Long-Term Impact of N, P, K Fertilizers in Different Rates on Yield and Quality of Anisodus tanguticus (Maxinowicz) Pascher
Abstract
1. Introduction
2. Results
2.1. Effects of Different Fertilization Methods and Harvest Periods on Dry Biomass of A. tanguticus
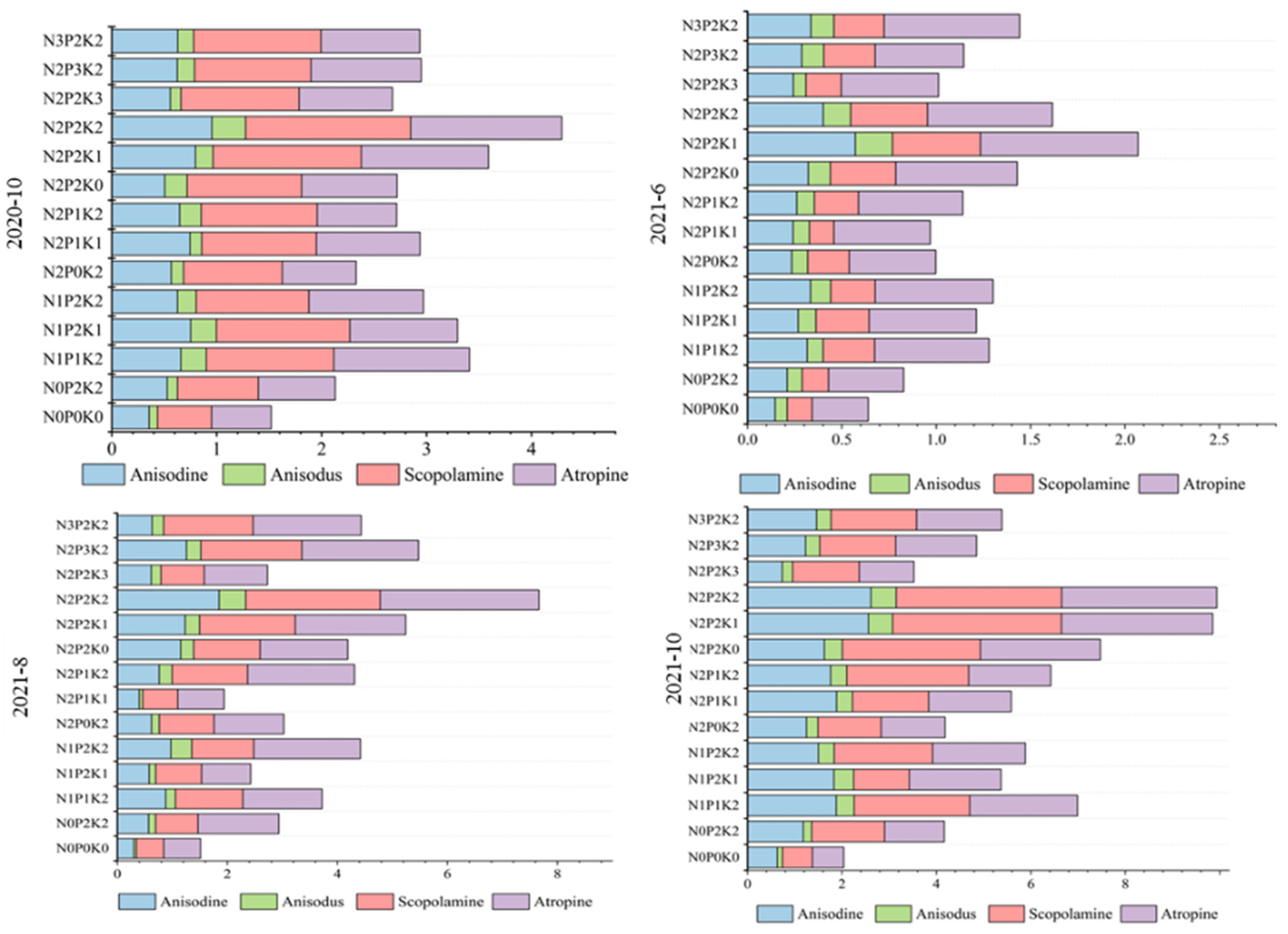
2.2. Effects of Different Fertilization Methods and Harvest Periods on Alkaloid Content of A. tanguticus
2.3. Effects of Different Fertilization Methods and Harvest Periods on Total Alkaloid Yield
2.4. Range Analysis of Important Indexes under N-P-K Fertilization
2.5. Interaction Analysis of N-P-K Fertilizer Applications
3. Discussion
3.1. Effects of Different Fertilization Methods and Harvest Periods on Yield
3.2. Effects of Different Fertilization Methods and Harvest Periods on Alkaloid Content and Yield
3.3. Exploration of A. tanguticus Fertilizer Effect Model
4. Materials and Methods
4.1. Site Description
4.2. Materials and Experimental Design
4.3. Apparatus and Measurement Parameters
4.4. Data Processing and Analysis
4.4.1. Alkaloid Content Calculation
4.4.2. Data Analysis
5. Conclusions
Author Contributions
Funding
Data Availability Statement
Conflicts of Interest
References
- Xie, Z.W. National Chinese Herbal Medicine Compilation; People’s Medical Publishing House: Beijing, China, 1975; Volume 1, pp. 113–114. [Google Scholar]
- Zhao, H.Y.; Zhou, Q.M.; Zhu, H.; Zhou, F.; Meng, C.W.; Shu, H.Z.; Liu, Z.H.; Peng, C.; Xiong, L. Anisotanols A–D, Four Norsesquiterpenoids with an Unprecedented Sesquiterpenoid Skeleton from Anisodus tanguticus. Chin. J. Chem. 2021, 39, 3375–3380. [Google Scholar] [CrossRef]
- Wei, Z.; Wang, L.; Meng, L.; Liu, J. Genetic variation in the endangered Anisodus tanguticus (Solanaceae), an alpine perennial endemic to the Qinghai-Tibetan Plateau. Genetica 2008, 132, 123–129. [Google Scholar] [CrossRef]
- Wu, Z.Y.; Raven, P.H.; Hong, D.Y. Flora of China; Science Press: Beijing, China, 1994; Volume 17. [Google Scholar]
- Yang, Y.C. Flora Tebitan Medicine; Qinghai People’s Publishing House: Xining, China, 1991. [Google Scholar]
- Zhang, G.; Chi, X. The complete chloroplast genome of Anisodus tanguticus, a threatened plant endemic to the Qinghai-Tibetan Plateau. Mitochondrial DNA Part B 2019, 4, 1191–1192. [Google Scholar] [CrossRef]
- Chen, C.; Wang, B.; Li, J.; Xiong, F.; Zhou, G. Multivariate Statistical Analysis of Metabolites in Anisodus tanguticus (Maxim.) Pascher to Determine Geographical Origins and Network Pharmacology. Front. Plant Sci. 2022, 13, 927336. [Google Scholar] [CrossRef] [PubMed]
