Next Article in Journal
Genotyping-by-Sequencing Defines Genetic Structure within the “Acquaviva” Red Onion Landrace
Next Article in Special Issue
Improvement of German Chamomile (Matricaria recutita L.) for Mechanical Harvesting, High Flower Yield and Essential Oil Content Using Physical and Chemical Mutagenesis
Previous Article in Journal
Advancement in the Breeding, Biotechnological and Genomic Tools towards Development of Durable Genetic Resistance against the Rice Blast Disease
 
 
Font Type:
Arial Georgia Verdana
Font Size:
Aa Aa Aa
Line Spacing:
Column Width:
Background:
Article

NADES Compounds Identified in Hypoxis hemerocallidea Corms during Dormancy

by
Motiki M. Mofokeng
1,2,*,
Gerhard Prinsloo
3,
Hintsa T. Araya
1,*,
Stephen O. Amoo
1,4,*,
Christian P. du Plooy
1 and
Phatu W. Mashela
2
1
Agricultural Research Council—Vegetable, Industrial and Medicinal Plants (ARC-VIMP), Private Bag X293, Pretoria 0001, South Africa
2
Green Technologies Research Centre, University of Limpopo, Private Bag X1106, Sovenga 0727, South Africa
3
Department of Agriculture and Animal Health, University of South Africa, Private Bag X6, Johannesburg 1710, South Africa
4
Department of Botany and Plant Biotechnology, University of Johannesburg, P.O. Box 524, Auckland Park, Johannesburg 2006, South Africa
*
Authors to whom correspondence should be addressed.
Plants 2022, 11(18), 2387; https://doi.org/10.3390/plants11182387
Submission received: 6 August 2022 / Revised: 6 September 2022 / Accepted: 6 September 2022 / Published: 13 September 2022
(This article belongs to the Special Issue Propagation and Cultivation of Medicinal Plants)

Abstract

Soaking Hypoxis hemerocallidea corms in distilled water improved the propagation and development of cormlets, suggesting the potential leaching-out of inhibitory chemical compounds. To investigate the presence of inhibitory compounds, nuclear magnetic resonance (NMR) spectral data of the leachate from dormant H. hemerocallidea corms were obtained using a 600 MHz 1H-NMR spectrometer. The 1H-NMR analysis led to the identification of choline, succinate, propylene glycol, and lactose, as inhibitory compounds. These four chemical compounds are part of the “Natural Deep Eutectic Solvents” (NADES) that protect plant cells during stress periods, each of which has the potential to inhibit bud growth and development. These compounds are supposedly leached out of the corms during the first rain under natural conditions, possibly accompanied by changes in the ratios of dormancy-breaking phytohormones and inhibitory compounds, to release bud dormancy. The identified chemical compounds heralded a novel frontier in the vegetative propagation of H. hemerocallidea as a medicinal plant, and for its enhanced sustainable uses.

Graphical Abstract

1. Introduction

Plant growth regulators (PGRs) play critical roles in plant growth and development; however, certain endogenous chemicals interfere with the synthesis, transport, or action of PGRs, and they are technically referred to as growth inhibitors or retardants [1]. Plant growth regulators such as abscisic acid (ABA) induce and maintain dormancy in buds and seeds of various plant species, whereas ethylene has antagonistic effects on the growth-promoting gibberellic acid (GA3) [2]. Similarly, certain sugars have the ability to prevent the perception of GA3, in what had since been referred to as sugar-PGR ‘cross-talking’, thus serving as growth inhibitors [2]. Lactose, for example, had inhibitory effects on the micropropagation of turmeric [3]. During dormancy, underground organs of most plants undergo metabolic changes such as altered sugar concentrations, and the accumulation of free amino acids, compatible solutes, and other chemical compounds [4]. Compatible solutes, which are also called osmoprotectants, are synthesised during dehydration to enhance plant stress tolerance [5]. For example, chlorocholine chloride (CCC) inhibits growth [6], whereas choline induces stress tolerance in most plants [7]. Chlorocholine chloride was also reported to have a protective effect on stevia plants grown under drought stress, by inhibiting gibberellin biosynthesis [8]. Succinate, which accumulates in various organs when plants are exposed to water stress [9], could play a role in dormancy sustenance. Drought tolerance in plant species, as induced in plants starting to experience winter dormancy, correlates with the induction of sugars and is generally believed to be involved in the formation of “Natural Deep Eutectic Solvents” (NADES) such as cholines, prolines, and other organic acids [10]. The NADES are special mixtures of solids that remain in a liquid state at and below ambient temperatures, with physiological significance in plants due to their unique properties of solubilising other metabolites and bioactive constituents [11]. Natural compounds synthesised in plants can have inhibitory or stimulatory effects on various plant species. Aqueous extracts of peppermint limited seed germination of select vegetable and cereal seeds, except for Phaseolus vulgaris and Zea mays seeds, in which the extracts had a stimulatory effect [12]. Palacios et al. [13], screened 71 plant extracts for their inhibitory effects on common oats and wild radish, with some of the extracts exhibiting from 80 to 100% inhibition on germination.
Hypoxis hemerocallidea Fisch. & C.A. Mey. (Hypoxidaceae) is one of the indigenous South African medicinal plants that has generated interest for product development, both locally and internationally and, therefore, is one of the heritage plant species [14]. The corm of H. hemerocallidea enables the plant to survive cold conditions and drought. Under such conditions, leaf senescence and plant dormancy are observed [15]. Some phytochemicals from H. hemerocallidea corms including daucosterols, beta-sitosterol, and hypoxide have been associated with the therapeutic activities of this plant [16]. Hypoxis hemerocallidea is a common ingredient of popular herbal remedies consumed by people living with HIV/AIDS in South Africa as an immune booster [17,18,19]. The plant is also used for the potential treatment of bronchial asthma [20], cancer [21,22], and certain sexually transmitted diseases [23,24]. In the light of its current high demand coupled with its unsustainable methods of harvesting from the wild, the conservation of this plant has become very important for ensuring its survival and sustainable use. Affordable propagation methods, such as chipping and scooping to remove the correlative inhibition from the apical buds [25], were developed and found to be successful for the development of cormlets [26].
Soaking H. hemerocallidea “mother corms” in distilled water for 120 min improved the development of cormlets [27], suggesting the potential leaching of inhibitory chemical compounds. The endogenous PGR content and their balance in plants are essential for achieving desired morphological responses, such as root and shoot regeneration, along with subsequent growth and development [25]. Generally, H. hemerocallidea corms are dormant in winter and sprout as soon as they receive rain. The breaking of corm dormancy resulting in corm sprouting could be due to a leaching effect of the rain on corm-endogenous inhibitory compounds. The nature of such inhibitory chemicals in H. hemerocallidea corms had not been investigated. The objective of this study, therefore, was to investigate the presence of, and to identify, leachable inhibitory chemical compounds in dormant H. hemerocallidea “mother corms”.

