The Application of the Essential Oils of Thymus vulgaris L. and Crithmum maritimum L. as Biocidal on Two Tholu Bommalu Indian Leather Puppets
Abstract
:1. Introduction
2. Results and Discussion
2.1. Gas Chromatography and Mass Spectrometry (GC-MS) Analysis of the Essential Oil
| No. | Compounds | LRI a | LRI b | Area (%) | Ident. c | Ref. |
|---|---|---|---|---|---|---|
| 1 | β-Pinene | 974 | 1070 | 0.08 | 1, 2, 3 | |
| 2 | cis-Carane | 978 | 1033 | 0.90 | 1, 2 | |
| 3 | β-Myrcene | 990 | 1079 | 2.54 | 1, 2, 3 | |
| 4 | 3-Carene | 1011 | 1129 | 0.48 | 1, 2 | |
| 5 | α-Terpinene | 1018 | 1140 | 8.85 | 1, 2, 3 | |
| 6 | p-Cymene | 1021 | 1224 | 35.96 | 1, 2, 3 | |
| 7 | (3E)-3-Ethyl-2,5-dimethyl-1,3-hexadiene d | 1031 | 976 | 0.04 | 1, 2 | |
| 8 | Eucalyptol | 1035 | 1211 | 1.56 | 1, 2, 3 | |
| 9 | Terpinolene | 1084 | 1264 | 1.11 | 1, 2 | |
| 10 | β-Linalool | 1098 | 1498 | 5.99 | 1, 2, 3 | |
| 11 | trans-Pinocarveol | 1139 | 1666 | 0.45 | 1, 2 | |
| 12 | Terpinen-4-ol | 1177 | 1612 | 10.29 | 1, 2 | |
| 13 | Thymol | 1267 | 2156 | 25.38 | 1, 2, 3 | |
| 14 | α-Copaene | 1376 | 1487 | 0.14 | 1, 2 | [34] |
| 15 | Caryophyllene | 1419 | 1598 | 4.13 | 1, 2, 3 | |
| 16 | δ-Cadinene | 1530 | 1722 | 0.07 | 1, 2 | |
| Monoterpene Hydrocarbons | 49.96 | |||||
| Oxygenated Monoterpenes | 43.67 | |||||
| Sesquiterpene Hydrocarbons | 4.34 | |||||
| Total | 97.97 | |||||
| No. | Compounds | LRI a | LRI b | Area (%) | Ident. c | Ref. |
|---|---|---|---|---|---|---|
| 1 | α-Pinene | 932 | 1019 | 5.51 | 1, 2, 3 | |
| 2 | Camphene | 944 | 1060 | 5.16 | 1, 2, 3 | |
| 3 | Sabinene | 966 | 1114 | 0.21 | 1, 2 | |
| 4 | β-Pinene | 974 | 1070 | 0.55 | 1, 2, 3 | |
| 5 | β-Myrcene | 990 | 1079 | 13.66 | 1, 2, 3 | |
| 6 | α-Phellandrene | 998 | 1166 | 0.88 | 1, 2 | |
| 7 | p-Cymene | 1021 | 1224 | 11.67 | 1, 2, 3 | |
| 8 | β-Phellandrene | 1022 | 1201 | 6.57 | 1, 2 | |
| 9 | γ-Terpinene | 1049 | 1233 | 0.87 | 1, 2, | |
| 10 | β-Linalool | 1098 | 1498 | 0.43 | 1, 2, 3 | |
| 11 | cis-2-Menthenol | 1118 | 1527 | 0.39 | 1, 2 | [35] |
| 12 | Camphor | 1122 | 1501 | 0.27 | 1, 2, 3 | [36] |
| 13 | 3-Methylbutyl pentanoate | 1134 | 1345 | 0.16 | 1, 2 | |
| 14 | trans-2-Menthenol | 1136 | 1561 | 0.56 | 1, 2 | [37] |
| 15 | Camphene hydrate | 1148 | 1583 | 0.09 | 1, 2 | |
| 16 | Terpinen-4-ol | 1177 | 1612 | 3.52 | 1, 2 | |
| 17 | Pentyl pentanoated | 1185 | 1402 | 0.51 | 1, 2 | |
| 18 | trans-3(10)-Caren-2-ol | 1194 | 1525 | 0.18 | 1, 2 | [38] |
| 19 | 1-Methylhexyl butanoate | 1197 | 1371 | 0.63 | 1, 2 | [39] |
| 20 | Carvone | 1218 | 1709 | 0.24 | 1, 2, 3 | |
| 21 | cis-Carveol | 1222 | 1820 | 0.19 | 1, 2 | |
