Assessment of Planting Method and Deficit Irrigation Impacts on Physio-Morphology, Grain Yield and Water Use Efficiency of Maize (Zea mays L.) on Vertisols of Semi-Arid Tropics
Abstract
1. Introduction
2. Results and Discussion
2.1. Maize Physio-Morphological Parameters
2.2. Biochemical Compounds of Maize
2.3. Days to Tasseling, Silking, and Physiological Maturity in Maize
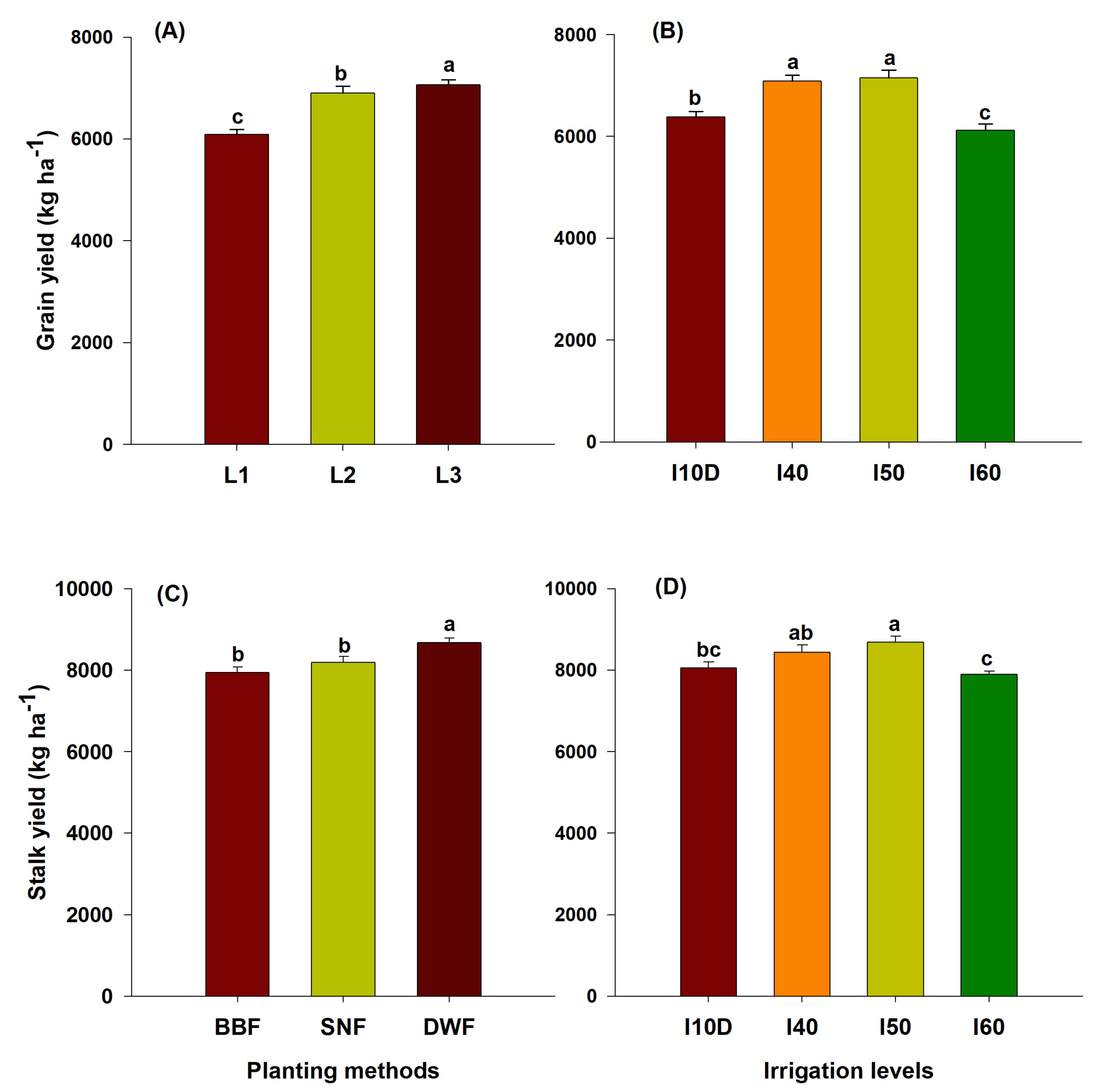
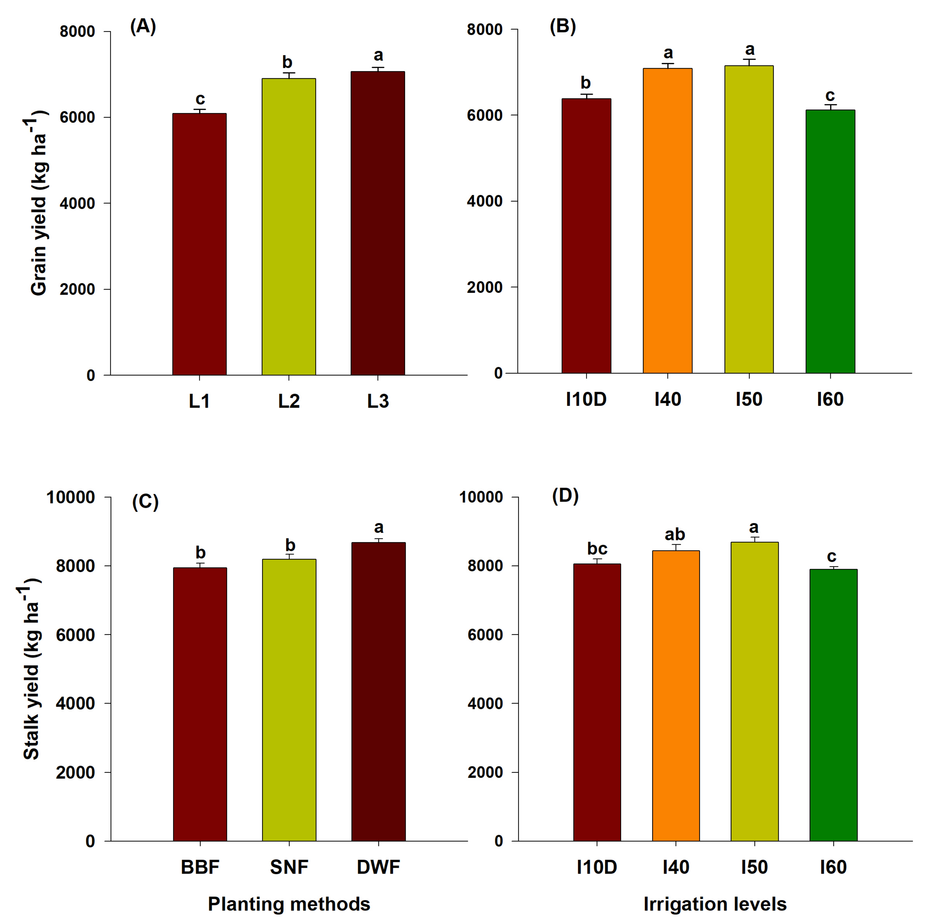
2.4. Effect on Yield Parameters
2.5. Water Use Efficiency of Maize
3. Materials and Methods
3.1. Study Location
3.2. Experimental Design and Field Management
3.3. Soil Moisture Measurement and Irrigation Scheduling
3.4. Measurement of Crop Growth and Phonological Parameters
3.5. Water Use Efficiency (WUE)
3.6. Statistical Analysis
4. Summary
Author Contributions
Funding
Institutional Review Board Statement
Informed Consent Statement
Data Availability Statement
Acknowledgments
Conflicts of Interest
Abbreviations
| BBF | broad bed and furrow |
| CGR | crop growth rate |
| DAS | days after sowing |
| DASM | depletion of available soil moisture |
| DWF | deep and wider furrow |
| LAD | leaf area duration |
| SNF | shallow and narrow furrow |
| SPAD | soil plant analysis and development |
| RWC | relative water content |
| WUE | water use efficiency |
References
- Kayatz, B.; Harris, F.; Hillier, J.; Adhya, T.; Dalin, C.; Nayak, D.; Dangour, A.D. More crop per drop: Exploring India’s cereal water use since 2005. Sci. Total Environ. 2019, 673, 207–217. [Google Scholar] [CrossRef] [PubMed]
