Influence of Habitat Types on Diversity and Species Composition of Urban Flora—A Case Study in Serbia
Abstract
:1. Introduction
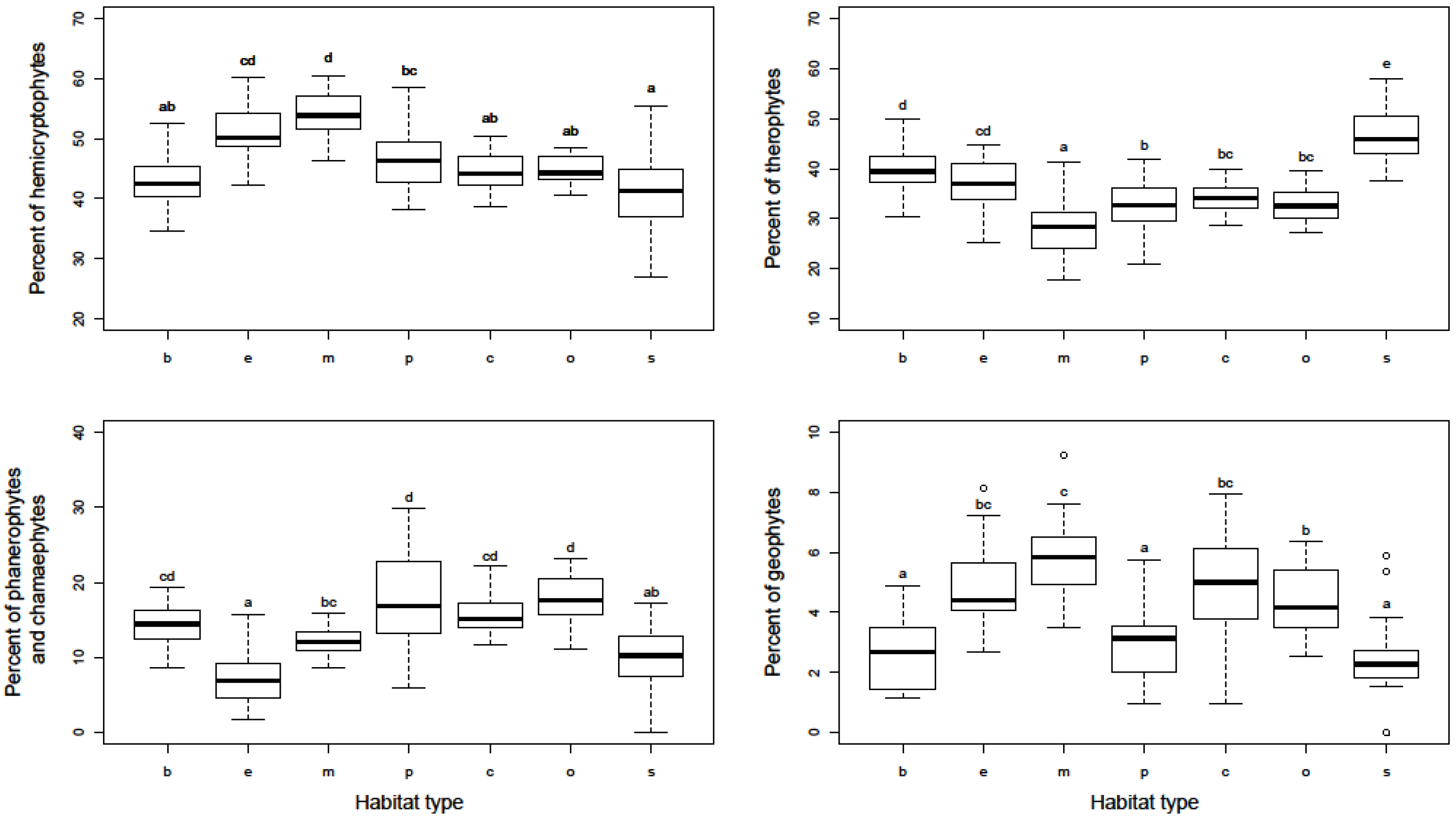
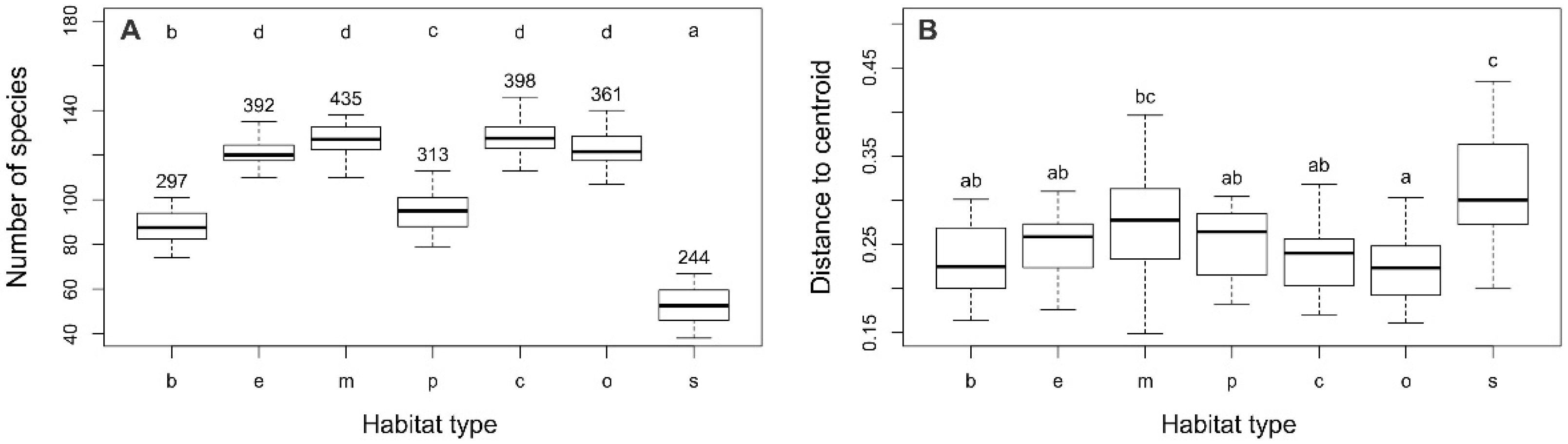
2. Results
3. Discussion
4. Materials and Methods
4.1. Data Sampling
- historical city square (s), mostly with the buildings constructed before 19th century; sealed or paved more than 90% of the total area.
- boulevard (b), with the buildings from 19th century, tree lines and small-size lawns; sealed or paved more than 70% of the total area.
- residential area, with compact building pattern (c), represented by family houses (at least 50 years old) and private yards.
- residential area, with open building pattern (o), represented by apartment blocks (40-60 years old), and lawns with sparse shrubs and trees.
- city park (p), with coverage of old deciduous trees from 10 to 50% and regularly mowed lawns.
- early successional sites (e), severely disturbed in the last 1–3 years, dominated by bare soil and scarce vegetation cover.
- mid-successional sites (m), abandoned 5 to 15 years ago, with predominance of perennial grassland, and sparse young trees and shrubs.
4.2. Data Analysis
5. Conclusions
Author Contributions
Funding
Institutional Review Board Statement
Informed Consent Statement
Data Availability Statement
Conflicts of Interest
References
- Rebele, F. Urban ecology and special features of urban ecosystems. Glob. Ecol. Biogeogr. Lett. 1994, 4, 173–187. [Google Scholar] [CrossRef]
- Savard, J.P.L.; Clergeau, P.; Mennechez, G. Biodiversity concepts and urban ecosystems. Landsc. Urban Plan. 2000, 4, 131–142. [Google Scholar] [CrossRef]
- McKinney, M.L.; Lockwood, J.L. Biotic homogenization: A few winners replacing many losers in the next mass extinction. Trends Ecol. Evol. 1999, 14, 450–453. [Google Scholar] [CrossRef]
- Olden, J.D.; Poff, N.L.; Douglas, M.R.; Douglas, M.E.; Fausch, K.D. Ecological and evolutionary consequences of biotic homogenization. Trends Ecol. Evol. 2004, 19, 18–24. [Google Scholar] [CrossRef] [PubMed]