| 22 | Thymol methyl ether | 1235 | 1587 | 1.23 | 1, 2 | |
| 23 | 2-Methylcyclohexyl butyrate d | 1241 | 1407 | 0.37 | 1, 2 | |
| 24 | 4,7-Dimethylbenzofuran | 1260 | 1619 | 0.54 | 1, 2 | [40] |
| 25 | Thymol | 1267 | 2156 | 2.62 | 1, 2, 3 | |
| 26 | Bornyl acetate | 1270 | 1555 | 2.69 | 1, 2 | |
| 27 | Piperitone | 1277 | 1730 | 0.40 | 1, 2 | |
| 28 | 2-Undecanone | 1295 | 1614 | 0.27 | 1, 2 | |
| 29 | Thymol acetate | 1352 | 1813 | 14.38 | 1, 2, 3 | |
| 30 | 4-Cyclohexyl-2-butanone d | 1371 | 1823 | 0.10 | 1, 2 | |
| 31 | Damascenone | 1385 | 1810 | 0.48 | 1, 2 | |
| 32 | α-Ionol | 1395 | 1881 | 0.29 | 1, 2 | |
| 33 | 1,4-Dimethoxy-2-tert-butylbenzene | 1408 | 1871 | 1.23 | 1, 2 | [41] |
| 34 | α-Methylbenzyl propionate d | 1412 | 1853 | 0.99 | 1, 2 | |
| 35 | 2-Methyl-6-(2-propenyl)phenol d | 1423 | 1889 | 3.30 | 1, 2 | |
| 36 | Geranyl acetone | 1456 | 1859 | 0.30 | 1, 2 | |
| 37 | Bornyl butyrate | 1463 | 1760 | 1.30 | 1, 2 | |
| 38 | γ-Cadinene | 1521 | 1776 | 1.94 | 1, 2 | |
| 39 | 2,3,4-Trimethylacetophenone | 1548 | 1882 | 5.35 | 1, 2 | |
| Monoterpene Hydrocarbons | 45.08 | |||||
| Oxygenated Monoterpenes | 40.03 | |||||
| Sesquiterpene Hydrocarbons | 1.94 | |||||
| Oxygenated Sesquiterpenes | 0.50 | |||||
| Others | 2.48 | |||||
| Total | 90.03 | |||||
2.2. Antimicrobial Activity
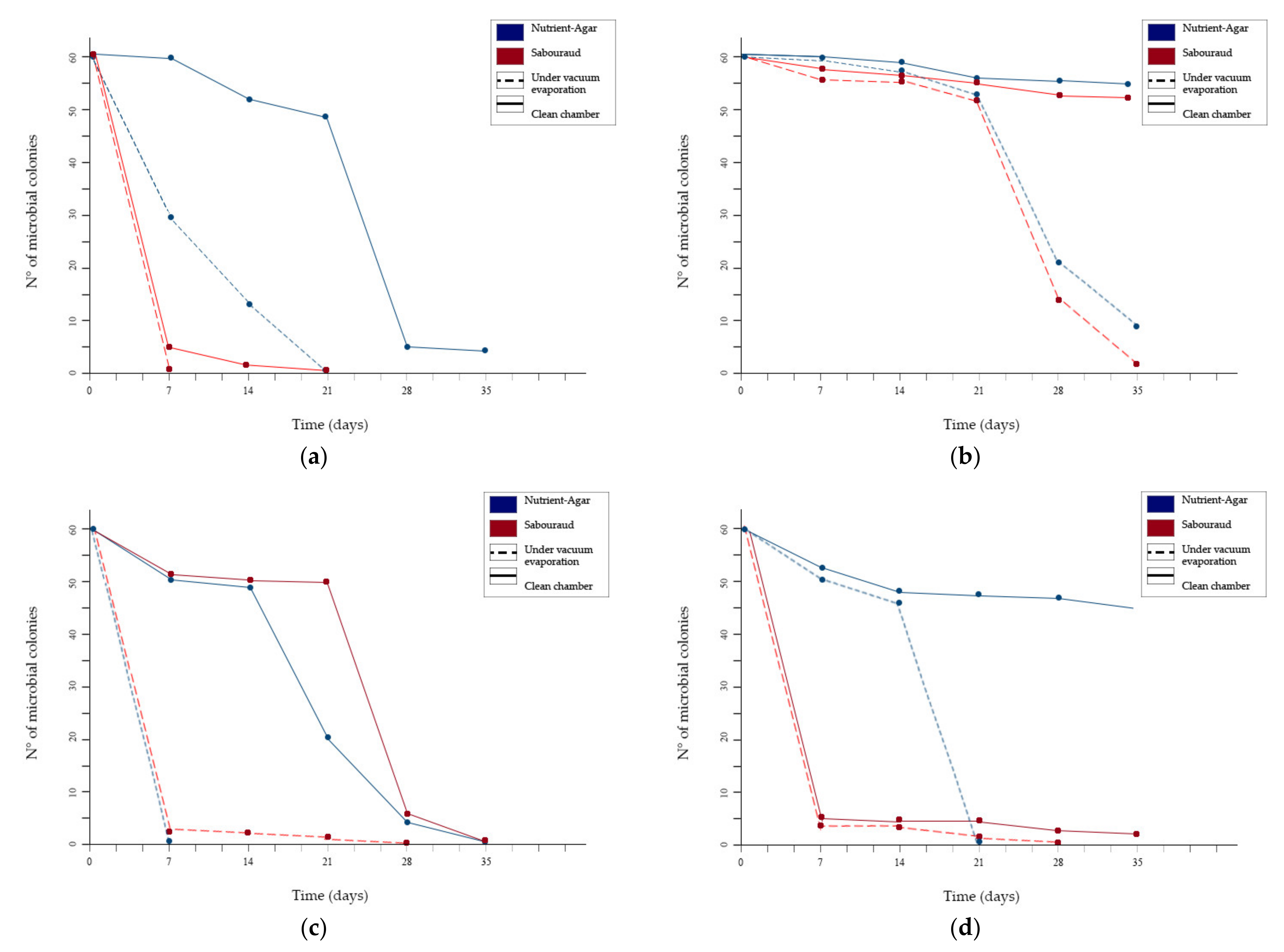
2.3. Use of a Vaccum Chamber for the Disinfection Process
3. Materials and Methods
3.1. Essential Oils
3.2. GC-MS Analysis of Essential Oil
3.3. ADD Control Solutions
3.4. Microbial Taxa
3.5. Antibacterial Activity Assays
3.6. Vacuum Chamber
4. Conclusions
Author Contributions
Funding
Acknowledgments
Conflicts of Interest
References
- Casiglia, S.; Bruno, M.; Senatore, F. Volatile constituents of Dianthus rupicola Biv. from Sicily: Activity against microorganisms affecting cellulosic objects. Nat. Prod. Res. 2014, 28, 1739–1746. [Google Scholar] [CrossRef]
- Casiglia, S.; Bruno, M.; Senatore, F. Activity against microorganisms affecting cellulosic objects of the volatile constituents of Leonotis nepetaefolia from Nicaragua. Nat. Prod. Commun. 2014, 9, 1637–1639. [Google Scholar] [CrossRef] [Green Version]
- Casiglia, S.; Ben Jemia, M.; Riccobono, L.; Bruno, M.; Scandolera, E.; Senatore, F. Chemical composition of the essential oil of Moluccella spinosa L. (Lamiaceae) collected wild in Sicily and its activity on microorganisms affecting historical textiles. Nat. Prod. Res. 2015, 29, 1201–1206. [Google Scholar] [CrossRef] [PubMed]