- Jiang, Y.B.; Zhong, M.; Hu, M.X.; Chen, L.; Gou, Y.; Zhou, J.; Wu, P.E.; Ma, Y.Y. Spectrum-effect relationships between high-performance liquid chromatography fingerprint and analgesic property of Anisodus tanguticus (Maxim) Pascher (Solanaceae) roots. Trop. J. Pharm. Res. 2017, 16, 379–386. [Google Scholar] [CrossRef]
- Yang, D.Z.; Zhang, Z.Y.; Lu, A.M.; Sun, K.; Liuc, J.Q. Floral organogenesis and development of two taxa of the Solanaceae—Anisodus tanguticus and Atropa belladonna. Isr. J. Plant Sci. 2002, 50, 127–134. [Google Scholar] [CrossRef]
- He, T.; Jia, J.F. Breaking dormancy in seeds of Anisodus tanguticus: An endangered medicinal herb of high altitude in the Qinghai-Tibet Plateau. Seed Sci. Technol. 2009, 37, 229–231. [Google Scholar] [CrossRef]
- Tao, L.; Ping, Z.; Ke, C.; Chao, M.; Hui, H. Molecular cloning, expression and characterization of hyoscyamine 6beta-hydroxylase from hairy roots of Anisodus tanguticus. Planta Med. 2005, 71, 249–253. [Google Scholar] [CrossRef]
- Guo, H.; Wu, X.; Wang, A.; Luo, X.; Ma, Y.; Zhou, M. Separation and detection of tropane alkaloids in Anisodus tanguticus by capillary electrophoresis-electrochemiluminescence. New J. Chem. 2015, 39, 8922–8927. [Google Scholar] [CrossRef]
- Li, X.; Li, W.; Zhao, M.; Zhang, T. Application of anisodamine in pediatrics. Heilongjiang Med. Sci. 2021, 45, 359–360+362. [Google Scholar]
- Lei, T.; Cai, X.; Wang, H.; Li, S.; Shen, J.; Zhou, D. Progress in biosynthesis mechanism and bioengineering of tolane alkaloids. J. Northwest. Bot. 2016, 36, 204–214. [Google Scholar]
- She, S.; Ma, J.; Zhang, F.; Liu, P. Effect of gastrodin combined with anisodine hydrobromide on neurological function in elderly patients with cognitive dysfunction of small cerebral vascular disease. Eval. Anal. Hosp. Drugs China 2022, 22, 931–934. [Google Scholar]
- Jingyu, Z.; Yajing, L.; Zhongyi, Z.; Chaofei, Y.; Xiaotong, G. Molecular Regulation of Catalpol and Acteoside Accumulation in Radial Striation and non-Radial Striation of Rehmannia glutinosa Tuberous Root. Int. J. Mol. Sci. 2018, 19, 3751. [Google Scholar] [CrossRef]
- He, Y.; Cui, G.; Feng, Z.; Jie, Z.; Li, Y. Conservation priorities for plant species of forest-meadow ecotone in Sanjiangyuan Nature Reserve. Chin. J. Appl. Ecol. 2004, 15, 1307–1312. [Google Scholar]
- Grunert, O.; Hernandez-Sanabria, E.; Buysens, S.; Neve, S.D.; Boon, N. In-Depth Observation on the Microbial and Fungal Community Structure of Four Contrasting Tomato Cultivation Systems in Soil Based and Soilless Culture Systems. Front. Plant Sci. 2020, 11, 520834. [Google Scholar] [CrossRef] [PubMed]
