Next Article in Journal
Long-Term Changes in Macrophyte Distribution and Abundance in a Lowland River
Next Article in Special Issue
A Target-Site Mutation Confers Cross-Resistance to ALS-Inhibiting Herbicides in Erigeron sumatrensis from Brazil
Previous Article in Journal
De Novo Transcriptome of Mammillaria bombycina (Cactaceae) under In Vitro Conditions and Identification of Glyoxalase Genes
Previous Article in Special Issue
Novel Mutation in the Acetohydroxyacid Synthase (AHAS), Gene Confers Imidazolinone Resistance in Chickpea Cicer arietinum L. Plants
 
 
Font Type:
Arial Georgia Verdana
Font Size:
Aa Aa Aa
Line Spacing:
Column Width:
Background:
Article

Acetolactate Synthase-Inhibitor Resistance in Monochoria vaginalis (Burm. f.) C. Presl from Indonesia

1
Department of Agronomy, Faculty of Agriculture, Universitas Padjadjaran, Jl. Raya, Bandung Sumedang Km 21, Jatinangor, Sumedang 45363, Jawa Barat, Indonesia
2
Department of Pest and Diseases, Faculty of Agriculture, Universitas Padjadjaran, Jl. Raya, Bandung Sumedang Km 21, Jatinangor, Sumedang 45363, Jawa Barat, Indonesia
3
Department of Crop Science, Faculty of Agriculture, Universiti Putra Malaysia, Serdang 43400, Selangor, Malaysia
4
Department of Applied Biological Science, Faculty of Agriculture, Kagawa University, Miki 761-0795, Kagawa, Japan
*
Authors to whom correspondence should be addressed.
Plants 2022, 11(3), 400; https://doi.org/10.3390/plants11030400
Submission received: 30 December 2021 / Revised: 27 January 2022 / Accepted: 27 January 2022 / Published: 31 January 2022
(This article belongs to the Special Issue Herbicide Mechanisms of Action and Resistance)

Abstract

:
Monochoria vaginalis (Burm. f.) C. Presl, belonging to the family Pontederiaceae, is an aquatic herbaceous plant, native to temperate and tropical Asia. The species often occurs in paddy fields as a noxious weed in East Asia, and in the USA, and causes a significant reduction in rice production. The objective of the present research was the evaluation of the resistance levels of M. vaginalis against three chemical groups of acetolactate synthase (ALS)-inhibitor herbicides and other two different groups of herbicides, and the investigation of the mutations in the ALS gene of the resistant biotype of M. vaginalis. Herbicide dose–response experiments showed that the resistant biotype of M. vaginalis was highly resistant to bensulfuron-methyl, moderately resistant to bispyribac-sodium, had low resistance to penoxsulam and 2,4-D dimethyl ammonium, and was susceptible to sulfentrazone. The nucleotide sequences of the ALS gene of resistant and susceptible biotypes showed 14 base substitutions, which caused two amino acid substitutions: Val-143-Ile and Val-148-Ile. It is the first report of the substitutions of amino acids Val-143-Ile and Val-148-Ile in ALS protein. Those mutations may give different resistance spectra against three ALS-inhibitor herbicides: bensulfuron-methyl, bispyribac-sodium, and penoxsulam. Further research is needed to elucidate the molecular basis of target-site resistance mechanisms such as the transformation of the ALS gene of M. vaginalis. It is also necessary to evaluate herbicide mixtures and/or the rotation of herbicide sites of action to control the resistant biotype of M. vaginalis.

1. Introduction

Acetolactate synthase (ALS, EC 2.2.1.6, synonym: acetohydroxyacid synthase) catalyses pyruvate to acetolactate, which is the first step in the biosynthesis of the branched-chain amino acids (valine, leucine and isoleucine) [1]. The blocking of the biosynthesis causes subsequent plant death, and ALS is the target site for a large number of ALS-inhibitor herbicides [1,2]. ALS-inhibitor herbicides have been used for over 40 years, and more than 50 active ingredients are registered [1,2,3,4]. Those herbicides are divided into five chemical groups: sulfonylurea (SU), imidazolinone (IMI), pyrimidinyl thiobenzoate (PTB), sulfonylurea (SU), sulfonylamino-carbonyltriazonone (SCT), triazolopyrimidine (TP) [1,2].
The ALS-inhibitor herbicides have an efficient broad-spectrum in grass and broadleaf weed species, a low mammalian toxicity, and are selective in major crops in the world [1,3,4]. Therefore, the ALS-inhibitor herbicides are applied intensively over large areas in many different crop cultivations for weed management. However, excessive application of herbicides increases the potential to develop resistant biotypes of weeds [2,5,6]. The first case of an ALS-inhibitor resistance was reported in the population of Lolium rigidum Gaud. in Australia in 1986. This resistant biotype was caused by the enhanced metabolism of SU herbicide [7]. The first case of a target site resistance to an ALS-inhibitor herbicide was reported on Lactuca serriola L. against SU herbicide in the USA in 1987 [8]. There have been reported more than 160 ALS-inhibitor-resistant weed species, and some of those weed species are cross- and multiple-resistant to the herbicides, indicating that they are more difficult to control by the use of herbicides [1,9].
Monochoria vaginalis (Burm. f.) C. Presl (Pontederiaceae) is an aquatic herbaceous plant, native to temperate and tropical Asia, and predominantly self-pollinating with frequent cleistogamous reproduction [10]. The species often occurs in paddy fields as a noxious weed in East Asia [11], and in the USA [12,13]. It is listed in one of the three serious weeds in rice paddies in Indonesia, Japan and Taiwan [12,13]. As the species has a strong ability to absorb nitrogen, it causes a large reduction in rice production [11,14].
ALS-inhibitor herbicides are widely used in rice cultivation as pre-emergence herbicides [3]. Those herbicides were also effective in controlling M. vaginalis. However, the excessive application of the herbicides increases the potential to develop resistant weeds. SU-resistant biotypes of M. vaginalis have been reported in Japan, Korea and China [9], and an SU-resistant biotype of M. vaginalis has recently been found in Indonesia [15]. In the present research, we examined the tolerance of the SU-resistant biotype Monochoria vaginalis against different chemical groups of ALS-inhibitor herbicides (bensulfuron-methyl, bispyribac-sodium, and penoxsulam) and other herbicides which have another mode of action (2,4-D and sulfentrazone). The nucleotide sequences of the ALS gene of the resistant and susceptible biotypes of M. vaginalis were also determined.