- Lososová, Z.; Chytrý, M.; Tichý, L.; Danihelka, J.; Fajmon, K.; Hájek, O.; Kintrová, K.; Kühn, I.; Laniková, D.; Otypková, Z.; et al. Native and alien floras in urban habitats: A comparison across 32 cities of Central Europe. Glob. Ecol. Biogeogr. 2012, 21, 545–555. [Google Scholar] [CrossRef]
- Čeplová, N.; Kalusová, V.; Lososová, Z. Effects of urban heat island, settlement size and habitat type on urban plant biodiversity. Landsc. Urban Plan. 2017, 159, 15–22. [Google Scholar] [CrossRef]
- Pyšek, P.; Bacher, S.; Chytrý, M.; Jarošík, V.; Wild, J.; Celesti-Grapow, L.; Gassó, N.; Kenis, M.; Lambdon, P.W.; Nentwig, W.; et al. Contrasting patterns in the invasions of European terrestrial and freshwater habitats by alien plants, insects and vertebrates. Glob. Ecol. Biogeogr. 2010, 19, 317–331. [Google Scholar] [CrossRef] [Green Version]
- Pyšek, P. Alien and native species in Central European urban floras: A quantitative comparison. J. Biogeogr. 1998, 25, 155–163. [Google Scholar] [CrossRef]
- Gong, C.; Chen, J.; Yu, S. Biotic homogenization and differentiation of the flora in artificial and near-natural habitats across urban green spaces. Landsc. Urban Plan. 2013, 120, 158–169. [Google Scholar] [CrossRef]
- Kowarik, I. On the role of alien species in urban flora and vegetation. In Urban Ecology; Marzluff, J.M., Shulenberger, E., Endlicher, W., Alberti, M., Bradley, G., Ryan, C., Simon, U., Brunnen, C.Z., Eds.; Springer: Boston, MA, USA, 1995; pp. 321–338. [Google Scholar] [CrossRef]
- Kühn, I.; Brandl, R.; Klotz, S. The flora of German cities is naturally species rich. Evol. Ecol. Res. 2004, 6, 749–764. [Google Scholar]
- Kalusová, V.; Čeplová, N.; Lososová, Z. Which traits influence the frequency of plant species occurrence in urban habitat types? Urban Ecosyst. 2017, 20, 65–75. [Google Scholar] [CrossRef]
- Knapp, S.; Dinsmore, L.; Fissore, C.; Hobbie, S.E.; Jakobsdottir, I.; Kattge, J.; King, J.Y.; Klotz, S.; McFadden, J.P.; Cavender-Bares, J. Phylogenetic and functional characteristics of household yard floras and their changes along an urbanization gradient. Ecology 2012, 93, 83–98. [Google Scholar] [CrossRef] [Green Version]