- Harris, F.; Green, R.F.; Joy, E.J.M.; Kayatz, B.; Haines, A.; Dangour, A.D. The water use of Indian diets and socio-demographic factors related to dietary blue water footprint. Sci. Total Environ. 2017, 587–588, 128–136. [Google Scholar] [CrossRef] [PubMed]
- Sharma, B.R.; Gulati, A.; Mohan, G.; Manchanda, S.; Ray, I.; Amarasinghe, U. Water Productivity Mapping of Major Indian Crops; NABARD and ICRIER: New Delhi, India, 2018. [Google Scholar]
- Siebert, S.; Burke, J.; Faures, J.M.; Frenken, K.; Hoogeveen, J.; Doell, P.; Portmann, F. Groundwater use for irrigation—A global inventory. Hydrol. Earth Syst. Sci. 2010, 14, 1863–1880. [Google Scholar] [CrossRef]
- Wada, Y.; Van Beek, L.P.H.; Van Kempen, C.M.; Reckman, J.W.T.M.; Vasak, S.; Bierkens, M.F.P. Global depletion of groundwater resources. Geophys. Res. Lett. 2010, 37, L20402. [Google Scholar] [CrossRef]
- Barik, B.; Ghosh, S.; Sahana, A.S.; Pathak, A.; Sekhar, M. Water–food–energy nexus with changing agricultural scenarios in India during recent decades. Hydrol. Earth Syst. Sci. 2017, 21, 3041–3060. [Google Scholar] [CrossRef]
- Rodell, M.; Famiglietti, J.S.; Wiese, D.N.; Reager, J.T.; Beaudoing, H.K.; Landerer, F.W.; Lo, M.H. Emerging trends in global freshwater availability. Nature 2018, 557, 651–659. [Google Scholar] [CrossRef]
- Food and Agriculture Organisation of the United Nations. Crop Prospects and Food Situation. 2018. Available online: http://www.fao.org/3/I9666EN/i9666en.pdf (accessed on 20 August 2020).
