Revision of the Original Material of Plagiothecium denticulatum var. obtusifolium (Turn.) Moore and New Synonyms for This Taxon
Abstract
:1. Introduction
2. Results
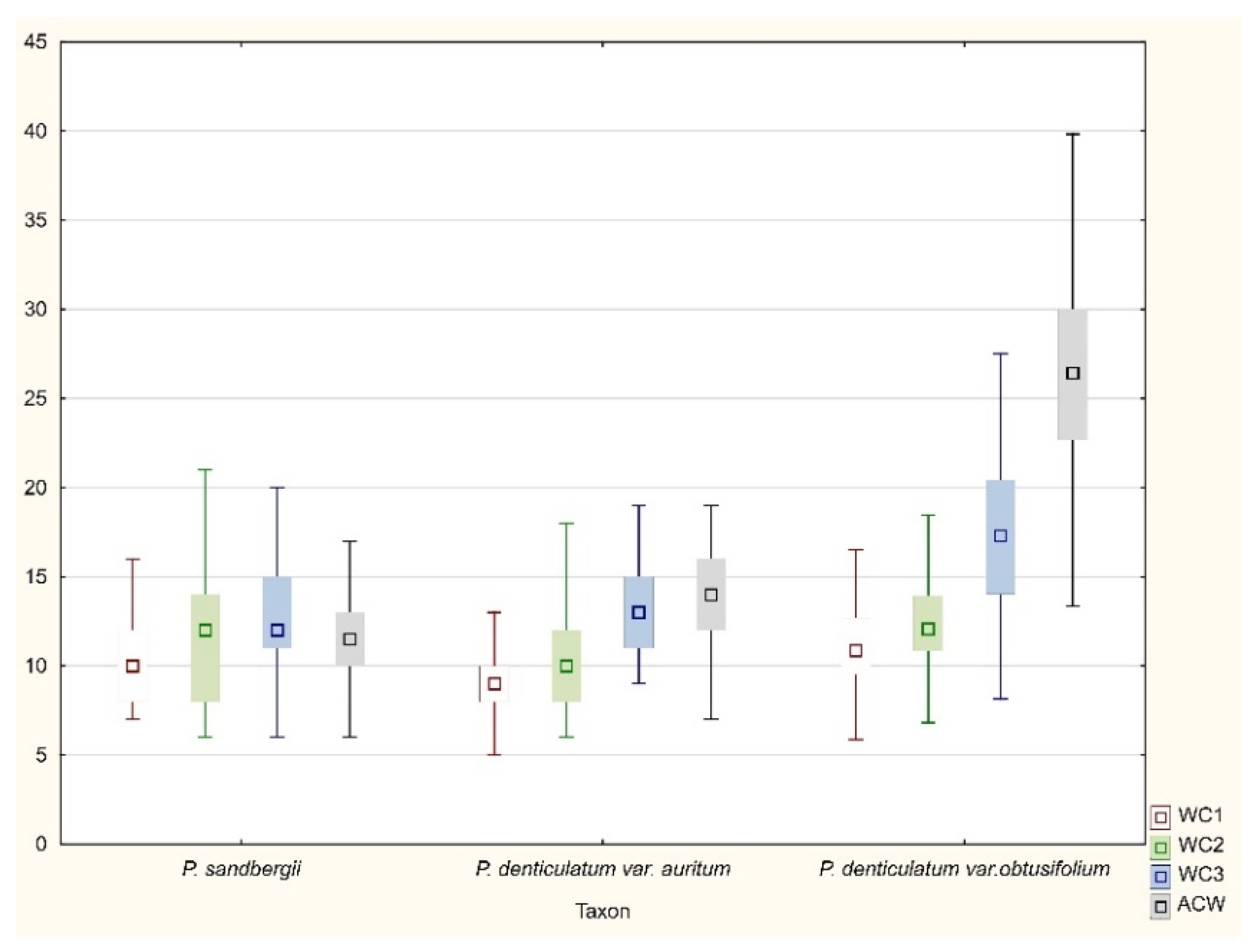
2.1. Hypnum denticulatum var. obtusifolium (=P. denticulatum var. obtusifolium) Case
2.2. Plagiothecium sandbergii Case
2.3. Plagiothecium denticulatum var. auritum Case
2.4. Description of Plagiothecium denticulatum var. obtusifolium sensu lato
3. Discussion
Taxonomic Treatment
- Plagiothecium denticulatum var. obtusifolium (Turner) Moore, Proceedings of the Royal Irish Academy 1: 424 (1873); Hypnum denticulatum var. obtusifolium Turner, Muscologiae Hibernicae Spicilegium 146, T. 12, f. 2 (1804); Plagiothecium obtusifolium (Turner) J.J. Amann, Mémoire de la Société Vaudoise des Sciences Naturelles 3: 61 (1928). Holotype: Figure 2, Tabela 12 “T. 12, f. 2” (Turner 1804: 237) (Figure 3). Epitype (designated here): [Ireland], in summo montis Bulbein jugo, ab oculatissimo D. Brown lectam, benigne communicavit D. Templeton, BM000890810! (Figure 5).