- Casiglia, S.; Bruno, M.; Senatore, F.; Senatore, F. Composition of the essential oil of Allium neapolitanum Cirillo growing wild in Sicily and its activity on microorganisms affecting historical art crafts. J. Oleo Sci. 2015, 64, 1315–1320. [Google Scholar] [CrossRef] [PubMed] [Green Version]
- Casiglia, S.; Riccobono, L.; Bruno, M.; Senatore, F.; Senatore, F. Chemical composition of the essential oil from Pulicaria vulgaris var. graeca (Sch.-Bip.) Fiori (Asteraceae) grown wild in Sicily and its antimicrobial activity. Nat. Prod. Res. 2016, 30, 259–267. [Google Scholar] [CrossRef] [PubMed]
- Casiglia, S.; Bruno, M.; Senatore, F.; Senatore, F. Chemical composition of the essential oil of Bupleurum fontanesii Guss. ex Caruel (Apiaceae) growing wild in Sicily and its activity on microorganisms affecting historical art crafts. Nat. Prod. Commun. 2016, 11, 105–108. [Google Scholar]
- Casiglia, S.; Riccobono, L.; Bruno, M.; Rosselli, S.; Senatore, F.; Senatore, F. Chemical composition of the essential oil from Thapsia garganica L. (Apiaceae) grown wild in Sicily and its antimicrobial activity. Nat. Prod. Res. 2016, 30, 1042–1052. [Google Scholar] [CrossRef] [PubMed]
- Casiglia, S.; Bruno, M.; Fontana, G.; Senatore, F. Chemical composition of the essential oil of Mentha pulegium L. (Linné) growing wild in Sicily and its activity on microorganisms affecting historical art crafts. Nat. Prod. Commun. 2017, 12, 311–315. [Google Scholar]
- Casiglia, S.; Bruno, M.; Bramucci, M.; Quassinti, L.; Lupidi, G.; Fiorini, D.; Maggi, F. Kundmannia sicula (L.) DC growing in Sicily (Italy) as a rich source of germacrene D. J. Essent. Oil Res. 2017, 29, 437–442. [Google Scholar] [CrossRef]
- Casiglia, S.; Bruno, M.; Senatore, F.; Rosselli, S. Chemical composition of essential oils of Anthemis secundiramea Biv. subsp. secundiramea (Asteraceae) collected wild in Sicily and their activity on microorganisms affecting historical art craft. Nat. Prod. Res. 2019, 33, 970–979. [Google Scholar] [CrossRef]
- Bruno, M.; Modica, A.; Catinella, G.; Canlı, C.; Arasoglu, T.; Çelik, S. Chemical composition of the essential oil of Centaurea tomentella Hand.-Mazz. and C. haussknechtii Boiss. (Asteraceae) collected wild in Turkey and its activity on microorganisms affecting historical art craft. Nat. Prod. Res. 2019, 33, 1092–1100. [Google Scholar] [CrossRef] [PubMed]
- Cappitelli, F.; Cattò, C.; Villa, F. The control of cultural heritage microbial deterioration. Microorganisms 2020, 8, 154. [Google Scholar] [CrossRef]
- Sequeira, S.; Cabrita, E.J.; Macedo, M.F. Antifungals on paper conservation: An overview. Int. Biodeterior. Biodegrad. 2012, 74, 67–86. [Google Scholar] [CrossRef]