- Simberloff, D.; Souza, L.; Nuñez, M.A.; Barrios-Garcia, M.N.; Bunn, W. The natives are restless, but not often and mostly when disturbed. Ecology 2012, 93, 598–607. [Google Scholar] [CrossRef] [PubMed]
- Aronson, M.F.; Lepczyk, C.A.; Evans, K.L.; Goddard, M.A.; Lerman, S.B.; MacIvor, J.S.; Nilon, C.; Vargo, T. Biodiversity in the city: Key challenges for urban green space management. Front. Ecol. Environ. 2017, 15, 189–196. [Google Scholar] [CrossRef] [Green Version]
- Ajmone-Marsan, F.; Biasioli, M. Trace elements in soils of urban areas. Water Air Soil Pollut. 2010, 213, 121–143. [Google Scholar] [CrossRef]
- Samoli, A.; Stergiopoulou, A.; Santana, P.; Rodopoulou, S.; Mitsakou, C.; Dimitroulopoulou, C.; Bauwelinck, M.; de Hoogh, K.; Costa, C.; Marí-Dell’Olmo, M.; et al. Spatial variability in air pollution exposure in relation to socioeconomic indicators in nine European metropolitan areas: A study on environmental inequality. Environ. Pollut. 2019, 249, 345–353. [Google Scholar] [CrossRef]
- Godefroid, S. Temporal analysis of the Brussels flora as indicator for changing environmental quality. Landsc. Urban Plan. 2001, 52, 203–224. [Google Scholar] [CrossRef]
- Unger, J.; Savić, S.; Gal, T. Modelling of the annual mean urban heat island pattern for planning of representative urban climate station network. Adv. Meteorol. 2011, 2011, 398613. [Google Scholar] [CrossRef]
- Schmidt, K.J.; Poppendieck, H.-H.; Jensen, K. Effects of urban structure on plant species richness in a large European city. Urban Ecosyst. 2014, 17, 427–444. [Google Scholar] [CrossRef]
- Luck, G.W.; Smallbone, L.T. The impact of urbanization on taxonomic and functional similarity among bird communities. J. Biogeogr. 2011, 38, 894–906. [Google Scholar] [CrossRef]
- Statista. Degree of Urbanization (Percentage of Urban Population in Total Population) by Continent in 2020. Available online: http://www.statista.com/statistics/270860/urbanization-by-continent/ (accessed on 15 August 2021).