2. Results

The 1H-NMR spectrum (Figure 1) illustrated the metabolite profile of the leachate from H. hemerocallidea corms.
Four chemical compounds annotated from the leachate with potential inhibitory or growth-retarding effects were numbered 1, 2, 3, and 4, with 1 and 2 representing organic acids, whereas 3 represented peaks of the sugar region, and 4, the peaks for propylene glycol (Figure 2).
The annotation of the identified chemical compounds, with the published NMR chemical shifts, and the Chenomx and human metabolome database spectral regions or chemical shifts are summarised in Table 1. Chemical compound 1, annotated as choline, had a chemical shift at 3.192 ppm. Chemical compound 2, annotated as succinate, had a chemical shift at 2.42 ppm, and compound 3, annotated as lactose, showed peaks in the sugar region at 3.28, 3.55, 3.75, 3.85, 3.95 and the anomeric proton at 5.12 ppm. Compound 4, annotated as propylene glycol had a chemical shift for a doublet at 1.14 and 1.16 ppm, and other peaks at 3.4 and 3.5 ppm. The spiking of the leachate with the pure standards of propylene glycol (Figures S1–S3), succinate (Figures S4 and S5), choline (Figure S6), lactose (Figures S7 and S8), aligned with identified peaks. The presence of gallic acid could not be confirmed as the peaks of the leachate sample and the pure standard of gallic acid did not align (Figure S9).
Using 3-(trimethylsilyl)propionic acid sodium salt (TSP) at 0.1% as a reference compound, the compounds were quantified using the signature peaks for each compound. Lactose was found to be high in concentration and propylene glycol was the lowest (Table 2).
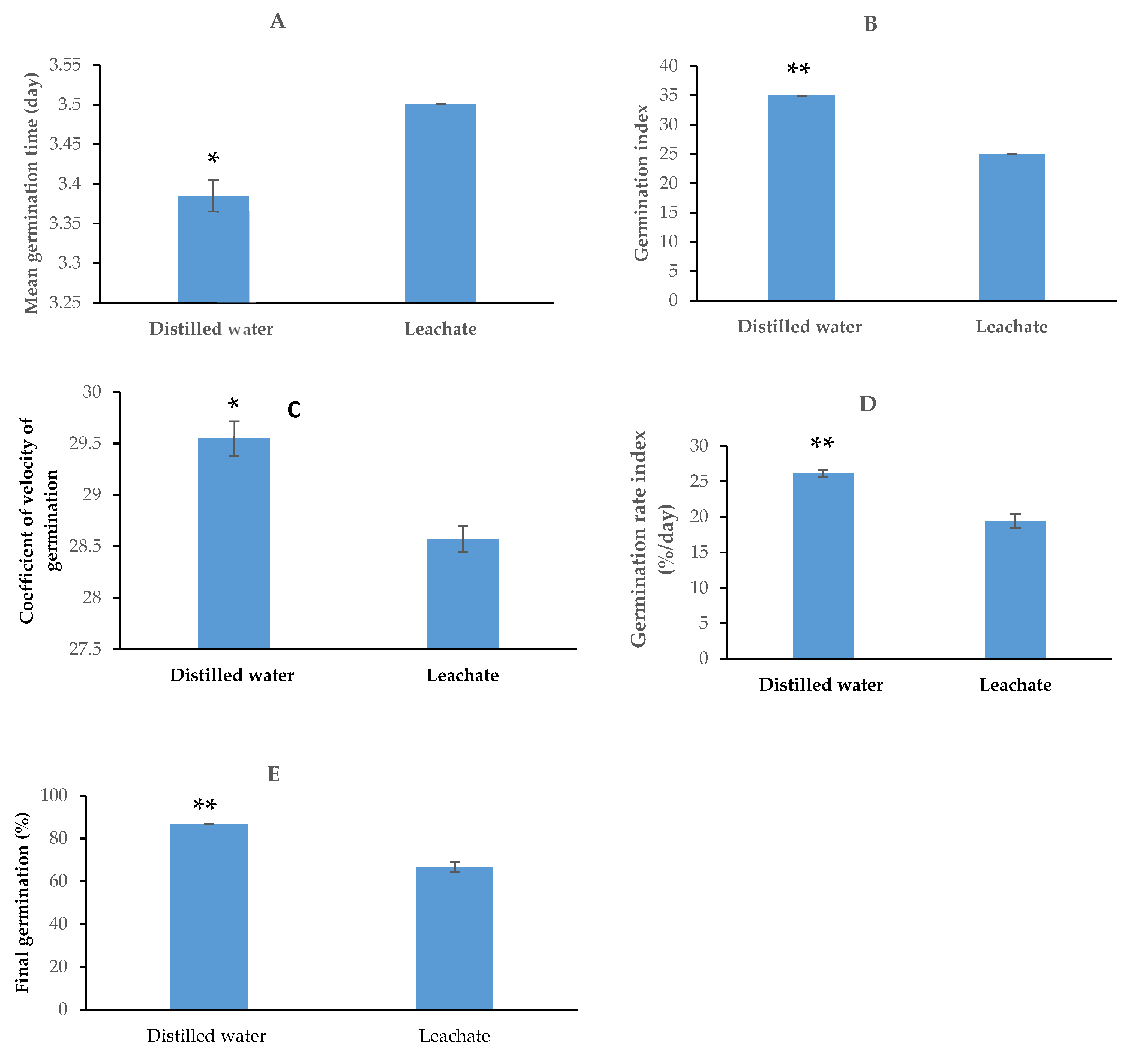
The significant inhibitory effect of the H. hemerocallidea leachate was demonstrated through tomato seed germination. A 23% reduction in the final germination percentage was recorded in leachate-treated seeds in comparison to the control (seeds germinated with distilled water) (Figure 3). The seeds exposed to the leachate also showed comparatively slow germination, as indicated by the significantly increased mean germination time recorded. The lower the mean germination time, the faster the germination. Moreover, the germination index, coefficient of velocity of germination, and germination rate index were all significantly reduced by the leachate treatment.