- Matusiak, K.; Machnowski, W.; Wrzosek, H.; Polak, J.; Rajkowska, K.; Smigielski, K.; Kunicka-Styczynska, A. Application of Cinnamomum zeylanicum essential oil in vapour phase for heritage textiles disinfection. Int. Biodeterior. Biodegrad. 2018, 131, 88–96. [Google Scholar] [CrossRef]
- Cimanga, K.; Kambu, K.; Tona, L.; Apers, S.; De Bruyne, T.; Hermans, N.; Tottè, J.; Pieters, L.; Vlietinck, A.J. Correlation between chemical composition and antibacterial activity of essential oils of some aromatic medicinal plants growing in the Democratic Republic of Congo. J. Ethnopharmacol. 2002, 79, 213–220. [Google Scholar]
- Scaffaro, R.; Maio, A.; D’Arrigo, M.; Lo Presti, F.; Marino, A.; Bruno, M.; Nostro, A. Morpho-mechanical and antimicrobial properties of Coridothymus capitatus L. essential oil loaded into ultrafine poly (lactic acid) fibers prepared by electrospinning. Future Microbiol. 2020, 15, 1379–1392. [Google Scholar] [CrossRef] [PubMed]
- De Feo, V.; Bruno, M.; Tahiri, B.; Napolitano, F.; Senatore, F. Chemical composition and antibacterial activity of the essential oils of Thymus spinulosus Ten. (Lamiaceae). J. Agric. Food Chem. 2003, 51, 3849–3853. [Google Scholar] [CrossRef]
- De Martino, L.; Bruno, M.; Formisano, C.; De Feo, V.; Napolitano, F.; Rosselli, S.; Senatore, F. Chemical composition and antimicrobial activity of the essential oils from two species of Thymus growing wild in Southern Italy. Molecules 2009, 14, 4614–4624. [Google Scholar] [CrossRef] [Green Version]
- Casiglia, S.; Bruno, M.; Scandolera, E.; Senatore, F. Influence of harvesting time on composition of the essential oil of Thymus capitatus (L.) Hoffmanns. & Link. growing wild in northern Sicily and its activity on microorganisms affecting historical art crafts. Arab. J. Chem. 2019, 12, 2704–2712. [Google Scholar]
- Palla, F.; Bruno, M.; Mercurio, F.; Tantillo, A.; Rotolo, V. Essential oil as natural biocides in conservation of cultural heritage. Molecules 2020, 25, 730. [Google Scholar] [CrossRef] [Green Version]
- Gagliano Candela, R.; Maggi, F.; Lazzara, G.; Rosselli, S.; Bruno, M. The essential oil of Thymbra capitata and its application as a biocide on stone and derived surfaces. Plants 2019, 8, 300. [Google Scholar] [CrossRef] [Green Version]
- Al-Asmari, A.K.; Al-Faraidy, A.A.; Almuhaiza, M.S. Chemical composition of essential oil of Thymus vulgaris collected from Saudi Arabian market. Asian Pac. J. Trop. Biomed. 2017, 7, 147–150. [Google Scholar] [CrossRef]
- De Carvalho, R.J.; Targino de Souza, G.; Gonçalves Honório, V.; Pereira de Sousa, J.; Conceição, M.L.; Maganani, M.; Leite de Souza, E. Comparative inhibitory effects of Thymus vulgaris L. essential oil against Staphylococcus aureus, Listeria monoctogenes and mesophilic starter co-culture in cheese-mimicking models. Food Microbiol. 2015, 52, 59–65. [Google Scholar] [CrossRef] [Green Version]
