Russeting in Apple is Initiated after Exposure to Moisture Ends: Molecular and Biochemical Evidence
Abstract
1. Introduction
2. Results
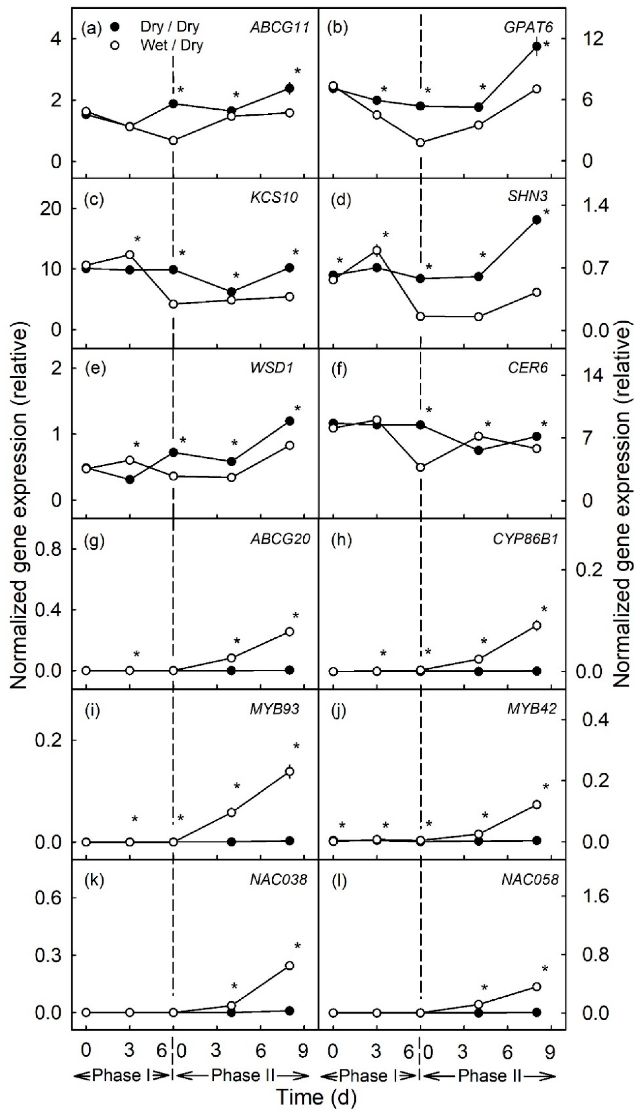
2.1. Changes in Gene Expression and Metabolism in Young Fruit During and after Moisture Exposure
