Godoy-Gallardo, M.; Mas-Moruno, C.; Yu, K.; Manero, J.M.; Gil, F.J.; Kizhakkedathu, J.N.; Rodriguez, D. Antibacterial properties of hLf1–11 peptide onto titanium surfaces: A comparison study between silanization and surface initiated polymerization. Biomacromolecules 2015, 16, 483–496. [Google Scholar] [CrossRef]
- Chen, R.; Willcox, M.D.; Ho, K.K.K.; Smyth, D.; Kumar, N. Antimicrobial peptide melimine coating for titanium and its in vivo antibacterial activity in rodent subcutaneous infection models. Biomaterials 2016, 85, 142–151. [Google Scholar] [CrossRef]
- Cado, G.; Aslam, R.; Séon, L.; Garnier, T.; Fabre, R.; Parat, A.; Chassepot, A.; Voegel, J.C.; Senger, B.; Schneider, F. Self-defensive biomaterial coating against bacteria and yeasts: Polysaccharide multilayer film with embedded antimicrobial peptide. Adv. Funct. Mater. 2013, 23, 4801–4809. [Google Scholar] [CrossRef]
- Kligman, S.; Ren, Z.; Chung, C.-H.; Perillo, M.A.; Chang, Y.-C.; Koo, H.; Zheng, Z.; Li, C. The impact of dental implant surface modifications on osseointegration and biofilm formation. J. Clin. Med. 2021, 10, 1641. [Google Scholar] [CrossRef] [PubMed]
- Brüggemann, D.; Wolfrum, B.; de Silva, J.P. Fabrication, properties and applications of gold nanopillars. In Handbook of Nanomaterials Properties; Springer: Berlin/Heidelberg, Germany, 2014; pp. 317–354. [Google Scholar]
- McFadden, R.; Quinn, J.; Buchanan, F.; Carson, L.; Acheson, J.G.; McKillop, S.; Chan, C.-W. An effective laser surface treatment method to reduce biofilm coverage of multiple bacterial species associated with medical device infection. Surf. Coat. Tech. 2023, 453, 129092. [Google Scholar] [CrossRef]
- Fu, C.C.; Grimes, A.; Long, M.; Ferri, C.G.; Rich, B.D.; Ghosh, S.; Ghosh, S.; Lee, L.P.; Gopinathan, A.; Khine, M. Tunable nanowrinkles on shape memory polymer sheets. Adv. Mater. 2009, 21, 4472–4476. [Google Scholar] [CrossRef]
- Freschauf, L.R.; McLane, J.; Sharma, H.; Khine, M. Shrink-induced superhydrophobic and antibacterial surfaces in consumer plastics. PLos ONE 2012, 7, e40987. [Google Scholar] [CrossRef]
- Lorenzetti, M.; Dogša, I.; Stošicki, T.a.; Stopar, D.; Kalin, M.; Kobe, S.; Novak, S.a. The influence of surface modification on bacterial adhesion to titanium-based substrates. ACS Appl. Mater. Interfaces 2015, 7, 1644–1651. [Google Scholar] [CrossRef]
- Ivanova, E.P.; Linklater, D.P.; Werner, M.; Baulin, V.A.; Xu, X.; Vrancken, N.; Rubanov, S.; Hanssen, E.; Wandiyanto, J.; Truong, V.K. The multi-faceted mechano-bactericidal mechanism of nanostructured surfaces. Proc. Natl. Acad. Sci. USA 2020, 117, 12598–12605. [Google Scholar] [CrossRef]
- Peterdi, G.F. Printmaking; Chapter: Lithography. In Encyclopedia Britannica; Encyclopedia Britannica: Edinburgh, UK, 2021. [Google Scholar]
- Ginger, D.S.; Zhang, H.; Mirkin, C.A. The evolution of dip-pen nanolithography. Angew. Chem. Int. Ed. 2004, 43, 30–45. [Google Scholar] [CrossRef]