- Patil, N.G.; Pal, D.K.; Mandal, C.; Mandal, D.K. Soil Water Retention Characteristics of Vertisols and Pedotransfer Functions Based on Nearest Neighbor and Neural Networks Approaches to Estimate AWC. J. Irrig. Drain. Eng. 2012, 138, 177–184. [Google Scholar] [CrossRef]
- Sah, R.P.; Chakraborty, M.; Prasad, K.; Pandit, M.; Tudu, V.K.; Chakravarty, M.K.; Narayan, S.C.; Rana, M.; Moharana, D. Impact of water deficit stress in maize: Phenology and yield components. Sci. Rep. 2020, 10, 2944. [Google Scholar] [CrossRef]
- Sangakkara, U.R.; Amarasekera, P.; Stamp, P. Irrigation regimes affect early root development, shoot growth and yields of maize (Zea mays L.) in tropical minor seasons. Plant Soil Environ. 2010, 56, 228–234. [Google Scholar]
- Anderson, E.L. Corn root growth and distribution as influenced by tillage and nitrogen fertilization. Agron. J. 1987, 79, 544–549. [Google Scholar] [CrossRef]
- Materechera, S.A.; Mloza-Banda, H.R. Soil penetration resistance, root growth and yield of maize as influenced by tillage system on ridges in Malawi. Soil Tillage Res. 1997, 41, 13–24. [Google Scholar] [CrossRef]
- Khan, M.B.; Rafiq, R.; Hussain, M.; Farooq, M.; Jabran, K. Ridge sowing improves root system, phosphorus uptake, growth and yield of maize (Zea mays L.) hybrids. Measurements 2012, 22, 309–317. [Google Scholar]
- Halli, H.M.; Angadi, S.S. Influence of land configuration and deficit irrigation on nutrient uptake and grain yield of maize (Zea mays L.). J. Farm Sci. 2019, 32, 397–402. [Google Scholar]
- Smith, M.; Kivumbi, D.; Heng, L.K. Use of the FAO CROPWAT model in deficit irrigation studies. In Deficit Irrigation Practice; Water Reports No. 22; Food and Agriculture Organisation of the United Nations: Rome, Italy, 2002; pp. 17–28. [Google Scholar]
- Connell, M.G.O.; Goodwin, I. Responses of ‘Pink Lady’ apple to deficit irrigation and partial root zone drying: Physiology, growth, yield, and fruit quality. Crop Pasture Sci. 2017, 58, 1068–1076. [Google Scholar] [CrossRef]
- Yazar, A.; Gokcel, F.; Sezen, M.S. Corn yield response to partial root zone drying and deficit irrigation strategies. Plant Soil Environ. 2009, 55, 494–503. [Google Scholar] [CrossRef]
- Golzardi, F.; Baghdadi, A.; Afshar, K.R. Alternate furrow irrigation affects yield and water-use efficiency of maize under deficit irrigation. Crop Pasture Sci. 2017, 68, 726–734. [Google Scholar] [CrossRef]
- Doorenbos, J.; Kassam, A.K. Yield Response to Water. Irrig. Drain. Pap. 1979, 33, 176. [Google Scholar]
- Igbadun, H.E.; Salim, B.A.; Andrew, K.P.R.; Mahoo, H.F. Effects of deficit irrigation scheduling on yields and soil water balance of irrigated maize. Irrig. Sci. 2008, 27, 11–23. [Google Scholar] [CrossRef]
- Kang, S.; Liang, Z.; Pan, Y.; Shi, P.; Zhang, J. Alternate furrow irrigation for maize production in an arid area. Agric. Water Manag. 2000, 45, 267–274. [Google Scholar] [CrossRef]
- Heidari, H.Z.; Jahansooz, M.R.; Yunusa, I.S.; Hosseini, M.B.; Chaichi, M.R.; Jafari, A.A. Effect of alternate irrigation on root-divided foxtail millet (Setaria italica). Aust. J. Crop Sci. 2011, 5, 205–213. [Google Scholar]
- Sampathkumar, T.; Pandian, B.J.; Jeyakumar, P.; Manickasundaram, P. Effect of deficit irrigation (DI) on yield and some physiological parameters in cotton and maize in a sequential cropping system. Exp. Agric. 2014, 50, 407–425. [Google Scholar] [CrossRef]
- Arunkumar, P.; Sindhe, V.S.; Solunke, P.S.; Kubde, K.J.; Kadam, V.D. Influence of in situ moisture conservation techniques on moisture use efficiency, yield and economics of rainfed maize. Ann. Plant Physiol. 2008, 22, 202–204. [Google Scholar]
- Taisheng, D.; Kang, D.; Sun, J.; Zhang, X.; Zhang, J. An improved water use efficiency of cereals under temporal and spatial deficit irrigation in north China. Agric. Water Manag. 2010, 97, 66–74. [Google Scholar]