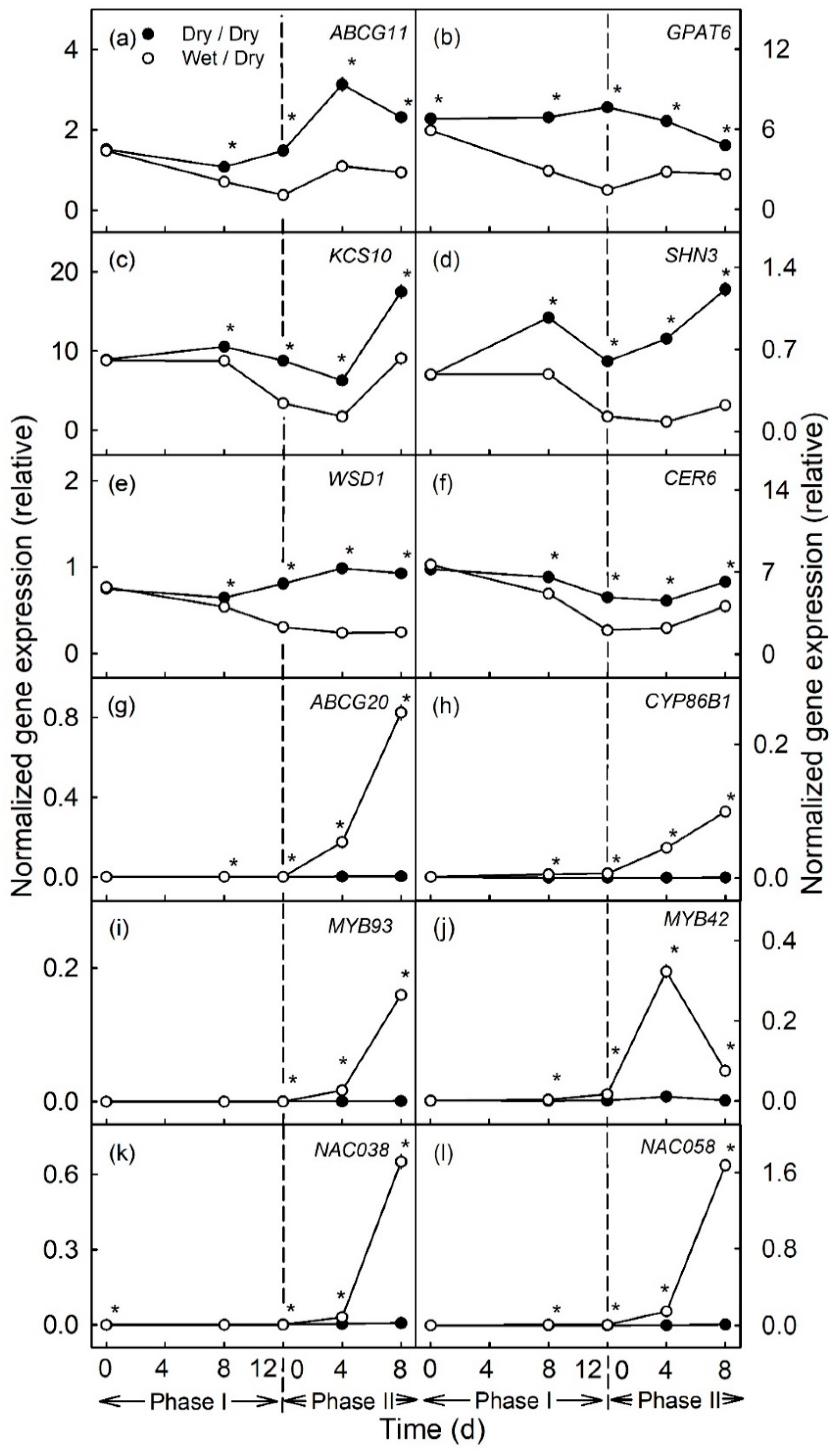
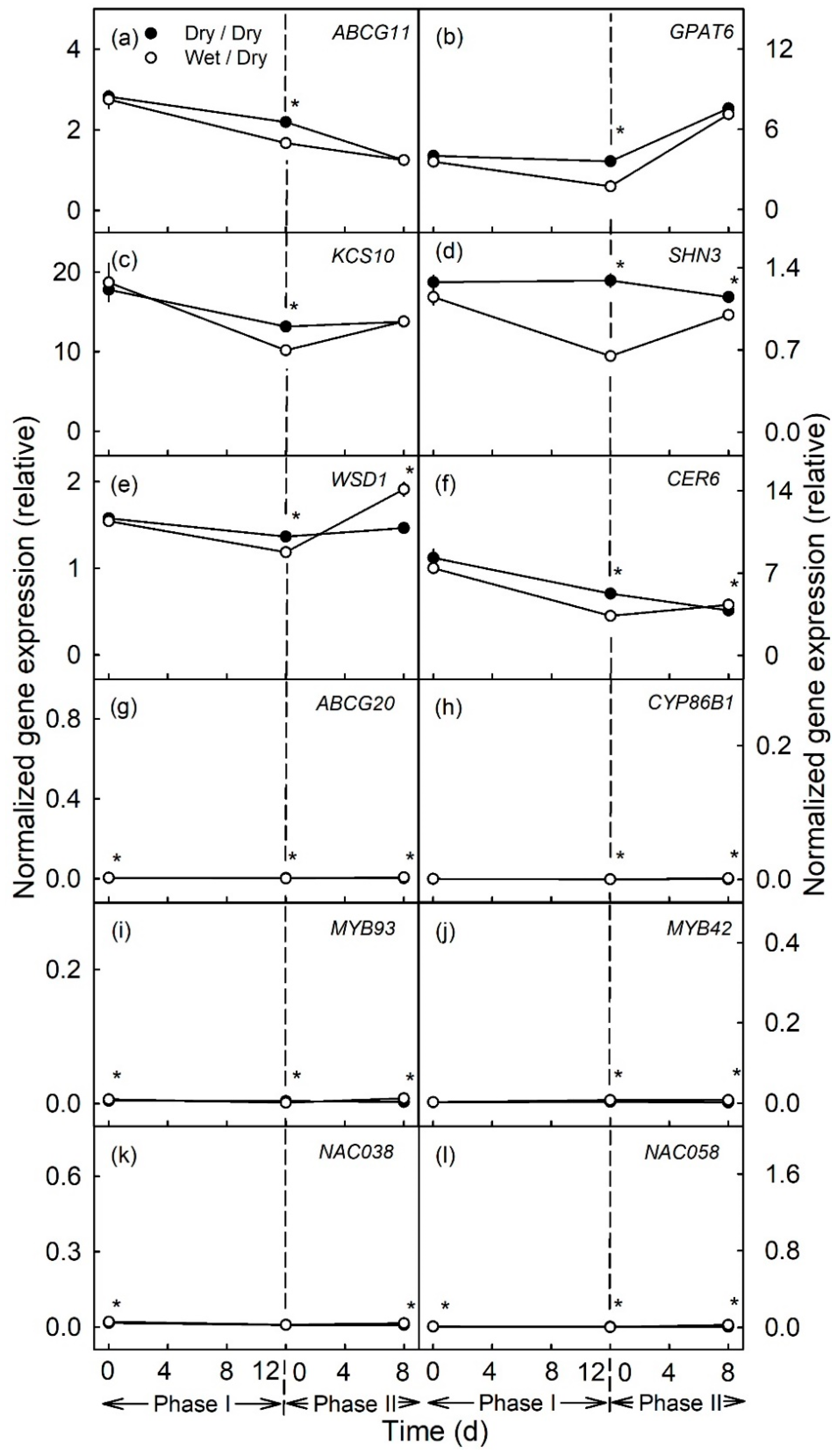
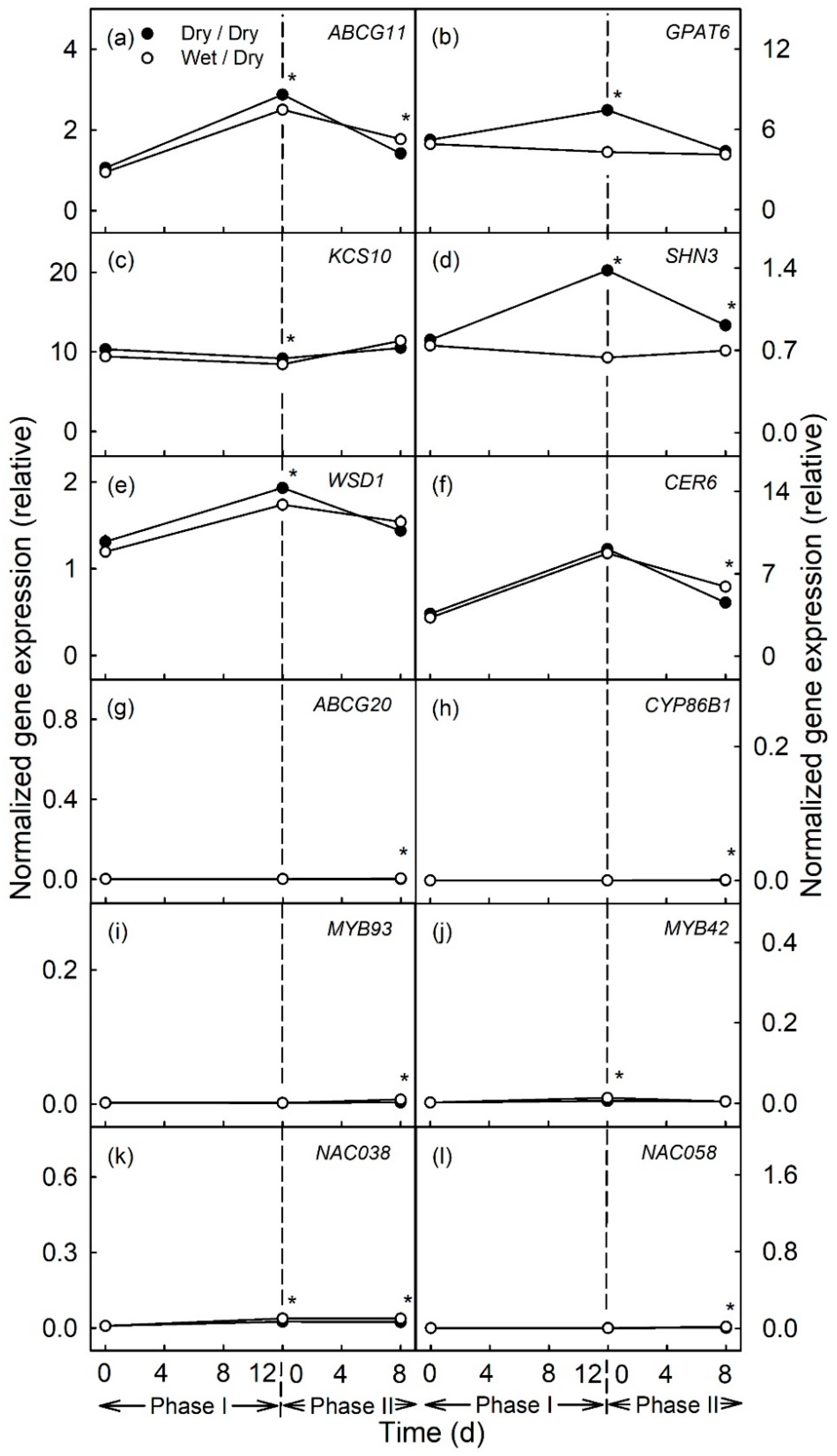
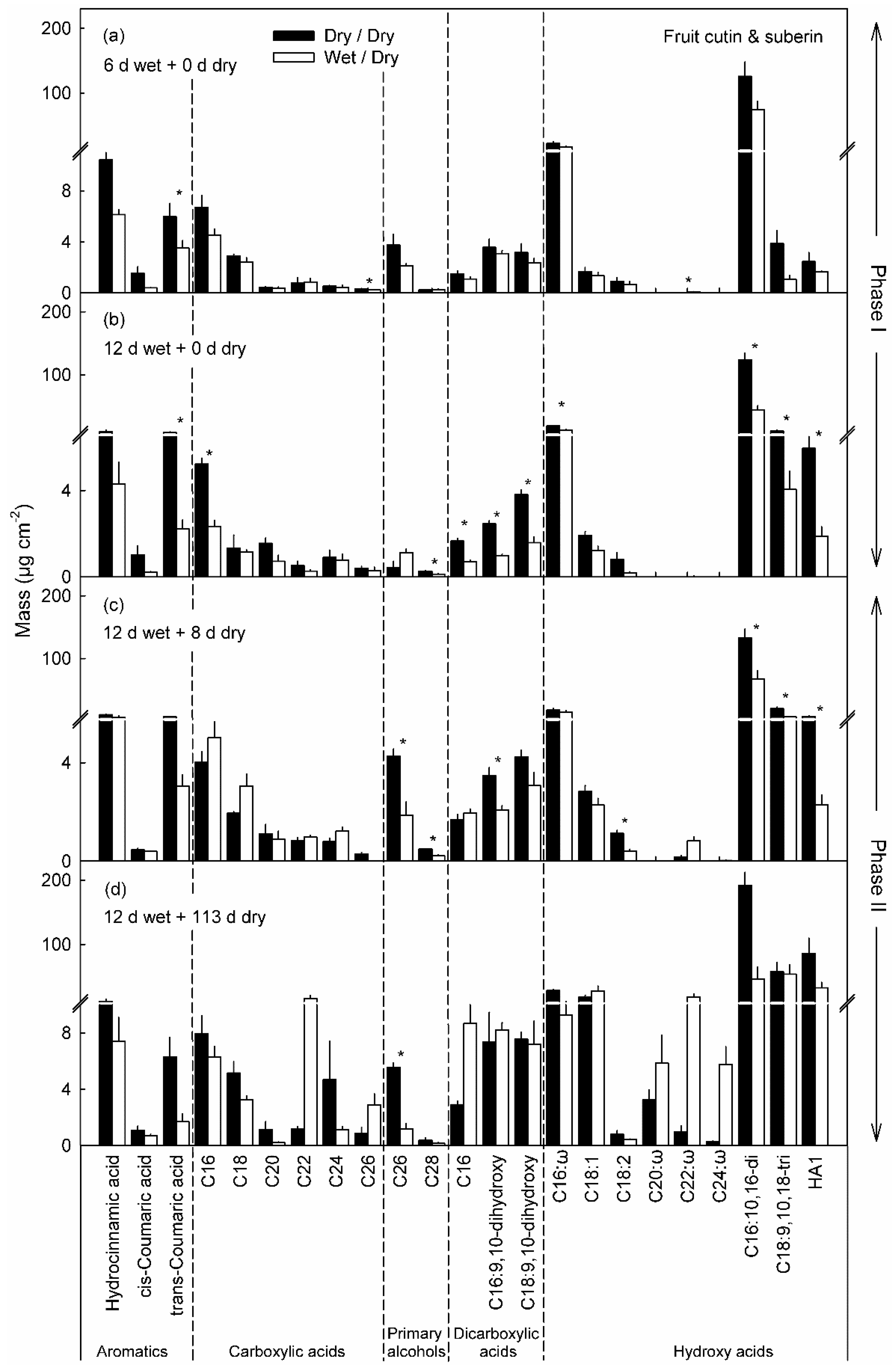
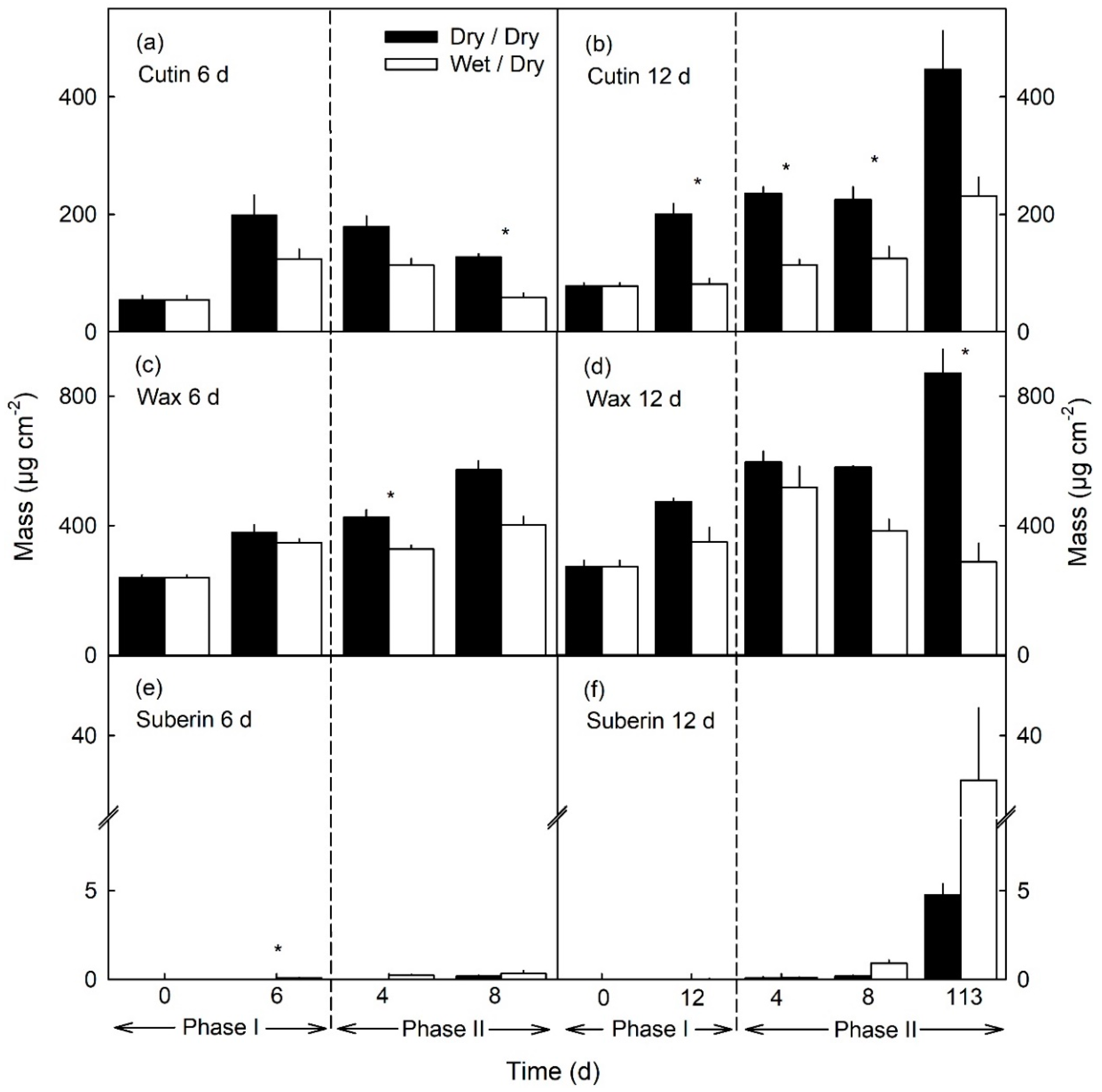
2.2. Changes in Gene Expression and Metabolism Caused by Moisture Exposure (Phases I and II) during Later Stages of Fruit Development
2.3. Histological and Metabolic Changes during and after Moisture Exposure
3. Discussion
- (1)
- Moisture exposure resulted in down-regulation of the genes involved in cutin and wax synthesis and deposition. The discontinuation of moisture exposure resulted in the up-regulation of genes involved in suberin synthesis.
- (2)
- The early fruit development stage was more responsive to moisture than later stages when effects of moisture exposure on cutin and wax deposition were much less and those on suberin deposition essentially absent.