- Geng, G.; Wang, G.; Stevanato, P.; Lv, C.; Wang, Y. Physiological and Proteomic Analysis of Different Molecular Mechanisms of Sugar Beet Response to Acidic and Alkaline pH Environment. Front. Plant Sci. 2021, 12, 682799. [Google Scholar] [CrossRef]
- Du, X.Q.; Wang, F.L.; Li, H.; Jing, S.; Yu, M.; Li, J.; Wu, W.H.; Kudla, J.; Wang, Y. The Transcription Factor MYB59 Regulates K+/NO3-Translocation in the Arabidopsis Response to Low K+ Stress. Plant Cell 2019, 31, 699–714. [Google Scholar] [CrossRef]
- Berthod, N.; Brereton, N.J.; Pitre, F.E.; Labrecque, M. Five willow varieties cultivated across diverse field environments reveal stem density variation associated with high tension wood abundance. Front. Plant Sci. 2015, 6, 948. [Google Scholar] [CrossRef]
- Yang, Z.-J.; Wu, X.-H.; Grossnickle, S.C.; Chen, L.-H.; Yu, X.-X.; El-Kassaby, Y.A.; Feng, J.-L. Formula Fertilization Promotes Phoebe bournei Robust Seedling Cultivation. Forests 2020, 11, 781. [Google Scholar] [CrossRef]
- Kazimierczak, R.; Średnicka-Tober, D.; Barański, M.; Hallmann, E.; Góralska-Walczak, R.; Kopczyńska, K.; Rembiałkowska, E.; Górski, J.; Leifert, C.; Rempelos, L.; et al. The Effect of Different Fertilization Regimes on Yield, Selected Nutrients, and Bioactive Compounds Profiles of Onion. Agronomy 2021, 11, 883. [Google Scholar] [CrossRef]
- Rubio, L.; García-Pérez, D.; García-Sánchez, M.J.; Fernández, J.A. Na+-Dependent High-Affinity Nitrate, Phosphate and Amino Acids Transport in Leaf Cells of the Seagrass Posidonia oceanica (L.) Delile. Mol. Sci. 2018, 19, 1570. [Google Scholar] [CrossRef] [PubMed]
- Ju, X.T.; Kou, C.L.; Christie, P.; Dou, Z.X.; Zhang, F.S. Changes in the soil environment from excessive application of fertilizers and manures to two contrasting intensive cropping systems on the North China Plain. Environ. Pollut. 2007, 145, 497–506. [Google Scholar] [CrossRef] [PubMed]
- Yang, Z.J.; Wu, X.H.; Chen, L.H.; Huang, L.M.; Chen, Y.; Wu, J.; El-Kassaby, Y.A.; Grossnickle, S.C.; Feng, J.L. Fertilization Regulates Accumulation and Allocation of Biomass and Nutrients in Phoebe bournei Seedlings. Agriculture 2021, 11, 1187. [Google Scholar] [CrossRef]
- Chen, Y.; Zhou, X.; Lin, Y.; Ma, L. Pumpkin Yield Affected by Soil Nutrients and the Interactions of Nitrogen, Phosphorus, and Potassium Fertilizers. HortScience 2019, 54, 1831–1835. [Google Scholar] [CrossRef]
- Pasqualone, A.; Summo, C.; De Angelis, D.; Cucci, G.; Caranfa, D.; Lacolla, G. Effect of Mineral and Organic Fertilization on desi and kabuli Chickpea (Cicer arietinum L.): Plant Growth and Production, Hydration Properties, Bioactive Compounds, and Antioxidant Activity. Plants 2021, 10, 1441. [Google Scholar] [CrossRef]