- Halli, H.M.; Angadi, S.S. Response of planting methods and deficit irrigation on growth and yield attributes of maize (Zea mays L.). Int. J. Curr. Microbiol. Appl. Sci. 2017, 6, 52–60. [Google Scholar] [CrossRef][Green Version]
- Jat, M.L.; Gautam, R.C. Productivity and water use of rain-fed pearl millet (Pennisetum glaucum) as influenced by summer ploughing and in-situ moisture conservation practices under semi-arid conditions of northwest India. Ind. J. Agron. 2001, 46, 266–272. [Google Scholar]
- Wang, Y.; Xie, Z.; Malhi, S.S.; Vera, C.L.; Zhang, Y.; Wang, J. Effects of rainfall harvesting and mulching technologies on water use efficiency and crop yield in the semi-arid Loess Plateau, China. Agric. Water Manag. 2009, 96, 374–382. [Google Scholar] [CrossRef]
- Khan, M.B.; Yousaf, F.; Hussain, M.; Haq, M.W.; Lee, D.J.; Farooq, M. Influence of planting methods on root development, crop productivity and water use efficiency in maize hybrids. Chil. J. Agric. Res. 2012, 72, 556–563. [Google Scholar] [CrossRef]
- Wadile, S.C.; Solanke, A.V.; Tumbhare, A.D.; Ilhe, S.S. Influence of land configuration and nutrient management on yield, quality and economics of soybean (Glycine max)-sweet corn (Zea mays) cropping sequence. Indian J. Agron. 2017, 62, 141–146. [Google Scholar]
- Halli, H.M.; Angadi, S.; Kumar, A.; Govindasamy, P.; Madar, R.; El-Ansary, D.O.; Rashwan, M.A.; Abdelmohsen, S.A.M.; Abdelbacki, A.M.M.; Mahmoud, E.A.; et al. Influence of Planting and Irrigation Levels as Physical Methods on Maize Root Morphological Traits, Grain Yield and Water Productivity in Semi-Arid Region. Agronomy 2021, 11, 294. [Google Scholar] [CrossRef]
- Farre, I.; Faci, J.M. Deficit irrigation in maize for reducing agricultural water use in a Mediterranean environment. Agric. Water Manag. 2009, 96, 383–394. [Google Scholar] [CrossRef]
- Dikey, H.H.; Bhale, V.M.; Kale, V.S.; Wankhade, R.S. Effect of land configuration, irrigation level and Nutrient Management on growth, yield and economics of turmeric (Curcuma longa L.). Int. J. Curr. Microbiol. Appl. Sci. 2019, 8, 2306–2322. [Google Scholar] [CrossRef]
- Zwart, S.J.; Bastiaanssen, W.G. Review of measured crop water productivity values for irrigated wheat, rice, cotton and maize. Agric. Water Manag. 2004, 69, 115–133. [Google Scholar] [CrossRef]
- Anonymous. Agricultural Statistics at a Glance 2018. GOI, Ministry of Agriculture & Farmer’s Welfare, Department of Agriculture, Cooperation & Farmers Welfare, Directorate of Economics and Statistics. 2019. Available online: www.agricoop.nic.in; http://eands.dacnet.nic.in (accessed on 20 September 2020).
- Wakchaure, G.C.; Minhas, P.S.; Kumar, S.; Khapte, P.S.; Meena, K.K.; Rane, J.; Pathak, H. Quantification of water stress impacts on canopy traits, yield, quality and water productivity of onion (Allium cepa L.) cultivars in a shallow basaltic soil of water scarce zone. Agric. Water Manag. 2012, 249, 106824. [Google Scholar] [CrossRef]
- El-Halim, A.; El-Razek, U.B.H. Effect of different irrigation intervals on water saving, water productivity and grain yield of maize (Zea mays L.) under the double ridge-furrow planting technique. Arch. Agron. Soil Sci. 2014, 60, 587–596. [Google Scholar] [CrossRef]
- Parihar, C.M.; Rana, K.S.; Kantwa, S.R. Nutrient management in pearl millet (Pennisetum glaucum)-mustard (Brassica juncea) cropping system as affected by planting methods under limited irrigation. Ind. J. Agron. 2010, 55, 191–196. [Google Scholar]
- Lisar, S.Y.; Motafakkerazad, R.; Hossain, M.M.; Rahman, I.M. Causes, Effects and Responses. Water Stress 2012, 25, 1. [Google Scholar]
- Tida, G.; Sui, F.; Tong, C.; Sun, N.; Bai, L. Effects of water stress on growth, biomass partitioning, and water use efficiency in summer maize (Zea mays L.) throughout the growth cycle. Acta Physiol. Plant. 2012, 34, 1043–1053. [Google Scholar]
- Warren, J.M.; Norby, R.J.; Wullschleger, S.D. Elevated CO2 enhances leaf senescence during extreme drought in a temperate forest. Tree Physiol. 2011, 31, 117. [Google Scholar] [CrossRef]
