Comparison of Phenolic Content and Antioxidant Activity for Fermented and Unfermented Rooibos Samples Extracted with Water and Methanol
Abstract
:1. Introduction
2. Materials and Methods
2.1. Chemicals
2.2. Extraction Procedures
2.3. Chemical Assay Procedures
2.3.1. Total Polyphenols
2.3.2. Trolox Equivalent Absorbance Capacity (TEAC) Assay
2.3.3. Ferric-Ion Reducing Antioxidant Power (FRAP) Assay
2.4. Database Creation
2.5. Statistical Analysis
2.6. Statistical and Machine Learning Classifiers
- TP only;
- TEAC only;
- FRAP only;
- TP, TEAC;
- TP, FRAP;
- TEAC, FRAP;
- TP, TEAC, FRAP.
2.6.1. Statistical Baseline Method
2.6.2. Machine Learning Classifiers
2.6.3. Comparison of Classifiers’ Performances
3. Results
3.1. Overview
3.2. Determination of Total Phenolic in Fermented and Unfermented Samples
3.3. Determination of TEAC in Fermented and Unfermented Samples
3.4. Determination of FRAP in Fermented and Unfermented Samples
3.5. Assay Joint Distributions and Correlations
3.6. Statistical and Machine Learning Classifications
Statistical Classifications of FR versus UFR
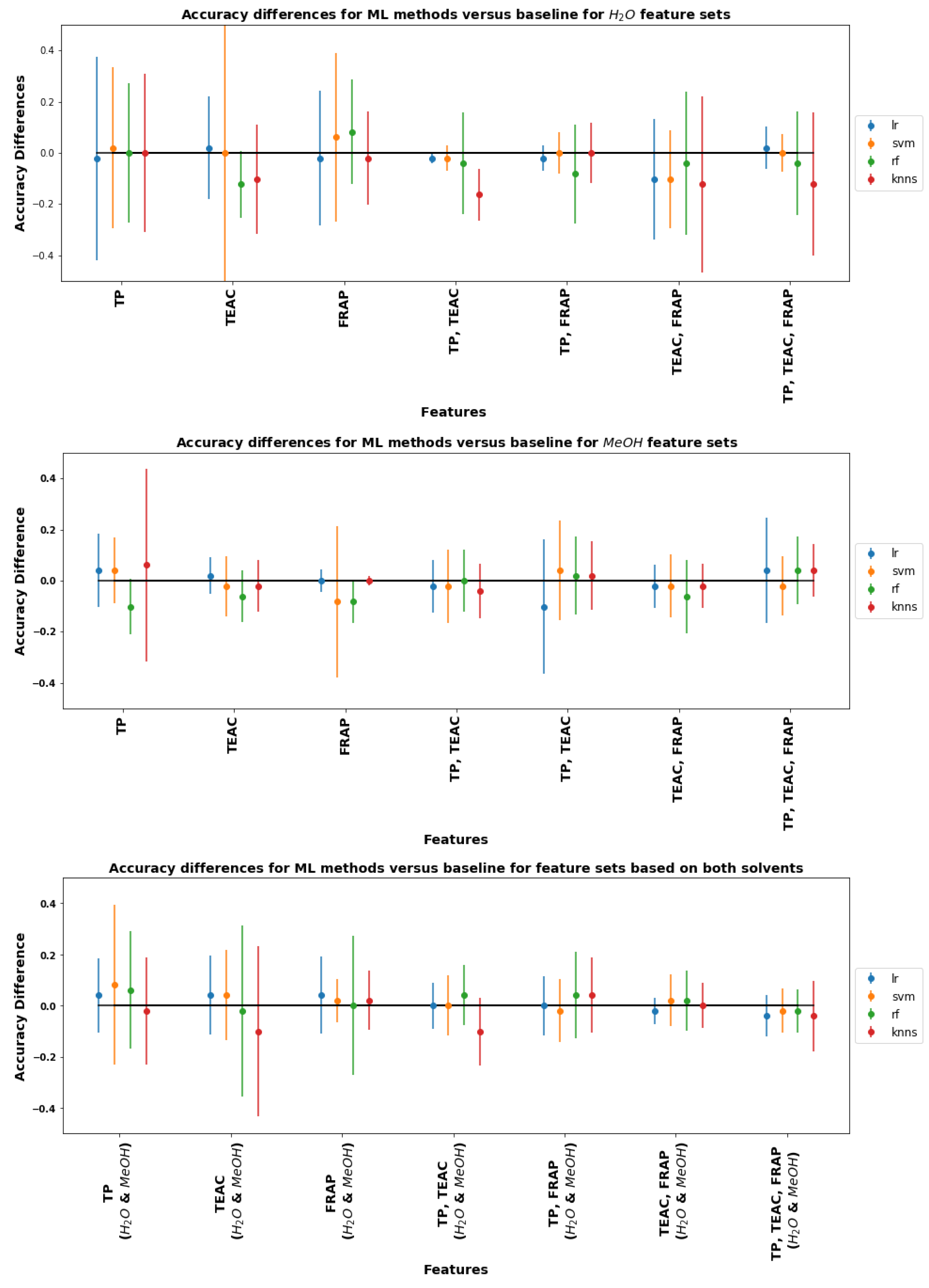
3.7. Comparison of Statistical and Machine Learning Classification
4. Discussion
4.1. Water Extractions
4.2. Methanol Extracts
4.3. Comparison of Water and Methanol Extracts
4.4. Classification Comparisons
5. Conclusions
Author Contributions
Funding
Institutional Review Board Statement
Informed Consent Statement
Data Availability Statement
Acknowledgments
Conflicts of Interest
References
- Hassen, A.I.; Bopape, F.L.; Habig, J.; Lamprecht, S.C. Nodulation of rooibos (Aspalathus linearis Burm. f.), an indigenous South African legume, by members of both the α-Proteobacteria and β-Proteobacteria. Biol. Fertil. Soils 2012, 48, 295–303. [Google Scholar] [CrossRef]
- Małyjurek, Z.; Zawisza, B.; de Beer, D.; Joubert, E.; Walczak, B. Authentication of honeybush and rooibos herbal teas based on their elemental composition. Food Control 2021, 123, 107757. [Google Scholar] [CrossRef]
- Horžić, D.; Komes, D.; Belščak, A.; Ganić, K.K.; Iveković, D.; Karlović, D. The composition of polyphenols and methylxanthines in teas and herbal infusions. Food Chem. 2009, 115, 441–448. [Google Scholar] [CrossRef]
- Cimpoiu, C.; Cristea, V.M.; Hosu, A.; Sandru, M.; Seserman, L. Antioxidant activity prediction and classification of some teas using artificial neural networks. Food Chem. 2011, 127, 1323–1328. [Google Scholar] [CrossRef] [PubMed]
- Joubert, E.; de Beer, D. Phenolic content and antioxidant activity of rooibos food ingredient extracts. J. Food Compos. Anal. 2012, 27, 45–51. [Google Scholar] [CrossRef]