3.1. Gene Expression
3.1.1. Cutin, Wax and Suberin Synthesis
3.1.2. Transport of Cutin Monomers, Wax Constituents and Suberin Monomers
3.1.3. Transcriptional Regulation of Cutin, Wax, and Suberin Synthesis
3.2. Metabolites
3.3. Russet Susceptibility is Highest during Early Fruit Development
3.4. Conclusion
4. Materials and Methods
4.1. Plant Materials
4.2. Moisture Treatment
4.3. RNA Extraction
4.4. Quantitative Real-Time PCR
4.5. Isolation of Fruit Cuticular Membranes and Periderm Membranes and Bark Periderm Membrane
4.6. Cross-Sections of Skin Segments and Isolated Cuticular Membranes/Periderm Membranes and Microscopy
4.7. Quantification of Wax Constituents by GC/FID and GC/MS
4.8. Quantification of Apple Cutin and Suberin Monomers by GC/FID and GC/MS
4.9. Data Analyses
Supplementary Materials
Author Contributions
Funding
Institutional Review Board Statement
Informed Consent Statement
Data Availability Statement
Acknowledgments
Conflicts of Interest
References
- Skene, D.S. The development of russet, rough russet and cracks on the fruit of the apple Cox’s Orange Pippin during the course of the season. J. Hortic. Sci. 1982, 57, 165–174. [Google Scholar] [CrossRef]
- Goffinet, M.C.; Pearson, R.C. Anatomy of russeting induced in concord grape berries by the fungicide chlorothalonil. Am. J. Enol. Vitic. 1991, 42, 281–289. [Google Scholar]
- Michailides, T.J. Russeting and russet scab of prune, an environmentally induced fruit disorder: Symptomatology, induction, and control. Plant Dis. 1991, 75, 1114–1123. [Google Scholar] [CrossRef]
- Scharwies, J.D.; Grimm, E.; Knoche, M. Russeting and relative growth rate are positively related in ‘Conference’ and ‘Condo’ pear. HortScience 2014, 49, 746–749. [Google Scholar] [CrossRef]
- Athoo, T.O.; Winkler, A.; Knoche, M. Russeting in ‘Apple’ mango: Triggers and mechanisms. Plants 2020, 9, 898. [Google Scholar] [CrossRef]
- Khanal, B.P.; Ikigu, G.M.; Knoche, M. Russeting partially restores apple skin permeability to water vapour. Planta 2019, 249, 849–860. [Google Scholar] [CrossRef]
- Falginella, L.; Cipriani, G.; Monte, C.; Gregori, R.; Testolin, R.; Velasco, R.; Troggio, M.; Tartarini, S. A major QTL controlling apple skin russeting maps on the linkage group 12 of ‘Renetta Grigia di Torriana’. BMC Plant Biol. 2015, 15, 150. [Google Scholar] [CrossRef]
- Lashbrooke, J.; Aharoni, A.; Costa, F. Genome investigation suggests MdSHN3, an APETALA2-domain transcription factor gene, to be a positive regulator of apple fruit cuticle formation and an inhibitor of russet development. J. Exp. Bot. 2015, 66, 6579–6589. [Google Scholar] [CrossRef]
- Legay, S.; Guerriero, G.; Deleruelle, A.; Lateur, M.; Evers, D.; André, C.M.; Hausman, J.F. Apple russeting as seen through the RNA-seq lens: Strong alterations in the exocarp cell wall. Plant Mol. Biol. 2015, 88, 21–40. [Google Scholar] [CrossRef]
- Faust, M.; Shear, C.B. Russeting of apples, an interpretive review. HortScience 1972, 7, 233–235. [Google Scholar]
- Taylor, B.K. Reduction of apple skin russeting by gibberellin A 4+7. J. Hortic. Sci. 1975, 50, 169–172. [Google Scholar] [CrossRef]
- Taylor, B.K. Effects of gibberellin sprays on fruit russet and tree performance of Golden Delicious apple. J. Hortic. Sci. 1978, 53, 167–169. [Google Scholar] [CrossRef]
- Simons, R.K.; Chu, M.C. Periderm morphology of mature ‘Golden Delicious’ apple with special reference to russeting. Sci. Hortic. 1978, 8, 333–340. [Google Scholar] [CrossRef]
- Wertheim, S.J. Fruit russeting in apple as affected by various gibberellins. J. Hortic. Sci. 1982, 57, 283–288. [Google Scholar] [CrossRef]
- Khanal, B.P.; Imoro, Y.; Chen, Y.H.; Straube, J.; Knoche, M. Surface moisture increases microcracking and water vapor permeance of apple fruit skin. Plant Biol. 2020. [Google Scholar] [CrossRef]
- Chen, Y.-H.; Straube, J.; Khanal, B.P.; Knoche, M.; Debener, T. Russeting in apple is initiated after exposure to moisture ends-I. Histological evidence. Plants 2020, 9, 1293. [Google Scholar] [CrossRef]
- Lai, X.; Khanal, B.P.; Knoche, M. Mismatch between cuticle deposition and area expansion in fruit skins allows potentially catastrophic buildup of elastic strain. Planta 2016, 244, 1145–1156. [Google Scholar] [CrossRef]
- Knoche, M.; Grimm, E. Surface moisture induces microcracks in the cuticle of ‘Golden Delicious’ apple. HortScience 2008, 43, 1929–1931. [Google Scholar] [CrossRef]
