Amaranthus Biochar-Based Microbial Cell Composites for Alleviation of Drought and Cadmium Stress: A Novel Bioremediation Approach
Abstract
1. Introduction
2. Results
2.1. Isolation and Identification of Rhizobacteria
2.2. Minimum Inhibitory Concentration, Drought Resistance, and PGP Attributes under Cd and Drought Stress
2.3. Biochar Preparation, BMC Development and Seed Germination
2.4. Plant Growth Experiment
2.4.1. Biometric Growth Parameters and Cd Accumulation in B. napus before and after Drought
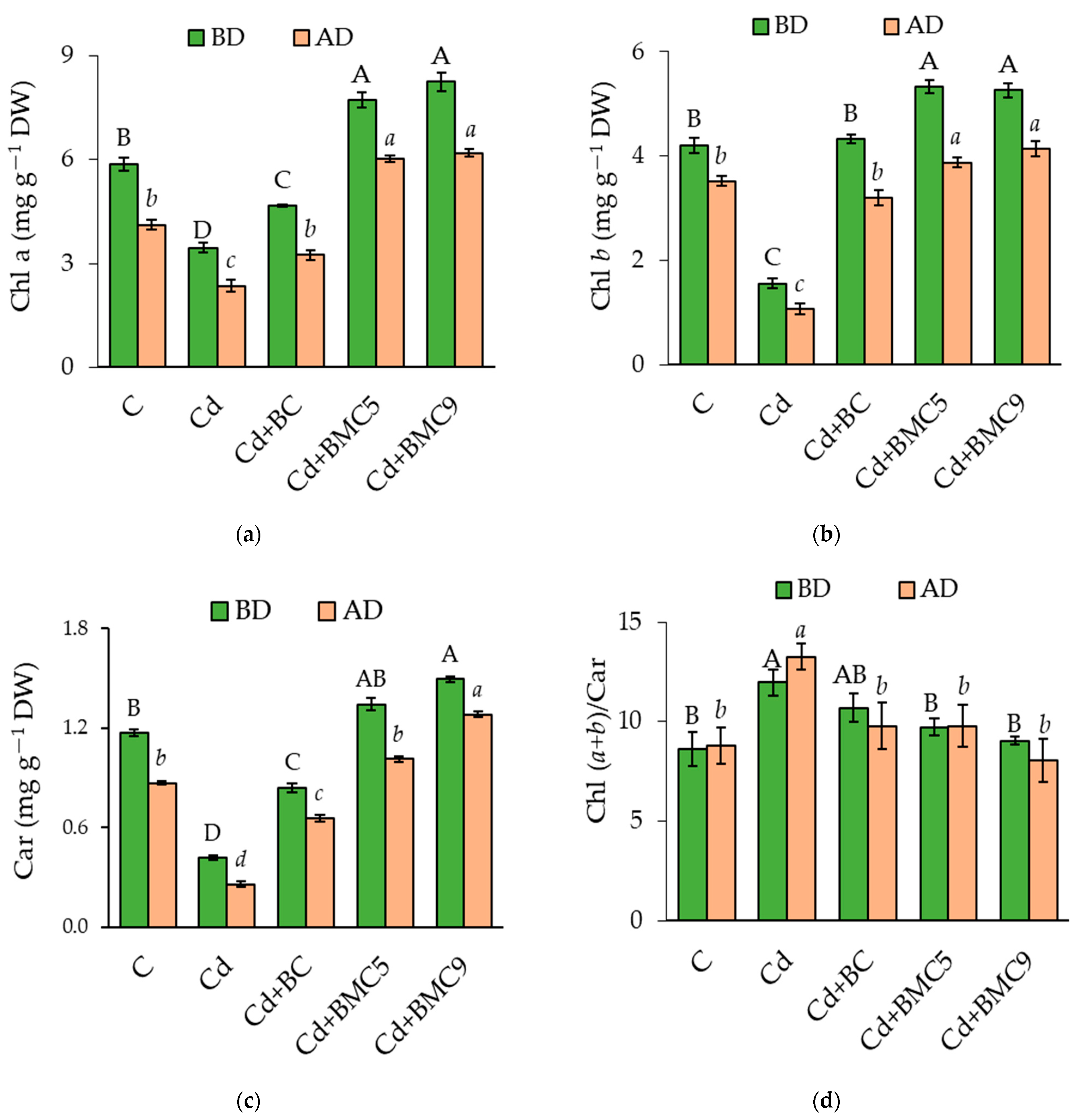
2.4.2. Physiological Parameters of B. napus before and after Drought
3. Discussion
4. Materials and Methods
4.1. Soil Sample Collection
4.2. Isolation of Cadmium-Tolerant and Drought-Resistant Rhizobacteria
4.3. Genetic Identification of Bacterial Strains
4.4. Characterization of Plant-Growth-Promoting Attributes
4.5. Biochar Preparation, Characterization, and BMC Development
4.6. Plant Growth Experiments
4.6.1. Pot-Scale Study with B. napus
4.6.2. Biometric Growth Parameters and Cd accumulation in B. napus
4.6.3. Physiological Parameters of B. napus
4.7. Statistical Analyses
5. Conclusions
Author Contributions
Funding
Data Availability Statement
Acknowledgments
Conflicts of Interest
References
- Haider, F.U.; Liqun, C.; Coulter, J.A.; Cheema, S.A.; Wu, J.; Zhang, R.; Farooq, M. Cadmium toxicity in plants: Impacts and remediation strategies. Ecotoxicol. Environ. Saf. 2021, 211, 111887. [Google Scholar] [CrossRef]
 - Islam, M.; Sandhi, A. Heavy Metal and Drought Stress in Plants: The Role of Microbes—A Review. Gesunde Pflanz. 2022. [Google Scholar] [CrossRef]
 - Sarwar, M.J.; Zahir, Z.A.; Asghar, H.N.; Shabaan, M.; Ayyub, M. Co-application of organic amendments and Cd-tolerant rhizobacteria for suppression of cadmium uptake and regulation of antioxidants in tomato. Chemosphere 2023, 327, 138478. [Google Scholar] [CrossRef]
 - Vishnupradeep, R.; Bruno, L.B.; Taj, Z.; Karthik, C.; Challabathula, D.; Kumar, A.; Rajkumar, M. Plant growth promoting bacteria improve growth and phytostabilization potential of Zea mays under chromium and drought stress by altering photosynthetic and antioxidant responses. Environ. Technol. Innov. 2022, 25, 102154. [Google Scholar] [CrossRef]
 - Thijs, S.; Sillen, W.; Weyens, N.; Vangronsveld, J. Phytoremediation: State-of-the-art and a key role for the plant microbiome in future trends and research prospects. Int. J. Phytorem. 2017, 19, 23–38. [Google Scholar] [CrossRef]
 - Xia, S.; Wang, X.; Su, G.; Shi, G. Effects of drought on cadmium accumulation in peanuts grown in a contaminated calcareous soil. Environ. Sci. Pollut. Res. 2015, 22, 18707–18717. [Google Scholar] [CrossRef]
 - Edokpayi, J.N.; Odiyo, J.O.; Popoola, E.O.; Msagati, T.A.M. Evaluation of temporary seasonal variation of heavy metals and their potential ecological risk in Nzhelele River, South Africa. Open Chem. 2017, 15, 272–282. [Google Scholar] [CrossRef]