- Piner, R.D.; Zhu, J.; Xu, F.; Hong, S.; Mirkin, C.A. “Dip-pen” nanolithography. Science 1999, 283, 661–663. [Google Scholar] [CrossRef]
- Benčina, M.; Rawat, N.; Paul, D.; Kovač, J.; Iglič, A.; Junkar, I. Surface Modification of Stainless Steel for Enhanced Antibacterial Activity. ACS Omega 2025, 10, 13361–13369. [Google Scholar] [CrossRef]
- Paiwand, S.; Schäfer, S.; Kopp, A.; Beikler, T.; Fiedler, I.; Gosau, M.; Fuest, S.; Smeets, R. Antibacterial potential of silver and zinc loaded plasma-electrolytic oxidation coatings for dental titanium implants. Int. J. Implant. Dent. 2025, 11, 12. [Google Scholar] [CrossRef] [PubMed]
- Mrsic, I.; Baeuerle, T.; Ulitzsch, S.; Lorenz, G.; Rebner, K.; Kandelbauer, A.; Chasse, T. Oxygen plasma surface treatment of polymer films—Pellethane 55DE and EPR-g-VTMS. Appl. Surf. Sci. 2021, 536, 147782. [Google Scholar] [CrossRef]
- Valkov, S.; Ormanova, M.; Petrov, P. Electron-beam surface treatment of metals and alloys: Techniques and trends. Metals 2020, 10, 1219. [Google Scholar] [CrossRef]
- Díaz, C.; Schilardi, P.L.; Salvarezza, R.C.; Fernández Lorenzo de Mele, M. Nano/microscale order affects the early stages of biofilm formation on metal surfaces. Langmuir 2007, 23, 11206–11210. [Google Scholar] [CrossRef] [PubMed]
- Marzullo, P.; Gruttadauria, M.; D’Anna, F. Quaternary ammonium salts-based materials: A review on environmental toxicity, anti-fouling mechanisms and applications in marine and water treatment industries. Biomolecules 2024, 14, 957. [Google Scholar] [CrossRef]
- Chiang, W.-C.; Schroll, C.; Hilbert, L.R.; Møller, P.; Tolker-Nielsen, T. Silver-palladium surfaces inhibit biofilm formation. Appl. Environ. Microbiol. 2009, 75, 1674–1678. [Google Scholar] [CrossRef] [PubMed]
- Scarano, A.; Assenza, B.; Piattelli, M.; Iezzi, G.; Leghissa, G.C.; Quaranta, A.; Tortora, P.; Piattelli, A. A 16–year study of the microgap between 272 human titanium implants and their abutments. J. Oral. Implantol. 2005, 31, 269–275. [Google Scholar] [CrossRef]
- Coad, B.R.; Kidd, S.E.; Ellis, D.H.; Griesser, H.J. Biomaterials surfaces capable of resisting fungal attachment and biofilm formation. Biotechnol. Adv. 2014, 32, 296–307. [Google Scholar] [CrossRef]
- Hazen, K.C.; Hazen, B.W. Surface hydrophobic and hydrophilic protein alterations in Candida albicans. FEMS Microbiol. Lett. 1993, 107, 83–87. [Google Scholar] [CrossRef]
- Goswami, R.R.; Pohare, S.D.; Raut, J.S.; Karuppayil, S.M. Cell surface hydrophobicity as a virulence factor in Candida albicans. Biosci. Biotechnol. Res. Asia 2017, 14, 1503. [Google Scholar] [CrossRef]
- Desai, N.P.; Hubbell, J.A. Solution technique to incorporate polyethylene oxide and other water-soluble polymers into surfaces of polymeric biomaterials. Biomaterials 1991, 12, 144–153. [Google Scholar] [CrossRef] [PubMed]
- Zhou, L.-Y.; Zhu, Y.-H.; Wang, X.-Y.; Shen, C.; Wei, X.-W.; Xu, T.; He, Z.-Y. Novel zwitterionic vectors: Multi-functional delivery systems for therapeutic genes and drugs. Comput. Struct. Biotechnol. J. 2020, 18, 1980–1999. [Google Scholar] [CrossRef] [PubMed]
