Effect of Elevated CO2 and Drought on Biomass, Gas Exchange and Wood Structure of Eucalyptus grandis
Abstract
1. Introduction
2. Results
2.1. Seasonal Variations in Gas Exchange at aCO2 and eCO2
2.2. Analysis of Water Use Efficiency at aCO2 and eCO2
2.3. Analysis of Morphological Parameters at aCO2 and eCO2
2.4. Analysis of Vessel Characteristics at aCO2 and eCO2
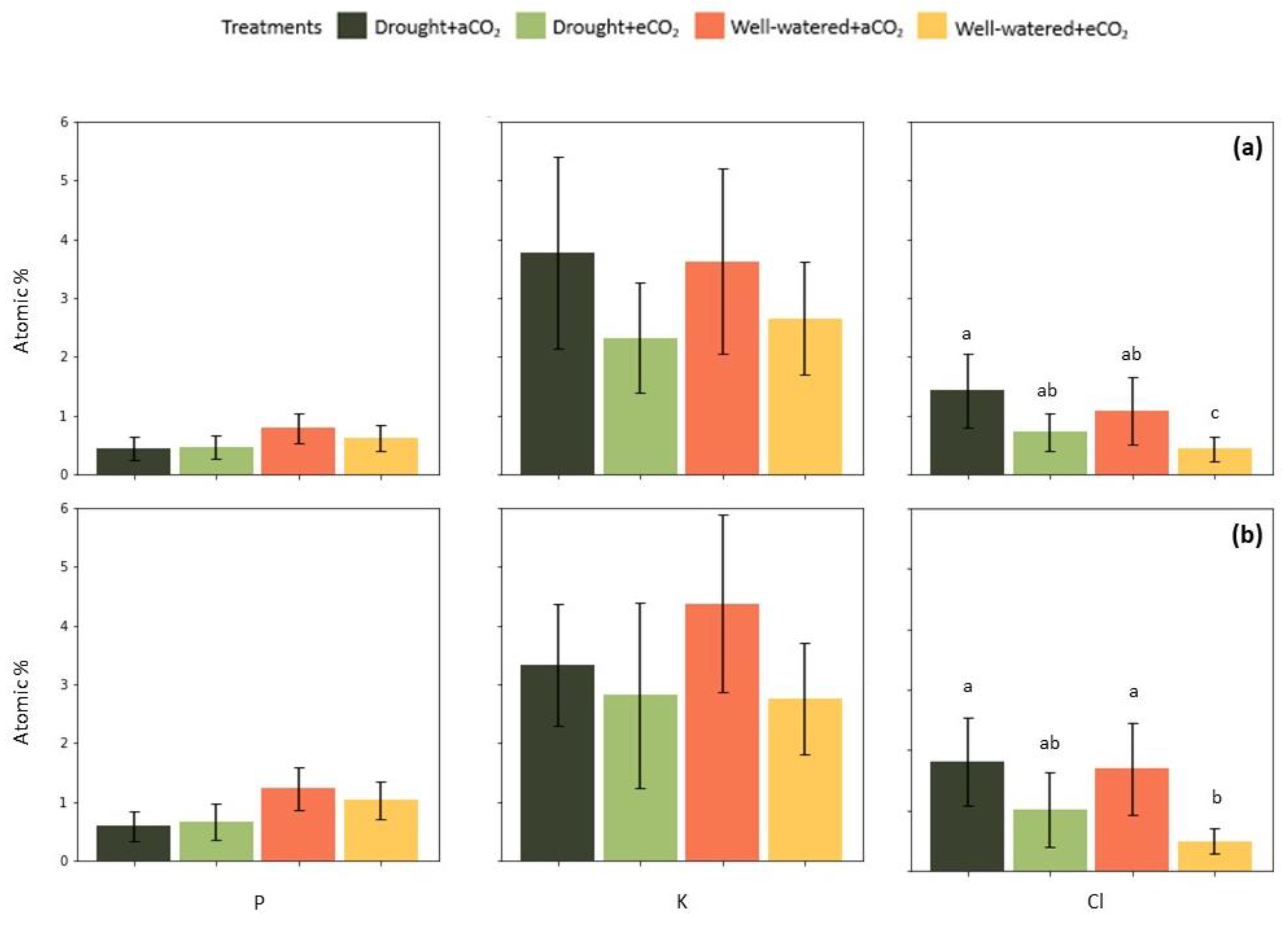
2.5. Analysis of Nutrient Content in Guard Cells and Chloroplasts at aCO2 and eCO2
3. Discussion
4. Materials and Methods
4.1. Biological Material and Growth Conditions
4.2. Leaf Gas Exchange
4.3. Biomass Increment
4.4. EDX Microanalysis
4.5. Anatomical Analysis
4.6. Data Analysis
Author Contributions
Funding
Data Availability Statement
Acknowledgments
Conflicts of Interest
Appendix A

References
- Lindsey, R. Climate Change: Atmospheric Carbon Dioxide. Climate Change: Atmospheric Carbon Dioxide|NOAA Climate.gov. 2020; Retrieved 12 March 2022. Available online: https://www.climate.gov/news-features/understanding-climate/climate-change-atmospheric-carbon-dioxide#:~:text=Before%20the%20Industrial%20Revolution%20started,the%20Industrial%20Revolution%20in%201750 (accessed on 20 April 2022).
- NOAA: Global Monitoring Laboratory—Carbon Cycle Greenhouse Gases. 2022; Retrieved 12 March 2022. Available online: https://gml.noaa.gov/ccgg/trends/weekly.html (accessed on 20 April 2022).
- IPCC. IPCC Sixth Assessment Report: Climate Change 2021: The Physical Science Basis. Contribution of Working Group I to the Sixth Assessment Report of the Intergovernmental Panel of Climate Change; Masson-Delmotte, V., Zhai, P., Pirani, A., Connors, S.L., Péan, C., Beger, S., Caud, N., Chen, Y., Goldfarb, L., Gomins, M.I., Huang, M., Leitzell, L.K., Lonnoy, E., Mathews, J.B.R., Maycock, T.K., Waterfield, T., Yelekçi, O., Yu, R., Zhou, B., Eds.; Cambridge University Press: Cambridge, UK; New York, NY, USA, 2021. [Google Scholar]
- Barickman, T.C.; Adhikari, B.; Sehgal, A.; Walne, C.H.; Reddy, K.R.; Gao, W. Drought and elevated CO2 impacts photosynthesis and biochemicals of Basil (Ocimum basilicum L.). Stresses 2021, 1, 223–237. [Google Scholar] [CrossRef]
- Butt, N.; Pollock, L.J.; McAlpine, C.A. Eucalypts face increasing climate stress. Ecol. Evol. 2013, 3, 5011–5022. [Google Scholar] [CrossRef] [PubMed]
- Choat, B.; Brodribb, T.J.; Brodersen, C.R.; Duursma, R.A.; López, R.; Medlyn, B.E. Triggers of tree mortality under drought. Nature 2018, 558, 531–539. [Google Scholar] [CrossRef]
- Rowland, L.; da Costa, A.C.L.; Galbraith, D.R.; Oliveira, R.S.; Binks, O.J.; Oliveira, A.A.R.; Pullen, A.M.; Doughty, C.E.; Metcalfe, D.B.; Vasconcelos, S.S.; et al. Death from drought in tropical forests is triggered by hydraulics not carbon starvation. Nature 2015, 528, 119–122. [Google Scholar] [CrossRef]