3. Discussion

Analysis of the leachate from H. hemerocallidea corms submerged in distilled water led to the identification of four main chemical compounds, namely, choline, succinate, propylene glycol, and lactose, each with the potential to inhibit bud growth and development [6,8,30]. Choline has growth-retarding effects on various plants and generally inhibits the synthesis of GA3, renowned for its dormancy-breaking effects [31]. Chlorocholine-chloride (CCC) and acetylcholine, both having similar chemical structures to that of choline, have strong inhibitory effects on the growth of many plants, although their content is influenced by environmental conditions and plant developmental phases [6]. Choline was reported to be a neurotransmitter as a component of acetylcholine and its role is facilitated by a set of enzymes and receptors linked to acetylcholine as a neuronal mediator involved in plant physiological processes [6]. Chlorocholine chloride inhibited the (−)-kaurene synthesis, an intermediate in GA3 synthesis, thus inhibiting plant growth and development [32,33,34]. The effect of acetylcholine has been linked to its regulation of ionic fluxes [35] by intervening with the functions of potassium cations (K+), thus affecting the root to shoot growth [36]. For example, corms of Gladiolus tristis L. exposed to 1% KNO3 sprouted in 23 days compared to 45 days it took in the control treatment [37], a possible indication that potassium could be critical in inducing corm bud development and that choline’s effect on the K+/Na+ ratio could induce bud dormancy in the corms of the test plant. Generally, CCC had inhibitory effects on the sprouting of saffron corms compared with the bud breaking effects of GA3 [30].
Cutting the H. hemerocallidea corms to expose the reproductive buds and soaking in water, improved the development of cormlets, to a similar extent as soaking in GA3 [26]. Since H. hemerocallidea plants are dormant in winter, choline could act as a neurotransmitter in the corms by sending signals to induce underground bud dormancy under changing environmental conditions, as it is highly concentrated in meristematic and differentiating tissue [38]. For example, through its association with phytochrome-mediated processes, choline could be involved in the circadian signalling network, which is sensitive to the photoperiod and light quality [39] or perceiving dormancy-inducing short days [40], and thus, inducing dormancy in the test plant. The onset of short days could have induced growth cessation and transition to dormancy [41] by downregulating GA3 biosynthesis through the inhibition of (−)-kaurene synthesis and upregulating the functioning of repressor genes of meristematic activity [40].
Succinate is a compound that is oxidized to fumarate in the mitochondrion during respiration [42,43]. A decrease in plant-cell respiration is linked to the reduced activity of succinate dehydrogenase (SDH), an enzyme that oxidizes succinate, thus, increasing concentrations of succinate in the mitochondrion and decreasing energy production [42]. Modified stems of most plants experience substantial metabolic changes when entering dormancy, such as decreased respiration [4,44], whereas respiration and SDH are upregulated during dormancy release [45]. The interruption of SDH activity induces signalling patterns such as high-intensity reactive oxygen species (ROS) production related to the growth and development or stress response in plant tissues [46,47,48,49,50]. The partial inhibition of SDH decreased shoot and root growth in Arabidopsis and completely blocked hypocotyl elongation and seedling establishment [42]. Succinate dehydrogenase activity in potato tubers declined during tuber maturation just before dormancy and increased during tuber initiation after dormancy release [51,52]. Succinate dehydrogenase and α-ketoglutarate dehydrogenase (KDH) mediate the regulatory action of acetylcholine in the mitochondria through parasympathetic nervous system regulation and oxidation in the mitochondria, thus, forming part of the hormonal system [53], possibly through the ‘cholinergic system’. Succinate was among the chemical compounds that increased significantly when benthi (Nicotiana benthamiana Domin) plants were under severe water stress compared to those under moderate water stress [8]. Water stress in H. hemerocallidea corms during early winter resulted in increased succinate content, thereby sustaining the dormancy state. Succinate dehydrogenase activity could have been reduced as the plant entered dormancy due to changes in photoperiod [54], thus the accumulation of succinate, which could have played a role in the signalling system. Due to the reduction in respiration rate, energy production is reduced and, thus, no growth or development was observed among the H. hemerocallidea plants.
Lactose is a specific product of the mammary gland, the detection of which has been controversial since 1949 [55]. The biosynthesis and pathway of sugar accumulation, especially lactose, during plant stress are enigmatic [56]. β-galactosidase, also called lactase, is an enzyme of microbial, plant, and animal origin that breaks down lactose into two monosaccharides, galactose and glucose [57]. In plants, β-galactosidase is mainly found in almonds, peaches, apples, and apricots, in which it plays a critical role in plant growth [57]. Changes in the activity of plant enzymes that metabolise sugars can induce accumulation in plant cells, which can be reversed when the stress factor is removed [56]. Sugars are important in metabolism-related signalling mechanisms that regulate the growth activity and dormancy cycle [58]. For example, when temperatures are low, an imbalance in energy flow from the source to the sink is created, affecting the biochemical reactions and carbohydrate metabolism in plant cells [55] through ‘rate-limiting steps’ [59]. To be fully active, β-galactosidase requires K+ or Na+ [60]. The increased accumulation of lactose in the test plant could have been due to the reduced activity of β-galactosidase, resulting in lower K+ in the plant cells and leading to reduced growth activity and the induction of the energy-release ‘rate-limiting step’. Sugars protect plant cells during dehydration by “glass formation”, where, instead of plant solutes forming crystals, the presence of sugars results in their formation of supersaturated liquids with mechanical properties of solids [61]. “Glass formation” under drought conditions could be as a result of the formation of NADES consisting of sugars, choline, and other organic acids, and it is accompanied by a decrease in chemical reactions [10]. Choline, lactose, and succinate are among other plant metabolites identified as NADES compounds [11].
Propylene glycol is an aliphatic alcohol used as a deep eutectic solvent (DES) [62,63]. Other than its use as a DES, it has applications in the cosmetic industry as a skin-conditioning agent (humectant), viscosity-decreasing agent, solvent or fragrance ingredient; as a food additive; in pharmaceutical products; electronic cigarette liquids, and manufacturing [64,65]. There is not much work reported on propylene glycol in plants and its effect on plant dormancy, which may need further investigation. Propylene glycol toxicity has been reported previously [66,67], and investigating non-toxic substitutes has been recommended [68]. Propylene glycol is usually a petroleum-based chemical, and efforts have been made to produce it from soybean and canola as an environmentally friendly alternative [69].
Tomato is one of the most commonly grown fruit vegetables by commercial, subsistence, resource-poor farmers and home gardeners in South Africa. The majority of the population consumes it in diverse ways [70]. Tomato was employed to determine the potential inhibitory effect of H. hemerocallidea leachate on plant growth. The leachate inhibited all the germination parameters/indicators recorded, in comparison to the distilled water-treated seeds. However, the extract needs to be tested on more plant seeds and on releasing dormant buds as its effect may vary between different plant species. Biologically active substances produced by plants may have selective effects on other species; they may have a complete inhibitory effect or slow [12] growth slightly. For example, out of 71 tested extracts, only Baccharis salicifolia, Ophryosporus charua, and Angelphytum aspilioides extracts inhibited germination of common oats and wild radish [13].
The identified NADES compounds may also be of significance for the plant’s medicinal uses. The presence of compounds such as succinate could explain some of the uses of H. hemerocallidea corms in traditional medicine as an immune booster. For example, in animals, succinate modulates blood pressure and immune- and blood-cell function due to its role in blood and immune signalling prerequisites for platelet aggregation [43,71]. Succinate also plays a beneficial role in the coronary artery and heart diseases and related reperfusion injuries [72]. However, succinate accumulation in the body can lead to hypertension, obesity, and liver damage [71], which could explain the reported risk of kidney damage from the prolonged oral intake of H. hemerocallidea extracts [73]. Lactose intolerance has been reported to be a problem for many individuals who cannot hydrolyse lactose in the small intestine, resulting in gut symptoms such as diarrhoea, constipation, vomiting, nausea, and others [74]. Choline, on the other hand, was found to be effective in memory enhancement and resistance to cognitive decline [75] as well as in inhibiting airway inflammation [76], indicating a new potential use of H. hemerocallidea in the treatment of asthma and neurodegenerative diseases. The production of propylene glycol from plant materials could decrease greenhouse gasses by approximately 60% [69], and it may also provide solutions to the toxicity of petroleum-based propylene glycol, which could be an advantage to the health industry.

4. Materials and Methods

4.1. Plant Material and Leachate Preparation

Mature H. hemerocallidea corms (accession number = M2010/013) were lifted from the soil in the medicinal plant genebank of the Agricultural Research Council in Roodeplaat, Pretoria, South Africa. Corms (weighing 250 g on average) were lifted in late winter (August), rinsed in distilled water to remove soil particles, blotted dry using laboratory paper towels, and further dried overnight by leaving the corms on laboratory benches. Thereafter, each corm was cut into four equal pieces (Figure 4), using a clean, sharp knife and the pieces were submerged in 250 mL distilled water in a soaking bowl for 16 h, by which the distilled water had changed colour from a clear to dark brown/blackish liquid. The corms were then removed from the soaking bowl, and the dark brown/blackish solution was collected for analysis.