 - Skorbiłowicz, M.; Skorbiłowicz, E.; Rogowska, W. Heavy metal concentrations in roadside soils on the Białystok-Budzisko route in northeastern Poland. Minerals 2021, 11, 1290. [Google Scholar] [CrossRef]
 - Ying, Y.Q.; Song, L.L.; Jacobs, D.F.; Mei, L.; Liu, P.; Jin, S.H.; Wu, J.S. Physiological response to drought stress in Camptotheca acuminata seedlings from two provenances. Front. Plant Sci. 2015, 6, 361. [Google Scholar] [CrossRef]
 - Kumar, A.; Borisova, G.; Maleva, M.; Tripti; Shiryaev, G.; Tugbaeva, A.; Sobenin, A.; Kiseleva, I. Biofertilizer Based on Biochar and Metal-Tolerant Plant Growth Promoting Rhizobacteria Alleviates Copper Impact on Morphophysiological Traits in Brassica napus L. Microorganisms 2022, 10, 2164. [Google Scholar] [CrossRef]
 - Mansoor, S.; Kour, N.; Manhas, S.; Zahid, S.; Wani, O.A.; Sharma, V.; Wijaya, L.; Alyemeni, M.N.; Alsahli, A.A.; El-Serehy, H.A.; et al. Biochar as a tool for effective management of drought and heavy metal toxicity. Chemosphere 2021, 271, 129458. [Google Scholar] [CrossRef]
 - Bashan, Y.; De-Bashan, L.E. How the plant growth-promoting bacterium Azospirillum promotes plant growth—A critical assessment. Adv. Agron. 2010, 108, 77–136. [Google Scholar] [CrossRef]
 - Ullah, A.; Heng, S.; Munis, M.F.H.; Fahad, S.; Yang, X. Phytoremediation of heavy metals assisted by plant growth promoting (PGP) bacteria: A review. Environ. Exp. Bot. 2015, 117, 28–40. [Google Scholar] [CrossRef]
 - Rajkumar, M.; Bruno, L.B.; Banu, J.R. Alleviation of environmental stress in plants: The role of beneficial Pseudomonas spp. Crit. Rev. Environ. Sci. Technol. 2017, 47, 372–407. [Google Scholar] [CrossRef]
 - Kumar, A.; Tripti; Maleva, M.; Bruno, L.B.; Rajkumar, M. Synergistic effect of ACC deaminase producing Pseudomonas sp. TR15a and siderophore producing Bacillus aerophilus TR15c for enhanced growth and copper accumulation in Helianthus annuus L. Chemosphere 2021, 276, 130038. [Google Scholar] [CrossRef]
 - Liu, Y.; Qiao, J.; Liu, Y.; Liang, X.; Zhou, Y.; Liu, J. Characterization of Lysobacter capsici strain NF87–2 and its biocontrol activities against phytopathogens. Eur. J. Plant Pathol. 2019, 155, 859–869. [Google Scholar] [CrossRef]
 - Mishra, J.; Singh, R.; Arora, N.K. Alleviation of heavy metal stress in plants and remediation of soil by rhizosphere microorganisms. Front. Microbiol. 2017, 8, 1706. [Google Scholar] [CrossRef]
 - Al-Shwaiman, H.A.; Shahid, M.; Elgorban, A.M.; Siddique, K.H.; Syed, A. Beijerinckia fluminensis BFC-33, a novel multi-stress-tolerant soil bacterium: Deciphering the stress amelioration, phytopathogenic inhibition and growth promotion in Triticum aestivum (L.). Chemosphere 2022, 295, 133843. [Google Scholar] [CrossRef]
 - Jia, M.; Yu, J.; Li, Z.; Wu, L.; Christie, P. Effects of biochar on the migration and transformation of metal species in a highly acid soil contaminated with multiple metals and leached with solutions of different pH. Chemosphere 2021, 278, 130344. [Google Scholar] [CrossRef]