2. Results

For the overall analysis of variance, all herbicides showed significant interactions at p < 0.05 level for growth reduction and shoot dry weight of M. vaginalis. The application of recommended dosages of bensulfuron-methyl (4 g a.i. ha−1), penoxsulam (10 g a.i. ha−1), bispyribac-sodium (20 g a.i. ha−1), sulfentrazone (48 g a.i. ha−1), and 2,4-D dimethyl ammonium (432.5 g a.i. ha−1) cause 100% growth reduction of the susceptible biotype of M. vaginalis (Figure 1, Table 1). The recommended dosages of sulfentrazone also cause 100% growth reduction of the resistant biotype of M. vaginalis. However, the recommended dosages of bensulfuron-methyl, penoxsulam, bispyribac-sodium, and 2,4-D could not cause 100% growth reduction on the resistant biotype. The growth reduction by the recommended dosages was 18.98, 34.10, 22.72, and 69.50% for bensulfuron-methyl, penoxsulam, bispyribac-sodium, and 2,4-D, respectively. The complete growth reduction of the resistant biotype occurred when penoxsulam, bispyribac-sodium, and 2,4-D were applied in doses 2–4 times higher than the recommendation. The dosage (32 g a.i. ha−1) of bensulfuron-methyl, which is eight times higher than the recommendation, caused the 37.27% growth reduction (Table 1).
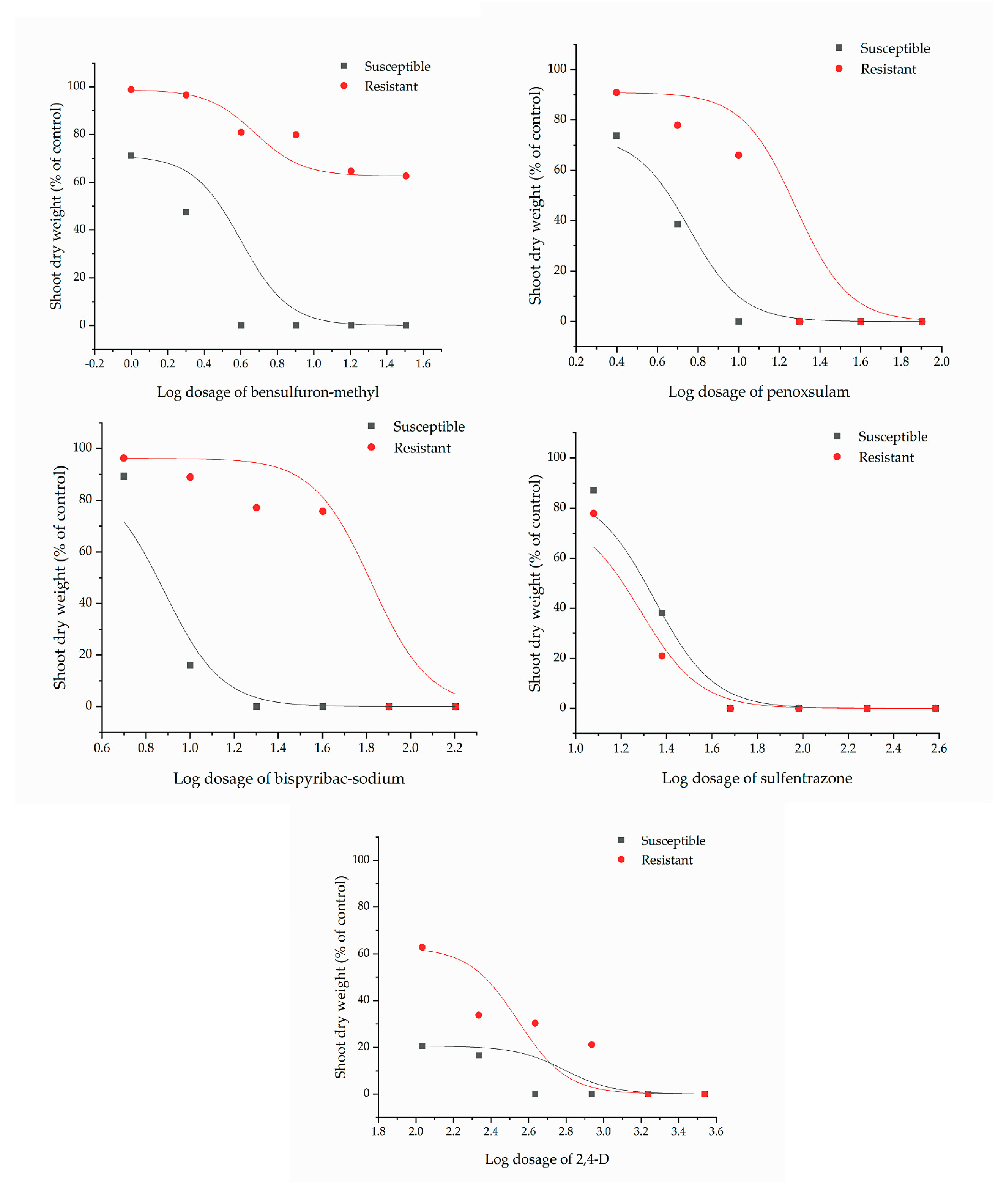
The GR50 values of bensulfuron-methyl, penoxsulam, bispyribac-sodium, sulfentrazone, and 2,4-D for the resistant and susceptible biotypes of M. vaginalis were determined as Figure 2, and shown in Table 2. The ALS-inhibitor herbicides bensulfuron-methyl, penoxsulam, and bispyribac-sodium caused the symptoms of necrosis, chlorosis, stunting, and purple veins in M. vaginalis plants. 2,4-D showed the symptoms of twisting, leaf curling, and cupping. Sulfentrazone induced the symptoms of chlorosis and necrosis in the plants.
The base sequence of PCR-amplified DNA showed complete homology with that of ALS genes of M. vaginalis [16]. The base sequences showed 14 differences in nucleotides between susceptible and resistant biotypes at the positions of 24,72, 81, 84, 96, 177, 261, 328, 378, 427, 429, 442, 447, and 525 (Figure 3).
Table 2. Herbicide dose required for 50% reduction (GR50) of dry biomass, and resistance index.
Table 2. Herbicide dose required for 50% reduction (GR50) of dry biomass, and resistance index.
Herbicidebr2M. vaginalis BiotypesGR50
(g a.i ha−1)
R/SResistance Category [17]
Bensulfuron-methyl2.450.94Susceptible1.66--
0.720.87Resistant51.9331.28High
Penoxsulam2.690.97Susceptible3.93--
3.780.93Resistant11.032.81Low
Bispyribac-sodium5.500.99Susceptible7.41--
6.820.91Resistant47.036.35Moderate
Sulfentrazon3.790.99Susceptible20.83--
3.790.99Resistant16.780.81Susceptible
2,4-D1.280.82Susceptible40.79--
1.070.91Resistant158.273.88Low
GR50 values of herbicides were obtained by nonlinear regression using the log-logistic dose–response equation. The resistance index against herbicides was calculated by the ratio of the GR50 value of the resistant biotype to susceptible biotype of M. vaginalis.