- Breuste, J.; Haase, D.; Elmquist, T. Urban landscapes and ecosystem services. In Ecosystem Services in Agricultural and Urban Landscapes; Wratten, S., Sandhu, H., Cullen, R., Costanza, R., Eds.; John Wiley & Sons Ltd.: Hoboken, NJ, USA, 2013; pp. 83–102. [Google Scholar] [CrossRef] [Green Version]
- Hulme, P.E.; Bacher, S.; Kenis, M.; Klotz, S.; Kühn, I.; Minchin, D.; Nentwig, W.; Olenin, S.; Panov, V.; Pergl, J.; et al. Grasping at the routes of biological invasions: A framework for integrating pathways into policy. J. Appl. Ecol. 2008, 45, 403–414. [Google Scholar] [CrossRef]
- Jovanović, S.; Glišić, M. An analysis of research into urban flora and vegetation in Southeast Europe. Acta Bot. Croat. 2021, 80, 74–81. [Google Scholar] [CrossRef]
- Lososová, Z.; Horsak, M.; Chytrý, M.; Čejka, T.; Danihelka, J.; Fajmon, K.; Hájek, O.; Juřičková, L.; Kintrová, K.; Laniková, D.; et al. Diversity of Central European urban biota: Effect of human-made habitat types on plants and snails. J. Biogeogr. 2011, 38, 1152–1163. [Google Scholar] [CrossRef]
- Lososová, Z.; Chytrý, M.; Tichý, L.; Danihelka, J.; Fajmon, K.; Hájek, O.; Kintrová, K.; Laniková, D.; Otypková, Z.; Řehořek, V. Biotic homogenization of Central European urban floras depends on residence time of alien species and habitat types. Conserv. Biol. 2012, 145, 179–184. [Google Scholar] [CrossRef]
- Lososová, Z.; Chytrý, M.; Danihelka, J.; Tichý, L.; Ricotta, C. Biotic homogenization of urban floras by alien species: The role of species turnover and richness differences. J. Veg. Sci. 2016, 27, 452–459. [Google Scholar] [CrossRef]
- Lososová, Z.; Tichý, L.; Divíšek, J.; Čeplová, N.; Danihelka, J.; Dřevojan, P.; Fajmon, K.; Kalníková, V.; Kalusová, V.; Novák, P.; et al. Projecting potential future shifts in species composition of European urban plant communities. Divers. Distrib. 2018, 24, 765–775. [Google Scholar] [CrossRef] [Green Version]
- Celesti-Grapow, L.; Blasi, C. A comparison of the urban flora of different phytoclimatic regions in Italy. Glob. Ecol. Biogeogr. 1998, 7, 367–378. [Google Scholar] [CrossRef]
- Salinitro, M.; Alessandrini, A.; Zappi, A.; Tassoni, A. Impact of climate change and urban development on the flora of a southern European city: Analysis of biodiversity change over a 120-year period. Sci. Rep. 2019, 9, 9464. [Google Scholar] [CrossRef] [PubMed] [Green Version]
- Rat, M.; Gavrilović, M.; Radak, B.; Bokić, B.; Jovanović, S.; Božin, B.; Boža, P.; Anačkov, G. Urban flora in the Southeast Europe and its correlation with urbanization. Urban Ecosyst. 2017, 20, 811–822. [Google Scholar] [CrossRef]
- Stehlik, I.; Caspersen, J.P.; Wirth, L.E.A.; Holderegger, R. Floral free fall in the Swiss lowlands: Environmental determinants of local plant extinction in a peri-urban landscape. J. Ecol. 2007, 95, 734–744. [Google Scholar] [CrossRef]
- Williams, N.S.G.; Hahs, A.K.; Vesk, P.A. Urbanisation, plant traits and the composition of urban floras. Perspect. Plant Ecol. Evol. Syst. 2015, 17, 78–86. [Google Scholar] [CrossRef]
- Deák, B.; Hüse, B.; Tóthmérész, B. Grassland vegetation in urban habitats—Testing ecological theories. Tuexenia 2016, 36, 379–393. [Google Scholar] [CrossRef]