 - Ghosh, D.; Maiti, S.K. Invasive weed-based biochar facilitated the restoration of coal mine degraded land by modulating the enzyme activity and carbon sequestration. Restor. Ecol. 2022, 31, e13744. [Google Scholar] [CrossRef]
 - Ahmad, M.; Lee, S.S.; Yang, J.E.; Ro, H.M.; Lee, Y.H.; Ok, Y.S. Effects of soil dilution and amendments (mussel shell, cow bone, and biochar) on Pb availability and phytotoxicity in military shooting range soil. Ecotoxicol. Environ. Saf. 2012, 79, 225–231. [Google Scholar] [CrossRef]
 - Huang, Y.; Xi, Y.; Gan, L.; Johnson, D.; Wu, Y.; Ren, D.; Liu, H. Effects of lead and cadmium on photosynthesis in Amaranthus spinosus and assessment of phytoremediation potential. Int. J. Phytorem. 2019, 21, 1041–1049. [Google Scholar] [CrossRef]
 - Zou, R.; Wang, L.; Li, Y.C.; Tong, Z.; Huo, W.; Chi, K.; Fan, H. Cadmium absorption and translocation of amaranth (Amaranthus mangostanus L.) affected by iron deficiency. Environ. Pollut. 2020, 256, 113410. [Google Scholar] [CrossRef]
 - Rajkumar, M.; Ae, N.; Prasad, M.N.V.; Freitas, H. Potential of siderophore-producing bacteria for improving heavy metal phytoextraction. Trends Biotechnol. 2010, 28, 142–149. [Google Scholar] [CrossRef]
 - Kumar, A.; Tripti; Voropaeva, O.; Maleva, M.; Panikovskaya, K.; Borisova, G.; Rajkumar, M.; Bruno, L.B. Bioaugmentation with copper tolerant endophyte Pseudomonas lurida strain EOO26 for improved plant growth and copper phytoremediation by Helianthus annuus. Chemosphere 2021, 266, 128983. [Google Scholar] [CrossRef]
 - Ahluwalia, O.; Singh, P.C.; Bhatia, R. A review on drought stress in plants: Implications, mitigation and the role of plant growth promoting rhizobacteria. Resour. Environ. Sustain. 2021, 5, 100032. [Google Scholar] [CrossRef]
 - Liu, Y.; Tie, B.; Peng, O.; Luo, H.; Li, D.; Liu, S.; Du, H. Inoculation of Cd-contaminated paddy soil with biochar-supported microbial cell composite: A novel approach to reducing cadmium accumulation in rice grains. Chemosphere 2020, 247, 125850. [Google Scholar] [CrossRef]
 - Diaconu, M.; Pavel, L.V.; Hlihor, R.M.; Rosca, M.; Fertu, D.I.; Lenz, M.; Gavrilescu, M. Characterization of heavy metal toxicity in some plants and microorganisms—A Preliminary approach for environmental bioremediation. New Biotechnol. 2020, 56, 130–139. [Google Scholar] [CrossRef]
 - Ma, Y.; Rajkumar, M.; Zhang, C.; Freitas, H. Inoculation of Brassica oxyrrhina with plant growth promoting bacteria for the improvement of heavy metal phytoremediation under drought conditions. J. Hazard. Mater. 2016, 320, 36–44. [Google Scholar] [CrossRef]
 - Ma, Y.; Rajkumar, M.; Moreno, A.; Zhang, C.; Freitas, H. Serpentine endophytic bacterium Pseudomonas azotoformans ASS1 accelerates phytoremediation of soil metals under drought stress. Chemosphere 2017, 185, 75–85. [Google Scholar] [CrossRef]
 - Al Mahmud, J.; Hasanuzzaman, M.; Nahar, K.; Bhuyan, M.B.; Fujita, M. Insights into citric acid-induced cadmium tolerance and phytoremediation in Brassica juncea L.: Coordinated functions of metal chelation, antioxidant defense and glyoxalase systems. Ecotoxicol. Environ. Saf. 2018, 147, 990–1001. [Google Scholar] [CrossRef]