3. Discussion

The resistant biotype of M. vaginalis showed tolerance against bensulfuron-methyl, bispyribac-sodium, penoxsulam, and 2,4-D dimethyl ammonium (Figure 1, Table 1). The level of resistance index (R/S) was calculated by the ratio of their GR50 values of resistant biotype (R) with susceptible biotype (S), and classified as susceptible (R/S < 2), low resistance (R/S = 2–6), moderate resistance (R/S = 6–12), and high resistance (R/S > 12) [17]. The resistant biotype of M. vaginalis showed different resistance spectra in response to different groups of ALS-inhibitor herbicides: it was highly resistant to bensulfuron-methyl (R/S: 31.28, SU herbicide group); moderately resistant to bispyribac-sodium (R/S: 6.35, PTB herbicide group); had low resistance to penoxsulam (R/S: 2.81, TP herbicide group). The biotype also showed low resistance to 2,4-D (R/S: 3.88, synthetic auxin group), which has a different mode of action with ALS-inhibitor herbicides. 2,4-D disturbs several growth processes and affects nucleic acid metabolism, cell wall plasticity, protein synthesis, and cell division. The herbicide also enhances ethylene production, which often causes epinastic symptoms [18]. The resistant biotype was susceptible to sulfentrazone (R/S: 0.81, triazolinone group). Sulfentrazone is also used as a broad-spectrum herbicide. It is an inhibitor of the protoporphyrinogen oxidase (PPO, EC 1.3.4.1.) involved in protoporphyrin biosynthesis, which is a precursor of chlorophylls. The inhibition of PPO also results in forming highly reactive molecules that destroy cell membranes. Visible symptoms of sulfentrazone are chlorosis and desiccation [19,20].
The resistant biotype of M. vaginalis showed cross-resistance against three different chemical groups of ALS-inhibitor herbicides, and multiple resistance against two different herbicide groups which have different modes of action. SU-resistant biotypes of M. vaginalis were first observed in rice fields in Japan in 1989 [21]. Further SU-resistant biotypes of M. vaginalis were found in rice fields in Korea in 1990 and China in 2010 [9]. Resistant biotypes found in Korea also showed cross-resistance against different chemical groups of ALS-inhibitor herbicides, pyrazosulfuron-ethyl (SU group), bensulfuron-methyl (SU group), cyclosulfamuron (SU group), and flumetsulam (TP group) [22]. However, the 2,4-D-resistant biotype of M. vaginalis was observed in this research for the first time.
Among 14 base differences in ALS genes of resistant and susceptible biotypes of M. vaginalis (Figure 3), 427-429 (GTC; susceptible, ATA; resistant) and 442-445 (GTT; susceptible, ATT; resistant) cause two amino acid substitutions: Val-143-Ile and Val-148-Ile (Figure 4). The Pro-197-Ser amino acid substitution was found in resistant biotypes of M. vaginalis against ALS-inhibitor SU herbicide [21,23,24]. There have been 27 types of amino acid substitutions reported in resistant weeds against ALS-inhibitor herbicides. Among them, 11 amino acid substitutions generated highly resistant biotypes and another 16 amino acid substitutions caused moderately resistant biotypes [1,9]. The substitution of Pro-197-Ser was caused by only one nucleotide mutation, and the most abundant. Those mutations gave different resistance spectra against SU and TP herbicides [1,9]. Substitutions of two amino acids in ALS protein were reported in this research for the first time: Val-143-Ile and Val-148-Ile.
ALS has a regulatory subunit and a catalytic subunit. The regulatory subunit controls the activity of the catalytic subunit, including the feedback inhibition by produced amino acids such as valine, leucine, and isoleucine. It has been found that the herbicides cannot mimic the substrate for the enzyme based on the three-dimensional structure analysis of ALS, substrate and herbicide molecules. Thus, ALS-inhibitor herbicides do not bind with the catalytic site of the catalytic subunit, but bind across the catalytic site and interfere with the access of the substrate to the catalytic entry point of ALS [25]. The resistant biotype of M. vaginalis showed differing resistance levels to different chemical groups of ALS-inhibitor herbicides (Table 2). Those herbicides may bind differently across the catalytic site of ALS protein, which may cause the different efficiency for those herbicides to block substrate to access to the catalytic entry. It was also reported that two chemical groups of ALS-inhibitor herbicides, SU and TP herbicides bound different sites of ALS protein with partially overlapping [25]. However, it has been reported that four ALS genes exist in M. vaginalis [21]. Thus, the mutations of Val-143-Ile and Val-148-Ile should be examined for each ALS gene.
The resistant biotype of M. vaginalis showed low resistance to 2,4-D. Synthetic auxin herbicides were introduced in the 1940s, and more than 30 resistant weed species were reported. However, only a few resistant species are widespread, and the synthetic auxin herbicides remain effective to control several weeds [2]. The resistance mechanism against 2,4-D has been reported in only a few species. The resistant biotype of Galeopsis tetrehit L., which is resistant to the herbicide 4-chloro-2-ethyphenoxyacetate (MCPA), has the gene mutations involved in the reduction of 4-chloro-2-ethyphenoxyacetate (MCPA) translocation, and activation of MCPA degradation metabolism [26]. It is necessary to elucidate the biochemical and molecular basis of evolved resistance of M. vaginalis to synthetic auxin herbicides in the future.
The appearance of multiple resistance and cross-resistance in weeds is a serious issue for weed control. The resistant biotype of M. vaginalis showed tolerance against three chemical groups of ALS-inhibitor herbicides (bensulfuron-methyl, bispyribac-sodium and penoxsulam), and a synthetic auxin herbicide (2.4-D). However, the resistant biotype was susceptible to a PPO-inhibitor herbicide (sulfentrazone). The most effective herbicide-resistance management strategy is probably to rotate herbicide sites of action [27,28]. The employment of herbicide mixtures, such as combinations of PPO-inhibitor and other herbicides, and the rotation of different types of herbicides in different growing seasons, may be an option to control M. vaginalis resistant biotypes [2,9,29].

4. Materials and Methods

4.1. Plant Materials

Susceptible and resistant biotypes of M. vaginalis seeds were collected from lowland rice cultivation areas in March 2021. The susceptible biotype was collected from Kertajaya Village, Tambakdahan District, Subang Regency, West Java Province (6°21′39.9″ S 107°48′07.8″ E). The resistant biotype was collected from Kalentambo Village, Pusakanegara District, Subang Regency, West Java Province (6°15′32.8″ S 107°53′34.6″ E). The resistant population of M. vaginalis has been identified as bensulfuron-methyl resistant biotype [15]. The collected seeds were then cleaned and dried in the sun for one week to reduce their moisture and increase the maturity.