- Knoche, M.; Khanal, B.P.; Stopar, M. Russeting and microcracking of ‘Golden Delicious’ apple fruit concomitantly decline due to gibberellin A4+7 application. J. Am. Soc. Hortic. Sci. 2011, 136, 159–164. [Google Scholar] [CrossRef]
- Winkler, A.; Grimm, E.; Knoche, M.; Lindstaedt, J.; Köpcke, D. Late-season surface water induces skin spot in apple. HortScience 2014, 49, 1324–1327. [Google Scholar] [CrossRef]
- Legay, S.; Guerriero, G.; André, C.; Guignard, C.; Cocco, E.; Charton, S.; Boutry, M.; Rowland, O.; Hausman, J.F. MdMyb93 is a regulator of suberin deposition in russeted apple fruit skins. New Phytol. 2016, 212, 977–991. [Google Scholar] [CrossRef] [PubMed]
- Khanal, B.P.; Si, Y.; Knoche, M. Lenticels and apple fruit transpiration. Postharvest Biol. Technol. 2020, 167, 111221. [Google Scholar] [CrossRef]
- Yang, W.; Pollard, M.; Li-Beisson, Y.; Beisson, F.; Feig, M.; Ohlrogge, J. A distinct type of glycerol-3-phosphate acyltransferase with sn-2 preference and phosphatase activity producing 2-monoacylglycerol. Proc. Natl. Acad. Sci. USA 2010, 107, 12040–12045. [Google Scholar] [CrossRef] [PubMed]
- Petit, J.; Bres, C.; Mauxion, J.P.; Tai, F.W.J.; Martin, L.B.; Fich, E.A.; Joubès, J.; Rose, J.K.; Domergue, F.; Rothan, C. The glycerol-3-phosphate acyltransferase GPAT6 from tomato plays a central role in fruit cutin biosynthesis. Plant Physiol. 2016, 171, 894–913. [Google Scholar] [CrossRef] [PubMed]
- Pruitt, R.E.; Vielle-Calzada, J.P.; Ploense, S.E.; Grossniklaus, U.; Lolle, S.J. FIDDLEHEAD, a gene required to suppress epidermal cell interactions in Arabidopsis, encodes a putative lipid biosynthetic enzyme. Proc. Natl. Acad. Sci. USA 2000, 97, 1311–1316. [Google Scholar] [CrossRef]
- Li, F.; Wu, X.; Lam, P.; Bird, D.; Zheng, H.; Samuels, L.; Jetter, R.; Kunst, L. Identification of the wax ester synthase/acyl-coenzyme A:diacylglycerol acyltransferase WSD1 required for stem wax ester biosynthesis in Arabidopsis. Plant Physiol. 2008, 148, 97–107. [Google Scholar] [CrossRef]
- Millar, A.A.; Clemens, S.; Zachgo, S.; Michael Giblin, E.; Taylor, D.C.; Kunst, L. CUT1, an Arabidopsis gene required for cuticular wax biosynthesis and pollen fertility, encodes a very-long-chain fatty acid condensing enzyme. Plant Cell 1999, 11, 825–838. [Google Scholar] [CrossRef]
- Compagnon, V.; Diehl, P.; Benveniste, I.; Meyer, D.; Schaller, H.; Schreiber, L.; Franke, R.; Pinot, F. CYP86B1 is required for very long chain ω-hydroxyacid and α, ω -dicarboxylic acid synthesis in root and seed suberin polyester. Plant Physiol. 2009, 150, 1831–1843. [Google Scholar] [CrossRef]
- Bird, D.; Beisson, F.; Brigham, A.; Shin, J.; Greer, S.; Jetter, R.; Kunst, L.; Wu, X.; Yephremov, A.; Samuels, L. Characterization of Arabidopsis ABCG11/WBC11, an ATP binding cassette (ABC) transporter that is required for cuticular lipid secretion. Plant J. 2007, 52, 485–498. [Google Scholar] [CrossRef]
- Yadav, V.; Molina, I.; Ranathunge, K.; Castillo, I.Q.; Rothstein, S.J.; Reed, J.W. ABCG transporters are required for suberin and pollen wall extracellular barriers in Arabidopsis. Plant Cell 2014, 26, 3569–3588. [Google Scholar] [CrossRef]
- Legay, S.; Cocco, E.; André, C.M.; Guignard, C.; Hausman, J.-F.; Guerriero, G. Differential lipid composition and gene expression in the semi-russeted “Cox Orange Pippin” apple variety. Front. Plant Sci. 2017, 8, 1656. [Google Scholar] [CrossRef] [PubMed]
- Aharoni, A.; Dixit, S.; Jetter, R.; Thoenes, E.; van Arkel, G.; Pereira, A. The SHINE clade of AP2 domain transcription factors activates wax biosynthesis, alters cuticle properties and confers drought tolerance when overexpressed in Arabidopsis. Plant Cell 2004, 16, 2463–2480. [Google Scholar] [CrossRef] [PubMed]
- Shi, J.X.; Malitsky, S.; de Oliveira, S.; Branigan, C.; Franke, R.B.; Schreiber, L.; Aharoni, A. SHINE transcription factors act redundantly to pattern the archetypal surface of Arabidopsis flower organs. PLoS Genet. 2011, 7, e1001388. [Google Scholar] [CrossRef] [PubMed]
- Shi, J.X.; Adato, A.; Alkan, N.; He, Y.; Lashbrooke, J.; Matas, A.J.; Meir, S.; Malitsky, S.; Isaacson, T.; Prusky, D.; et al. The tomato SlSHINE3 transcription factor regulates fruit cuticle formation and epidermal patterning. New Phytol. 2013, 197, 468–480. [Google Scholar] [CrossRef]
- Zhong, R.; Lee, C.; Zhou, J.; McCarthy, R.L.; Ye, Z.H. A battery of transcription factors involved in the regulation of secondary cell wall biosynthesis in Arabidopsis. Plant Cell 2008, 20, 2763–2782. [Google Scholar] [CrossRef]