- Karasu, A.; Kușcu, H.; Mehmet, Ö.Z.; Bayram, G. The effect of different irrigation water levels on grain yield, yield components and some quality parameters of silage Maize (Zea mays indentata Sturt.). Not. Bot. Horti Agrobot. Cluj-Napoca 2015, 43, 138–145. [Google Scholar] [CrossRef]
- Monreal, J.A.; Jimenez, E.T.; Remesal, E.L.; Morillo-Velarde, R.; García-Maurino, S.; Echevarría, C. Proline content of sugar beet storage roots: Response to water deficit and nitrogen fertilization at field conditions. Environ. Exp. Bot. 2007, 60, 257–267. [Google Scholar] [CrossRef]
- Kiyosue, T.; Yishivba, Y.; Yamaguchi-Shinozaki, K.; Shinozaki, K. Nuclear gen, encoding mitochondrial proline dehydrogenase, an enzyme involved in proline metabolism, is Uprgulated by proline but down regulated in Arabidopsis. Plant Cell 1996, 8, 1323–1335. [Google Scholar] [PubMed]
- Tarighaleslami, M.; Zarghami, R.; Boojar, M.M.A.; Oveysi, M. Effects of drought stress and different nitrogen levels on morphological traits of proline in leaf and protein of corn seed (Zea mays L.). Am. Eurasian J. Agric. Environ. Sci. 2012, 12, 49–56. [Google Scholar]
- Homayouni, H.; Khazarian, V. Effects of deficit irrigation on soluble sugars, starch and proline in three corn hybrids. Ind. J. Sci. Res. 2014, 7, 910–917. [Google Scholar]
- Liu, L.; Klocke, N.; Yan, S.; Rogers, D.; Schlegel, A.; Lamm, F.; Wang, D. Impact of deficit irrigation on maize physical and chemical properties and ethanol yield. Cereal Chem. 2013, 90, 453–462. [Google Scholar] [CrossRef]
- Patakas, A.; Noitsakis, B. Leaf age effects onsolute accumulation in water stressed grapevines. Plant Physiol. 2001, 158, 63–69. [Google Scholar] [CrossRef]
- Singh, P.K.; Sachinkumar, A.S.; Subodhkumar, J.D.; Aravind kumar, F.M. Effect of planting, irrigation techniques and nitrogen levels on growth, total chlorophyll, development, yield and quality of maize (Zea mays L.). Indian J. Agric. Sci. 2015, 49, 148–153. [Google Scholar]
- Ahmed, A.; Alfalahi, H.M.; Al-Abodi, K.; Bassam, K.; Jabbar, A.; Amer, M.M.; Khiadher, A.S. Scheduling irrigation as a water saving practice for corn (Zea mays L.) production in Iraq. Int. J. Appl. Agric. Sci. 2015, 1, 55–59. [Google Scholar]
- Mubeen, M.; Ahmad, A.; Wajid, A.; Bakhsh, A. Evaluating different irrigation scheduling criteria for autumn-sown maize under semi-arid environment. Pak. J. Bot. 2013, 45, 1293–1298. [Google Scholar]
- Shete, P.G.; Baviskar, V.S.; Adhav, S.L. Effect of land configuration, inorganic fertilizers and levels of FYM on quality and nutrient status of rabi greengram. Int. J. Agric Sci. 2010, 6, 546–548. [Google Scholar]
- Abebaw, A.; Tena, A. Evaluation of stage-wise deficit furrow irrigation application on water advance-recession time and maize yield components at Koga irrigation scheme, Ethiopia. Am. J. Sci. Ind. Res. 2014, 5, 145–154. [Google Scholar]
- Hugh, J.E.; Richard, F.D. Effect of drought stress on leaf and whole canopy radiation use efficiency and yield of maize. Agron. J. 2003, 95, 688–696. [Google Scholar]
- Gheysari, M.; Sayed, H.S.; Henry, W.L.; Samia, A.; Mohammad, J.Z.; Mohammad, M.M.; Parvaneh, A.; Jose, O.P. Comparison of deficit irrigation management strategies on root, plant growth and biomass productivity of silage maize. Agric. Water Manag. 2017, 182, 126–138. [Google Scholar] [CrossRef]
- Nelson, D.J.; Al-Kaisi, M.M. Agronomic and economic evaluation of various furrow irrigation strategies for corn production under limited water supply. J. Soil Water Conserv. 2011, 66, 114–121. [Google Scholar] [CrossRef]
- Michael, A.M. Irrigation Theory and Practice; Vikas Publishing House Pvt.: New Delhi, India, 2009. [Google Scholar]
- Martin, D.L.; Stegman, E.C.; Freres, E. Irrigation scheduling principals. In Management of Farm Irrigation Systems; Hoffman, G.L., Howell, T.A., Solomon, K.H., Eds.; ASAE Monograph: St Joseph, MO, USA, 1990; pp. 155–372. [Google Scholar]