4.2. Herbicide Dose–Response Experiments

Herbicide dose–response experiments were carried out using the whole plant pot test dose–response method [30]. Pots (20 cm in diameter) were filled with paddy soil (3 kg) after sterilisation using an autoclave at 120 °C and 15 psi for 2 h so that only M. vaginalis seeds could be allowed to germinate and grow. Then, 10–20 seeds of M. vaginalis were sowed on the soil surface in the pots. Sufficient water was supplied to the pots, and the water level was maintained at 0.5 cm above the soil surface during the experiments. Two weeks after sowing (1–2 leaf stage of M. vaginalis), herbicides were applied at seven dosage levels (0, 0.25, 0.5, 1, 2, 4, and 8 times of herbicide recommended dosage): bensulfuron-methyl (0, 1, 2, 4, 8, 16, 32 g a.i. ha−1; Benson 10 wp, PT Dalzon, Wangunharja, Indonesia), penoxsulam (0, 2.5, 5, 10, 20, 40, 80 g a.i. ha−1; Clipper 25 OD, Corteva, Wilmington, USA), bispyribac-sodium (0, 5, 10, 20, 40, 80, 160 g a.i. ha−1; Tabbas 400 SC, Deltagro Mulia Sejati, Jakarta, Indonesia), sulfentrazone (0, 12, 24, 48, 96, 192, 384 g a.i. ha−1; Boral 480 SC, PT. Bina Guna Kimia, Jawa Tengah, Indonesia), and 2,4-D dimethyl ammonium (0, 108.12, 216.25, 432.5, 865, 1730, 3460 g a.i. ha−1; Indamin 865 SL, PT. Indagro, Jakarta, Indonesia). Herbicide application was carried out with a spray volume of 400 L ha−1 using a semi-automatic knapsack sprayer with a flat fan nozzle at a pressure of 138 kPa. M. vaginalis was harvested 28 days after herbicide application, and five plants for each treatment were used for the determination of their mass.

4.3. Statistical Analyses for the Dose–Response Experiments

The experimental design used in this experiment was a 2-factor split-plot with three replications. The percentage of growth reduction data was obtained from the comparison between the dry weight of herbicide application weeds (T) and the dry weight of control weeds, to which no herbicide was applied (C), using the following equation [31]: The growth reduction (%) = [1 − (T/C)] × 100. The growth reduction was transformed using the square root transformation (square root of data + 0.5) and then analysed using ANOVA. The interaction between weed populations and herbicide doses was analysed based on a p-value < 0.05. If an interaction occurred, Tukey’s test was used to identify significant differences.
The herbicide doses required for 50% growth reduction (GR50) were obtained by nonlinear regression using the log-logistic dose–response equation [32]: Y = c + (d − c)/[1 + (X/GR50)b], where c and d denote lower and upper limits, respectively, and b is the slope of the response curve. The percentage of damage, obtained from the conversion of weed dry weight yield, was used to determine the GR50. Ideally, the doses used should cover the whole range of responses, from no visible effects to complete weed mortality. Dose–response analysis was performed using OriginPro 9.0 software.

4.4. Isolation of DNA and Gene Sequence

Genomic DNA was isolated from the leaves of susceptible and resistant biotypes of M. vaginalis using “Plant Genomic DNA Mini Kit” (GP-100, Geneaid Biotec Ltd., Taipei, Taiwan). A primer set 5′-ATGGCTGCTTCGAAGCCCTCTCCATT-3′ (forward) and 5′-ACTAGTGCACTGTGCTCCCATCTCCAT-3′ (reverse) [24] was used for PCR amplification of ALS genes of M. vaginalis. The amplification was performed in a total volume of 50 µL containing 25 µL “KOD One PCR master mix” (KMM-201 Toyobo Co., Ltd., Osaka, Japan), 1.5 µL each primer (0,3 µM), 21 µL dd H2O, and 1 µL DNA of M. vaginalis (10 ng). The PCR conditions were as follows: denaturation at 94 °C for 2 min; 35 cycles of 98 °C for 15 s, 64 °C for 30 s; and final extension at 68 °C for 45 s. After the amplification process, the DNA sequence process was carried out using the capillary electrophoresis method (Sanger sequencing method) [33] with a thermal cycler: Agilent Surecycler 8800 (Agilent Technologies Inc., Santa Clara, CA, USA). The experiment was repeated three times independently to confirm the validity.

5. Conclusions

The resistant biotype of M. vaginalis showed cross-resistance at different levels against three different chemical groups of ALS-inhibitor herbicides: bensulfuron-methyl (SU), bispyribac-sodium (PTB), and penoxsulam (TP). The biotype also showed resistance to 2,4-D, which has a different site of action from that of ALS-inhibitor herbicides. However, it is susceptible to sulfentrazone. Amino acid substitutions of ALS protein of the resistant biotype were found in Val-143-Ile and Val-148-Ile. Those mutations may give different resistance spectra against three ALS-inhibitor herbicides. However, it is necessary to elucidate the molecular basis of target-site resistance mechanisms such as the transformation of the ALS gene of M. vaginalis. The employment of herbicide mixtures and/or the rotation of herbicide sites of action should be considered in order to control the biotype of M. vaginalis.

Author Contributions

Conceptualisation, D.K.; methodology, D.K., D.W., S.S., A.S.J. and U.U.; validation, D.K. and C.N.; investigation, D.K., R.W., D.W. and U.U.; resources, D.K., A.S.J., S.S and C.N.; data curation, D.K., R.W., U.U. and C.N.; reviewing literature, writing, and editing, D.K. and H.K.-N.; project administration, D.K.; funding acquisition, D.K. All authors have read and agreed to the published version of the manuscript.

Funding

This research was funded by the Academic Leadership Grant (ALG) Universitas Padjadjaran, contract No. 1959/UN6.3.1/PT.00/2021.

Institutional Review Board Statement

Not applicable.

Informed Consent Statement

Not applicable.

Data Availability Statement

Not applicable.

Acknowledgments

We thank the Rector Universitas Padjadjaran for the scheme of the Academic Leadership Grant (ALG) for supporting the project.

Conflicts of Interest

The authors declare no conflict of interest.