4.2. Reagents

Deuterated methanol, potassium dihydrogen phosphate, and 3-(trimethylsilyl)propionic acid sodium salt (TSP) were obtained from Merck Life Science (Pty) Ltd. (Modderfontein, South Africa). Pure standards of succinate (≥98% purity), lactose (≥98% purity), propylene glycol (99% purity), gallic acid (≥99% purity), and choline (≥99% purity) were also obtained from Merck Life Science (Pty) Ltd. (Modderfontein, South Africa).

4.3. Leachate Analysis and Compound Identification

The 250 mL leachate was dried in a SpeedVacTM vacuum concentrator (ThermoFisher Scientific, Waltham, MA, USA) for 24 h, with a 50 mg dried sample weighed out into 2 mL Eppendorf tubes for extraction and analysis. Thereafter, 0.75 mL methanol-d4 (CD3OD) and potassium dihydrogen phosphate (KH2PO4), buffered in deuterium water (D2O) (pH 6.0), containing 0.1% (w/w) 3-(trimethylsilyl)propionic acid sodium salt (TSP), were added to samples. The mixtures were vortexed at room temperature for 1 min, ultra-sonicated for 20 min, and then centrifuged for another 20 min at 10,000 rpm. The supernatant from each tube was transferred to a 5 mm nuclear magnetic resonance (NMR) tube (Norell, Sigma-Aldrich, St. Louis, MO, USA) for analysis. The NMR spectral data were obtained using a 600 MHz 1H-NMR spectrometer (Varian Inc., Santa Clara, CA, USA), with 32 scans recorded. The human metabolome [77], Chenomx, and other references were used for the annotation of compounds present in the leachate.
To confirm the annotated compounds, samples were spiked with pure standards of succinate, lactose, propylene glycol, gallic acid, and choline with subsequent NMR analysis. For this analysis, 100 mg of leachate was extracted with 0.75 mL methanol-d4 (CD3OD) and KH2PO4, buffered in D2O (pH 6.0), containing 0.1% (w/w) TSP. This was repeated to yield five NMR tubes (one control and four tubes for each of the standard compounds). In each tube, 500 µL of the extract was added. Different standards of lactose (0.684 mg/mL), choline (0.1 mg/mL), succinate (190.240 mg/mL), gallic acid (0.018 mg/mL), and propylene glycol (0.2 mL/mL) were prepared in 0.75 mL methanol-d4 (CD3OD) and KH2PO4, buffered in D2O (pH 6.0), containing 0.1% (w/w) TSP, and 500 µL of each standard solution was added to one of the NMR tubes containing the leachate extract. The final volume per NMR tube was, therefore, 1 mL, except for the control sample that only contained 500 µL of the leachate extract. An increase in the heights of the peaks of the annotated compounds was considered as confirmation of the presence of the compounds in the leachate at identification level 1 [78].

4.4. Compound Quantification

The compounds identified in the study were quantified using the software Chenomx (Chenomx, Edmonton, AB, Canada). This software matches compounds to comprehensive spectral reference libraries to identify compounds but also to accurately measure concentrations of compounds in an NMR sample. TSP (0.1%) was used as reference standard in the quantification of succinate, propylene glycol, lactose, and choline. For each compound, signature peaks were identified as those that did not overlap with other peaks and were positively identified as peaks belonging to the compounds after the spiking of the compounds with pure standards. The concentrations and signature peaks are provided in Table 2.

4.5. Effect of Hypoxis Hemerocallidea Leachate on Tomato Seed Germination

Seeds of a determinate tomato (Solanum lycopersicum L.) variety, Floradade, were procured from the local market. Twenty-five seeds, replicated three times, were placed in each petri dish (90 mm diameter) lined with filter paper moistened with the leachate or distilled water. The seeds were exposed to H. hemerocallidea leachate prepared as described in Section 4.1 above, by adding 5 mL of the leachate into each petri dish. As a control, another set of seeds was treated with 5 mL of distilled water. The petri dishes were placed randomly in a growth chamber set at a constant temperature of 25 °C and in a constant state of darkness for five days. An additional 2 mL of the leachate or distilled water was added to the respective petri dishes on day four of the experiment to avoid the drying of the seeds.
Seed germination data were collected on a daily basis beginning from the first day after setting up the experiment. The final germination percentage, mean germination time, germination index, germination rate index, and coefficient of velocity of germination were calculated using the following formulae [79,80]:
Final germination percentage (FGP) = Final number of germinated seeds in a seed lot × 100
Mean germination time (MGT) = ∑f∙x/∑f
where f = number of seeds germinated on day x.
Germination index (GI) = (5 × n1) + (4 × n2) + … + (1 × n5)
where n1, n2…n4 = number of germinated seeds on the first, second, and subsequent days until the last day of counting; 5, 4… represent the weights given to the number of germinated seeds on the first, second, and subsequent days, respectively.
Germination rate index (GRI) = [(G1/1) + (G2/2) + … + (Gt/t)]
where G1, G2, and Gt represent the percentage of seed germination on day 1, 2, and t.
Coefficient of velocity of germination (CVG) = 100 × ∑Ni/∑NiTi
where Ni = number of germinated seeds per day, Ti = number of days from start of the experiment.
The data were subjected to a two-sample t-test using Genstat® 64-bit Release 21.1 (PC/Windows 8-10, ver. 21.1, VSN, Rothamsted, UK).

5. Conclusions

Hypoxis hemerocallidea plants are generally dormant in the winter due to low soil moisture and decreasing temperatures, among other factors. The dormant state starts with leaf senescence, during which the lactose content could increase. Under natural conditions, the NADES compounds could be leached out by rainfall, resulting in increased concentrations or ratio of dormancy-breaking hormones. This correlates with exposure to distilled water through the soaking of corms, as applied in the current study. The study is the first to successfully identify four compounds that could have an inhibitory effect on the growth and development of H. hemerocallidea corms. Choline, lactose, propylene glycol, and succinate are reported to be part of NADES compounds that protect plant cells during stress period. The four growth-retarding compounds were leached out of the corms, possibly resulting in a balanced hormonal concentration for breaking bud dormancy and for cormlet development. The harvesting period of H. hemerocallidea corms could be critical in medicinal use since higher succinate concentrations could lead to kidney damage, whereas lactose could be problematic for lactose-intolerant individuals. However, there are some therapeutic benefits of the compounds that need to be further investigated. The possibility of producing an alternative to the petroleum-based propylene glycol, which may be less toxic, also warrants further investigations.

Supplementary Materials

The following supporting information can be downloaded at: https://www.mdpi.com/article/10.3390/plants11182387/s1, Figure S1: Spiking of the leachate (red) with the standard of propylene glycol; Figure S2: Spiking of the leachate (red) sample with propylene glycol with the peaks aligned at 4.24, 3.44, 43.46, 3.49, 3.50, and 3.53 ppm; Figure S3: Spiking of the leachate (red) sample with propylene glycol showing alignment of the peaks at 1.15 and 1.16 ppm; Figure S4: Spiking of the leachate sample with the pure standard of succinate; Figure S5: Spiking of the leachate sample (red) with the pure standard of succinate showing alignment of the peak at 2.43 ppm; Figure S6: Spiking of the leachate sample with choline; Figure S7: Spiking of the leachate sample (red) with lactose; Figure S8: Anomeric proton peak of lactose at 5.17 ppm; Figure S9: The leachate extract (red) spiked with gallic acid.