- Geng, P.; Zhang, S.; Liu, J.; Zhao, C.; Wu, J.; Cao, Y.; Fu, C.; Han, X.; He, H.; Zhao, Q. MYB20, MYB42, MYB43, and MYB85 regulate phenylalanine and lignin biosynthesis during secondary cell wall formation. Plant Physiol. 2020, 182, 1272–1283. [Google Scholar] [CrossRef]
- Heredia, A. Biophysical and biochemical characteristics of cutin, a plant barrier biopolymer. Biochim. Biophys. Acta Gen. Subj. 2003, 1620, 1–7. [Google Scholar] [CrossRef]
- Walton, T.J.; Kolattukudy, P.E. Determination of the structures of cutin monomers by a novel depolymerization procedure and combined gas chromatography and mass spectrometry. Biochemistry 1972, 11, 1885–1897. [Google Scholar] [CrossRef]
- Kolattukudy, P.E. Biopolyester membranes of plants: Cutin and suberin. Science 1980, 208, 990–1000. [Google Scholar] [CrossRef]
- Belding, R.D.; Blankenship, S.M.; Young, E.; Leidy, R.B. Composition and variability of epicuticular waxes in apple cultivars. J. Am. Soc. Hortic. Sci. 1998, 123, 348–356. [Google Scholar] [CrossRef]
- Andre, C.M.; Greenwood, J.M.; Walker, E.G.; Rassam, M.; Sullivan, M.; Evers, D.; Perry, N.B.; Laing, W.A. Anti-inflammatory procyanidins and triterpenes in 109 apple varieties. J. Agric. Food Chem. 2012, 60, 10546–10554. [Google Scholar] [CrossRef] [PubMed]
- Andre, C.M.; Larsen, L.; Burgess, E.J.; Jensen, D.J.; Cooney, J.M.; Evers, D.; Zhang, J.; Perry, N.B.; Laing, W.A. Unusual immuno-modulatory triterpene-caffeates in the skins of russeted varieties of apples and pears. J. Agric. Food Chem. 2013, 61, 2773–2779. [Google Scholar] [CrossRef] [PubMed]
- Andre, C.M.; Legay, S.; Deleruelle, A.; Nieuwenhuizen, N.; Punter, M.; Brendolise, C.; Cooney, J.M.; Lateur, M.; Hausman, J.-F.; Larondelle, Y.; et al. Multifunctional oxidosqualene cyclases and cytochrome P450 involved in the biosynthesis of apple fruit triterpenic acids. New Phytol. 2016, 211, 1279–1294. [Google Scholar] [CrossRef]
- Peschel, S.; Franke, R.; Schreiber, L.; Knoche, M. Composition of the cuticle of developing sweet cherry fruit. Phytochemistry 2007, 68, 1017–1025. [Google Scholar] [CrossRef] [PubMed]
- Curry, E.A. Growth-induced microcracking and repair mechanisms of fruit cuticles. In Proceedings of the SEM Annual Conference, Albuquerque, NM, USA, 1–4 June 2009. [Google Scholar]
- Knoche, M.; Lang, A. Ongoing growth challenges fruit skin integrity. CRC Crit. Rev. Plant Sci. 2017, 36, 190–215. [Google Scholar] [CrossRef]
- Khanal, B.P.; Grimm, E.; Finger, S.; Blume, A.; Knoche, M. Intracuticular wax fixes and restricts strain in leaf and fruit cuticles. New Phytol. 2013, 200, 134–143. [Google Scholar] [CrossRef] [PubMed]
- Franke, R.; Briesen, I.; Wojciechowski, T.; Faust, A.; Yephremov, A.; Nawrath, C.; Schreiber, L. Apoplastic polyesters in Arabidopsis surface tissues—A typical suberin and a particular cutin. Phytochemistry 2005, 66, 2643–2658. [Google Scholar] [CrossRef]
- Khanal, B.P.; Le, T.L.; Si, Y.; Knoche, M. Russet susceptibility in apple is associated with skin cells that are larger, more variable in size, and of reduced fracture strain. Plants 2020, 9, 1118. [Google Scholar] [CrossRef]
- Sekse, L. Cuticular fracturing in fruits of sweet cherry (Prunus avium L.) resulting from changing soil water contents. J. Hortic. Sci. 1995, 70, 631–635. [Google Scholar] [CrossRef]
- Sekse, L. Fruit cracking in sweet cherries (Prunus avium L.). Some physiological aspects–A mini review. Sci. Hortic. 1995, 63, 135–141. [Google Scholar] [CrossRef]
- Sekse, L.; Bjerke, K.L.; Vangdal, E. Fuit cracking in sweet cherries–An integrated approach. Acta Hortic. 2005, 667, 471–474. [Google Scholar] [CrossRef]
- Khanal, B.P.; Knoche, M. Mechanical properties of cuticles and their primary determinants. J. Exp. Bot. 2017, 68, 5351–5367. [Google Scholar] [CrossRef] [PubMed]
- Roy, S.; Conway, W.S.; Watada, A.E.; Sams, C.E.; Erbe, E.F.; Wergin, W.P. Changes in the ultrastructure of the epicuticular wax and postharvest calcium uptake in apples. HortScience 1999, 34, 121–124. [Google Scholar] [CrossRef]
- Curry, E.; Arey, B. Apple cuticle—The perfect interface. Proc. SPIE 2010, 7729, 77291P-1–77291P-11. [Google Scholar] [CrossRef]
- Lipton, W.J. Some effects of low-oxygen atmospheres on potato tubers. Amer. Potato J. 1967, 44, 292–299. [Google Scholar] [CrossRef]
- Pfaffl, M.W. A new mathematical model for relative quantification in real-time RT-PCR. Nucleic Acids Res. 2001, 29, E45. [Google Scholar] [CrossRef] [PubMed]