- Watson, D.J. The physiological basis of variation in yield. Adv. Agron. 1952, 4, 101–105. [Google Scholar]
- Power, J.F.; Willid, W.O.; Grunes, D.I.; Reichman, C.A. Effect of soil temperature, phosphorus and plant age on growth analysis of barley. Agron. J. 1967, 59, 231–234. [Google Scholar] [CrossRef]
- Barrs, H.D.; Weatherley, P.E. A re-examination of the relative turgidity technique for estimating water deficit in leaves. Aust. J. Biol. Sci. 1962, 15, 413–428. [Google Scholar] [CrossRef]
- Bates, L.S.; Waldren, R.P.; Teare, I.D. Rapid determination of free proline in water stress studies. Plant Soil 1973, 39, 205–208. [Google Scholar] [CrossRef]
- Jackson, M.L. Soil Chemical Analysis; Prentice Hall India Private Limited: New Delhi, India, 1973; p. 498. [Google Scholar]
- Tariq, J.A.; Usman, K. Regulated deficit irrigation scheduling on maize crop. Sarhad J. Agric. 2009, 25, 441–450. [Google Scholar]



| Treatment * | Leaf Area (cm2 Plant−1) | Canopy Temperature (°C) | RWC (%) | CGR (g dm–2 day−1) | LAD (Days) | |
|---|---|---|---|---|---|---|
| Planting methods (PM) | ||||||
| BBF | 3690 (±70.4 **) b | 33.1 (±0.41) a*** | 73.8 (±0.8) c | 14.1 (±0.2) b | 57.4 (±0.6) b | |
| SNF | 3846 (±45.1) ab | 31.8 (±0.4) b | 77.7 (±0.9) b | 14.5 (±0.2) b | 63.7 (±0.8) a | |
| DWF | 3939 (±40.4) a | 31.1 (±0.3) c | 80.1 (±0.8) a | 15.7 (±0.3) a | 65.9 (±0.7) a | |
| Irrigation levels (IL) | ||||||
| I10D | 3879 (±48.2) ab | 32.2 (±0.4) b | 76.9 (±0.9) b | 14.2 (±0.2) b | 62.9 (±1.0) ab | |
| I40 | 3957 (±39.2) a | 31.0 (±0.3) c | 80.8 (±0.9) a | 15.8 (±0.2) a | 65.3 (±1.0) a | |
| I50 | 3894 (±60.1) a | 30.7 (±0.2) c | 79.4 (±0.7) a | 15.5 (±0.2) a | 63.1 (±1.1) a | |
| I60 | 3570 (±72.4) b | 34.2 (±0.4) a | 71.7 (±0.8) c | 13.6 (±0.2) b | 58.0 (±1.3) b | |
| Year | ||||||
| 2015 | 3893 (±38.0) a | 30.9 (±0.2) b | 77.9 (±0.8) a | 15.0 (±0.1) a | 63.5 (±0.5) a | |
| 2016 | 3757 (±38.0) b | 33.2 (±0.2) a | 76.5 (±0.8) b | 14.6 (±0.1) b | 61.1 (±0.5) b | |
| Source of variation | DF | _________________________p-value (<0.05)__________________________ | ||||
| PM | 2 | 0.001 | <0.0001 | <0.0001 | <0.0001 | <0.0001 |
| IL | 3 | <0.0001 | <0.0001 | <0.0001 | <0.0001 | <0.0001 |
| Year | 1 | 0.01 | <0.0001 | 0.02 | 0.03 | 0.003 |
| PM × IL | 6 | NS | NS | NS | NS | NS |
| PM × IL × Year | 6 | NS | NS | NS | NS | NS |
| Treatment * | SPAD Reading | |
|---|---|---|
| Planting Method (PM) | Irrigation Levels (IL) | |
| BBF | I10D | 46.6 (±0.3 **) ef *** |
| I40 | 49.6 (±1.0) cd | |
| I50 | 47.8 (±0.6) de | |
| I60 | 43.8 (±0.4) g | |
| SNF | I10D | 48.7 (±0.6) ce |
| I40 | 53.1 (±0.5) ab | |
| I50 | 51.3 (±0.5) bc | |
| I60 | 44.7 (±0.6) fg | |
| DWF | I10D | 49.3 (±0.5) cd |
| I40 | 57.5 (±0.6) a | |
| I50 | 55.9 (±0.4) a | |
| I60 | 49.2 (±0.5) ce | |
| Source of variation | DF | p-value (<0.05) |
| PM | 2 | <0.0001 |
| IL | 3 | <0.0001 |
| Year | 1 | 0.004 |
| PM×IL | 6 | <0.0001 |
| PM × IL × Year | 6 | NS |
| Treatment * | SPAD Reading | |
|---|---|---|
| Planting methods (PM) | ||
| BBF | 47.0 (±0.5 **) c *** | |
| SNF | 49.5 (±0.7) b | |
| DWF | 53.0 (±0.8) a | |
| p-value (<0.05) | <0.0001 | |
| Irrigation levels (IL) | ||
| I10D | 48.2 (±0.4) c | |
| I40 | 53.4 (±0.9) a | |
| I50 | 51.6 (±0.8) b | |
| I60 | 45.9 (±0.6) d | |
| p-value (<0.05) | 0.0001 | |
| Source of variation | DF | p-value (<0.05) |
| PM | 2 | <0.0001 |
| IL | 3 | <0.0001 |
| Year | 1 | NS |
| PM × IL | 6 | NS |
| PM × IL × Year | 6 | NS |
| Year | Leaf Area (cm2 Plant−1) | Canopy Temperature (°C) | RWC (%) |
|---|---|---|---|
| 2015 | 3653 (±22.59 *) a** | 30.94 (±0.11) b | 75.64 (±0.92) a |
| 2016 | 3709 (±22.59) a | 35.21(±0.11) a | 74.81 (±0.92) a |
| p-value | NS | <0.0001 | NS |
| Table * | CPC (%) | Proline (%) | |
|---|---|---|---|
| Year | |||
| 2015 | 10.4 (±0.02 **) a | 14.1 (±0.2) b *** | |
| 2016 | 10.3 (±0.03) a | 14.8 (±0.3) a | |
| PM × IL | |||
| BBF | I10D | 18.8 (±0.5) bc | 6.0 (±0.6) f |