- Epure, A.; Oniga, I.; Benedec, D.; Hanganu, D.; Gheldiu, A.M.; Toiu, A.; Vlase, L. Chemical analysis and antioxidant activity of some rooibos tea products. Farmacia 2019, 67, 963–966. [Google Scholar] [CrossRef] [Green Version]
- Von Gadow, A.; Joubert, E.; Hansmann, C. Comparison of the antioxidant activity of rooibos tea (Aspalathus linearis) with green, oolong and black tea. Food Chem. 1997, 60, 73–77. [Google Scholar] [CrossRef]
- von Gadow, A.; Joubert, E.; Hansmann, C.F. Comparison of the antioxidant activity of aspalathin with that of other plant phenols of rooibos tea (Aspalathus linearis), α-tocopherol, BHT, and BHA. J. Agric. Food Chem. 1997, 45, 632–638. [Google Scholar] [CrossRef]
- Standley, L.; Winterton, P.; Marnewick, J.L.; Gelderblom, W.C.; Joubert, E.; Britz, T.J. Influence of processing stages on antimutagenic and antioxidant potentials of rooibos tea. J. Agric. Food Chem. 2001, 49, 114–117. [Google Scholar] [CrossRef] [PubMed]
- Surveswaran, S.; Cai, Y.Z.; Corke, H.; Sun, M. Systematic evaluation of natural phenolic antioxidants from 133 Indian medicinal plants. Food Chem. 2007, 102, 938–953. [Google Scholar] [CrossRef]
- Joubert, E.; Beelders, T.; de Beer, D.; Malherbe, C.J.; de Villiers, A.J.; Sigge, G.O. Variation in phenolic content and antioxidant activity of fermented rooibos herbal tea infusions: Role of production season and quality grade. J. Agric. Food Chem. 2012, 60, 9171–9179. [Google Scholar] [CrossRef] [PubMed]
- Damiani, E.; Carloni, P.; Rocchetti, G.; Senizza, B.; Tiano, L.; Joubert, E.; de Beer, D.; Lucini, L. Impact of cold versus hot brewing on the phenolic profile and antioxidant capacity of rooibos (Aspalathus linearis) herbal tea. Antioxidants 2019, 8, 499. [Google Scholar] [CrossRef] [PubMed] [Green Version]
- Boeing, J.S.; Barizão, É.O.; e Silva, B.C.; Montanher, P.F.; de Cinque Almeida, V.; Visentainer, J.V. Evaluation of solvent effect on the extraction of phenolic compounds and antioxidant capacities from the berries: Application of principal component analysis. Chem. Cent. J. 2014, 8, 1–9. [Google Scholar] [CrossRef] [Green Version]
- Shan, B.; Cai, Y.Z.; Sun, M.; Corke, H. Antioxidant capacity of 26 spice extracts and characterization of their phenolic constituents. J. Agric. Food Chem. 2005, 53, 7749–7759. [Google Scholar] [CrossRef]
- Schulz, H.; Joubert, E.; Schütze, W. Quantification of quality parameters for reliable evaluation of green rooibos (Aspalathus linearis). Eur. Food Res. Technol. 2003, 216, 539–543. [Google Scholar] [CrossRef]
- Bramati, L.; Aquilano, F.; Pietta, P. Unfermented rooibos tea: Quantitative characterization of flavonoids by HPLC-UV and determination of the total antioxidant activity. J. Agric. Food Chem. 2003, 51, 7472–7474. [Google Scholar] [CrossRef]