- Chen, Y.H.; Khanal, B.P.; Linde, M.; Debener, T.; Alkio, M.; Knoche, M. Expression of putative aquaporin genes in sweet cherry is higher in flesh than skin and most are downregulated during development. Sci. Hortic. 2019, 244, 304–314. [Google Scholar] [CrossRef]
- Orgell, W.H. The isolation of plant cuticle with pectic enzymes. Plant Physiol. 1955, 30, 78–80. [Google Scholar] [CrossRef]
- Karnovsky, M.J. A formaldehyde-glutaraldehyde fixative of high osmolarity for use in electron microscopy. J. Cell Biol. 1965, 27, 1A–149A. [Google Scholar]
- Brundrett, M.C.; Kendrick, B.; Peterson, C.A. Efficient lipid staining in plant material with Sudan Red 7B or Fluoral Yellow 088 in polyethylene glycol-glycerol. Biotech. Histochem. 1991, 66, 111–116. [Google Scholar] [CrossRef]
- Storch, T.T.; Pegoraro, C.; Finatto, T.; Quecini, V.; Rombaldi, C.V.; Girardi, C.L. Identification of a novel reference gene for apple transcriptional profiling under postharvest conditions. PLoS ONE 2015, 10, e0120599. [Google Scholar] [CrossRef] [PubMed]










| Gene Name | Accession | AGI Locus Code | Description | Reference |
|---|---|---|---|---|
| Cuticle-related | ||||
| ABCG11 | MDP0000200335 | AT1G17840.1 | ABCG11, white-brown complex homolog protein 11, cuticular lipid transport to the extracellular matrix | [29] |
| CER6 | MDP0000392495 | AT1G68530.1 | 3-Ketoacyl-CoA synthase 6, involved in the synthesis of VLCFAs | [27] |
| FDH, KCS10 | MDP0000235280 | AT2G26250.1 | FIDDLEHEAD,3-Ketoacyl-CoA synthase 10, probably involved in synthesis of long-chain lipids | [25] |
| GPAT6 | MDP0000479163 | AT2G38110.1 | Glycerol-3-phosphate acyl transferase 6, synthesis of cutin monomers | [24] |
| SHN3 | MDP0000178263 | AT5G25390 | Positive transcriptional regulator of cuticle synthesis | [32] |
| WSD1 | MDP0000701887 | AT5G37300.1 | Wax Ester Synthase/Acyl-Coenzyme A:Diacylglycerol Acyltransferase, Wax ester synthesis and diacylglycerol acyltransfer | [26] |
| Periderm-related | ||||
| ABCG20 | MDP0000265619 | AT3G53510 | ATP-binding cassette G20, involved in transport of aliphatic suberin polymer precursors | [30] |
| CYP86B1 | MDP0000306273 | AT5G23190.1 | Cytochrome P450, family 86, subfamily B, polypetide 1, synthesis of very long chain ω-hydroxyacid and α,ω-dicarboxylic acid in suberin polyester | [28] |
| MYB42 | MDP0000787808 | AT4G12350.1 | MYB domain protein 42, involved in secondary cell wall biosynthesis and regulation of lignin synthesis | [35,36] |
| MYB93 | MDP0000320772 | AT1G34670.1 | MYB domain protein 93, positive regulator of suberin synthesis | [21] |
| NAC038 | MDP0000232008 | AT2G24430.1 | NAC domain containing protein 38 | uncharacterized |
| NAC058 | MDP0000130785 | AT3G18400.1 | NAC domain containing protein 58 | uncharacterized |
Publisher’s Note: MDPI stays neutral with regard to jurisdictional claims in published maps and institutional affiliations. |
© 2020 by the authors. Licensee MDPI, Basel, Switzerland. This article is an open access article distributed under the terms and conditions of the Creative Commons Attribution (CC BY) license (http://creativecommons.org/licenses/by/4.0/).
Share and Cite
Straube, J.; Chen, Y.-H.; Khanal, B.P.; Shumbusho, A.; Zeisler-Diehl, V.; Suresh, K.; Schreiber, L.; Knoche, M.; Debener, T. Russeting in Apple is Initiated after Exposure to Moisture Ends: Molecular and Biochemical Evidence. Plants 2021, 10, 65. https://doi.org/10.3390/plants10010065
Straube J, Chen Y-H, Khanal BP, Shumbusho A, Zeisler-Diehl V, Suresh K, Schreiber L, Knoche M, Debener T. Russeting in Apple is Initiated after Exposure to Moisture Ends: Molecular and Biochemical Evidence. Plants. 2021; 10(1):65. https://doi.org/10.3390/plants10010065
Chicago/Turabian StyleStraube, Jannis, Yun-Hao Chen, Bishnu P. Khanal, Alain Shumbusho, Viktoria Zeisler-Diehl, Kiran Suresh, Lukas Schreiber, Moritz Knoche, and Thomas Debener. 2021. "Russeting in Apple is Initiated after Exposure to Moisture Ends: Molecular and Biochemical Evidence" Plants 10, no. 1: 65. https://doi.org/10.3390/plants10010065
APA StyleStraube, J., Chen, Y.-H., Khanal, B. P., Shumbusho, A., Zeisler-Diehl, V., Suresh, K., Schreiber, L., Knoche, M., & Debener, T. (2021). Russeting in Apple is Initiated after Exposure to Moisture Ends: Molecular and Biochemical Evidence. Plants, 10(1), 65. https://doi.org/10.3390/plants10010065