| I40 | 13.4 (±0.4) gf | 7.0 (±0.5) d | |
| I50 | 13.9 (±0.4) ef | 6.0 (±0.5) f | |
| I60 | 23.1 (±0.3) a | 8.7 (±0.4) a | |
| SNF | I10D | 15.8 (±0.5) de | 6.5 (±0.7) e |
| I40 | 10.7 (±0.4) hi | 6.0 (±0.5) f | |
| I50 | 11.8 (±0.4) g–i | 7.0 (±0.6) d | |
| I60 | 19.0 (±0.4) a | 8.0 (±0.5) b | |
| DWF | I10D | 11.9 (±0.2) gh | 6.5 (±0.4) e |
| I40 | 8.4 (±0.4) j | 5.0 (±0.5) g | |
| I50 | 9.9 (±0.4) ij | 7.0 (±0.4) d | |
| I60 | 16.9 (±0.4) cd | 6.5 (±0.4) e | |
| Source of variation | DF | ______________________ p-value (<0.05) ___________________________ | |
| PM | 2 | <0.0001 | <0.0001 |
| IL | 3 | <0.0001 | <0.0001 |
| Year | 1 | NS | 0.001 |
| PM × IL | 6 | <0.0001 | 0.011 |
| PM × IL × Year | 6 | NS | NS |
| Treatment * | TSS (%) | 50% Tasseling (Days) | 50% Silking (Days) | Physiological Maturity (Days) | Grain WUE (kg ha-mm−1) | |
|---|---|---|---|---|---|---|
| Planting methods (PM) | ||||||
| BBF | 13.0 (±0.2 **) a | 57.0 (±0.4) c | 61.5 (±0.3) c | 99.5 (±0.35) c | 16.4 (±0.3) a *** | |
| SNF | 12.1 (±0.1) b | 58.7 (±0.3) b | 63.2 (±0.3) b | 101.3 (±0.30) b | 15.3 (±0.4) b | |
| DWF | 11.6 (±0.1) c | 59.9 (±0.4) a | 64.4 (±0.3) a | 102.6 (±0.32) a | 12.9 (±0.3) c | |
| Irrigation levels (IL) | ||||||
| I10D | 12.3 (±0.2) b | 59.0 (±0.5) ab | 63.5 (±0.4) ab | 101.6 (±0.50) ab | 14.5 (±0.5) bc | |
| I40 | 11.6 (±0.1) c | 59.5 (±0.4) a | 64.0 (±0.3) a | 102.1 (±0.35) a | 13.7 (±0.5) c | |
| I50 | 12.0 (±0.1) bc | 58.4 (±0.4) b | 62.9 (±0.3) b | 101.0 (±0.39) b | 15.4 (±0.5) ab | |
| I60 | 12.9 (±0.2) a | 57.2 (±0.5) c | 61.7 (±0.4) c | 99.7 (±0.48) c | 15.8 (±0.4) a | |
| Year | ||||||
| 2015 | 12.0 (±0.1) b | 60.0 (±0.2) a | 64.0 (±0.2) a | 102.3 (±0.27) a | 15.9 (±0.5) a | |
| 2016 | 12.4 (±0.07) a | 57.1 (±0.2) b | 62.1 (±0.2) b | 100.2 (±0.27) b | 13.7 (±0.4) b | |
| Source of variation | DF | __________________________________p-value (<0.05)____________________________________________________________ | ||||
| PM | 2 | <0.0001 | <0.0001 | <0.0001 | <0.0001 | <0.0001 |
| IL | 3 | <0.0001 | <0.0001 | <0.0001 | <0.0001 | <0.0001 |
| Year | 1 | 0.0009 | <0.0001 | <0.0001 | <0.0001 | <0.0001 |
| PM × IL | 6 | NS | NS | NS | NS | NS |
| PM × IL × Year | 6 | NS | NS | NS | NS | NS |
| Month | Rainfall (mm) | Maximum Temperature (°C) | Minimum Temperature (°C) | Relative Humidity (%) | Evaporation (mm day−1) | Soil Temperature at 5 cm Depth (°C) | ||||||
|---|---|---|---|---|---|---|---|---|---|---|---|---|
| 2015 | 2016 | 2015 | 2016 | 2015 | 2016 | 2015 | 2016 | 2015 | 2016 | 2015 | 2016 | |
| February | 0.0 | 0.2 | 31.8 | 33.6 | 14.6 | 17.9 | 40.0 | 62.4 | 6.0 | 6.1 | 36.0 | 38.2 |
| March | 105.2 | 2.4 | 33.2 | 36.1 | 19.3 | 20.6 | 55.0 | 59.6 | 5.5 | 6.8 | 36.1 | 40.2 |
| April | 13.2 | 20.4 | 35.1 | 38.0 | 20.3 | 21.6 | 51.0 | 73.2 | 6.2 | 8.5 | 42.0 | 44.4 |
| May | 129.4 | 82.8 | 34.7 | 36.0 | 21.9 | 22.1 | 63.0 | 80.7 | 6.0 | 8.3 | 36.4 | 40.8 |
| Treatment * | 100 Grain Weight (g) | Cob Weight (g cob−1) | Grain Yield (kg ha−1) | Biomass WUE (kg ha-mm−1) | |
|---|---|---|---|---|---|
| Year | |||||
| 2015 | 29.8 (±0.1 **) a | 177.9 (±0.8) a | 6903 (±118.6) a | 34.2 (±0.2) a*** | |
| 2016 | 29.1 (±0.1) b | 172.5 (±0.8) b | 6465 (±103.8) b | 31.7 (±0.3) b | |
| P × I | |||||
| BBF | I10D | 27.5 (±0.4) de | 163.1 (±3.51) e | 5907 (±94.98) de | 35.8 (±1.1) bc |
| I40 | 28.9 (±0.4) b–d | 173.9 (±2.11) cd | 6535 (±210.7) bc | 33.7 (±0.2) c–e | |
| I50 | 29.9 (±0.5) cd | 170.5 (±1.21) de | 6358 (±114.7) c | 37.8 (±0.4) b | |
| I60 | 26.0 (±0.2) e | 148.0 (±2.13) f | 5551 (±122.3) e | 42.5 (±0.7) a | |
| SNF | I10D | 29.0 (±0.3) b–d | 176.8 (±1.64) b–d | 6427 (±84.8) bc | 32.1 (±0.6) d–f |
| I40 | 29.7 (±0.2) bc | 183.7 (±1.65) ab | 7386 (±128.1) a | 29.6 (±0.5) g | |
| I50 | 30.5 (±0.4) ab | 181.4 (±1.17) a–c | 7573 (±178.7) a | 34.0 (±0.6) cd | |
| I60 | 29.5 (±0.3) bc | 168.2 (±3.90) de | 6210 (±93.7) cd | 35.9 (±0.8) bc | |
| DWF | I10D | 30.7 (±0.5) ab | 183.4 (±2.11) a–c | 6820 (±141.5) b | 27.0 (±0.8) h |