References

  1. Powles, S.B.; Yu, Q. Evolution in action: Plants resistant to herbicides. Annu. Rev. Plant Biol. 2010, 61, 317–347. [Google Scholar] [CrossRef] [PubMed] [Green Version]
  2. Heap, I. Global perspective of herbicide-resistant weeds. Pest Manag. Sci. 2014, 70, 1306–1315. [Google Scholar] [CrossRef] [PubMed]
  3. Saari, L.L.; Cotterman, J.C.; Thill, D.C. Resistance to acetolactate synthase inhibiting herbicides. In Herbicide Resistance in Plants: Biology and Biochemistry; Powles, S.B., Holtum, A.M., Eds.; Lewis Publishers: Boca Raton, FL, USA, 1994; pp. 83–139. [Google Scholar]
  4. Zhou, Q.; Liu, W.; Zhang, Y.; Liu, K.K. Action mechanisms of acetolactate synthase-inhibiting herbicides. Pestic. Biochem. Physiol. 2007, 89, 89–96. [Google Scholar] [CrossRef]
  5. Baucom, R.S. Evolutionary and ecological insights from herbicide-resistant weeds: What have we learned about plant adaptation, and what is left to uncover? New Phytol. 2019, 223, 68–82. [Google Scholar] [CrossRef] [PubMed] [Green Version]
  6. Moss, S.; Ulber, L.; Hoed, I.D. A herbicide resistance risk matrix. Crop Prot. 2019, 115, 13–19. [Google Scholar] [CrossRef]
  7. Heap, I.; Knight, R. The occurrence of herbicide cross-resistance in a population of annual ryegrass, Lolium rigidum, resistant to diclofop-methyl. Aust. J. Agric. Res. 1986, 37, 149–156. [Google Scholar] [CrossRef]
  8. Mallory-Smith, C.A.; Thill, D.C.; Dial, M.J. Identification of sulfonylurea herbicide-resistant prickly lettuce (Lactuca serriola). Weed Technol. 1990, 4, 163–168. [Google Scholar] [CrossRef]
  9. Heap, I. The International Herbicide-Resistant Weed Database. Available online: https://www.weedscience.org (accessed on 12 December 2021).
  10. Wang, G.; Yamasue, Y.; Itoh, K.; Kusanagi, T. Outcrossing rates as affected by pollinators and the heterozygote advantage of Monochoria korsakowii. Aquat. Bot. 1998, 62, 135–143. [Google Scholar] [CrossRef]
  11. Yokota, T.; Handa, H.; Yamada, Y.; Yoneyama, K.; Takeuchi, Y. Mechanism of the rice hull-induced germination of Monochoria vaginalis seeds in darkness. Weed Biol. Manag. 2014, 14, 138–144. [Google Scholar] [CrossRef]
  12. Invasive Plant Atlas of the United State; Monochoria vaginalis (Burm. f.) K. Presl ex Kunth. Available online: https://www.invasiveplantatlas.org/subject.html?sub=4539 (accessed on 12 December 2021).
  13. Invasive Species Compendium; Monochoria vaginalis (Pickerel Weed). Available online: https://www.cabi.org/isc/datasheet/34807 (accessed on 12 December 2021).
  14. Nakamura, K.; Nakamura, H. Differences in nutrient absorption among paddy weeds. I. Nitrogen absorption in mixed planting. Weed Res. Jpn. 1984, 29, 147–152. [Google Scholar]
  15. Kurniadie, D.; Widianto, R.; Widayat, D.; Umiyati, U.; Nasahi, C. Confirmation of resistance Monochoria vaginalis (Burm. f.) C. Presl from West Java and Lampung Indonesia to bensulfuron-methyl herbicide. J. Plant Prot. Res. 2021, 61, 139–144. [Google Scholar] [CrossRef]
  16. Basic Local Alignment Search Tool, National Center for Biotechnology Information. Available online: https://blast.ncbi.nlm.nih.gov/Blast.cgi (accessed on 10 August 2021).
  17. Ahmad-Hamdani, M.S.; Owen, M.J.; Yu, Q.; Powles, S.B. ACCase-inhibiting herbicide-resistant Avena spp. Populations from the Western Australian grain belt. Weed Technol. 2012, 26, 130–136. Available online: https://www.jstor.org/stable/41409101 (accessed on 12 December 2021). [CrossRef]
  18. Herbicide Symptoms; Synthetic Auxins, University of California. Available online: https://herbicidesymptoms.ipm.ucanr.edu/MOA/Synthetic_Auxins/ (accessed on 19 December 2021).