Author Contributions

Conceptualization, methodology, investigations, M.M.M., H.T.A. and G.P.; Analysis and validation, G.P. and M.M.M.; Writing—original draft, M.M.M. and G.P.; Writing—review and editing, H.T.A., S.O.A., C.P.d.P., and P.W.M.; Resources—S.O.A.; Supervision—P.W.M. All authors have read and agreed to the published version of the manuscript.

Funding

The Department of Science and Innovation (South Africa) and the National Research Foundation (Grant No: 119286) are acknowledged for funding the work.

Institutional Review Board Statement

Not applicable.

Informed Consent Statement

Not applicable.

Data Availability Statement

The data presented in this study are openly available in Mendeley database; Prinsloo, Gerhard; Mofokeng, Meshack (2022), “Hypoxis leachate”, Mendeley Data, V1, doi: 10.17632/z4wt4jpdd8.1.

Acknowledgments

The authors would like to thank the Medicinal Plant Research Team at the Agricultural Research Council—Vegetable, Industrial, and Medicinal Plants for their support during the study. At the same time, the University of South Africa NMR technical team is also acknowledged for their support in the study.

Conflicts of Interest

The authors declare no conflict of interest.

References

  1. Gaspar, T.; Kevers, C.; Penel, C.; Greppin, H.; Reid, D.M.; Thorpe, T.A. Plant hormones and growth regulators in plant tissues culture. Vitro Cell Dev. Biol. Plant 1996, 32, 272–289. [Google Scholar] [CrossRef]
  2. Gillespie, L.M.; Volaire, F.A. Are winter and summer dormancy symmetrical seasonal adaptive strategies? The case of temperate herbaceous perennials. Ann. Bot. 2017, 119, 311–323. [Google Scholar] [CrossRef] [PubMed]
  3. Salvi, N.D.; George, L.; Eapen, S. Micropropagation and field evaluation of micropropagated plants of turmeric. Plant Cell Tissue Organ Cult. 2002, 68, 143–151. [Google Scholar] [CrossRef]
  4. Shane, M.W.; McCully, M.E.; Canny, M.J.; Pate, J.S.; Ngo, H.; Mathesius, U.; Cawthray, G.R.; Lambers, H. Summer dormancy and winter growth: Root survival strategy in a perennial monocotyledon. New Phytol. 2009, 183, 1085–1096. [Google Scholar] [CrossRef] [PubMed]
  5. Zhang, H.; Murzello, C.; Sun, Y.; Kim, M.-S.; Xie, X.; Jeter, R.M.; Zak, J.C.; Dowd, S.E.; Paré, P.W. Choline and osmotic-stress tolerance induced in Arabidopsis by the soil microbe Bacillus subtilis (GB03). Mol. Plant Microbe Interact. 2010, 23, 1097–1104. [Google Scholar] [CrossRef]
  6. Tretyn, A.; Kendrick, R.E. Acetylcholine in plants: Presence, metabolism and mechanical action. Bot. Rev. 1991, 57, 33–73. [Google Scholar] [CrossRef]
  7. Mohammed, A.R.; Tarpley, L. Effects of high night temperature on crop physiology and productivity: Plant growth regulators provide a management option. In Global Warming Impacts—Case Studies on the Economy, Human Health, and on Urban and Natural Environments; Casalegno, S., Ed.; InTech Open Limited: Rijeka, Slovakia, 2011; pp. 153–172. [Google Scholar]
  8. Karimi, M.; Ahmadi, A.; Hashemi, J.; Abbasi, A.; Tavarini, S.; Pompeiano, A.; Guglielminetti, L.; Angelini, L.G. Plant growth retardants (PGRs) affect growth and secondary metabolite biosynthesis in Stevia rebaudiana Bertoni under drought stress. S. Afr. J. Bot. 2019, 121, 394–401. [Google Scholar] [CrossRef]
  9. Dastogeer, K.M.G.; Li, H.; Sivasithamparam, K.; Jones, M.G.K.; Du, X.; Ren, Y.; Wylie, S.J. Metabolomic responses of endophytic Nicotiana benthamiana plants experiencing water stress. Environ. Exp. Bot. 2017, 143, 59–71. [Google Scholar] [CrossRef]
  10. Choi, Y.H.; Van Spronsen, J.; Dai, Y.; Verberne, M.; Hollmann, F.; Arends, I.W.C.E.; Witkamp, G.-J.; Verpoorte, R. Are natural deep eutectic solvents the missing link in understanding cellular metabolism and physiology? Plant Physiol. 2011, 156, 1701–1705. [Google Scholar] [CrossRef]
  11. Liu, Y.; Garzon, J.; Friesen, J.B.; Zhang, Y.; McAlpine, J.B.; Lankin, D.C.; Chen, S.N.; Pauli, G.F. Counter current assisted quantitative recovery of metabolites from plant-associated natural deep eutectic solvents. Fitoterapia 2016, 112, 30–37. [Google Scholar] [CrossRef]
  12. Możdżeń, K.; Barabasz-Krasny, B.; Stachurska-Swakoń, A.; Zandi, P.; Puła, J. Effect of aqueous extracts of perppermint (Mentha × piperita L.) on the germination and the growth of selected vegetable and cereal seeds. Not. Bot. Horti. Agrobot. Cluj-Napoca 2019, 47, 412–417. [Google Scholar] [CrossRef]
  13. Palacios, S.M.; Del Corral, S.; Carpinella, M.C.; Ruiz, G. Screening for natural inhibitors of germination and seedling growth in native plants from Central Argentina. Ind. Crops Prod. 2010, 32, 674–677. [Google Scholar] [CrossRef]
  14. Van Wyk, B.E. A broad review of commercially important southern African medicinal plants. J. Ethnopharmacol. 2008, 119, 342–355. [Google Scholar] [CrossRef]
  15. Mofokeng, M.M.; Araya, H.T.; Amoo, S.O.; du Plooy, C.P.; Mashela, P.W. Hypoxis hemerocallidea cormlet production in response to corm cutting and exogenous application of plant growth regulators. Hortic. Environ. Biotechnol. 2020, 61, 939–948. [Google Scholar] [CrossRef]
  16. Goboza, M.; Aboua, Y.G.; Meyer, S.; Oguntibeju, O.O. Diabetes mellitus: Economic and health burden, treatment and the therapeutical effects of Hypoxis hemerrocallidea plant. Med. Technol. SA 2016, 40, 39–46. [Google Scholar]
  17. Fasinu, P.S.; Gutmann, H.; Schiller, H.; Bouic, P.; Rosenkranz, B. The potential of Hypoxis hemerocallidea for herb-drug interaction. Pharm Biol. 2013, 51, 1499–1507. [Google Scholar] [CrossRef]
  18. Mills, E.; Cooper, C.; Seely, D.; Kanfer, I. African herbal medicines in the treatment of HIV: Hypoxis and Sutherlandia. An overview of evidence and pharmacology. Nutr. J. 2005, 4, 19–24. [Google Scholar] [CrossRef]
  19. Mogatle, S.; Skinner, M.; Mills, E.; Kanfer., I. Effect of African potato (Hypoxis hemerocallidea) on the pharmacokinetics of efavirenz. S. Afr. Med. J. 2008, 98, 945–949. [Google Scholar]
  20. Ojewole, J.A.O.; Olayiwola, G.; Nyinawumuntu, A. Bronchorelaxant property of ‘African potato’ (Hypoxis hemerocallidea corm) aqueous extract in vitro. J. Smooth Muscle Res. 2009, 45, 241–248. [Google Scholar] [CrossRef][Green Version]
  21. Boukes, G.J.; Van de Venter, M.; Oosthuizen, V. Quantitative and qualitative analysis of sterols/sterolins and hypoxoside contents of three Hypoxis (African potato) spp. Afr. J. Biotechnol. 2008, 7, 1624–1629. [Google Scholar]
  22. Koduru, S.; Grierson, D.S.; Afolayan, A.J. Ethnobotanical information of medicinal plants used for treatment of cancer in the Eastern Cape Province, South Africa. Curr. Sci. 2007, 92, 906–908. [Google Scholar]
  23. De Wet, H.; Nzama, V.N.; Van Vuuren, S.F. Medicinal plants used for the treatment of sexually transmitted infections by lay people in northern Maputaland, KwaZulu–Natal Province, South Africa. S. Afr. J. Bot. 2012, 78, 12–20. [Google Scholar] [CrossRef]
  24. Semenya, S.S.; Potgieter, M.J.; Erasmus, L.J.C. Indigenous plant species used by Bapedi healers to treat sexually transmitted infections: Their distribution, harvesting, conservation and threats. S. Afr. J. Bot. 2013, 87, 66–75. [Google Scholar] [CrossRef]
  25. Aksenova, N.P.; Sergeeva, L.I.; Konstantinova, T.N.; Golyanovskaya, S.A.; Kolachevskaya, O.O.; Romanov, G.A. Regulation of potato tuber dormancy and sprouting. Russ. J. Plant Physiol. 2013, 60, 301–312. [Google Scholar] [CrossRef]
  26. Mofokeng, M.M.; Kleynhans, R.; Sediane, L.M.; Morey, L.; Araya, H.T. Propagation of Hypoxis hemerocallidea by inducing corm buds. S. Afr. J. Plant Soil. 2018, 35, 359–365. [Google Scholar] [CrossRef]