- Krafczyk, N.; Woyand, F.; Glomb, M.A. Structure–antioxidant relationship of flavonoids from fermented rooibos. Mol. Nutr. Food Res. 2009, 53, 635–642. [Google Scholar] [CrossRef]
- Stander, M.A.; Van Wyk, B.E.; Taylor, M.J.; Long, H.S. Analysis of phenolic compounds in rooibos tea (Aspalathus linearis) with a comparison of flavonoid-based compounds in natural populations of plants from different regions. J. Agric. Food Chem. 2017, 65, 10270–10281. [Google Scholar] [CrossRef]
- Van Heerden, F.; Van Wyk, B.E.; Viljoen, A.; Steenkamp, P. Phenolic variation in wild populations of Aspalathus linearis (rooibos tea). Biochem. Syst. Ecol. 2003, 31, 885–895. [Google Scholar] [CrossRef]
- Bramati, L.; Minoggio, M.; Gardana, C.; Simonetti, P.; Mauri, P.; Pietta, P. Quantitative characterization of flavonoid compounds in rooibos tea (Aspalathus linearis) by LC- UV/DAD. J. Agric. Food Chem. 2002, 50, 5513–5519. [Google Scholar] [CrossRef]
- Bhebhe, M.; Füller, T.N.; Chipurura, B.; Muchuweti, M. Effect of solvent type on total phenolic content and free radical scavenging activity of black tea and herbal infusions. Food Anal. Methods 2016, 9, 1060–1067. [Google Scholar] [CrossRef]
- Alothman, M.; Bhat, R.; Karim, A. Antioxidant capacity and phenolic content of selected tropical fruits from Malaysia, extracted with different solvents. Food Chem. 2009, 115, 785–788. [Google Scholar] [CrossRef]
- Turkmen, N.; Velioglu, Y.S.; Sari, F.; Polat, G. Effect of extraction conditions on measured total polyphenol contents and antioxidant and antibacterial activities of black tea. Molecules 2007, 12, 484–496. [Google Scholar] [CrossRef] [PubMed] [Green Version]
- Hilal, Y.; Engelhardt, U. Characterisation of white tea—Comparison to green and black tea. J. Verbraucherschutz Lebensm. 2007, 2, 414–421. [Google Scholar] [CrossRef]
- Youdim, K.A.; Spencer, J.P.; Schroeter, H.; Rice-Evans, C. Dietary flavonoids as potential neuroprotectants. Biol. Chem. 2002, 383, 503–519. [Google Scholar] [CrossRef]
- Santas, J.; Carbo, R.; Gordon, M.; Almajano, M. Comparison of the antioxidant activity of two Spanish onion varieties. Food Chem. 2008, 107, 1210–1216. [Google Scholar] [CrossRef]
- Chen, Q.; Guo, Z.; Zhao, J.; Ouyang, Q. Comparisons of different regressions tools in measurement of antioxidant activity in green tea using near infrared spectroscopy. J. Pharm. Biomed. Anal. 2012, 60, 92–97. [Google Scholar] [CrossRef]
- Feng, P.; Feng, L. Recent advances on antioxidant identification based on machine learning methods. Curr. Drug Metab. 2020, 21, 804–809. [Google Scholar] [CrossRef]
- Kuzmanovski, I.; Wagner, A.; Novič, M.; Martinčič, R. Development of models for prediction of the antioxidant activity of derivatives of natural compounds. Anal. Chim. Acta 2015, 868, 23–35. [Google Scholar]