- Duan, Y.; Zhang, T.; Liu, J. Pollination biology of Anisodus tanguticus (Solanaceae). Biodivers. Sci. 2007, 15, 584. [Google Scholar] [CrossRef]
- Zeng, H.; Wang, X.; Qiao, Z.; Li, Y.; Cai, N.; Liu, S.; Li, Y. Influence on Yield and Quality of Lonicera japonica by Soil Testing and Formulated Fertilization. J. Nucl. Agric. Sci. 2017, 31, 2443–2449. [Google Scholar]
- Han, X.J.; Zhang, X.Z. Status and Changing Trend of Soil Nutrient Contents in Cultivated Land from the Implementation of Soil Test and Formula Fertilization in Wuhu County Anhui Province. Chin. J. Soilence 2014, 45, 892–896. [Google Scholar]
- Zhang, M.; Li, J.; Kong, Q.; Yan, F. Progress and prospect of the study on crop-response-to-fertilization function model. Acta Pedol. Sin. 2016, 53, 1343–1356. [Google Scholar] [CrossRef]
- Szczepanek, M.; Siwik-Ziomek, A. P and K Accumulation by Rapeseed as Affected by Biostimulant under Different NPK and S Fertilization Doses. Agronomy 2019, 9, 477. [Google Scholar] [CrossRef]
- Chen, Z.; Ma, H.; Xia, J.; Hou, F.; Shi, X.; Hao, X.; Hafeez, A.; Han, H.; Luo, H. Optimal pre-plant irrigation and fertilization can improve biomass accumulation by maintaining the root and leaf productive capacity of cotton crop. Sci. Rep. 2017, 7, 17168. [Google Scholar] [CrossRef] [PubMed]
- Chen, B.; Wang, Q.; Ye, Z.; Stiles, S.; Feng, G. Optimisation of phosphorus fertilisation promotes biomass and phosphorus nutrient accumulation, partitioning and translocation in three cotton (Gossypium hirsutum) genotypes. Crop Pasture Sci. 2020, 71, 56–69. [Google Scholar] [CrossRef]
- Jeda, P.; Thorburn, P.J.; Biggs, J.S.; Dominati, E.J.; Probert, M.E.; Meier, E.A.; Huth, N.I.; Mike, D.; Val, S.; Larsen, J.R. Nitrogen Cycling from Increased Soil Organic Carbon Contributes Both Positively and Negatively to Ecosystem Services in Wheat Agro-Ecosystems. Front. Plant Sci. 2017, 8, 731. [Google Scholar] [CrossRef]
- Wang, K.; Zhang, R.; Song, L.; Yan, T. Comparison of C:N:P stoichiometry in the plant–litter–soil system between poplar and elm plantations in the Horqin Sandy Land, China. Front. Plant Sci. 2020, 12, 655517. [Google Scholar] [CrossRef] [PubMed]
- Gu, X.; Ding, M.; Lu, W.; Lu, D. Nitrogen topdressing at the jointing stage affects the nutrient accumulation and translocation in rainfed waxy maize. J. Plant Nutr. 2019, 42, 657–672. [Google Scholar] [CrossRef]
- Liu, Y.; Ma, W.; He, H.; Wang, Z.; Cao, Y. Effects of Sugarcane and Soybean Intercropping on the Nitrogen-Fixing Bacterial Community in the Rhizosphere. Front. Microbiol. 2021, 12, 2846. [Google Scholar] [CrossRef]