- Pavela, R.; Maggi, F.; Cianfaglione, K.; Bruno, M.; Benelli, G. Larvicidal activity of essential oils of five Apiaceae taxa and some of their main constituents against Culex quinquefasciatus. Chem. Biodivers. 2017, 14. [Google Scholar] [CrossRef]
- Alves-Silva, J.; Guerra, I.; Gonçalves, M.J.; Cavaleiro, C.; Cruz, M.T.; Figueirinha, A. Chemical composition of Crithmum maritimum L. essential oil and hydrodistillation residual water by GC-MS and HPLC-DAD-MS/MS, and their biological activities. Ind. Crops Prod. 2020, 149, 1–9. [Google Scholar] [CrossRef]
- Meot-Duros, L.; Magné, C. Antioxidant activity and phenol content of Crithmum maritimum L. leaves. Plant Physiol. Biochem. 2009, 47, 37–41. [Google Scholar] [CrossRef] [PubMed]
- Gagliano Candela, R.; Ilardi, V.; Badalamenti, N.; Bruno, M.; Rosselli, S.; Maggi, F. Essential oil compositions of Teucrium fruticans, T. scordium subsp. scordioides and T. siculum growing in Sicily and Malta. Nat. Prod. Res. 2020, in press. [Google Scholar] [CrossRef] [PubMed]
- Ilardi, V.; Badalamenti, N.; Bruno, M. Chemical composition of the essential oil from different vegetative parts of Foeniculum vulgare subsp. piperitum (Ucria) Coutinho (Umbelliferae) growing wild in Sicily. Nat. Prod. Res. 2020, in press. [Google Scholar]
- Badalamenti, N.; Ilardi, V.; Rosselli, S.; Bruno, M.; Maggi, F.; Leporini, M.; Falco, T.; Loizzo, M.R.; Tundis, R. Ferulago nodosa subsp. geniculata (Guss.) Troia & Raimondo from Sicily (Italy): Isolation of essential oil and evaluation of its bioactivity. Molecules 2020, 25, 3249. [Google Scholar]
- Badalamenti, N.; Bruno, M.; Gagliano Candela, R.; Maggi, F. Chemical composition of the essential oil of Elaeoselinum asclepium (L.) Bertol subsp. meoides (Desf.) Fiori (Umbelliferae) collected wild in Central Sicily and its antimicrobial activity. Nat. Prod. Res. 2020, in press. [Google Scholar] [CrossRef] [PubMed]
- Di Napoli, M.; Maresca, V.; Varcamonti, M.; Bruno, M.; Badalamenti, N.; Basile, A.; Zanfardino, A. (+)-(E)-Chrysanthenyl acetate: A molecule with interesting biological properties contained in the Anthemis secundiramea (Asteraceae) flowers. Appl. Sci. 2020, 10, 6808. [Google Scholar] [CrossRef]
- Badalamenti, N.; Ilardi, V.; Bruno, M.; Pavela, R.; Boukouvala, M.C.; Kavallieratos, N.G.; Maggi, F.; Canale, A.; Benelli, G. Chemical composition and broad-spectrum insecticidal activity of the flower essential oil from an ancient Sicilian food plant, Ridolfia segetum. Agriculture 2021, 11, 304. [Google Scholar] [CrossRef]