- Dejanov, M.; Ilieva-Stefanova, D.; Chelik, I. Assessment the quality of apricots in the process of drying with neural networks and support vector machines. In MATEC Web of Conferences; EDP Sciences: Les Ulis, France, 2019; Volume 292, p. 03019. [Google Scholar]
- Hosu, A.; Cristea, V.M.; Cimpoiu, C. Analysis of total phenolic, flavonoids, anthocyanins and tannins content in Romanian red wines: Prediction of antioxidant activities and classification of wines using artificial neural networks. Food Chem. 2014, 150, 113–118. [Google Scholar] [CrossRef]
- da Costa, N.L.; Castro, I.A.; Barbosa, R. Classification of cabernet sauvignon from two different countries in South America by chemical compounds and support vector machines. Appl. Artif. Intell. 2016, 30, 679–689. [Google Scholar] [CrossRef]
- Wu, Z.; Xu, E.; Long, J.; Pan, X.; Xu, X.; Jin, Z.; Jiao, A. Comparison between ATR-IR, Raman, concatenated ATR-IR and Raman spectroscopy for the determination of total antioxidant capacity and total phenolic content of Chinese rice wine. Food Chem. 2016, 194, 671–679. [Google Scholar] [CrossRef] [PubMed]
- Costa, N.L.; Llobodanin, L.A.G.; Castro, I.A.; Barbosa, R. Using Support Vector Machines and neural networks to classify Merlot wines from South America. Inf. Process. Agric. 2019, 6, 265–278. [Google Scholar] [CrossRef]
- Karadžić Banjac, M.Ž.; Kovačević, S.Z.; Jevrić, L.R.; Podunavac-Kuzmanović, S.O.; Tepić Horecki, A.N.; Vidović, S.S.; Šumić, Z.M.; Ilin, Ž.M.; Adamović, B.D.; Kuljanin, T.A. Artificial neural network modeling of the antioxidant activity of lettuce submitted to different postharvest conditions. J. Food Process. Preserv. 2019, 43, e13878. [Google Scholar] [CrossRef]
- Hussein, E.A.; Ghaziasgar, M.; Thron, C. Regional Rainfall Prediction Using Support Vector Machine Classification of Large-Scale Precipitation Maps. arXiv 2020, arXiv:2007.15404. [Google Scholar]
- Hussein, E.A.; Ghaziasgar, M.; Thron, C.; Vaccari, M.; Bagula, A. Basic Statistical Estimation Outperforms Machine Learning in Monthly Prediction of Seasonal Climatic Parameters. Atmosphere 2021, 12, 539. [Google Scholar] [CrossRef]
- Mendez, K.M.; Reinke, S.N.; Broadhurst, D.I. A comparative evaluation of the generalised predictive ability of eight machine learning algorithms across ten clinical metabolomics data sets for binary classification. Metabolomics 2019, 15, 150. [Google Scholar] [CrossRef] [PubMed] [Green Version]
- Singleton, V.L.; Rossi, J.A. Colorimetry of total phenolics with phosphomolybdic-phosphotungstic acid reagents. Am. J. Enol. Vitic. 1965, 16, 144–158. [Google Scholar]