- Guo, S.; Xiong, W.; Hang, X.; Gao, Z.; Jiao, Z.; Liu, H.; Mo, Y.; Zhang, N.; Kowalchuk, G.A.; Li, R.; et al. Protists as main indicators and determinants of plant performance. Microbiome 2021, 9, 64. [Google Scholar] [CrossRef]
- Du, J.; Shen, T.; Xiong, Q.; Zhu, C.; Chen, X. Combined proteomics, metabolomics and physiological analyses of rice growth and grain yield with heavy nitrogen application before and after drought. BMC Plant Biol. 2020, 20, 556. [Google Scholar] [CrossRef]
- Ghaley, B.B.; Wösten, H.; Olesen, J.E.; Schelde, K.; Baby, S.; Karki, Y.K.; Børgesen, C.D.; Smith, P.; Yeluripati, J.; Ferrise, R.; et al. Simulation of Soil Organic Carbon Effects on Long-Term Winter Wheat (Triticum aestivum) Production under Varying Fertilizer Inputs. Front. Plant Sci. 2018, 9, 1158. [Google Scholar] [CrossRef]
- Ren, B.; Guo, Y.; Liu, P.; Zhao, B.; Zhang, J. Effects of Urea-Ammonium Nitrate Solution on Yield, N2O Emission, and Nitrogen Efficiency of Summer Maize Under Integration of Water and Fertilizer. Front. Plant Sci. 2021, 12, 700331. [Google Scholar] [CrossRef]
- Ballard, T.; Yeo, G.; Neal, A.; Farrell, S. Departures from Optimality When Pursuing Multiple Approach or Avoidance Goals. J. Appl. Psychol. 2016, 101, 1056–1066. [Google Scholar] [CrossRef] [PubMed]
- Chapman, H.D. Plant analysis values suggestive of nutrient status of selected crops. In Soil Testing and Plant Analysis. Part 2. Plant Analysis; Soil Science Society of America, Inc.: Madison, WI, USA, 1973. [Google Scholar]
- Grossnickle, S.C. Ecophysiology of Northern Spruce Species The Performance of Planted Seedlings. Tree Physiology. 2000, 21, 415–416. [Google Scholar] [CrossRef]
- Lv, Z.; Lu, G. A New Curve of Critical Leaf Potassium Concentration Based on the Maximum Root Dry Matter for Diagnosing Potassium Nutritional Status of Sweet Potato. Front. Plant Sci. 2021, 12, 714279. [Google Scholar] [CrossRef] [PubMed]
- Cba, B.; Jy, A.; Bo, C.C.; Ying, X.A.; Pg, A.; Hui, L.A.; Gl, A. Growth years and post-harvest processing methods have critical roles on the contents of medicinal active ingredients of Scutellaria baicalensis—ScienceDirect. Ind. Crop Prod. 2020, 158, 112985. [Google Scholar] [CrossRef]
- Wan, D.S.; Feng, J.J.; Jiang, D.C.; Mao, K.S.; Duan, Y.W.; Miehe, G.; Opgenoorth, L. The Quaternary evolutionary history, potential distribution dynamics, and conservation implications for a Qinghai–Tibet Plateau endemic herbaceous perennial, Anisodus tanguticus (Solanaceae). Ecol. Evol. 2016, 6, 1977–1995. [Google Scholar] [CrossRef]