- =Plagiothecium sandbergii Ren. & Cardot, Contributions from the United States National Herbarium, 3: 274 (1895), syn. nov. Lectotype (designate here): U.S.A., Idaho, Kootenai County, Hope, J.H. Sandberg, D.T. Macdougal, A.A. Heller 1174, August 1892 (PC0132604!); isolectotypes: NY507114!, available online; US70396!, available online; FH220148. Additional original material from locus classicus (not signed “No. 1174”): NY507115!, available online. Additional Sandberg’s material, potentially from locus classicus: PC0132605! Additional Sandberg’s material: FH220147 (https://kiki.huh.harvard.edu/databases/specimen_search.php?mode=details&id=144580 (accessed on 12 August 2022)).
- =Plagiothecium denticulatum var. auritum Kern, Jahresbericht der Schlesischen Gesellschaft für Vaterländische Cultur 91 Abt. 2b. 97 (1914), syn. nov. Lectotype (designate here): [Italy] South Tirol, Ortler, Martelltal, in Felshöhlungen oberhalb der Cevedalehütte, F. Kern s.n., 2350 m, 30 July 1913, herb. H. Thériot (PC0132639!).
4. Materials and Methods
4.1. Herbarium Materials
4.2. Measurement Method
Author Contributions
Funding
Institutional Review Board Statement
Informed Consent Statement
Data Availability Statement
Conflicts of Interest
References
- Turner, D. Muscologiae Hibernicae Spicilegium; J. Black Sumptibus Auctoris: Yarmouth, UK, 1804; pp. 146–148. [Google Scholar]
- Moore, D. A Synopsis of the Mosses of Ireland; Royal Irish Academy: Dublin, Ireland, 1873. [Google Scholar]
- Wynns, J.T. Molecular Phylogeny and Systematic Revision of the Pleurocarpous Moss Genus Plagiothecium; Department of Plant and Environmental Sciences, Faculty of Science, University of Copenhagen: Copenhagen, Denmark, 2015. [Google Scholar]
- Smith, J.E. Flora Britannica; J. Davis, Chancery-Lane Veneunt Apud J. White, Fleet-Street: London, UK, 1804. [Google Scholar]
- Wahlenberg, G. Flora Lapponica; Taberna Libraria Scholae Realis: Berlin, Germany, 1812. [Google Scholar]
- Hooker, W.J.; Taylor, T. Muscologia Britannica; Containing the Mosses of Great Britain & Ireland, Systematically Arranged and Described; with Plates Illustrative of the Characters of the Genera and Species; London, Longman, Hurst, Rees, Orme, and Brown: London, UK, 1818. [Google Scholar]
- Bridel, S.E. Bryologia Universa seu Systematica ad Novam Methodum Dispositio, Historia et Descriptio: Omnium Muscorum Frondosorum Hucusque Cognitorum cum Synonymia ex Auctoribus Probatissimis; J.A. Barth: Leipzig, Germany, 1827. [Google Scholar]
- Lindberg, S.O. Animadversiones de Hypno elegante Hook. et specibus europaeis Plagiothecii. Not. Sällsk. Fauna Fl. Fenn. Förh. 1868, 9, 19–38. [Google Scholar]
- Mitten, W. Musci Austro-Americani: Enumeratio muScorum Omnium Austro-Americanorum Auctori Hucusque Cognitorum; Botanical Journal of the Linnean Society: London, UK, 1869. [Google Scholar]
- Amann, J.J. Flore des Mousses de la Suisse; Fretz Freres, S.A., Ed.; Libraire-Editeur: Zürich, Switzerland, 1933. [Google Scholar]
- Giacomini, V. Syllabus Bryophitorum Italicorum. Andreales et Briales; Atti Istituto Botanica Laboratorium Crittogamia Universita Pavia: Pavia, Italy, 1947; pp. 179–294. [Google Scholar]
- Wolski, G.J.; Nour-El-Deen, S.; Cienkowska, A.; Bożyk, D.; El-Saadawi, W. The genus Plagiothecium Schimp. (Plagiotheciaceae, Bryophyta) in Eurasia: An annotated checklist with distribution and ecological data. Plants 2021, 10, 868. [Google Scholar] [CrossRef] [PubMed]