 - Hasanuzzaman, M.; Nahar, K.; Anee, T.I.; Khan, M.I.R.; Fujita, M. Silicon-mediated regulation of antioxidant defense and glyoxalase systems confers drought stress tolerance in Brassica napus L. S. Afr. J. Bot. 2018, 115, 50–57. [Google Scholar] [CrossRef]
 - de Silva, N.D.G.; Cholewa, E.; Ryser, P. Effects of combined drought and heavy metal stresses on xylem structure and hydraulic conductivity in red maple (Acer rubrum L.). J. Exp. Bot. 2012, 63, 5957–5966. [Google Scholar] [CrossRef]
 - Zhang, H.; Sun, Y.; Xie, X.; Kim, M.S.; Dowd, S.E.; Paré, P.W. A soil bacterium regulates plant acquisition of iron via deficiency-inducible mechanisms. Plant J. 2009, 58, 568–577. [Google Scholar] [CrossRef]
 - Pascual, I.; Antolín, M.C.; García, C.; Polo, A.; Sánchez-Díaz, M. Plant availability of heavy metals in a soil amended with a high dose of sewage sludge under drought conditions. Biol. Fertil. Soils 2004, 40, 291–299. [Google Scholar] [CrossRef]
 - Bruno, L.B.; Anbuganesan, V.; Karthik, C.; Kumar, A.; Banu, J.R.; Freitas, H.; Rajkumar, M. Enhanced phytoextraction of multi-metal contaminated soils under increased atmospheric temperature by bioaugmentation with plant growth promoting Bacillus cereus. J. Environ. Manag. 2021, 289, 112553. [Google Scholar] [CrossRef]
 - Slabbert, M.M.; Krüger, G.H.J. Antioxidant enzyme activity, proline accumulation, leaf area and cell membrane stability in water stressed Amaranthus leaves. S. Afr. J. Bot. 2014, 95, 123–128. [Google Scholar] [CrossRef]
 - Sarker, U.; Oba, S. Drought stress enhances nutritional and bioactive compounds, phenolic acids and antioxidant capacity of Amaranthus leafy vegetable. BMC Plant Biol. 2018, 18, 258. [Google Scholar] [CrossRef]
 - Gill, S.S.; Tuteja, N. Reactive oxygen species and antioxidant machinery in abiotic stress tolerance in crop plants. Plant Physiol. Biochem. 2010, 48, 909–930. [Google Scholar] [CrossRef]
 - Hasanuzzaman, M.; Bhuyan, M.H.M.B.; Zulfiqar, F.; Raza, A.; Mohsin, S.M.; Mahmud, J.A.; Fujita, M.; Fotopoulos, V. Reactive oxygen species and antioxidant defense in plants under abiotic stress: Revisiting the crucial role of a universal defense regulator. Antioxidants 2020, 9, 681. [Google Scholar] [CrossRef]
 - Nahar, K.; Rahman, M.; Hasanuzzaman, M.; Alam, M.M.; Rahman, A.; Suzuki, T.; Fujita, M. Physiological and biochemical mechanisms of spermine-induced cadmium stress tolerance in mung bean (Vigna radiata L.) seedlings. Environ. Sci. Pollut. Res. 2016, 23, 21206–21218. [Google Scholar] [CrossRef]
 - Silambarasan, S.; Logeswari, P.; Valentine, A.; Cornejo, P. Role of Curtobacterium herbarum strain CAH5 on aluminum bioaccumulation and enhancement of Lactuca sativa growth under aluminum and drought stresses. Ecotoxicol. Environ. Saf. 2019, 183, 109573. [Google Scholar] [CrossRef]