- Fascetti, S.; Potenza, G.; Castronuovo, D.; Candido, V. Wild geophytes of ornamental interest in the native flora of southern Italy. Ital. J. Agron. 2014, 9, 99–106. [Google Scholar] [CrossRef] [Green Version]
- Celesti-Grapow, L.; Pyšek, P.; Jarošík, V.; Blasi, C. Determinants of native and alien species richness in the urban flora of Rome. Divers. Distrib. 2006, 12, 460–501. [Google Scholar] [CrossRef]
- Sulaiman, S.; Mohamad, N.; Idilfitri, S. Contribution of vegetation in urban parks as habitat for selective bird community. Procedia Soc. Behav. Sci. 2013, 85, 267–281. [Google Scholar] [CrossRef] [Green Version]
- Banaszak-Cibicka, B.; Twerd, L.; Fliszkiewicz, M.; Giejdasz, K.; Langowska, A. City parks vs. natural areas—Is it possible to preserve a natural level of bee richness and abundance in a city park? Urban Ecosyst. 2018, 21, 599–613. [Google Scholar] [CrossRef] [Green Version]
- Goddard, M.A.; Dougill, A.J.; Benton, T.G. Scaling up from gardens: Biodiversity conservation in urban environments. Trends Ecol. Evol. 2010, 25, 90–98. [Google Scholar] [CrossRef] [PubMed]
- Bossuyt, B.; Hermy, M. Species turnover at small scales in dune slack plant communities. Basic Appl. Ecol. 2004, 5, 321–329. [Google Scholar] [CrossRef]
- Heegaard, E.; Økland, R.H.; Bratli, H.; Dramstad, W.E.; Engan, G.; Pedersen, O.; Solstad, H. Regularity of species richness relationships to patch size and shape. Ecography 2007, 30, 589–597. [Google Scholar] [CrossRef]
- Stohlgren, T.J. Measuring Plant Diversity—Lessons from the Field; Oxford University Press: Oxford, UK, 2007. [Google Scholar]
- Godefroid, S.; Koedam, N. Urban plant species patterns are highly driven by density and function of built-up areas. Landsc. Ecol. 2007, 22, 1227–1239. [Google Scholar] [CrossRef]
- Bastl, M.; Kočár, P.; Prach, K.; Pyšek, P. The effect of successional age and disturbance on the establishment of alien plants in man-made sites: An experimental approach. In Plant Invasions: Studies from North America and Europe; Brock, J.H., Wade, M., Pyšek, P., Green, D., Eds.; Backhuys Publishers: Leiden, The Netherlands, 1997; pp. 191–201. [Google Scholar]
- Stevanović, V.; Stevanović, B. Osnovni klimatski, geološki i pedološki činioci biodiverziteta kopnenih ekosistema Jugoslavije. In Biodiverzitet Jugoslavije sa Pregledom Vrsta od Međunarodnog Značaja; Stevanović, V., Vasić, V., Eds.; Ecolibri & Faculty of Biology: Belgrade, Serbia, 1995; pp. 75–95. [Google Scholar]
- Walter, H.; Lieth, H. Klimadiagramm–Weltatlas; Gustav Fisher Verlag: Jena, Germany, 1967. [Google Scholar]
- Horvat, I.; Glavač, V.; Ellenberg, H. Vegetation of Southeast Europe; Gustav Fisher Verlag: Jena, Germany, 1974. [Google Scholar]
- Mucina, L.; Bültmann, H.; Dierßen, K.; Theurillat, J.P.; Raus, T.; Čarni, A.; Šumberová, K.; Willner, W.; Dengler, J.; García, R.G.; et al. Vegetation of Europe: Hierarchical floristic classification system of vascular plant, bryophyte, lichen, and algal communities. Appl. Veg. Sci. 2016, 19, 3–264. [Google Scholar] [CrossRef]
- Tutin, T.G.; Heywood, V.H.; Burges, N.A.; Moore, D.M.; Valentine, D.W.; Walters, S.M.; Webb, D.A. Flora Europaea; Cambridge University Press: Cambridge, UK, 1968–1980; Volumes 2–5. [Google Scholar]
- Chytrý, M.; Tichý, L.; Holt, J.; Botta-Dukát, Z. Determination of diagnostic species with statistical fidelity measures. J. Veg. Sci. 2002, 13, 79–90. [Google Scholar] [CrossRef]