- Camagay, A.V.; Kendall, N.; Connolly, M.K. Quaternary Ammonium Compound Toxicity. In StatPearls [Internet]; StatPearls Publishing: Treasure Island, FL, USA, 2023. [Google Scholar]
- Wang, Y.; Ge-Zhang, S.; Mu, P.; Wang, X.; Li, S.; Qiao, L.; Mu, H. Advances in sol-gel-based superhydrophobic coatings for wood: A review. Int. J. Mol. Sci. 2023, 24, 9675. [Google Scholar] [CrossRef] [PubMed]
- Wang, Y.; Jin, Y.; Chen, Y.; Han, T.; Chen, Y.; Wang, C. A preliminary study on surface bioactivation of polyaryletherketone by UV-grafting with PolyNaSS: Influence on osteogenic and antibacterial activities. J. Biomater. Sci. Polym. Ed. 2022, 33, 1845–1865. [Google Scholar] [CrossRef]
- Winnicka, K.; Wroblewska, M.; Wieczorek, P.; Sacha, P.T.; Tryniszewska, E. Hydrogel of ketoconazole and PAMAM dendrimers: Formulation and antifungal activity. Molecules 2012, 17, 4612–4624. [Google Scholar] [CrossRef]
- Alfei, S.; Schito, A.M. From nanobiotechnology, positively charged biomimetic dendrimers as novel antibacterial agents: A review. Nanomaterials 2020, 10, 2022. [Google Scholar] [CrossRef]
- Paul, S.; Verma, S.; Chen, Y.-C. Peptide dendrimer-based antibacterial agents: Synthesis and applications. ACS Infect. Dis. 2024, 10, 1034–1055. [Google Scholar] [CrossRef]
- Stallard, C.P.; McDonnell, K.; Onayemi, O.; O’gara, J.; Dowling, D. Evaluation of protein adsorption on atmospheric plasma deposited coatings exhibiting superhydrophilic to superhydrophobic properties. Biointerphases 2012, 7, 31. [Google Scholar] [CrossRef]
- Lam, M.; Moris, V.; Humblot, V.; Migonney, V.; Falentin-Daudre, C. A simple way to graft a bioactive polymer–Polystyrene sodium sulfonate on silicone surfaces. Eur. Polym. J. 2020, 128, 109608. [Google Scholar] [CrossRef]
- Hélary, G.; Noirclère, F.; Mayingi, J.; Migonney, V. A new approach to graft bioactive polymer on titanium implants: Improvement of MG 63 cell differentiation onto this coating. Acta Biomater. 2009, 5, 124–133. [Google Scholar] [CrossRef]
- Felgueiras, H.P.; Aissa, I.B.; Evans, M.D.; Migonney, V. Contributions of adhesive proteins to the cellular and bacterial response to surfaces treated with bioactive polymers: Case of poly (sodium styrene sulfonate) grafted titanium surfaces. J. Mater. Sci. Mater. Med. 2015, 26, 261. [Google Scholar] [CrossRef] [PubMed]
- Sánchez-Bodón, J.; Andrade del Olmo, J.; Alonso, J.M.; Moreno-Benítez, I.; Vilas-Vilela, J.L.; Pérez-Álvarez, L. Bioactive coatings on titanium: A review on hydroxylation, self-assembled monolayers (SAMs) and surface modification strategies. Polymers 2021, 14, 165. [Google Scholar] [CrossRef] [PubMed]
- Gerba, C.P. Quaternary ammonium biocides: Efficacy in application. Appl. Environ. Microbiol. 2015, 81, 464–469. [Google Scholar] [CrossRef] [PubMed]