  27. Klein, M.S.; Almstetter, M.F.; Schlamberger, G.; Nürnberger, N.; Dettmer, K.; Oefner, P.J.; Meyer, H.H.D.; Wiedemann, S.; Gronwald, W. Nuclear magnetic resonance and mass spectrometry-based milk metabolomics in dairy cows during early and late lactation. J. Dairy Sci. 2010, 93, 1539–1550. [Google Scholar] [CrossRef]
  28. Ramachandran, G.K.; Yeow, C.H. Proton NMR characterization of intact primary and metastatic melanoma cells in 2D and 3D cultures. Biol. Res. 2017, 50, 12–22. [Google Scholar] [CrossRef]
  29. Govindaraju, V.; Young, K.; Maudsley, A.A. Proton NMR chemical shifts and coupling constants for brain metabolites. NMR Biomed. 2000, 13, 129–153. [Google Scholar] [CrossRef]
  30. Amini, S.; Ziaratnia, S.M. Effect of plant growth regulators on control of saffron (Crocus sativus L.) corm dormancy. J. Hortic. Postharvest Res. 2019, 2, 167–176. [Google Scholar]
  31. Jones, R.L.; Phillips, I.D.J. Effect of CCC on the gibberellin content of excised sunflower organs. Planta 1967, 72, 53–59. [Google Scholar] [CrossRef]
  32. Dennis, D.T.; Upper, C.D.; West, C.A. An enzymatic site of inhibition of gibberellin biosynthesis by Amo 1618 and other plant growth retardants. Plant Physiol. 1965, 40, 948–952. [Google Scholar] [CrossRef] [PubMed]
  33. Ecklund, P.R.; Moore, T.C. Correlations of growth rate and de-etiolation with rate of ent-kaurene biosynthesis in pea (Pisum sativum L.). Plant Physiol. 1974, 53, 5–10. [Google Scholar] [CrossRef] [PubMed]
  34. Mehraj, H.; Alam, M.M.; Habiba, S.U.; Mehbub, H. LEDs combined with CHO cources and CCC priming PLB regeration of Phalaenopsis. Horticulturae 2019, 5, 34. [Google Scholar] [CrossRef]
  35. Jaffe, M.J. Evidence for the regulation of phytochrome-mediated processes in bean roots by the neurohumor, acetylcholine. Plant Physiol. 1970, 46, 768–777. [Google Scholar] [CrossRef]
  36. Sustr, M.; Soukup, A.; Tylova, E. Potassium in root growth and development. Plants 2019, 8, 435. [Google Scholar] [CrossRef]
  37. Powar, D.B.; Ambad, S.N.; Katwate, S.M. Effect of different chemicals on breaking dormancy in gladiolus (Gladiolus tristis L.). Indo-Am. J. Agric. Vet. Sci. 2015, 3, 12–17. [Google Scholar]
  38. Bamel, K.; Gupta, R. Acetylcholine as a regulator of differentiation and development in tomato. In Neurotransmitters in Plants. Perspective and Applications; Ramakrishna, A., Roshchina, V.V., Eds.; CRC Press: London, UK, 2019. [Google Scholar]
  39. Lindlöf, A. Interplay between low-temperature pathways and light reduction. Plant Signal. Behav. 2010, 5, 820–825. [Google Scholar] [CrossRef]
  40. Ruttink, T.; Arend, M.; Morreel, K.; Storme, V.; Rombauts, S.; Fromm, J.; Bhalerao, R.P.; Boerjan, W.; Rohde, A. A molecular timetable for apical bud formation and dormancy induction in poplar. Plant Cell 2007, 19, 2370–2390. [Google Scholar] [CrossRef]
  41. Shim, D.; Ko, J.-H.; Kim, W.-C.; Wang, Q.; Keathley, D.E.; Han, K.H. A molecular framework for seasonal growth-dormancy regulation in perennial plants. Hortic. Res. 2014, 1, 14059. [Google Scholar] [CrossRef]
  42. Huang, S.; Braun, H.-P.; Gawryluk, R.M.R.; Millar, H. Mitochondrial complex II of plants: Subunit composition, assembly and function in respiration and signalling. Plant J. 2019, 98, 405–417. [Google Scholar] [CrossRef]
  43. Murphy, M.P.; O’Neill, L.A.J. Krebs cycle reimagined: The emerging roles of succinate and itaconate as signal transducers. Cell 2018, 174, 780–784. [Google Scholar] [CrossRef] [PubMed]
  44. Soppe, W.J.J.; Bentsink, L. Dormancy in plants. In eLS.; John Wiley and Sons, LTD.: Chichester, UK, 2016. [Google Scholar] [CrossRef]
  45. Gai, S.; Zhang, Y.; Liu, C.; Zhang, Y.; Zheng, G. Transcript profiling of Paoenia ostia during artificial chilling induced dormancy release identifies activation of GA pathway and carbohydrate metabolism. PLoS ONE 2013, 8, e55297. [Google Scholar] [CrossRef] [PubMed]
  46. Novelli, S.; Gismondi, A.; Di Marco, G.; Canuti, L.; Nanni, V.; Canini, A. Plant defense factors involved in Olea europaea resistance against Xylella fastidiosa infection. J. Plant Res. 2019, 132, 439–455. [Google Scholar] [CrossRef] [PubMed]
  47. Airaki, M.; Leterrier, M.; Mateos, R.M.; Valderrama, R.; Chaki, M.; Barroso, J.B.; Del Río, L.A.; Palma, J.M.; Corpas, F.J. Metabolism of reactive oxygen species and reactive nitrogen species in pepper (Capsicum annuum L.) plants under low temperature stress. Plant Cell Environ. 2012, 35, 281–295. [Google Scholar] [CrossRef] [PubMed]
  48. De Rossi, S.; Di Marco, G.; Bruno, L.; Gismondi, A.; Canini, A. Investigating the Drought and Salinity Effect on the Redox Components of Sulla coronaria (L.) Medik. Antioxidants 2021, 10, 1048. [Google Scholar] [CrossRef]
  49. Solórzano, E.; Corpas, F.J.; González-Gordo, S.; Palma, J.M. Reactive Oxygen Species (ROS) Metabolism and Nitric Oxide (NO) Content in Roots and Shoots of Rice (Oryza sativa L.) Plants under Arsenic-Induced Stress. Agronomy 2020, 10, 1014. [Google Scholar] [CrossRef]
  50. Farooq, M.A.; Niazi, A.K.; Akhtar, J.; Saifullah, F.M.; Souri, Z.; Karimi, N.; Rengel, Z. Acquiring control: The evolution of ROS-Induced oxidative stress and redox signalling pathways in plant stress responses. Plant Physiol Biochem. 2019, 141, 353–369. [Google Scholar] [CrossRef]
  51. Akoumianakis, K.A.; Alexopoulos, A.A.; Karapanos, I.C.; Kalatzopoulos, K.; Aivalakis, G.; Passam, H.C. Carbohydrate metabolism and tissue differentiation during tuber initiation, growth and dormancy induction. Aust. J. Crop Sci. 2016, 10, 185–192. [Google Scholar]
  52. Viola, R.; Pelloux, J.; Van der Ploeg, A.; Gillespie, T.; Marquis, N.; Roberts, A.G.; Hancock, R.D. Symplastic connection is required for bud outgrowth following dormancy in potato (Solanum tuberosum L.) tubers. Plant Cell Environ. 2007, 30, 973–983. [Google Scholar] [CrossRef]
  53. Kondrashova, M.N.; Zakharchenko, M.V.; Khunderyakova, N.I.; Fedotcheva, N.I.; Litvinova, E.G.; Romanova, O.I.; Gulayev, A.A. States of succinate dehydrogenase in the organism: Dormant vs. hyperactive (pushed out of equilibrium). Biophysics 2013, 58, 86–94. [Google Scholar] [CrossRef]
  54. Popov, V.N.; Eprintsev, A.T.; Fedorin, D.N.; Igamberdiev, A.U. Succinate dehydrogenase in Arabidopsis thaliana is regulated by light via phytochrome A. FEBS Lett. 2007, 584, 199–202. [Google Scholar] [CrossRef] [PubMed]
  55. Toba, T.; Nagashima, S.; Adachi, S. Is lactose really present in plants? J. Sci. Food Agric. 1991, 54, 305–308. [Google Scholar] [CrossRef]
  56. Krasavina, M.S.; Burmistrova, N.A.; Raldugina, G.N. The role of carbohydrates in plant resistance to abiotic stresses. In Emerging Technologies and Management of Crop Stress Tolerance; Ahmad, P., Ed.; Academic Press: Cambridge, MA, USA, 2014; Volume 1. [Google Scholar]
  57. Saqib, S.; Akram, A.; Halim, S.A.; Tassaduq, R. Source of ß-galactosidase and its applications in food industry. 3 Biotech 2017, 7, 79. [Google Scholar] [CrossRef] [PubMed]
  58. Cooke, J.E.K.; Eriksson, M.E.; Junttila, O. The dynamic nature of bud dormancy in trees: Environmental control and molecular mechanisms. Plant Cell Environ. 2012, 35, 1707–1728. [Google Scholar] [CrossRef]
  59. Morandini, P. Control limits for accumulation of plant metabolites: Brute force is no substitute for understanding. Plant Biotechnol. J. 2013, 11, 253–267. [Google Scholar] [CrossRef]
  60. Juers, D.H.; Matthews, B.W.; Huber, R.E. LacZ β-galactosidase: Structure and function of an enzyme of historical and molecular biological importance. Protein Sci. 2012, 21, 1792–1807. [Google Scholar] [CrossRef]