- Re, R.; Pellegrini, N.; Proteggente, A.; Pannala, A.; Yang, M.; Rice-Evans, C. Antioxidant activity applying an improved ABTS radical cation decolorization assay. Free Radic. Biol. Med. 1999, 26, 1231–1237. [Google Scholar] [CrossRef]
- Benzie, I.F.; Strain, J.J. The ferric reducing ability of plasma (FRAP) as a measure of “antioxidant power”: The FRAP assay. Anal. Biochem. 1996, 239, 70–76. [Google Scholar] [CrossRef] [Green Version]
- Gath, E.G.; Hayes, K. Bounds for the largest Mahalanobis distance. Linear Algebra Its Appl. 2006, 419, 93–106. [Google Scholar] [CrossRef] [Green Version]
- Aguasca-Colomo, R.; Castellanos-Nieves, D.; Méndez, M. Comparative analysis of rainfall prediction models using machine learning in islands with complex orography: Tenerife Island. Appl. Sci. 2019, 9, 4931. [Google Scholar] [CrossRef] [Green Version]
- Yu, P.S.; Yang, T.C.; Chen, S.Y.; Kuo, C.M.; Tseng, H.W. Comparison of random forests and support vector machine for real-time radar-derived rainfall forecasting. J. Hydrol. 2017, 552, 92–104. [Google Scholar] [CrossRef]
- Zainudin, S.; Jasim, D.S.; Bakar, A.A. Comparative analysis of data mining techniques for Malaysian rainfall prediction. Int. J. Adv. Sci. Eng. Inf. Technol. 2016, 6, 1148–1153. [Google Scholar] [CrossRef]
- Purushotham, S.; Meng, C.; Che, Z.; Liu, Y. Benchmarking deep learning models on large healthcare datasets. J. Biomed. Inform. 2018, 83, 112–134. [Google Scholar] [CrossRef] [PubMed]
- Leming, M.; Górriz, J.M.; Suckling, J. Ensemble deep learning on large, mixed-site fMRI datasets in autism and other tasks. arXiv 2020, arXiv:2002.07874. [Google Scholar] [CrossRef] [PubMed] [Green Version]
- Chen, X.W.; Lin, X. Big data deep learning: Challenges and perspectives. IEEE Access 2014, 2, 514–525. [Google Scholar] [CrossRef]
- Zhang, Q.; Yang, L.T.; Chen, Z.; Li, P. A survey on deep learning for big data. Inf. Fusion 2018, 42, 146–157. [Google Scholar] [CrossRef]
- Buitinck, L.; Louppe, G.; Blondel, M.; Pedregosa, F.; Mueller, A.; Grisel, O.; Niculae, V.; Prettenhofer, P.; Gramfort, A.; Grobler, J.; et al. API design for machine learning software: Experiences from the scikit-learn project. arXiv 2013, arXiv:1309.0238. [Google Scholar]
- Chicco, D.; Jurman, G. The advantages of the Matthews correlation coefficient (MCC) over F1 score and accuracy in binary classification evaluation. BMC Genom. 2020, 21, 6. [Google Scholar] [CrossRef] [Green Version]
- Subair, S.; Thron, C. Receiver Operating Characteristic Curves in Binary Classification of Protein Secondary Structure Data. In Implementations and Applications of Machine Learning; Springer: Cham, Switzerland, 2020; pp. 245–253. [Google Scholar]