- Bertrand, C.D.; Martins, R.; Quintas-Nunes, F.; Reynolds-Brandão, P.; Crespo, M.T.B.; Nascimento, F.X. Exploring the functional and genomic features of Cellulophaga lytica NFXS1, a zeaxanthin and lytic enzyme-producing marine bacterium that promotes microalgae growth. Microbe 2024, 4, 100142. [Google Scholar] [CrossRef]
- Smith, S.A.; Choi, S.H.; Collins, J.N.; Travers, R.J.; Cooley, B.C.; Morrissey, J.H. Inhibition of polyphosphate as a novel strategy for preventing thrombosis and inflammation. Blood J. Am. Soc. Hematol. 2012, 120, 5103–5110. [Google Scholar] [CrossRef]
- Fail, C.; Evenson, S.; Ward, L.; Schofield, W.; Badyal, J. Controlled attachment of PAMAM dendrimers to solid surfaces. Langmuir 2002, 18, 264–268. [Google Scholar] [CrossRef]
- Lai, Z.; Jian, Q.; Li, G.; Shao, C.; Zhu, Y.; Yuan, X.; Chen, H.; Shan, A. Self-assembling peptide dendron nanoparticles with high stability and a multimodal antimicrobial mechanism of action. ACS Nano 2021, 15, 15824–15840. [Google Scholar] [CrossRef]
- Wang, G.; Jin, W.; Qasim, A.M.; Gao, A.; Peng, X.; Li, W.; Feng, H.; Chu, P.K. Antibacterial effects of titanium embedded with silver nanoparticles based on electron-transfer-induced reactive oxygen species. Biomaterials 2017, 124, 25–34. [Google Scholar] [CrossRef]
- Carmo, P.H.F.d.; Garcia, M.T.; Figueiredo-Godoi, L.M.A.; Lage, A.C.P.; Silva, N.S.d.; Junqueira, J.C. Metal nanoparticles to combat Candida albicans infections: An update. Microorganisms 2023, 11, 138. [Google Scholar] [CrossRef]
- Zhang, J.; Tang, W.; Zhang, X.; Song, Z.; Tong, T. An overview of stimuli-responsive intelligent antibacterial nanomaterials. Pharmaceutics 2023, 15, 2113. [Google Scholar] [CrossRef]
- Mwangi, V.N.; Madivoli, E.S.; Kangogo, M.; Wanakai, S.I.; Waudo, W.; Nzilu, D.M. Antimicrobial surface coating as a pathway to curb resistance: Preparation, mode of action and future perspective. J. Coat. Technol. Res. 2024, 21, 799–810. [Google Scholar] [CrossRef]
- Gerits, E.; Defraine, V.; Vandamme, K.; De Cremer, K.; De Brucker, K.; Thevissen, K.; Cammue, B.P.; Beullens, S.; Fauvart, M.; Verstraeten, N. Repurposing toremifene for treatment of oral bacterial infections. Antimicrob. Agents Chemother. 2017, 61, e01846-16. [Google Scholar] [CrossRef] [PubMed]
- Gerits, E.; Blommaert, E.; Lippell, A.; O’Neill, A.J.; Weytjens, B.; De Maeyer, D.; Fierro, A.C.; Marchal, K.; Marchand, A.; Chaltin, P. Elucidation of the mode of action of a new antibacterial compound active against Staphylococcus aureus and Pseudomonas aeruginosa. PLoS ONE 2016, 11, e0155139. [Google Scholar] [CrossRef] [PubMed]
- Andrea, A.; Molchanova, N.; Jenssen, H. Antibiofilm peptides and peptidomimetics with focus on surface immobilization. Biomolecules 2018, 8, 27. [Google Scholar] [CrossRef]
- Mba, I.E.; Nweze, E.I. Antimicrobial peptides therapy: An emerging alternative for treating drug-resistant bacteria. Yale J. Biol. Med. 2022, 95, 445. [Google Scholar]