| I40 | 32.0 (±0.4) a | 188.6 (±1.83) a | 7335 (±64.9) a | 26.9 (±0.7) h | |
| I50 | 31.8 (±0.4) a | 189.6 (±1.80) a | 7512 (±121.9) a | 29.9 (±0.9) fg | |
| I60 | 29.7 (±0.3) bc | 175.4 (±1.54) b–d | 6594 (±172.0) bc | 31.5 (±1.0) e–g | |
| Source of variation | DF | __________________________________p-value (<0.05)_____________________________________ | |||
| PM | 2 | <0.0001 | <0.0001 | <0.0001 | <0.0001 |
| IL | 3 | <0.0001 | <0.0001 | <0.0001 | <0.0001 |
| Year | 1 | 0.002 | <0.0001 | <0.0001 | <0.0001 |
| PM × IL | 6 | 0.030 | 0.065 | 0.004 | 0.005 |
| PM × IL × Year | 6 | NS | NS | NS | NS |
| Treatment * | Total Water Applied (mm) | Number of Irrigations | |
|---|---|---|---|
| Year | |||
| 2015 | 439.0 (±0.3 **) b | 5.8 (±0.1) b *** | |
| 2016 | 495.6 (±0.3) a | 7.6 (±0.1) a | |
| p-value (<0.05) | <0.0001 | <0.0001 | |
| PM × IL | |||
| BBF | I10D | 372.0 (±2.7) h | 6.0 (±0.5) f |
| I40 | 415.5 (±2.4) f | 7.0 (±0.6) d | |
| I50 | 372.0 (±2.7) h | 6.0 (±0.5) f | |
| I60 | 328.5 (±2.4) i | 5.0 (±0.6) g | |
| SNF | I10D | 453.5 (±8.7) e | 6.5 (±0.8) e |
| I40 | 510.5 (±8.7) c | 8.0 (±0.5) b | |
| I50 | 453.5 (±8.7) e | 7.0 (±0.5) d | |
| I60 | 396.5 (±8.7) g | 6.0 (±0.6) f | |
| DWF | I10D | 552.5 (±15.8) b | 6.5 (±0.4) e |
| I40 | 625.5 (±15.8) a | 8.7 (±0.5) a | |
| I50 | 552.5 (±15.9) b | 7.0 (±0.4) d | |
| I60 | 479.0 (±16.1) d | 6.5 (±0.4) e | |
| p-value (<0.05) | <0.0001 | <0.0001 | |
| Soil Layers (cm) | Bulk Density (g c−3) | Porosity (%) | Soil Texture | Soil Particle Fraction (%) | Field Capacity (%) | Permanent Wilting Point (%) | ||
|---|---|---|---|---|---|---|---|---|
| Sand (>0.05 mm) | Silt (0.05–0.002 mm) | Clay (<0.002 mm) | ||||||
| 0–15 | 1.2 | 54.2 | Clayey | 18.8 | 33.4 | 47.2 | 32.4 | 18.0 |
| 15–30 | 1.3 | 52.4 | Clayey | 21.0 | 32.1 | 46.8 | 32.7 | 18.1 |
| 30–45 | 1.3 | 52.4 | Clayey | 12.1 | 34.2 | 53.6 | 33.9 | 18.1 |
Publisher’s Note: MDPI stays neutral with regard to jurisdictional claims in published maps and institutional affiliations. |
© 2021 by the authors. Licensee MDPI, Basel, Switzerland. This article is an open access article distributed under the terms and conditions of the Creative Commons Attribution (CC BY) license (https://creativecommons.org/licenses/by/4.0/).
Share and Cite
Halli, H.M.; Angadi, S.; Kumar, A.; Govindasamy, P.; Madar, R.; Baskar V, D.C.; Elansary, H.O.; Tamam, N.; Abdelbacki, A.M.M.; Abdelmohsen, S.A.M. Assessment of Planting Method and Deficit Irrigation Impacts on Physio-Morphology, Grain Yield and Water Use Efficiency of Maize (Zea mays L.) on Vertisols of Semi-Arid Tropics. Plants 2021, 10, 1094. https://doi.org/10.3390/plants10061094
Halli HM, Angadi S, Kumar A, Govindasamy P, Madar R, Baskar V DC, Elansary HO, Tamam N, Abdelbacki AMM, Abdelmohsen SAM. Assessment of Planting Method and Deficit Irrigation Impacts on Physio-Morphology, Grain Yield and Water Use Efficiency of Maize (Zea mays L.) on Vertisols of Semi-Arid Tropics. Plants. 2021; 10(6):1094. https://doi.org/10.3390/plants10061094
Chicago/Turabian StyleHalli, Hanamant M., Sanganabasappa Angadi, Aravind Kumar, Prabhu Govindasamy, Raghavendra Madar, David Chella Baskar V, Hosam O. Elansary, Nissren Tamam, Ashraf M. M. Abdelbacki, and Shaimaa A. M. Abdelmohsen. 2021. "Assessment of Planting Method and Deficit Irrigation Impacts on Physio-Morphology, Grain Yield and Water Use Efficiency of Maize (Zea mays L.) on Vertisols of Semi-Arid Tropics" Plants 10, no. 6: 1094. https://doi.org/10.3390/plants10061094
APA StyleHalli, H. M., Angadi, S., Kumar, A., Govindasamy, P., Madar, R., Baskar V, D. C., Elansary, H. O., Tamam, N., Abdelbacki, A. M. M., & Abdelmohsen, S. A. M. (2021). Assessment of Planting Method and Deficit Irrigation Impacts on Physio-Morphology, Grain Yield and Water Use Efficiency of Maize (Zea mays L.) on Vertisols of Semi-Arid Tropics. Plants, 10(6), 1094. https://doi.org/10.3390/plants10061094