- Joubert, E.; Winterton, P.; Britz, T.J.; Gelderblom, W.C. Antioxidant and pro-oxidant activities of aqueous extracts and crude polyphenolic fractions of rooibos (Aspalathus linearis). J. Agric. Food Chem. 2005, 53, 10260–10267. [Google Scholar] [CrossRef]
- Carlsen, M.H.; Halvorsen, B.L.; Holte, K.; Bøhn, S.K.; Dragland, S.; Sampson, L.; Willey, C.; Senoo, H.; Umezono, Y.; Sanada, C.; et al. The total antioxidant content of more than 3100 foods, beverages, spices, herbs and supplements used worldwide. Nutr. J. 2010, 9, 1–11. [Google Scholar] [CrossRef] [PubMed]
- Krafczyk, N.; Heinrich, T.; Porzel, A.; Glomb, M.A. Oxidation of the dihydrochalcone aspalathin leads to dimerization. J. Agric. Food Chem. 2009, 57, 6838–6843. [Google Scholar] [CrossRef] [PubMed]
- Mertens, N.; Heymann, T.; Glomb, M.A. Oxidative Fragmentation of Aspalathin Leads to the Formation of Dihydrocaffeic Acid and the Related Lysine Amide Adduct. J. Agric. Food Chem. 2020, 68, 13111–13120. [Google Scholar] [CrossRef]
- Miller, N.; De Beer, D.; Aucamp, M.; Malherbe, C.J.; Joubert, E. Inulin as microencapsulating agent improves physicochemical properties of spray-dried aspalathin-rich green rooibos (Aspalathus linearis) extract with α-glucosidase inhibitory activity. J. Funct. Foods 2018, 48, 400–409. [Google Scholar] [CrossRef]
- Turkmen, N.; Sari, F.; Velioglu, Y.S. Effects of extraction solvents on concentration and antioxidant activity of black and black mate tea polyphenols determined by ferrous tartrate and Folin–Ciocalteu methods. Food Chem. 2006, 99, 835–841. [Google Scholar] [CrossRef]
- Azeez, L.; Oyedeji, A.O.; Adebisi, S.A.; Adejumo, A.L.; Tijani, K.O. Chemical components retention and modelling of antioxidant activity using neural networks in oven dried tomato slices with and without osmotic dehydration pre-treatment. J. Food Meas. Charact. 2017, 11, 2247–2258. [Google Scholar] [CrossRef]
- Cerit, İ.; Yildirim, A.; Ucar, M.K.; Demirkol, A.; Cosansu, S.; Demirkol, O. Estimation of antioxidant activity of foods using artificial neural networks. J. Food Nutr. Res. 2017, 56. [Google Scholar]
- Kundu, P.K.; Kundu, M. Classification of tea samples using SVM as machine learning component of E-tongue. In Proceedings of the 2016 International Conference on Intelligent Control Power and Instrumentation (ICICPI), Kolkata, India, 21–23 October 2016; pp. 56–60. [Google Scholar]












| Var 1 | Var 2 | FR/UFR | Solvent | R2 | p-Value | |
|---|---|---|---|---|---|---|
| TPC | TEAC | UFR | H2O | 0.973 | 0.032 | <1 × 10−10 |
| TPC | FRAP | UFR | H2O | 0.929 | 0.051 | <1 × 10−10 |
| TEAC | FRAP | UFR | H2O | 0.922 | 0.054 | <1 × 10−10 |
| TPC | TEAC | FR | H2O | 0.919 | 0.055 | <1 × 10−10 |