- Baharin, N.H.Z.; Mokhtar, N.F.K.; Desa, M.N.M.; Gopalsamy, B.; Zaki, N.N.M.; Yuswan, M.H.; Muthanna, A.; Dzaraly, N.D.; Abbasiliasi, S.; Hashim, A.M. The characteristics and roles of antimicrobial peptides as potential treatment for antibiotic-resistant pathogens: A review. PeerJ 2021, 9, e12193. [Google Scholar] [CrossRef]
- Weledji, E.P.; Weledji, E.K.; Assob, J.C.; Nsagha, D.S. Pros, cons and future of antibiotics. New Horiz. Transl. Med. 2017, 4, 9–14. [Google Scholar] [CrossRef]
- Brogden, K.A. Antimicrobial peptides: Pore formers or metabolic inhibitors in bacteria? Nat. Rev. Microbiol. 2005, 3, 238–250. [Google Scholar] [CrossRef]
- Nicolas, M.; Beito, B.; Oliveira, M.; Tudela Martins, M.; Gallas, B.; Salmain, M.; Boujday, S.; Humblot, V. Strategies for antimicrobial peptides immobilization on surfaces to prevent biofilm growth on biomedical devices. Antibiotics 2021, 11, 13. [Google Scholar] [CrossRef]
- Swidergall, M.; Ernst, J.F. Interplay between Candida albicans and the antimicrobial peptide armory. Eukaryot. Cell 2014, 13, 950–957. [Google Scholar] [CrossRef]
- Zasloff, M. Magainins, a class of antimicrobial peptides from Xenopus skin: Isolation, characterization of two active forms, and partial cDNA sequence of a precursor. Proc. Natl. Acad. Sci. USA 1987, 84, 5449–5453. [Google Scholar] [CrossRef] [PubMed]
- McMillan, K.A.; Coombs, M.R.P. Examining the natural role of amphibian antimicrobial peptide magainin. Molecules 2020, 25, 5436. [Google Scholar] [CrossRef] [PubMed]
- Madeira, F.; Madhusoodanan, N.; Lee, J.; Eusebi, A.; Niewielska, A.; Tivey, A.R.; Lopez, R.; Butcher, S. The EMBL-EBI Job Dispatcher sequence analysis tools framework in 2024. Nucleic Acids Res. 2024, 52, W521–W525. [Google Scholar] [CrossRef] [PubMed]
- Ridyard, K.E.; Overhage, J. The potential of human peptide LL-37 as an antimicrobial and anti-biofilm agent. Antibiotics 2021, 10, 650. [Google Scholar] [CrossRef]
- Jenssen, H.; Hancock, R.E. Antimicrobial properties of lactoferrin. Biochimie 2009, 91, 19–29. [Google Scholar] [CrossRef]
- Willcox, M.; Hume, E.; Aliwarga, Y.; Kumar, N.; Cole, N. A novel cationic-peptide coating for the prevention of microbial colonization on contact lenses. J. Appl. Microbiol. 2008, 105, 1817–1825. [Google Scholar] [CrossRef]
- Yasir, M.; Dutta, D.; Willcox, M.D. Comparative mode of action of the antimicrobial peptide melimine and its derivative Mel4 against Pseudomonas aeruginosa. Sci. Rep. 2019, 9, 7063. [Google Scholar]
- Etienne, O.; Gasnier, C.; Taddei, C.; Voegel, J.-C.; Aunis, D.; Schaaf, P.; Metz-Boutigue, M.-H.; Bolcato-Bellemin, A.-L.; Egles, C. Antifungal coating by biofunctionalized polyelectrolyte multilayered films. Biomaterials 2005, 26, 6704–6712. [Google Scholar] [CrossRef]
- Patil, R.; Ajagunde, J.; Khan, S.; Kannuri, S.; Gandham, N.; Mukhida, S. Rhino-orbital cerebral mycosis: A case series of non-mucorales in COVID patients. Access Microbiol. 2023, 5, 000575.v4. [Google Scholar] [CrossRef]
- Lu, Y.; Mo, Y.; Weng, Y.; Li, X. Fungal keratitis caused by Neurospora: A case report. Front. Med. 2024, 11, 1496010. [Google Scholar] [CrossRef]