- Liu, L.; Zuo, Z.T.; Xu, F.R.; Wang, Y.Z. Study on Quality Response to Environmental Factors and Geographical Traceability of Wild Gentiana rigescens Franch. Front. Plant Sci. 2020, 11, 1128. [Google Scholar] [CrossRef]
- Sharma, A.; Sharma, B.; Hayes, S.; Kerner, K.; Hoecker, U.; Jenkins, G.I.; Franklin, K.A. UVR8 disrupts stabilisation of PIF5 by COP1 to inhibit plant stem elongation in sunlight. Nat. Commun. 2019, 10, 4417. [Google Scholar] [CrossRef]
- Luo, C.; Guo, Z.; Xiao, J.; Dong, K.; Dong, Y. Effects of Applied Ratio of Nitrogen on the Light Environment in the Canopy and Growth, Development and Yield of Wheat When Intercropped. Front. Plant Sci. 2021, 12, 719850. [Google Scholar] [CrossRef]
- Melo, E.; Gonçalves, J.; Rocha, J.; Hakamada, R.; Bazani, J.; Wenzel, A.; Arthur, J.; Borges, J.; Malheiros, R.; Lemos, C.; et al. Responses of Clonal Eucalypt Plantations to N, P and K Fertilizer Application in Different Edaphoclimatic Conditions. Forests 2016, 7, 2. [Google Scholar] [CrossRef]
- Mi, S.; Zhang, X.; Wang, Y.; Ma, Y.; Sang, Y.; Wang, X. Effect of different fertilizers on the physicochemical properties, chemical element and volatile composition of cucumbers. Food Chem. 2022, 367, 130667. [Google Scholar] [CrossRef]



| Treatment | Sample Collection Time | |||||||
|---|---|---|---|---|---|---|---|---|
| 2020-10 | 2021-6 | 2021-8 | 2021-10 | |||||
| Dry Weight Underground | Dry Weight above Ground | Dry Weight Underground | Dry Weight above Ground | Dry Weight Underground | Dry Weight above Ground | Dry Weight Underground | Dry Weight above Ground | |
| T1 | 0.08 ± 0.035 d | 0.13 ± 0.011 c | 0.054 ± 0.007 c | 0.058 ± 0.016 e | 0.183 ± 0.097 c | 0.171 ± 0.028 d | 0.296 ± 0.084 e | 0.146 ± 0.057 c |
| T2 | 0.1 ± 0.041 cd | 0.15 ± 0.007 bc | 0.064 ± 0.008 bc | 0.078 ± 0.037 de | 0.280 ± 0.090 abc | 0.198 ± 0.029 bcd | 0.458 ± 0.107 dce | 0.187 ± 0.036 bc |
| T3 | 0.15 ± 0.105 ab | 0.16 ± 0.011 bc | 0.074 ± 0.012 bc | 0.106 ± 0.031 bcd | 0.311 ± 0.104 ab | 0.269 ± 0.048 ab | 0.529 ± 0.189 cd | 0.200 ± 0.034 bc |
| T4 | 0.12 ± 0.043 bcd | 0.16 ± 0.009 abc | 0.068 ± 0.008 bc | 0.087 ± 0.031 cde | 0.280 ± 0.088 abc | 0.197 ± 0.029 bcd | 0.452 ± 0.219 dce | 0.199 ± 0.026 bc |
| T5 | 0.12 ± 0.066 bcd | 0.16 ± 0.01 bc | 0.069 ± 0.010 bc | 0.096 ± 0.036 bcd | 0.302 ± 0.132 ab | 0.209 ± 0.049 bcd | 0.571 ± 0.209 bcd | 0.218 ± 0.021 abc |
| T6 | 0.15 ± 0.065 a | 0.2 ± 0.01 a | 0.075 ± 0.008 bc | 0.124 ± 0.043 ab | 0.383 ± 0.094 a | 0.321 ± 0.032 a | 0.653 ± 0.137 ab | 0.274 ± 0.021 ab |
| T7 | 0.11 ± 0.086 bcd | 0.14 ± 0.013 bc | 0.079 ± 0.008 bc | 0.083 ± 0.032 cde | 0.351 ± 0.210 a | 0.266 ± 0.030 abc | 0.527 ± 0.154 cd | 0.169 ± 0.022 c |