- Li, X.; Blackman, C.J.; Rymer, P.D.; Quintans, D.; Duursma, R.A.; Choat, B.; Medlyn, B.E.; Tissue, D.T. Xylem embolism measured retrospectively is linked to canopy dieback in natural populations of Eucalyptus piperita following drought. Tree Physiol. 2018, 38, 1193–1199. [Google Scholar] [CrossRef] [PubMed]
- Arend, M.; Link, R.M.; Patthey, R.; Hoch, G.; Schuldt, B.; Kahmen, A. Rapid hydraulic collapse as cause of drought-induced mortality in conifers. Proc. Natl. Acad. Sci. USA 2021, 118, e2025251118. [Google Scholar] [CrossRef] [PubMed]
- Brodribb, T.J.; McAdam, S.A.M.; Carins Murphy, M.R. Xylem and stomata, coordinated through time and space. Plant Cell Environ. 2016, 40, 872–880. [Google Scholar] [CrossRef]
- Fichot, R.; Laurans, F.; Monclus, R.; Moreau, A.; Pilate, G.; Brignolas, F. Xylem anatomy correlates with gas exchange, water-use efficiency and growth performance under contrasting water regimes: Evidence from Populus deltoides x Populus nigra hybrids. Tree Physiol. 2009, 29, 1537–1549. [Google Scholar] [CrossRef]
- Yu, D.; Janz, D.; Zienkiewicz, K.; Herrfurth, C.; Feussner, I.; Chen, S.; Polle, A. Wood formation under severe drought invokes adjustment of the hormonal and transcriptional landscape in Poplar. Int. J. Mol. Sci. 2021, 22, 9899. [Google Scholar] [CrossRef]
- Xu, Z.; Jiang, Y.; Jia, B.; Zhou, G. Elevated-CO2 response of stomata and its dependence on environmental factors. Front. Plant Sci. 2016, 7, 657. [Google Scholar] [CrossRef]
- Pandey, S.; Zhang, W.; Assmann, S.M. Roles of ion channels and transporters in guard cell signal transduction. FEBS Lett. 2007, 581, 2325–2336. [Google Scholar] [CrossRef] [PubMed]
- Turner, N.C. Turgor maintenance by osmotic adjustment, an adaptive mechanism for coping with plant water deficits. Plant Cell Environ. 2016, 40, 1–3. [Google Scholar] [CrossRef] [PubMed]
- Qi, J.; Song, C.-P.; Wang, B.; Zhou, J.; Kangasjärvi, J.; Zhu, J.-K.; Gong, Z. Reactive oxygen species signaling and stomatal movement in plant responses to drought stress and pathogen attack. J. Integr. Plant Biol. 2018, 60, 805–826. [Google Scholar] [CrossRef] [PubMed]
- Drew, D.M.; Pammenter, N.W. Vessel frequency, size and arrangement in two Eucalypt clones growing at sites differing in water availability. N. Z. J. For. 2006, 51, 23–28. [Google Scholar]
- Arend, M.; Fromm, J. Seasonal change in the drought response of wood cell development in poplar. Tree Physiol. 2007, 27, 985–992. [Google Scholar] [CrossRef]