  19. Nagano, E. Herbicidal efficacy of protoporphyrinogen oxidase inhibitors. In Peroxidizing Herbicides; Böger, P., Wakabayashi, K., Eds.; Springer: Berlin/Heidelberg, Germany, 1999; pp. 293–302. [Google Scholar] [CrossRef]
  20. Herbicide Symptoms; Protoporphyrinogen Oxidase (PPO) Inhibitors, University of California. Available online: https://herbicidesymptoms.ipm.ucanr.edu/MOA/PPO_inhibitors/ (accessed on 19 December 2021).
  21. Ohsako, T.; Tominaga, T. Nucleotide substitutions in the acetolactate synthase genes of sulfonylurea-resistant biotypes of Monochoria vaginalis (Pontederiaceae). Genes Genet. Syst. 2007, 82, 207–215. [Google Scholar] [CrossRef] [PubMed] [Green Version]
  22. Hwang, I.T.; Lee, K.H.; Park, S.H.; Lee, B.H.; Hong, K.S.; Han, S.S.; Cho, K.Y. Resistance to acetolactate synthase inhibitors in a biotype of Monochoria vaginalis Discovered in Korea. Pestic. Biochem. Physiol. 2001, 71, 69–76. [Google Scholar] [CrossRef]
  23. Iwakami, S.; Tanigaki, S.; Uchino, A.; Ozawa, Y.; Tominaga, T.; Wang, G.X. Characterization of the acetolactate synthase gene family in sensitive and resistant biotypes of two tetraploid Monochoria weeds, M. vaginalis and M. korsakowii. Pestic. Biochem. Physiol. 2020, 165, 104506. [Google Scholar] [CrossRef] [PubMed]
  24. Song, H.Y.; Cho, S.J.; Lim, H.K.; Park, N.J.; Hwang, I.T. Transformation a mutant Monochoria vaginalis acetolactate synthase (ALS) gene renders Arabidopsis thaliana resistant to ALS inhibitors. Pestic. Biochem. Physiol. 2010, 97, 223–228. [Google Scholar] [CrossRef]
  25. McCourt, J.A.; Pang, S.S.; King-Scott, J.; Guddat, L.W.; Duggleby, R.G. Herbicide-binding sites revealed in the structure of plant acetohydroxyacid synthase. Proc. Natl. Acad. Sci. USA 2006, 103, 569–573. [Google Scholar] [CrossRef] [Green Version]
  26. Wienberg, T.; Stephenson, G.R.; McLean, M.D.; Hall, J.C. MCPA (4-chloro-2-ethyphenoxyacetate) resistance in hemp-nettle (Galeopsis tetrabit L.). J. Agric. Food Chem. 2006, 54, 9126–9134. [Google Scholar] [CrossRef]
  27. Feng, P.C.C.; CaJacob, C.A.; Martino-Catt, S.J.; Cerny, R.E.; Elmore, G.A.; Heck, G.R.; Haung, J.; Kruger, W.M.; Malven, M.; Miklos, J.A.; et al. Glyphosate-resistant crops: Developing the next generation products. In Glyphosate Resistance in Crops and Weeds, History, Development, and Management; Nandula, V.K., Ed.; Wiley: New York, NY, USA, 2010; pp. 45–65. [Google Scholar]
  28. Green, J.M.; Castle, L.A. Transitioning from single to multiple herbicide resistant crops. In Glyphosate Resistance in Crops and Weeds, History, Development, and Management; Nandula, V.K., Ed.; Wiley: New York, NY, USA, 2010; pp. 67–91. [Google Scholar]
  29. Henckes, J.R.; Cechin, J.; Schmitz, M.F.; Piasecki, C.; Vargas, L.; Agostinetto, D. Fitness cost and competitive ability of ryegrass susceptible and with multiple resistance to glyphosate, iodosulfuron-methyl, and pyroxsulam. Planta Daninha 2019, 37, e019197532. [Google Scholar] [CrossRef]
  30. Burgos, N.R. Whole-plant and seed bioassays for resistance confirmation. Weed Sci. 2015, 63, 152–165. [Google Scholar] [CrossRef] [Green Version]
  31. Hilton, H.W. Herbicide tolerant strains of weeds. In Hawaiian Sugar Planters Assocociation Annual Repport; University Press of Hawaii: Honolulu, HI, USA, 1957; pp. 69–72. [Google Scholar]
  32. Seefeldt, S.S.; Jensen, J.E.; Feurst, E.P. Log-logistic analysis of herbicide dose-response relationships. Weed Technol. 1995, 9, 218–227. [Google Scholar] [CrossRef]
  33. França, L.T.C.; Carrilho, E.; Kist, T.B.L. A review of DNA sequencing techniques. Q. Rev. Biophys. 2002, 35, 169–200. [Google Scholar] [CrossRef] [PubMed]