  61. Ingram, J.; Bartels, D. The molecular basis of dehydration tolerance in plants. Annu. Rev. Plant Physiol. Plant Mol. Biol. 1996, 47, 377–403. [Google Scholar] [CrossRef]
  62. Sayad, T.; Poturcu, K.; Moradi, M.; Rahimpour, E.; Zhao, H.; Jouyban, A. Solubility study of carvedilol in the aqueous mixtures of a choline chloride/propylene glycol deep eutectic solvent. J. Mol. Liq. 2021, 342, 117537. [Google Scholar] [CrossRef]
  63. Shang, X.; Duo, Y.; Zhang, Y.; Tan, J.-N.; Liu, X.; Zhang, Z. Tailor-made natural deep eutectic solvents for green extraction of isoflavones from chickpea (Cicer arietinum L.) sprouts. Ind. Crops Prod. 2019, 140, 111724. [Google Scholar] [CrossRef]
  64. Fiume, M.M.; Bergfeld, W.F.; Belsito, D.V.; Hill, R.A.; Klaassen, C.D.; Liebler, D.; Marks, J.G., Jr.; Shank, R.C.; Slaga, T.J.; Snyder, P.W.; et al. Safety assessment of propylene glycol, tripropylene glycol, and PPGs as used in cosmetics. Int. J. Toxicol. 2012, 31, 245S–260S. [Google Scholar] [CrossRef]
  65. Harvanko, A.; Kryscio, R.; Martin, C.; Kelly, T. Stimulus effects of propylene glycol and vegetable glycerine in electronic cigarette liquids. Drug Alcohol Depend. 2019, 194, 326–329. [Google Scholar] [CrossRef] [PubMed]
  66. Cunningham, C.A.; Ku, K.; Sue, G.R. Propylene glycol poisoning from excess whiskey ingestion: A case of high osmolal gap metabolic acidosis. J. Investig. Med. High Impact Case Rep. 2015, 3, 2324709615603722. [Google Scholar] [CrossRef] [PubMed]
  67. Wilson, K.C.; Reardon, C.; Farber, H.W. Propylene glycol toxicity in a patient receiving intravenous diazepam. N. Engl. J. Med. 2000, 343, 815. [Google Scholar] [CrossRef]
  68. Lau, K.; Swiney, B.S.; Reeves, N.; Noguchi, K.K.; Farber, N.B. Propylene glycol produces excessive apoptosis in the developing mouse brain, alone and in combination with phenobarbital. Pediatr. Res. 2012, 71, 54–62. [Google Scholar] [CrossRef] [PubMed]
  69. Office of Technology Transitions. Kicking the Oil Habit: Making Propylene Glycol from Plants. 2022. Available online: www.energy.gov (accessed on 29 April 2022).
  70. Mailloux, R.J. Still at the centre of it all; novel functions of the oxidative krebs cycle. Bioenergetics 2015, 4, 122. [Google Scholar] [CrossRef]
  71. Bozzo, T.T.; Mpambani, B.; Mbenga, A.; Mhlontlo, S. Comparative studies on yield and quality response of soil and soilless grown tomatoes: The case study of Masiphathisane community project and Bathurst experimental farm. S. Afr. J. Agric. Ext. 2019, 47, 75–85. [Google Scholar] [CrossRef]
  72. Zhang, J.; Wang, Y.T.; Miller, J.H.; Day, M.M.; Munger, J.C.; Brookes, P.S. Accumulation of succinate in cardiac ischemia primarily occurs via canonical krebs cycle activity. Cell Rep. 2018, 23, 2617–2628. [Google Scholar] [CrossRef]
  73. Musabayane, C.T.; Xozwa, K.; Ojewole, J.A.O. Effects of Hypoxis hemerocallidea (Fisch. & C.A. Mey.) [Hypoxidaceae] corm (African potato) aqueous extract on renal electrolyte and fluid handling in the rat. Ren. Fail. 2005, 27, 763–770. [Google Scholar]
  74. Matthews, S.B.; Waud, J.P.; Roberts, A.G.; Campbell, A.K. Systematic lactose intolerance: A new perspective on an old problem. Postgrad. Med. J. 2005, 81, 167–173. [Google Scholar] [CrossRef]
  75. Blusztajn, J.K.; Slack, E.B.; Mellott, T.J. Neuroprotective actions of dietary choline. Nutrients 2017, 9, 815. [Google Scholar] [CrossRef]
  76. Mehta, A.K.; Gaur, S.N.; Arora, N.; Singh, B.P. Effect of choline chloride in allergen-induced mouse model of airway inflammation. Eur. Respir. J. 2007, 30, 662–671. [Google Scholar] [CrossRef] [PubMed]
  77. HMDB (The Human Metabolome Database). The Human Metabolome Database. 2021. Available online: www.hmdb.ca (accessed on 3 September 2021).
  78. Sumner, L.W.; Amberg, A.; Barrett, D.; Beale, M.H.; Beger, R.; Daykin, C.A.; Fan, T.W.-M.; Fiehn, O.; Goodacre, R.; Griffin, J.L.; et al. Proposed minimum reporting standards for chemical analysis. Metabolomics 2007, 3, 211–221. [Google Scholar] [CrossRef] [PubMed]
  79. Khan, A.M.; Ungar, I. Germination of the salt tolerant shrub Suaeda fruticosa from pakistan: Salinity and temperature responses. Seed Sci. Technol. 1998, 26, 657–667. [Google Scholar]
  80. Moyo, M.; Amoo, S.O.; Van Staden, J. Seed priming with smoke water and karrikin improves germination and seedling vigor of Brassica napus under varying environmental conditions. Plant Growth Regul. 2022, 97, 315–326. [Google Scholar] [CrossRef]
Figure 1. The 1H-NMR full spectrum of Hypoxis hemerocallidea leachate metabolite profile.
Figure 1. The 1H-NMR full spectrum of Hypoxis hemerocallidea leachate metabolite profile.
Plants 11 02387 g001
Figure 2. H-NMR spectra showing the metabolite profile of the leachate from Hypoxis hemerocallidea corms. 1 = choline and 2 = succinate (A), 3 = lactose and 4 = propylene glycol (B).
Figure 2. H-NMR spectra showing the metabolite profile of the leachate from Hypoxis hemerocallidea corms. 1 = choline and 2 = succinate (A), 3 = lactose and 4 = propylene glycol (B).
Plants 11 02387 g002aPlants 11 02387 g002b
Figure 3. Effect of Hypoxis hemerocallidea leachate on tomato seed germination: mean germination time (A), germination index (B), coefficient of velocity of germination (C), germination rate index (D), and final germination percentage (E). *, ** = significant at p < 0.10 or p < 0.05, respectively.
Figure 3. Effect of Hypoxis hemerocallidea leachate on tomato seed germination: mean germination time (A), germination index (B), coefficient of velocity of germination (C), germination rate index (D), and final germination percentage (E). *, ** = significant at p < 0.10 or p < 0.05, respectively.
Plants 11 02387 g003
Figure 4. A full Hypoxis hemerocallidea corms (A) and the top view of the corm cut into four pieces (B).
Figure 4. A full Hypoxis hemerocallidea corms (A) and the top view of the corm cut into four pieces (B).
Plants 11 02387 g004
Table 1. Annotation of 1H-NMR spectral regions and chemical shifts of the four compounds identified from the Hypoxis hemerocallidea leachate.
Table 1. Annotation of 1H-NMR spectral regions and chemical shifts of the four compounds identified from the Hypoxis hemerocallidea leachate.
CompoundsChemical Group1H-NMR Chemical Shifts (ppm)Reference Chemical Shifts (ppm)Chenomx
(ppm)
ReferencesHuman Metabolome DatabaseAssigned Number
Choline
(C5H14NO)
Organic acid3.1923.18
3.22
3.19[27]
[28]
3.18
3.50
4.05
1
Succinate
(C4H6O4)
Organic acid2.422.392.45[29]2.392
Lactose
(C12H22O11)
Sugar3.25
3.55
3.75
3.85
3.95
5.12
3.29
3.67
3.73
4.45
5.23
3.23
3.54
3.69
3.85
3.9
4.35
5.17
[27]3.28
3.55
3.60
3.66
3.73
3.79
3.86
3.94
4.45
5.22
3
Propylene glycol (C3H8O2)Alcohol1.14
1.16
3.4
3.5
1.13
1.15
3.42
3.48
1.12
1.13
3.4
3.5
3.9
4
Table 2. qNMR of the compounds identified with Chenomx software using TSP at 0.1% as reference compound and indicating the signature peaks used for the quantification of each compound. (s) = singlet, (d) = doublet and (t) = triplet.
Table 2. qNMR of the compounds identified with Chenomx software using TSP at 0.1% as reference compound and indicating the signature peaks used for the quantification of each compound. (s) = singlet, (d) = doublet and (t) = triplet.
CompoundConcentration (mM)Signature Peak (ppm)
Propylene glycol0.00381.13, 1.14 (d)
Lactose0.263.21, 3.23, 3.25 (t)
Choline0.00453.19 (s)
Succinate0.042.42 (s)
Publisher’s Note: MDPI stays neutral with regard to jurisdictional claims in published maps and institutional affiliations.