| T8 | 0.1 ± 0.039 cd | 0.15 ± 0.009 bc | 0.087 ± 0.009 abc | 0.107 ± 0.037 bcd | 0.283 ± 0.106 abc | 0.206 ± 0.027 bcd | 0.581 ± 0.253 bcd | 0.210 ± 0.016 abc |
| T9 | 0.12 ± 0.047 bcd | 0.18 ± 0.009 ab | 0.113 ± 0.023 a | 0.113 ± 0.031 bc | 0.289 ± 0.140 abc | 0.261 ± 0.029 abc | 0.691 ± 0.177 a | 0.291 ± 0.025 a |
| T10 | 0.12 ± 0.038 bcd | 0.16 ± 0.011 abc | 0.069 ± 0.008 bc | 0.095 ± 0.036 bcd | 0.216 ± 0.070 bc | 0.202 ± 0.043 bcd | 0.419 ± 0.160 de | 0.185 ± 0.026 c |
| T11 | 0.13 ± 0.076 bcd | 0.18 ± 0.012 ab | 0.095 ± 0.009 ab | 0.146 ± 0.033 a | 0.277 ± 0.080 abc | 0.264 ± 0.042 abc | 0.469 ± 0.215 dce | 0.213 ± 0.016 abc |
| T12 | 0.13 ± 0.043 bcd | 0.18 ± 0.014 ab | 0.069 ± 0.008 bc | 0.100 ± 0.047 bcd | 0.287 ± 0.156 abc | 0.212 ± 0.026 | 0.651 ± 0.352 bc | 0.207 ± 0.022 abc |
| T13 | 0.13 ± 0.043 bcd | 0.18 ± 0.01 ab | 0.073 ± 0.012 bc | 0.108 ± 0.054 bcd | 0.216 ± 0.101 ab | 0.179 ± 0.033 d | 0.511 ± 0.299 cd | 0.206 ± 0.020 abc |
| T14 | 0.12 ± 0.049 bcd | 0.18 ± 0.013 ab | 0.072 ± 0.008 bc | 0.103 ± 0.027 bcd | 0.204 ± 0.141 bc | 0.190 ± 0.045 cd | 0.493 ± 0.358 cd | 0.207 ± 0.026 abc |
| Treatment | Sample Collection Time | |||||||||||||||
|---|---|---|---|---|---|---|---|---|---|---|---|---|---|---|---|---|
| 2020-10 | 2021-6 | 2021-8 | 2021-10 | |||||||||||||
| Anisodine | Anisodamine | Scopolamine | Atropine | Anisodine | Anisodamine | Scopolamine | Atropine | Anisodine | Anisodamine | Scopolamine | Atropine | Anisodine | Anisodamine | Scopolamine | Atropine | |
| T1 | 0.22 ± 0.011 g | 0.05 ± 0.008 d | 0.31 ± 0.012 ef | 0.34 ± 0.018 e | 0.272 ± 0.031 d | 0.118 ± 0.009 bc | 0.245 ± 0.021 d | 0.553 ± 0.031 d | 0.163 ± 0.041 e | 0.025 ± 0.005 e | 0.272 ± 0.028 e | 0.366 ± 0.027 f | 0.213 ± 0.021 de | 0.037 ± 0.004 e | 0.214 ± 0.037 e | 0.223 ± 0.016 e |
| T2 | 0.29 ± 0.008 fg | 0.05 ± 0.01 cd | 0.42 ± 0.019 bc | 0.4 ± 0.012 de | 0.328 ± 0.023 cd | 0.124 ± 0.008 abc | 0.218 ± 0.035 cd | 0.622 ± 0.020 cd | 0.203 ± 0.021 e | 0.046 ± 0.010 cde | 0.275 ± 0.028 e | 0.525 ± 0.073 bcdef | 0.258 ± 0.016 cde | 0.038 ± 0.007 de | 0.338 ± 0.015 cde | 0.276 ± 0.015 de |
| T3 | 0.34 ± 0.016 abcd | 0.1 ± 0.015 abc | 0.58 ± 0.026 b | 0.59 ± 0.019 ab | 0.450 ± 0.013 abc | 0.144 ± 0.007 abc | 0.319 ± 0.020 bcd | 0.842 ± 0.047 ab | 0.312 ± 0.061 bcde | 0.122 ± 0.003 ab | 0.362 ± 0.030 cde | 0.623 ± 0.035 abcd | 0.283 ± 0.023 bcde | 0.063 ± 0.003 bcd | 0.394 ± 0.011 bcd | 0.371 ± 0.023 bcd |
| T4 | 0.29 ± 0.017 cdef | 0.06 ± 0.013 cd | 0.48 ± 0.017 de | 0.36 ± 0.022 e | 0.343 ± 0.033 bcd | 0.124 ± 0.004 abc | 0.321 ± 0.026 bcd | 0.672 ± 0.057 bcd | 0.222 ± 0.053 de | 0.050 ± 0.010 cde | 0.356 ± 0.025 cde | 0.453 ± 0.042 def | 0.277 ± 0.009 bcde | 0.053 ± 0.004 cde | 0.297 ± 0.025 cde | 0.300 ± 0.027 cde |