Figure 1. Effects of herbicides on susceptible and resistant biotypes of M. vaginalis. Herbicides were applied at seven dosage levels (0, 0.25, 0.5, 1, 2, 4, and 8 times of herbicide recommended dosage) at 2 weeks after sowing of M. vaginalis: bensulfuron-methyl (0, 1, 2, 4, 8, 16, 32 g a.i. ha−1), penoxsulam (0, 2.5, 5, 10, 20, 40, 80 g a.i. ha−1), bispyribac-sodium (0, 5, 10, 20, 40, 80, 160 g a.i. ha−1), sulfentrazone (0, 12, 24, 48, 96, 192, 384 g a.i. ha−1), and 2,4-D dimethyl ammonium (0, 108.12, 216.25, 432.5, 865, 1730, 3460 g a.i. ha−1). Photos were taken 28 days after herbicide application.
Figure 1. Effects of herbicides on susceptible and resistant biotypes of M. vaginalis. Herbicides were applied at seven dosage levels (0, 0.25, 0.5, 1, 2, 4, and 8 times of herbicide recommended dosage) at 2 weeks after sowing of M. vaginalis: bensulfuron-methyl (0, 1, 2, 4, 8, 16, 32 g a.i. ha−1), penoxsulam (0, 2.5, 5, 10, 20, 40, 80 g a.i. ha−1), bispyribac-sodium (0, 5, 10, 20, 40, 80, 160 g a.i. ha−1), sulfentrazone (0, 12, 24, 48, 96, 192, 384 g a.i. ha−1), and 2,4-D dimethyl ammonium (0, 108.12, 216.25, 432.5, 865, 1730, 3460 g a.i. ha−1). Photos were taken 28 days after herbicide application.
Plants 11 00400 g001
Figure 2. Growth reduction curves of susceptible and resistant biotypes of M. vaginalis by herbicide application. Dosage indicated times of recommended dosage as described in Figure 1.
Figure 2. Growth reduction curves of susceptible and resistant biotypes of M. vaginalis by herbicide application. Dosage indicated times of recommended dosage as described in Figure 1.
Plants 11 00400 g002
Figure 3. Alignment of partial nucleotide sequences of ALS gene. Red boxes indicate the substitution.
Figure 3. Alignment of partial nucleotide sequences of ALS gene. Red boxes indicate the substitution.
Plants 11 00400 g003
Figure 4. Alignment of deduced amino acid sequences of ALS gene. Red boxes indicate the substitution.
Figure 4. Alignment of deduced amino acid sequences of ALS gene. Red boxes indicate the substitution.
Plants 11 00400 g004
Table 1. Effects of herbicides on the growth reduction (%) of susceptible and resistant biotypes of M. vaginalis.
Table 1. Effects of herbicides on the growth reduction (%) of susceptible and resistant biotypes of M. vaginalis.
HerbicideBiotypeHerbicides Dosages (Times of Recommended Dosage)
00.250.51248
Bensulfuron-methylSusceptible0.00 a,D28.42 a,C52.54 a,B100 a,A100 a,A100 a,A100 a,A
Resistant0.00 a,C1.10 b,C3.49 b,C18.98 b,B19.84 b,B35.22 b,A37.27 b,A
PenoxsulamSusceptible0.00 a,D25.85 a,C60.87 a,B100 a,A100 a,A100 a,A100 a,A
Resistant0.00 a,E8.87 b,D21.72 b,C34.10 b,B100 a,A100 a,A100 a,A
Bispyribac-sodiumSusceptible0.00 a,C10.29 a,B83.84 a,A100 a,A100 a,A100 a,A100 a,A
Resistant0.00 a,D3.66 b,D10.99 b,C22.72 b,B24.17 b,B100 a,A100 a,A
SulfentrazoneSusceptible0.00 a,D12.61 b,C61.76 b,B100 a,A100 a,A100 a,A100 a,A
Resistant0.00 a,D22.11 a,C79.10 a,B100 a,A100 a,A100 a,A100 a,A
2,4-DSusceptible0.00 a,C79.41 a,B83.35 a,B100 a,A100 a,A100 a,A100 a,A
Resistant0.00 a,E37.02 b,D66.08 b,C69.50 b,C78.76 b,B100 a,A100 a,A
Herbicides were applied at seven dosage levels (0, 0.25, 0.5, 1, 2, 4, and 8 times of herbicide recommended dosage) at 2 weeks after sowing of M. vaginalis, and M. vaginalis was harvested 28 days after herbicide application. The percentage was calculated from the comparison between the dry weight of herbicide-applied M. vaginalis and that of control M. vaginalis, with a value of 100% indicating complied inhibition. The values in each column followed by the same lowercase letters (vertical direction) and uppercase letters (horizontal direction) are not significantly different at p < 0.05 according to the Tukey Test for each herbicide.
Publisher’s Note: MDPI stays neutral with regard to jurisdictional claims in published maps and institutional affiliations.