 - Sabir, A.; Naveed, M.; Bashir, M.A.; Hussain, A.; Mustafa, A.; Zahir, Z.A.; Qadeer, A. Cadmium mediated phytotoxic impacts in Brassica napus: Managing growth, physiological and oxidative disturbances through combined use of biochar and Enterobacter sp. MN17. J. Environ. Manag. 2020, 265, 110522. [Google Scholar] [CrossRef]
 - Hafez, E.M.; Alsohim, A.S.; Farig, M.; Omara, A.E.D.; Rashwan, E.; Kamara, M.M. Synergistic effect of biochar and plant growth promoting rhizobacteria on alleviation of water deficit in rice plants under salt-affected soil. Agronomy 2019, 9, 847. [Google Scholar] [CrossRef]
 - Tátrai, Z.A.; Sanoubar, R.; Pluhár, Z.; Mancarella, S.; Orsini, F.; Gianquinto, G. Morphological and physiological plant responses to drought stress in Thymus citriodorus. Int. J. Agron. 2016, 2016, 4165750. [Google Scholar] [CrossRef]
 - Woo, O.G.; Kim, H.; Kim, J.S.; Keum, H.L.; Lee, K.C.; Sul, W.J.; Lee, J.H. Bacillus subtilis strain GOT9 confers enhanced tolerance to drought and salt stresses in Arabidopsis thaliana and Brassica campestris. Plant Physiol. Biochem. 2020, 148, 359–367. [Google Scholar] [CrossRef]
 - Bergey, D.H.; Holt, J.G.; Krieg, P.; Sneath, P.H. Bergey’s Manual of Determinative Bacteriology; Williams and Wilkins: Baltimore, MD, USA, 1994. [Google Scholar]
 - Bric, J.M.; Bostock, R.M.; Silverstone, S.E. Rapid in situ assay for indoleacetic acid production by bacteria immobilized on a nitrocellulose membrane. Appl. Environ. Microbiol. 1991, 57, 535–538. [Google Scholar] [CrossRef]
 - Ribeiro, C.M.; Cardoso, E.J.B.N. Isolation, selection and characterization of root-associated growth promoting bacteria in Brazil Pine (Araucaria angustifolia). Microbiol. Res. 2012, 167, 69–78. [Google Scholar] [CrossRef]
 - Tripti; Kumar, A.; Usmani, Z.; Kumar, V. Biochar and flyash inoculated with plant growth promoting rhizobacteria act as potential biofertilizer for luxuriant growth and yield of tomato plant. J. Environ. Manag. 2017, 190, 20–27. [Google Scholar] [CrossRef]
 - Lichtenthaler, H.K. Chlorophylls and carotenoids: Pigments of photosynthetic membranes. Method Enzymol. 1987, 148, 350–382. [Google Scholar] [CrossRef]
 - Heath, R.L.; Packer, L. Photoperoxidation in isolated chloroplasts: I. Kinetics and stoichiometry of fatty acid peroxidation. Arch. Biochem. Biophys. 1968, 125, 189–198. [Google Scholar] [CrossRef] [PubMed]
 - Maleva, M.; Borisova, G.; Chukina, N.; Sinenko, O.; Filimonova, E.; Lukina, N.; Glazyrina, M. Adaptive morphophysiological features of Neottia ovata (Orchidaceae) contributing to its natural colonization on fly ash deposits. Horticulturae 2021, 7, 109. [Google Scholar] [CrossRef]
 - Hellmuth, E.O. Measurement of Leaf Water Deficit with Particular Reference to the Whole Leaf Method. J. Ecol. 1970, 58, 409–417. [Google Scholar] [CrossRef]
 




| Parameters | Serratia sp. Strain FV34b  | Pseudomonas sp. Strain ASe42b | 
|---|---|---|
| Physiological parameters | ||
| pH range tolerance | 5.5–8.0 | 5.0–8.5 | 