- Haworth, M.; Centritto, M.; Giovannelli, A.; Marino, G.; Proietti, N.; Capitani, D.; De Carlo, A.; Loreto, F. Xylem morphology determines the drought response of two Arundo donax ecotypes from contrasting habitats. GCB Bioenergy 2016, 9, 119–131. [Google Scholar] [CrossRef]
- Hsiao, T.C.; Jackson, R.B. Interactive effects of water stress and elevated CO2 on growth, photosynthesis, and water use efficiency. In Carbon Dioxide and Environmental Stress; Academic Press: Cambridge, MA, USA, 1999; pp. 3–31. [Google Scholar] [CrossRef]
- Allen Jr, L.H.; Kakani, V.G.; Vu, J.C.V.; Boote, K.J. Elevated CO2 increases water use efficiency by sustaining photosynthesis of water-limited maize and sorghum. J. Plant Physiol. 2011, 168, 1909–1918. [Google Scholar] [CrossRef]
- Campbell, W.J.; Allen, L.H.; Bowes, G. Effects of CO2 concentration on Rubisco activity, amount, and photosynthesis in soybean leaves. Plant Physiol. 1988, 88, 1310–1316. [Google Scholar] [CrossRef]
- De Souza, A.P.; Gaspar, M.; Da Silva, E.A.; Uilian, E.C.; Waclawovsky, A.J.; Nishiyama, M.Y.; Dos Santos, R.V.; Teixeira, M.M.; Souza, G.M.; Buckeridge, M.S. Elevated CO2 increases photosynthesis, biomass and productivity, and modifies gene expression in sugarcane. Plant Cell Environ. 2008, 31, 1116–1127. [Google Scholar] [CrossRef]
- Avila, R.T.; de Almeida, W.L.; Costa, L.C.; Machado, K.L.; Barbosa, M.L.; de Souza, R.P.; Martino, P.B.; Juárez, M.A.; Marçal, D.M.; Martins, S.C.; et al. Elevated air [CO2] improves photosynthetic performance and alters biomass accumulation and partitioning in drought-stressed coffee plants. Environ. Exp. Bot. 2020, 177, 104137. [Google Scholar] [CrossRef]
- Smith, A.R.; Lukac, M.; Hood, R.; Healey, J.R.; Miglietta, F.; Godbold, D.L. Elevated CO2 enrichment induces a differential biomass response in a mixed species temperate forest plantation. N. Phytol. 2013, 198, 156–168. [Google Scholar] [CrossRef] [PubMed]
- Poorter, H. Interspecific variation in the growth response of plants to an elevated ambient CO2 concentration. Vegetatio 1993, 104–105, 77–97. [Google Scholar] [CrossRef]
- Teulières, C.; Bossinger, G.; Moran, G.; Marque, C. Stress Studies in Eucalyptus. Glob. Sci. Books 2007, 1, 197–215. [Google Scholar]
- Senthur, N.S.; Ravikumar, T.S.; Cijil, J.B. Eucalyptus Biodiesel; an Environmental friendly fuel for Compression Ignition Engines. Am. J. Eng. Res. 2014, 3, 144–149. [Google Scholar]
- Carvalho, D.E.; Rocha, M.P.; Romano, T.J.; Klitzke, R.J. Production costs in the log processing of Eucalyptus spp. wood. An. Acad. Bras. Ciências 2020, 92 (Suppl. 1). [Google Scholar] [CrossRef] [PubMed]