Share and Cite

MDPI and ACS Style

Widianto, R.; Kurniadie, D.; Widayat, D.; Umiyati, U.; Nasahi, C.; Sari, S.; Juraimi, A.S.; Kato-Noguchi, H. Acetolactate Synthase-Inhibitor Resistance in Monochoria vaginalis (Burm. f.) C. Presl from Indonesia. Plants 2022, 11, 400. https://doi.org/10.3390/plants11030400

AMA Style

Widianto R, Kurniadie D, Widayat D, Umiyati U, Nasahi C, Sari S, Juraimi AS, Kato-Noguchi H. Acetolactate Synthase-Inhibitor Resistance in Monochoria vaginalis (Burm. f.) C. Presl from Indonesia. Plants. 2022; 11(3):400. https://doi.org/10.3390/plants11030400

Chicago/Turabian Style

Widianto, Ryan, Denny Kurniadie, Dedi Widayat, Uum Umiyati, Ceppy Nasahi, Santika Sari, Abdul Shukor Juraimi, and Hisashi Kato-Noguchi. 2022. "Acetolactate Synthase-Inhibitor Resistance in Monochoria vaginalis (Burm. f.) C. Presl from Indonesia" Plants 11, no. 3: 400. https://doi.org/10.3390/plants11030400

APA Style

Widianto, R., Kurniadie, D., Widayat, D., Umiyati, U., Nasahi, C., Sari, S., Juraimi, A. S., & Kato-Noguchi, H. (2022). Acetolactate Synthase-Inhibitor Resistance in Monochoria vaginalis (Burm. f.) C. Presl from Indonesia. Plants, 11(3), 400. https://doi.org/10.3390/plants11030400

Note that from the first issue of 2016, this journal uses article numbers instead of page numbers. See further details here.

Article Metrics

Back to TopTop