- Satyal, P.; Murray, B.; McFeeters, R.; Setzer, W. Essential oil characterization of Thymus vulgaris from various geographical locations. Foods 2016, 5, 70. [Google Scholar] [CrossRef]
- Salido, S.; Altarejos, J.; Nogueras, M.; Sánchez, A.; Pannecouque, C.; Witvrouw, M.; De Clercq, E. Chemical studies of essential oils of Juniperus oxycedrus ssp. badia. J. Ethnopharmacol. 2002, 81, 129–134. [Google Scholar] [PubMed]
- Basta, A.; Tzakou, O.; Couladis, M. Composition of the leaves essential oil of Melissa officinalis s. l. from Greece. Flavour Fragr. J. 2005, 20, 642–644. [Google Scholar] [CrossRef]
- Shang, C.; Hu, Y.; Deng, C.; Hu, K. Rapid determination of volatile constituents of Michelia alba flowers by gas chromatography—Mass spectrometry with solid-phase microextraction. J. Chromatogr. A 2001, 942, 283–288. [Google Scholar] [CrossRef]
- Schmidt, J.M.; Noletto, J.A.; Vogler, B.; Setzer, W.N. Abaco Bush Medicine: Chemical composition of the essential oils of four aromatic medicinal plants from Abaco Island, Bahamas. J. Herbs Spices Med. Plants 2006, 12, 43–65. [Google Scholar] [CrossRef]
- Iranshahi, M.; Amin, G.; Sourmaghi, M.S.; Shafiee, A.; Hadjiakhoondi, A. Sulphur-containing compounds in the essential oil of the root of Ferula persica Willd. var. persica. Flavour Fragr. J. 2006, 21, 260–261. [Google Scholar] [CrossRef]
- Shiota, H. New esteric components in the volatiles of banana fruit (Musa sapientum L.). J. Agric. Food Chem. 1993, 41, 2056–2062. [Google Scholar] [CrossRef]
- Varlet, V.; Knockaert, C.; Prost, C.; Serot, T. Comparison of odor-active volatile compounds of fresh and smoked salmon. J. Agric. Food Chem. 2006, 54, 3391–3401. [Google Scholar] [CrossRef]
- Huang, B.; Qin, L.; Chu, Q.; Zhang, Q.; Gao, L.; Zheng, H. Comparison of headspace SPME with hydrodistillation and SFE for analysis of the volatile components of the roots of Valeriana officinalis var. latifolia. Chromatographia 2009, 69, 489–496. [Google Scholar] [CrossRef]
- Naigre, R.; Kalck, P.; Roques, C.; Roux, I.; Michel, G. Comparison of antimicrobial properties of monoterpenes and their carbonylated products. Planta Med. 1996, 62, 275–277. [Google Scholar] [CrossRef]
- EDQM (Council of Europe). European Pharmacopoeia, 6th ed.; EDQM: Strasbourg, France, 2008. [Google Scholar]
- Rigano, D.; Formisano, C.; Rosselli, S.; Badalamenti, N.; Bruno, M. GC and GC-–MS Analysis of volatile compounds from Ballota nigra subsp. uncinata collected in Aeolian Islands, Sicily (Southern Italy). Nat. Prod. Commun. 2020, 15, 1–7. [Google Scholar] [CrossRef] [Green Version]