- del Río, J.C.; Rencoret, J.; Martínez, Á.T.; Gutiérrez Suárez, A. (2012, June 24). Recent advances in the chemistry of Eucalyptus wood used for pulp and papermaking. In Proceedings of the 7th international Colloquium on Eucalyptus Pulp, Espírito Santo, Brazil, 26–29 May 2015. [Google Scholar]
- Booth, T.H. Eucalypt plantations and climate change. For. Ecol. Manag. 2013, 301, 28–34. [Google Scholar] [CrossRef]
- Saadaoui, E.; Ben Yahia, K.; Dhahri, S.; Ben Jamaa, M.L.; Khouja, M.L. An overview of adaptative responses to drought stress in Eucalyptus spp. For. Stud. 2017, 67, 86–96. [Google Scholar] [CrossRef]
- Zhou, R.; Yu, X.; Wen, J.; Jensen, N.B.; dos Santos, T.M.; Wu, Z.; Rosenqvist, E.; Ottosen, C.-O. Interactive effects of elevated CO2 concentration and combined heat and drought stress on tomato photosynthesis. BMC Plant Biol. 2020, 20, 260. [Google Scholar] [CrossRef]
- Singh, S.K.; Reddy, V.R.; Devi, M.J.; Timlin, D.J. Impact of water stress under ambient and elevated carbon dioxide across three temperature regimes on soybean canopy gas exchange and productivity. Sci. Rep. 2021, 11, 1–13. [Google Scholar] [CrossRef]
- Kaur, G.; Asthir, B. Molecular responses to drought stress in plants. Biol. Plant. 2017, 61, 201–209. [Google Scholar] [CrossRef]
- Wang, M.; Dai, L.; Ji, L.; Li, Q. Effect of elevated CO2 concentration on growth of dominant tree species in pine broadleaf forest of Changbai mountain. Natl. Cent. Biotechnol. Inf. (NCB) 2000, 11, 675–679. [Google Scholar]
- Shi-jie, H.; Yu-mei, Z.; Jun-hui, Z.; Chen-rui, W.; Chun-jing, Z. Effect of elevated CO2 concentration on growth course of tree seedlings in Changbai Mountain. J. For. Res. 2000, 11, 223–227. [Google Scholar] [CrossRef]
- Siddique, Z.; Jan, S.; Imadi, S.R.; Gul, A.; Ahmad, P. Drought stress and photosynthesis in plants. In Water Stress and Crop Plants; John Wiley & Sons, Inc.: Hoboken, NJ, USA, 2016; pp. 1–11. [Google Scholar] [CrossRef]
- Biswas, D.K.; Ma, B.L.; Morrison, M.J. Changes in leaf nitrogen and phosphorus content, photosynthesis, respiration, growth, and resource use efficiency of a rapeseed cultivar as affected by drought and high temperatures. Can. J. Plant Sci. 2019, 99, 488–498. [Google Scholar] [CrossRef]
- Bista, D.; Heckathorn, S.; Jayawardena, D.; Mishra, S.; Boldt, J. Effects of drought on nutrient uptake and the levels of nutrient-uptake proteins in roots of drought-sensitive and -tolerant grasses. Plants 2018, 7, 28. [Google Scholar] [CrossRef] [PubMed]
- Reich, P.B.; Oleksyn, J.; Wright, I.J. Leaf phosphorus influences the photosynthesis–nitrogen relation: A cross-biome analysis of 314 species. Oecologia 2009, 160, 207–212. [Google Scholar] [CrossRef]