- Siedenbiedel, F.; Tiller, J.C. Antimicrobial polymers in solution and on surfaces: Overview and functional principles. Polymers 2012, 4, 46–71. [Google Scholar] [CrossRef]
- Ristić, T.; Zemljič, L.F.; Novak, M.; Kunčič, M.K.; Sonjak, S.; Cimerman, N.G.; Strnad, S. Antimicrobial efficiency of functionalized cellulose fibres as potential medical textiles. Sci. Against Microb. Pathog. Commun. Curr. Res. Technol. Adv. 2011, 6, 36–51. [Google Scholar]
- Zhao, L.; Chu, P.K.; Zhang, Y.; Wu, Z. Antibacterial coatings on titanium implants. J. Biomed. Mater. Res. Part. B Appl. Biomater. 2009, 91, 470–480. [Google Scholar] [CrossRef] [PubMed]
- Stigter, M.; Bezemer, J.; De Groot, K.; Layrolle, P. Incorporation of different antibiotics into carbonated hydroxyapatite coatings on titanium implants, release and antibiotic efficacy. J. Control Release 2004, 99, 127–137. [Google Scholar] [CrossRef] [PubMed]
- Manna, U.; Raman, N.; Welsh, M.A.; Zayas-Gonzalez, Y.M.; Blackwell, H.E.; Palecek, S.P.; Lynn, D.M. Slippery liquid-infused porous surfaces that prevent microbial surface fouling and kill non-adherent pathogens in surrounding media: A controlled release approach. Adv. Funct. Mater. 2016, 26, 3599–3611. [Google Scholar] [CrossRef]
- Huo, D.; Wang, F.; Yang, F.; Lin, T.; Zhong, Q.; Deng, S.-P.; Zhang, J.; Tan, S.; Huang, L. Medical titanium surface-modified coatings with antibacterial and anti-adhesive properties for the prevention of implant-associated infections. J. Mater. Sci. Technol. 2024, 179, 208–223. [Google Scholar] [CrossRef]
- Chang, Y.; Yandi, W.; Chen, W.-Y.; Shih, Y.-J.; Yang, C.-C.; Chang, Y.; Ling, Q.-D.; Higuchi, A. Tunable bioadhesive copolymer hydrogels of thermoresponsive poly (N-isopropyl acrylamide) containing zwitterionic polysulfobetaine. Biomacromolecules 2010, 11, 1101–1110. [Google Scholar] [CrossRef]
- Chow, J.Y.; Yang, Y.; Tay, S.B.; Chua, K.L.; Yew, W.S. Disruption of biofilm formation by the human pathogen Acinetobacter baumannii using engineered quorum-quenching lactonases. Antimicrob. Agents Chemother. 2014, 58, 1802–1805. [Google Scholar] [CrossRef]
- Üstükarcı, H.; Ozyilmaz, G.; Ozyilmaz, A.T. Marine antifouling properties of enzyme modified polyaniline coated stainless steel surface. Enzyme Microb. Technol. 2024, 172, 110340. [Google Scholar] [CrossRef]
Disclaimer/Publisher’s Note: The statements, opinions and data contained in all publications are solely those of the individual author(s) and contributor(s) and not of MDPI and/or the editor(s). MDPI and/or the editor(s) disclaim responsibility for any injury to people or property resulting from any ideas, methods, instructions or products referred to in the content. |
© 2025 by the authors. Licensee MDPI, Basel, Switzerland. This article is an open access article distributed under the terms and conditions of the Creative Commons Attribution (CC BY) license (https://creativecommons.org/licenses/by/4.0/).