- Tichý, L.; Chytrý, M. Statistical determination of diagnostic species for site groups of unequal size. J. Veg. Sci. 2006, 17, 809–818. [Google Scholar] [CrossRef]
- Tichý, L. JUICE, software for vegetation classification. J. Veg. Sci. 2002, 13, 451–453. [Google Scholar] [CrossRef]
- Raunkiaer, C. The Life Forms of Plants and Statistical Plant Geography; Being the Collected Papers of C. Raunkiaer; Clarendon: London, UK, 1934. [Google Scholar]
- StatSoft. Statistica for Windows, Version 9.0; StatSoft Inc.: Tulsa, OK, USA, 2009. [Google Scholar]
- ter Braak, C.J.F.; Šmilauer, P. CANOCO Reference Manual and CanoDraw for Windows User’s Guide: Software for Canonical Community Ordination, Version 4.5; Microcomputer Power: Ithaca, NY, USA, 2002. [Google Scholar]
- Peres-Neto, P.R.; Legendre, P.; Dray, S.; Borcard, D. Variation partitioning of species data matrices: Estimation and comparison of fractions. Ecology 2006, 87, 2614–2625. [Google Scholar] [CrossRef]
- Oksanen, J.; Blanchet, F.G.; Friendly, M.; Kindt, R.; Legendre, P.; McGlinn, D.; Minchin, P.R.; O’Hara, R.B.; Simpson, G.L.; Solymos, P.; et al. Vegan: Community Ecology Package. R Package Version 2.5–6. Available online: https://CRAN.R-project.org/package=vegan (accessed on 10 August 2021).



| Habitat Type | Taxon |
|---|---|
| Boulevard | Sedum lineare (0.44), Sagina procumbens (0.32), Chelidonium majus (0.31), Acer pseudoplatanus (0.30) |
| Early successional site | Papaver rhoeas (0.54), Bromus hordeaceus (0.53), Polygonum lapathifolium (0.51), Vicia cracca (0.50), Onopordum acanthium (0.49), Tanacetum vulgare (0.49), Tragopogon dubius (0.47), Sisymbrium loeselii (0.47), Rumex crispus (0.45), Linaria vulgaris (0.45), Phragmites australis (0.44), Petrorhagia prolifera (0.42), Silene vulgaris (0.41), Rumex patientia (0.41), Melilotus albus (0.41), Trifolium campestre (0.40), Melilotus officinalis (0.40), Matricaria perforata (0.40), Conium maculatum (0.39), Bromus tectorum (0.38), Silene latifolia alba (0.38), Dipsacus fullonum (0.36), Calamagrostis epigejos (0.36), Sinapis arvensis (0.35), Sanguisorba minor (0.35), Abution theophrasti (0.34), Echium vulgare (0.34), Euphorbia seguieriana (0.34), Descurainia sophia (0.33), Lepidium ruderale (0.32), Anchusa officinalis (0.32), Carduus acanthoides (0.32), Torilis arvensis (0.31), Verbascum phlomoides (0.31), Artemisia vulgaris (0.31), Eryngium campestre (0.30), Avena sativa (0.30), Coronilla varia (0.30), Polygonum persicaria (0.30) |
| Mid-successional site | Prunus spinosa (0.70), Hypericum perforatum (0.65), Cornus sanguinea (0.59), Dipsacus laciniatus (0.57), Rumex patientia (0.52), Calamagrostis epigejos (0.52), Agrimonia eupatoria (0.52), Dasypyrum villosum (0.51), Euphorbia cyparissias (0.49), Lathyrus tuberosus (0.49), Rumex crispus (0.49), Rubus ulmifolius (0.49), Linaria vulgaris (0.49), Galium verum (0.49), Verbascum nigrum (0.48), Prunus persica (0.47), Vicia cracca (0.47), Senecio erucifolius (0.46), Clinopodium vulgare (0.46), Coronilla varia (0.46), Melilotus albus (0.45), Cephalaria transsylvanica (0.42), Stachys palustris (0.42), Petrorhagia prolifera (0.42), Tanacetum vulgare (0.41), Salix alba (0.41), Dipsacus fullonum (0.41), Melilotus officinalis (0.40), Sambucus ebulus (0.38), Poa trivialis (0.38), Centaurea stoebe (0.38), Carduus acanthoides (0.38), Odontites vernus (0.38), Verbascum phlomoides (0.38), Populus alba (0.38), Juglans regia (0.37), Tragopogon dubius (0.37), Silene vulgaris (0.37), Rosa canina (0.36), Equisetum arvense (0.36), Conium maculatum (0.36), Ulmus sp. (0.35), Silene latifolia alba (0.35), Populus nigra (0.34), Euphorbia esula (0.34), Epilobium hirsutum (0.34), Echium vulgare (0.34), Glycyrrhiza echinata (0.34), Bromus arvensis (0.33), Xeranthemum cylindraceum (0.33), Scabiosa ochroleuca (0.33), Medicago falcata (0.33), Malus domestica (0.33), Centaurea arenaria (0.33), Avena fatua auct. (0.32), Prunus cerasifera (0.32), Triticum aestivum (0.32), Crepis biennis (0.32), Cirsium vulgare (0.32), Torilis arvensis (0.31), Artemisia vulgaris (0.31), Rumex conglomeratus (0.30), Picris hieracioides (0.30), Holcus lanatus (0.30), Cruciata laevipes (0.30), Bromus hordeaceus (0.30), Epilobium tetragonum (0.30) |
| Park | Quercus robur (0.51), Philadelphus coronarius (0.45), Viola odorata (0.33), Symphoricarpos albus (0.31), Spiraea media (0.31) |
| Residential area-compact | Digitaria ciliaris (0.71), Campsis radicans (0.63), Syringa vulgaris (0.51), Kerria japonica (0.50), Ligustrum vulgare (0.47), Armoracia rusticana (0.47), Vitis vinifera (0.46), Antirrhinum majus (0.44), Ficus carica (0.43), Aquilegia sp. (0.43), Mirabilis jalapa (0.41), Rhus typhina (0.41), Hibiscus syriacus (0.40), Lonicera japonica (0.39), Ipomoea purpurea (0.39), Albizia julibrissin (0.38), Vinca major (0.38), Rudbeckia hirta (0.38), Fragaria vesca (0.36), Oenothera biennis (0.36), Iris germanica (0.35), Coreopsis tinctoria (0.35), Prunus domestica (0.34), Bassia scoparia (0.34), Viola odorata (0.33), Anethum graveolens (0.33), Lactuca saligna (0.33), Geranium pusillum (0.33), Thuja orientalis (0.33), Cosmos bipinnatus (0.32), Tagetes patula (0.32), Crepis biennis (0.32), Alcea rosea (0.32), Ranunculus repens (0.32), Hedera helix (0.32), Oxalis corniculata (0.31), Mentha piperita agg. (0.31), Impatiens balfourii (0.30), Veronica arvensis (0.30) |
| Residential area-open | Mirabilis jalapa (0.50), Spiraea media (0.39), Duchesnea indica (0.38), Solanum tuberosum (0.36), Acer pseudoplatanus (0.36), Ajuga reptans (0.35), Sedum kamtschaticum (0.35), Commelina communis (0.34), Vinca major (0.34), Ligustrum vulgare (0.33), Rumex pulcher (0.33), Viola odorata (0.33), Syringa vulgaris (0.33), Hibiscus syriacus (0.33), Tagetes patula (0.32), Sedum rupestre (0.32), Geum urbanum (0.32), Chelidonium majus (0.31), Sisymbrium officinale (0.30), Prunella vulgaris (0.30), Petunia x atkinsiana (0.30), Anagallis arvensis (0.30) |
| Square | - |
| City (City Code) | N (°) | E (°) | Alt (m a.s.l.) | T (°C) | ΔT (°C) | P (mm) | Climate Type/Subtype |
|---|---|---|---|---|---|---|---|
| Niš (NI) | 43.32083 | 21.89528 | 199 | 11.36 | 31.66 | 625 | transitional submediterranean-Aegean subcontinental (IV6) |
| Vranje (VR) | 42.55472 | 21.89778 | 481 | 9.80 | 30.65 | 625 | |
| Beograd (BG) | 44.81583 | 20.46000 | 113 | 11.9 | 29.74 | 672 | transitional subcontinental-semiarid continental (VI3b/VII) |
| Novi Sad (NS) | 45.25500 | 19.84528 | 85 | 11.34 | 30.67 | 611 | |