- Roden, J.S.; Ball, M.C. The effect of elevated [CO2] on growth and photosynthesis of two Eucalyptus species exposed to high temperatures and water deficits. Plant Physiol. 1996, 111, 909–919. [Google Scholar] [CrossRef]
- Pandurangam, V.; Sharma-Natu, P.; Sreekanth, B.; Ghildiyal, M.C. Photosynthetic acclimation to elevated CO2 in relation to Rubisco gene expression in three C3 species. Indian J. Exp. Biol. 2006, 44, 408–415. [Google Scholar]
- Penuelas, J.; Fernández-Martínez, M.; Vallicrosa, H.; Maspons, J.; Zuccarini, P.; Carnicer, J.; Sanders, T.G.M.; Krüger, I.; Obersteiner, M.; Janssens, I.A.; et al. Increasing atmospheric CO2 concentrations correlate with declining nutritional status of European forests. Commun. Biol. 2020, 3, 125. [Google Scholar] [CrossRef]
- Li, D.; Liu, H.; Qiao, Y.; Wang, Y.; Cai, Z.; Dong, B.; Shi, C.; Liu, Y.; Li, X.; Liu, M. Effects of elevated CO2 on the growth, seed yield, and water use efficiency of soybean (Glycine max (L.) Merr.) under drought stress. Agric. Water Manag. 2013, 129, 105–112. [Google Scholar] [CrossRef]
- Souza, J.P.; Melo, N.M.J.; Pereira, E.G.; Halfeld, A.D.; Gomes, I.N.; Prado, C.H.B.A. Responses of woody Cerrado species to rising atmospheric CO2 concentration and water stress: Gains and losses. Funct. Plant Biol. 2016, 43, 1183. [Google Scholar] [CrossRef]
- Arash, H.; Moghiseh, E.; Amirifar, A.; Mofidi-Chelan, M.; Lajayer, A.A. Physiological effects of drought stress in plants. In Plant Stress Mitigators; Arya, A., Choudhary, D.K., Eds.; Springer: Singapore, 2022; pp. 113–124. [Google Scholar] [CrossRef]
- Rosell, J.A.; Olson, M.E.; Anfodillo, T. Scaling of xylem vessel diameter with plant size: Causes, predictions, and outstanding questions. Curr. For. Rep. 2017, 3, 46–59. [Google Scholar] [CrossRef]
- Watanabe, Y.; Satomura, T.; Sasa, K.; Funada, R.; Koike, T. Differential anatomical responses to elevated CO2 in saplings of four hardwood species. Plant Cell Environ. 2010, 33, 1011–1101. [Google Scholar] [CrossRef] [PubMed]
- Atkinson, C.J.; Taylor, J.M. Effects of elevated CO2 on stem growth, vessel area and hydraulic conductivity of oak and cherry seedlings. N. Phytol. 1996, 133, 617–626. [Google Scholar] [CrossRef]
- di Toppi, L.S.; Fabbri, A.; Favali, M.A.; Ganino, T.; Grassi, S.; Raschi, A. Elevated CO2 reduces vessel diameter and lignin deposition in some legume plants grown in mini-FACE rings. Biol. Plant 2003, 46, 243–249. [Google Scholar] [CrossRef]
- Arsić, J.; Stojanović, M.; Petrovičová, L.; Noyer, E.; Milanović, S.; Světlík, J.; Horáček, P.; Krejza, J. Increased wood biomass growth is associated with lower wood density in Quercus petraea (Matt.) Liebl. saplings growing under elevated CO2. PLoS ONE 2021, 16, e0259054. [Google Scholar] [CrossRef]