| TPC | FRAP | FR | H2O | 0.934 | 0.050 | <1 × 10−10 |
| TEAC | FRAP | FR | H2O | 0.928 | 0.052 | <1 × 10−10 |
| TPC | TEAC | UFR | MeOH | 0.219 | 0.137 | 0.110 |
| TPC | FRAP | UFR | MeOH | 0.116 | 0.139 | 0.404 |
| TEAC | FRAP | UFR | MeOH | 0.708 | 0.099 | <1 × 10−10 |
| TPC | TEAC | FR | MeOH | 0.691 | 0.101 | <1 × 10−10 |
| TPC | FRAP | FR | MeOH | 0.212 | 0.139 | 0.122 |
| TEAC | FRAP | FR | MeOH | −0.012 | 0.140 | 0.929 |
| UFR Water | UFR Methanol | |||||
| TPC 1 | TEAC 2 | FRAP 3 | TPC 1 | TEAC 2 | FRAP 3 | |
| min | 179.04 | 1672.29 | 338.90 | 208.46 | 1826.69 | 585.304 |
| max | 433.09 | 3549.76 | 949.89 | 414.29 | 2821.88 | 1473.89 |
| median | 274.07 | 2415.17 | 538.32 | 297.84 | 2396.97 | 885.732 |
| average | 282.08 | 2443.58 | 538.78 | 302.66 | 2421.41 | 899.17 |
| FR Water | FR Methanol | |||||
| TPC 1 | TEAC 2 | FRAP 3 | TPC 1 | TEAC 2 | FRAP 3 | |
| min | 174.04 | 1904.19 | 360.61 | 190.16 | 1210.58 | 460.310 |
| max | 558.41 | 5133.38 | 1306.71 | 300.242 | 2260.94 | 925.56 |
| median | 269.43 | 2834.59 | 631.67 | 259.481 | 2013.77 | 609.915 |
| average | 278.89 | 2871.18 | 647.50 | 256.815 | 1965.38 | 622.654 |
Publisher’s Note: MDPI stays neutral with regard to jurisdictional claims in published maps and institutional affiliations. |
© 2021 by the authors. Licensee MDPI, Basel, Switzerland. This article is an open access article distributed under the terms and conditions of the Creative Commons Attribution (CC BY) license (https://creativecommons.org/licenses/by/4.0/).
Share and Cite
Hussein, E.A.; Thron, C.; Ghaziasgar, M.; Vaccari, M.; Marnewick, J.L.; Hussein, A.A. Comparison of Phenolic Content and Antioxidant Activity for Fermented and Unfermented Rooibos Samples Extracted with Water and Methanol. Plants 2022, 11, 16. https://doi.org/10.3390/plants11010016
Hussein EA, Thron C, Ghaziasgar M, Vaccari M, Marnewick JL, Hussein AA. Comparison of Phenolic Content and Antioxidant Activity for Fermented and Unfermented Rooibos Samples Extracted with Water and Methanol. Plants. 2022; 11(1):16. https://doi.org/10.3390/plants11010016
Chicago/Turabian StyleHussein, Eslam A., Christopher Thron, Mehrdad Ghaziasgar, Mattia Vaccari, Jeanine L. Marnewick, and Ahmed A. Hussein. 2022. "Comparison of Phenolic Content and Antioxidant Activity for Fermented and Unfermented Rooibos Samples Extracted with Water and Methanol" Plants 11, no. 1: 16. https://doi.org/10.3390/plants11010016
APA StyleHussein, E. A., Thron, C., Ghaziasgar, M., Vaccari, M., Marnewick, J. L., & Hussein, A. A. (2022). Comparison of Phenolic Content and Antioxidant Activity for Fermented and Unfermented Rooibos Samples Extracted with Water and Methanol. Plants, 11(1), 16. https://doi.org/10.3390/plants11010016