- Balouiri, M.; Sadiki, M.; Ibnsouda, S.K. Methods for in vitro evaluating antimicrobial activity: A review. J. Pharm. Anal. 2016, 6, 71–79. [Google Scholar] [CrossRef] [Green Version]
- Palla, F.; Caruana, E.; Di Carlo, E.; Rotolo, V. Plant essential oils in controlling fungal colonization on wooden substrate. Borziana 2021, 2, 5–14. [Google Scholar]
- Johnson, J.S.; Spakowicz, D.J.; Hong, B.-Y.; Petersen, L.M.; Demkowicz, P.; Chen, L.; Leopold, S.R.; Hanson, B.M.; Agresta, H.O.; Gerstein, M.; et al. Evaluation of 16S rRNA gene sequencing for species and strain-level microbiome analysis. Nat. Commun. 2019, 10, 5029. [Google Scholar] [CrossRef] [Green Version]



| EO/Solvents | Conc. (%) | Inhibition Halos (mm) a × Bacterial Specie | |||
|---|---|---|---|---|---|
| Bacillus | Georgenia | Streptomyces | Ornithinibacillus | ||
| T. vulgaris EO | 50 | 33 | confl. b | 42 | 39 |
| 100 | 38 | confl. b | 46 | 54 | |
| C. maritimum EO | 50 | 9 | 0 | 0 | 0 |
| 100 | 10 | 0 | 0 | 0 | |
| Benzalkonium chloride | 3 | 7 | 9 | 8 | 6 |
| Pentane | 100 | 0 | 0 | 0 | 0 |
Publisher’s Note: MDPI stays neutral with regard to jurisdictional claims in published maps and institutional affiliations. |
© 2021 by the authors. Licensee MDPI, Basel, Switzerland. This article is an open access article distributed under the terms and conditions of the Creative Commons Attribution (CC BY) license (https://creativecommons.org/licenses/by/4.0/).
Share and Cite
D’Agostino, G.; Giambra, B.; Palla, F.; Bruno, M.; Badalamenti, N. The Application of the Essential Oils of Thymus vulgaris L. and Crithmum maritimum L. as Biocidal on Two Tholu Bommalu Indian Leather Puppets. Plants 2021, 10, 1508. https://doi.org/10.3390/plants10081508
D’Agostino G, Giambra B, Palla F, Bruno M, Badalamenti N. The Application of the Essential Oils of Thymus vulgaris L. and Crithmum maritimum L. as Biocidal on Two Tholu Bommalu Indian Leather Puppets. Plants. 2021; 10(8):1508. https://doi.org/10.3390/plants10081508
Chicago/Turabian StyleD’Agostino, Giulia, Belinda Giambra, Franco Palla, Maurizio Bruno, and Natale Badalamenti. 2021. "The Application of the Essential Oils of Thymus vulgaris L. and Crithmum maritimum L. as Biocidal on Two Tholu Bommalu Indian Leather Puppets" Plants 10, no. 8: 1508. https://doi.org/10.3390/plants10081508
APA StyleD’Agostino, G., Giambra, B., Palla, F., Bruno, M., & Badalamenti, N. (2021). The Application of the Essential Oils of Thymus vulgaris L. and Crithmum maritimum L. as Biocidal on Two Tholu Bommalu Indian Leather Puppets. Plants, 10(8), 1508. https://doi.org/10.3390/plants10081508