- Yazaki, K.; Funada, R.; Mori, S.; Maruyama, Y.; Abaimov, A.P.; Kayama, M.; Koike, T. Growth and annual ring structure of Larix sibirica grown at different carbon dioxide concentrations and nutrient supply rates. Tree Physiol. 2001, 21, 1223–1229. [Google Scholar] [CrossRef] [PubMed]
- Janssen, T.A.J.; Hölttä, T.; Fleischer, K.; Naudts, K.; Dolman, H. Wood allocation trade-offs between fiber wall, fiber lumen, and axial parenchyma drive drought resistance in neotropical trees. Plant Cell Environ. 2020, 43, 965–980. [Google Scholar] [CrossRef] [PubMed]
- Oehme, V.; Högy, P.; Zebitz, C.P.; Fangmeier, A. Effects of elevated atmospheric CO2 concentrations on phloem sap composition of spring crops and aphid performance. J. Plant Interact. 2013, 8, 74–84. [Google Scholar] [CrossRef]
- Birami, B.; Nägele, T.; Gattmann, M.; Preisler, Y.; Gast, A.; Arneth, A.; Ruehr, N.K. Hot drought reduces the effects of elevated CO2 on tree water-use efficiency and carbon metabolism. New Phytol. 2020, 226, 1607–1621. [Google Scholar] [CrossRef] [PubMed]








Disclaimer/Publisher’s Note: The statements, opinions and data contained in all publications are solely those of the individual author(s) and contributor(s) and not of MDPI and/or the editor(s). MDPI and/or the editor(s) disclaim responsibility for any injury to people or property resulting from any ideas, methods, instructions or products referred to in the content. |
© 2022 by the authors. Licensee MDPI, Basel, Switzerland. This article is an open access article distributed under the terms and conditions of the Creative Commons Attribution (CC BY) license (https://creativecommons.org/licenses/by/4.0/).
Share and Cite
Costa, L.d.S.; Vuralhan-Eckert, J.; Fromm, J. Effect of Elevated CO2 and Drought on Biomass, Gas Exchange and Wood Structure of Eucalyptus grandis. Plants 2023, 12, 148. https://doi.org/10.3390/plants12010148
Costa LdS, Vuralhan-Eckert J, Fromm J. Effect of Elevated CO2 and Drought on Biomass, Gas Exchange and Wood Structure of Eucalyptus grandis. Plants. 2023; 12(1):148. https://doi.org/10.3390/plants12010148
Chicago/Turabian StyleCosta, Layssa da Silva, Jasmin Vuralhan-Eckert, and Jörg Fromm. 2023. "Effect of Elevated CO2 and Drought on Biomass, Gas Exchange and Wood Structure of Eucalyptus grandis" Plants 12, no. 1: 148. https://doi.org/10.3390/plants12010148
APA StyleCosta, L. d. S., Vuralhan-Eckert, J., & Fromm, J. (2023). Effect of Elevated CO2 and Drought on Biomass, Gas Exchange and Wood Structure of Eucalyptus grandis. Plants, 12(1), 148. https://doi.org/10.3390/plants12010148