| Pančevo (PA) | 44.87083 | 20.64083 | 81 | 11.74 | 29.78 | 644 | |
| Šabac (ŠA) | 44.75694 | 19.69444 | 81 | 11.56 | 30.67 | 692 | |
| Smederevo (SD) | 44.66500 | 20.92694 | 78 | 11.36 | 29.99 | 650 | |
| Sremska Mitrovica (SM) | 44.96806 | 19.60694 | 84 | 11.52 | 30.79 | 649 | |
| Vršac (VŠ) | 45.12111 | 21.29555 | 92 | 11.30 | 30.5 | 666 | |
| Čačak (ČA) | 43.89111 | 20.35000 | 241 | 10.93 | 30.82 | 785 | semi-arid temperate continental (subcontinental)—central-southeastern Balkan or Moesian (IV3) |
| Kragujevac (KG) | 44.01000 | 20.91667 | 177 | 11.03 | 31.01 | 690 | |
| Kruševac (KŠ) | 43.58194 | 21.32639 | 162 | 11.16 | 31.55 | 652 | |
| Loznica (LO) | 44.53361 | 19.22389 | 126 | 11.14 | 29.73 | 844 | |
| Novi Pazar (NP) | 43.14028 | 20.51722 | 495 | 9.97 | 31.28 | 794 | |
| Pirot (PI) | 43.15611 | 22.58528 | 371 | 10.26 | 31.83 | 617 | |
| Valjevo (VA) | 44.26861 | 19.88417 | 188 | 10.96 | 30.70 | 803 | |
| Kikinda (KI) | 45.83000 | 20.46500 | 83 | 11.31 | 31.61 | 557 | semi-arid continental Pannonian (VII) |
| Sombor (SO) | 45.77278 | 19.11500 | 90 | 11.16 | 30.85 | 602 | |
| Subotica (SU) | 46.10000 | 19.66500 | 116 | 10.98 | 31.13 | 555 | |
| Zrenjanin (ZR) | 45.38028 | 20.39083 | 84 | 11.55 | 31.22 | 572 | |
| Negotin (NG) | 44.22806 | 22.53056 | 47 | 11.33 | 32.13 | 603 | semi-humid continental Danubian (VII) |
| Zaječar (ZA) | 43.90333 | 22.27833 | 132 | 10.88 | 31.92 | 623 | |
| Užice (UE) | 43.85667 | 19.84028 | 414 | 9.52 | 29.16 | 899 | humid temperate-continental-west Balkan or Illyrian (IV2b) |
| Sjenica (SJ) | 43.27306 | 20.00028 | 1006 | 6.48 | 30.91 | 755 | humid mountain alpine (XI) |
| Habitat Type | Climate | Shared Effect | |
|---|---|---|---|
| Unadjusted R2 (%) | 12.7 | 3.8 | <0.1 |
| Adjusted R2 (%) | 9.7 | 2.3 | 0 |
Publisher’s Note: MDPI stays neutral with regard to jurisdictional claims in published maps and institutional affiliations. |
© 2021 by the authors. Licensee MDPI, Basel, Switzerland. This article is an open access article distributed under the terms and conditions of the Creative Commons Attribution (CC BY) license (https://creativecommons.org/licenses/by/4.0/).
Share and Cite
Glišić, M.; Jakovljević, K.; Lakušić, D.; Šinžar-Sekulić, J.; Vukojičić, S.; Tabašević, M.; Jovanović, S. Influence of Habitat Types on Diversity and Species Composition of Urban Flora—A Case Study in Serbia. Plants 2021, 10, 2572. https://doi.org/10.3390/plants10122572
Glišić M, Jakovljević K, Lakušić D, Šinžar-Sekulić J, Vukojičić S, Tabašević M, Jovanović S. Influence of Habitat Types on Diversity and Species Composition of Urban Flora—A Case Study in Serbia. Plants. 2021; 10(12):2572. https://doi.org/10.3390/plants10122572
Chicago/Turabian StyleGlišić, Milan, Ksenija Jakovljević, Dmitar Lakušić, Jasmina Šinžar-Sekulić, Snežana Vukojičić, Milena Tabašević, and Slobodan Jovanović. 2021. "Influence of Habitat Types on Diversity and Species Composition of Urban Flora—A Case Study in Serbia" Plants 10, no. 12: 2572. https://doi.org/10.3390/plants10122572
APA StyleGlišić, M., Jakovljević, K., Lakušić, D., Šinžar-Sekulić, J., Vukojičić, S., Tabašević, M., & Jovanović, S. (2021). Influence of Habitat Types on Diversity and Species Composition of Urban Flora—A Case Study in Serbia. Plants, 10(12), 2572. https://doi.org/10.3390/plants10122572