- Magnusson, A.H.; Levring, T.; Weimarck, H. Forteckning over Skandinaviens Vaxter Utgiven av Lunds Botaniska Forening; C. W. K. Gleerups Förlag: Lund, Sweden, 1937. [Google Scholar]
- Stirton, J. New and Rare Mosses from Ben Lawers, Perthshire. In Transactions of the Botanical Society of Edinburgh; Taylor & Francis Group: Abingdon, UK, 1873; pp. 75–82. [Google Scholar]
- Stirton, J. New and Rare Scottish Mosses; The Annals of Scottish Natural History: London, UK, 1905; pp. 104–108. [Google Scholar]
- Dixon, H.N., Dr. Stirton’s new British mosses revised. J. Bot. Br. Foreign 1923, 61, 10–75. [Google Scholar]
- Limpricht, K.G. Die Laubmoose Deutschlands, Oesterreichs und der Schweiz; E. Kummer: Leipzig, Germany, 1904. [Google Scholar]
- Roth, G. Die Europäischen Laubmoose; W. Engelmann: Leipzig, Germany, 1905. [Google Scholar]
- Brotherus, V.F.; Engler, A.; Prantl, K. Musci Laubmoose, Die Natürlichen Pflanzenfamilien, 2nd ed.; W. Engelmann: Leipzig, Germany, 1925. [Google Scholar]
- Iwatsuki, Z. A revision of Plagiothecium and its related genera from Japan and her adjacent areas. Hattori Bot. Lab. 1970, 33, 331–380. [Google Scholar]
- Koppe, F. Die Moosflora von Westfalen IV. Abh. Landesmus. Nat. Münster Westfal. 1949, 12, 1–96. [Google Scholar]
- Mönkemeyer, W. Die Laubmoose Europas: Andraeales—Bryales. In Rabenhorst L. Kryptogamen-Flora von Deutschland, Österreich und der Schweiz; Akademische Verlagsgesellschaft: Leipzig, Germany, 1927. [Google Scholar]
- Wolski, G.J.; Proćków, J. Lectotypification, epitypification and history of the name Plagiothecium neglectum Mönk. (Plagiotheciaceae). PhytoKeys 2022, 189, 1–8. [Google Scholar] [CrossRef] [PubMed]
- Ireland, R.R. A Taxonomic Revision of the Genus Plagiothecium for North America, North of Mexico; National Museums of Canada: Ottawa, ON, Canada, 1969; pp. 1–118. [Google Scholar]
- Ireland, R.R. Synopsis of the genus Plagiothecium for North America. Lindbergia 1986, 12, 49–56. [Google Scholar]
- Smith, A.J.E. The Moss Flora of Britain and Ireland; Cambridge University Press: Cambridge, UK, 2001. [Google Scholar]
- Lewinsky, J. The family Plagiotheciaceae in Denmark. Lindbergia 1974, 2, 185–217. [Google Scholar]
- Greene, S.W. The British species of the Plagiothecium denticulatum–P. silvaticum group. Trans. Br. Bryol. Soc. 1957, 3, 181–190. [Google Scholar] [CrossRef]
- Ukrainskaya, G.J. Novitates systematicae plantarum vascularium. Komar. Bot. Inst. Russ. Acad. Sci. 1996, 31, 179–185. [Google Scholar]
- Jedlička, J. Monographia Specierum Europaerum Gen. Plagiothecium s.s. Partis Specialis I. Sumarium; Přírodovědecká Fakulta: Nové Město, Czech Republic, 1948; pp. 1–45. [Google Scholar]
- Ireland, R.R. Buckiella, a new genus in the Hypnaceae (Musci). Novon 2001, 11, 55–62. [Google Scholar] [CrossRef]
- Nyholm, E. Family Plagiotheciaceae. In Illustrated Moss Flora of Fennoscandia. II, Musci; CWK Gleerup: Lund, Sweden, 1965; Volume 2, pp. 620–647. [Google Scholar]
- Turland, N.J.; Wiersema, J.H.; Barrie, F.R.; Greuter, W.; Hawksworth, D.L.; Herendeen, P.S.; Knapp, S.; Kusber, W.-H.; Li, D.-Z.; Smith, G.; et al. International Code of Nomenclature for Algae, Fungi, and Plants (Shenzhen Code): Adopted by the Nineteenth International Botanical Congress, Shenzhen, China, July, 2017. Regnum Vegetabile 159; Koeltz Botanical Books: Glashütten, Germany, 2018. [Google Scholar]