| Optimal pH | 7.1 ± 0.2 | 7.0 ± 0.2 | 
| Optimal osmotic tolerance (MPa) | −0.49 | −0.73 | 
| Optimum temperature (°C) | 28 ± 2 | 27 ± 2 | 
| Gram staining | Negative | Negative | 
| Shape | Rod | Rod | 
| Motility | Motile | Motile | 
| Biochemical test | ||
| Endospore staining | − | − | 
| Catalase | + | + | 
| Oxidase | − | + | 
| Citrate | + | + | 
| Indole | + | + | 
| Methyl red | − | |
| Voges–Proskauer | + | − | 
| Urease | − | + | 
| H2S | − | − | 
| Glucose fermentation broth | + | + | 
| Lactose fermentation broth | − | − | 
| Parameters | Attributes | Serratia sp. Strain FV34b | Pseudomonas sp. Strain Ase42b | 
|---|---|---|---|
| MIC (mg kg−1) | Cd | 20 | 20 | 
| Ni | 250 | 10 | |
| Cu | 250 | 250 | |
| Drought resistance, PEG6000, % (Mpa) | 5% (−0.05) | ++ | +++ | 
| 10% (−0.15) | ++ | +++ | |
| 15% (−0.30) | ++ | +++ | |
| 20% (−0.49) | ++ | +++ | |
| 25% (−0.73) | + | +++ | |
| PGP attributes | IAA production | +++ | ++ | 
| Siderophore production | − | +++ | |
| P-solubilization | + | + | |
| Ammonia production | ++ | + | |
| HCN production | − | − | |
| PGP attributes under Cd + Drought  | IAA production | ++++ | +++ | 
| Siderophore production | + | ++++ | |
| P-solubilization | + | + | |
| Ammonia production | + | + | |
| HCN production | − | − | 
Disclaimer/Publisher’s Note: The statements, opinions and data contained in all publications are solely those of the individual author(s) and contributor(s) and not of MDPI and/or the editor(s). MDPI and/or the editor(s) disclaim responsibility for any injury to people or property resulting from any ideas, methods, instructions or products referred to in the content.  | 
© 2023 by the authors. Licensee MDPI, Basel, Switzerland. This article is an open access article distributed under the terms and conditions of the Creative Commons Attribution (CC BY) license (https://creativecommons.org/licenses/by/4.0/).
Share and Cite
Tripti; Kumar, A.; Maleva, M.; Borisova, G.; Rajkumar, M. Amaranthus Biochar-Based Microbial Cell Composites for Alleviation of Drought and Cadmium Stress: A Novel Bioremediation Approach. Plants 2023, 12, 1973. https://doi.org/10.3390/plants12101973
Tripti, Kumar A, Maleva M, Borisova G, Rajkumar M. Amaranthus Biochar-Based Microbial Cell Composites for Alleviation of Drought and Cadmium Stress: A Novel Bioremediation Approach. Plants. 2023; 12(10):1973. https://doi.org/10.3390/plants12101973
Chicago/Turabian StyleTripti, Adarsh Kumar, Maria Maleva, Galina Borisova, and Mani Rajkumar. 2023. "Amaranthus Biochar-Based Microbial Cell Composites for Alleviation of Drought and Cadmium Stress: A Novel Bioremediation Approach" Plants 12, no. 10: 1973. https://doi.org/10.3390/plants12101973
APA StyleTripti, Kumar, A., Maleva, M., Borisova, G., & Rajkumar, M. (2023). Amaranthus Biochar-Based Microbial Cell Composites for Alleviation of Drought and Cadmium Stress: A Novel Bioremediation Approach. Plants, 12(10), 1973. https://doi.org/10.3390/plants12101973
        