Share and Cite

MDPI and ACS Style

Mofokeng, M.M.; Prinsloo, G.; Araya, H.T.; Amoo, S.O.; du Plooy, C.P.; Mashela, P.W. NADES Compounds Identified in Hypoxis hemerocallidea Corms during Dormancy. Plants 2022, 11, 2387. https://doi.org/10.3390/plants11182387

AMA Style

Mofokeng MM, Prinsloo G, Araya HT, Amoo SO, du Plooy CP, Mashela PW. NADES Compounds Identified in Hypoxis hemerocallidea Corms during Dormancy. Plants. 2022; 11(18):2387. https://doi.org/10.3390/plants11182387

Chicago/Turabian Style

Mofokeng, Motiki M., Gerhard Prinsloo, Hintsa T. Araya, Stephen O. Amoo, Christian P. du Plooy, and Phatu W. Mashela. 2022. "NADES Compounds Identified in Hypoxis hemerocallidea Corms during Dormancy" Plants 11, no. 18: 2387. https://doi.org/10.3390/plants11182387

APA Style

Mofokeng, M. M., Prinsloo, G., Araya, H. T., Amoo, S. O., du Plooy, C. P., & Mashela, P. W. (2022). NADES Compounds Identified in Hypoxis hemerocallidea Corms during Dormancy. Plants, 11(18), 2387. https://doi.org/10.3390/plants11182387

Note that from the first issue of 2016, this journal uses article numbers instead of page numbers. See further details here.

Article Metrics

Back to TopTop