- Renauld, F.; Cardot, J. Contributions from the United States National Herbarium; Smithsonian Institution Press: Washington, DC, USA, 1895. [Google Scholar]
- Kern, F. Die Moosflora des Schweizerischen Naturschutzparkes. In Jahres-Bericht der Schlesischen Gesellschaft für Vaterländische Cultur; Biodiversity Heritage Library: Washington, DC, USA, 1914; pp. 52–72. [Google Scholar]
- Anderson, L.E.; Crum, H.A.; Buck, W.R. List of the mosses of North America North of Mexico. Bryologist 1990, 93, 448–499. [Google Scholar] [CrossRef]
- Düll, R. Distribution of the European and Macaronesian mosses (Bryophytina). In Annotations and Progress; Duell-Hermanns: Bad Münstereifel, Germany, 1992. [Google Scholar]
- Ignatov, M.S.; Afonina, O.M. Check-list of mosses of the former USSR. Arctoa 1992, 1, 1–85. [Google Scholar] [CrossRef]
- Ren-Liang, R.; You-Fang, W.; Crosby, M.R.; He, S. Moss Flora of China; Missouri Botanical Garden Press: Beijing, China, 2008. [Google Scholar]
- Wynns, J.T.; Munk, K.R.; Lange, C.B. Molecular Phylogeny of Plagiothecium and similar Hypnalean mosses, with a revised sectional cassification of Plagiothecium. Cladistics 2017, 34, 469–501. [Google Scholar] [CrossRef] [PubMed]
- Wolski, G.J.; Nowicka-Krawczyk, P. Resurrection of the Plagiothecium longisetum Lindb. and proposal of the new species—P. angusticellum. PLoS ONE 2020, 15, e0230237. [Google Scholar] [CrossRef] [PubMed]
- Wolski, G.J. Morphological and anatomical variability of Plagiothecium nemoralein central Poland. Herzogia 2017, 30, 36–50. [Google Scholar] [CrossRef]
- Wolski, G.J. Are Plagiothecium cavifolium, P. nemorale and P. succulentum indeed variable species? Pak. J. Bot. 2018, 50, 1579–1589. [Google Scholar]
- Wolski, G.J.; Nowicka-Krawczyk, P.; Buck, W.R. Plagiothecium schofieldii, a new species from the Aleutian Islands (Alaska, USA). PhytoKeys 2021, 184, 127–138. [Google Scholar] [CrossRef] [PubMed]
- Dixon, H.N.; Jameson, H.G. The Student’s Handbook of British Mosses; V. T. Sumfield: Eastbourne, UK, 1896. [Google Scholar]


















| Publisher’s Note: MDPI stays neutral with regard to jurisdictional claims in published maps and institutional affiliations. | 
© 2022 by the authors. Licensee MDPI, Basel, Switzerland. This article is an open access article distributed under the terms and conditions of the Creative Commons Attribution (CC BY) license (https://creativecommons.org/licenses/by/4.0/).
Share and Cite
Wolski, G.J.; Bożyk, D.; Proćków, J. Revision of the Original Material of Plagiothecium denticulatum var. obtusifolium (Turn.) Moore and New Synonyms for This Taxon. Plants 2022, 11, 2446. https://doi.org/10.3390/plants11192446
Wolski GJ, Bożyk D, Proćków J. Revision of the Original Material of Plagiothecium denticulatum var. obtusifolium (Turn.) Moore and New Synonyms for This Taxon. Plants. 2022; 11(19):2446. https://doi.org/10.3390/plants11192446
Chicago/Turabian StyleWolski, Grzegorz J., Daniel Bożyk, and Jarosław Proćków. 2022. "Revision of the Original Material of Plagiothecium denticulatum var. obtusifolium (Turn.) Moore and New Synonyms for This Taxon" Plants 11, no. 19: 2446. https://doi.org/10.3390/plants11192446
APA StyleWolski, G. J., Bożyk, D., & Proćków, J. (2022). Revision of the Original Material of Plagiothecium denticulatum var. obtusifolium (Turn.) Moore and New Synonyms for This Taxon. Plants, 11(19), 2446. https://doi.org/10.3390/plants11192446
 
        




 
                        