| T5 | 0.33 ± 0.023 abcde | 0.1 ± 0.015 ab | 0.57 ± 0.025 bc | 0.39 ± 0.022 de | 0.378 ± 0.034 abcd | 0.136 ± 0.001 abc | 0.338 ± 0.024 bcd | 0.802 ± 0.068 abc | 0.252 ± 0.039 de | 0.078 ± 0.010 abc | 0.455 ± 0.026 abcde | 0.644 ± 0.057 abcd | 0.308 ± 0.026 bcd | 0.060 ± 0.005 bcde | 0.452 ± 0.029 abc | 0.304 ± 0.040 cde |
| T6 | 0.41 ± 0.012 a | 0.14 ± 0.008 a | 0.68 ± 0.019 a | 0.62 ± 0.027 a | 0.532 ± 0.020 a | 0.193 ± 0.002 a | 0.540 ± 0.026 a | 0.878 ± 0.038 ab | 0.483 ± 0.028 a | 0.127 ± 0.003 a | 0.639 ± 0.021 a | 0.754 ± 0.067 a | 0.398 ± 0.020 a | 0.081 ± 0.007 a | 0.536 ± 0.046 a | 0.503 ± 0.027 a |
| T7 | 0.35 ± 0.014 abc | 0.09 ± 0.018 bcd | 0.62 ± 0.023 ab | 0.59 ± 0.02 ab | 0.365 ± 0.022 bcd | 0.148 ± 0.002 abc | 0.347 ± 0.024 bcd | 0.597 ± 0.032 cd | 0.359 ± 0.052 abcd | 0.073 ± 0.001 cde | 0.524 ± 0.028 abcd | 0.605 ± 0.097 abcde | 0.233 ± 0.028 de | 0.057 ± 0.002 bcde | 0.306 ± 0.022 cde | 0.325 ± 0.031 bcde |
| T8 | 0.27 ± 0.009 efg | 0.08 ± 0.011 bcd | 0.58 ± 0.029 b | 0.48 ± 0.04 bcd | 0.368 ± 0.021 bcd | 0.133 ± 0.012 abc | 0.398 ± 0.024 ab | 0.737 ± 0.027 bcd | 0.406 ± 0.043 abc | 0.083 ± 0.007 abc | 0.427 ± 0.025 abcde | 0.563 ± 0.100 abcdef | 0.280 ± 0.015 bcde | 0.065 ± 0.001 bc | 0.503 ± 0.023 ab | 0.437 ± 0.056 abc |
| T9 | 0.38 ± 0.004 ab | 0.11 ± 0.02 ab | 0.67 ± 0.018 a | 0.58 ± 0.011 abc | 0.503 ± 0.039 ab | 0.173 ± 0.003 ab | 0.412 ± 0.029 ab | 1.008 ± 0.109 a | 0.427 ± 0.024 ab | 0.090 ± 0.006 abc | 0.603 ± 0.022 ab | 0.694 ± 0.077 abc | 0.370 ± 0.024 abc | 0.074 ± 0.008 bc | 0.516 ± 0.023 a | 0.463 ± 0.051 ab |
| T10 | 0.28 ± 0.004 def | 0.05 ± 0.009 bcd | 0.57 ± 0.017 bc | 0.45 ± 0.021 de | 0.350 ± 0.019 bcd | 0.097 ± 0.007 c | 0.270 ± 0.047 bcd | 0.744 ± 0.061 bcd | 0.284 ± 0.038 bcde | 0.082 ± 0.006 abc | 0.364 ± 0.020 cde | 0.532 ± 0.048 bcdef | 0.175 ± 0.022 e | 0.053 ± 0.005 cde | 0.336 ± 0.023 cde | 0.277 ± 0.035 de |
| T11 | 0.3 ± 0.013 bcdef | 0.07 ± 0.006 bcd | 0.59 ± 0.017 b | 0.46 ± 0.026 cde | 0.353 ± 0.022 bcd | 0.129 ± 0.001 abc | 0.280 ± 0.009 bcd | 0.756 ± 0.033 bcd | 0.228 ± 0.022 de | 0.076 ± 0.002 bcd | 0.588 ± 0.025 abc | 0.710 ± 0.074 ab | 0.312 ± 0.028 bcd | 0.065 ± 0.001 bc | 0.386 ± 0.028 bcd | 0.385 ± 0.060 bcd |
| T12 | 0.31 ± 0.026 bcdef | 0.11 ± 0.012 ab | 0.56 ± 0.026 b | 0.6 ± 0.053 ab | 0.456 ± 0.042 abc | 0.121 ± 0.001 bc | 0.395 ± 0.021 ab | 0.875 ± 0.059 ab | 0.306 ± 0.036 bcde | 0.061 ± 0.007 cde | 0.426 ± 0.022 abcde | 0.501 ± 0.037 cdef | 0.288 ± 0.034 bcde | 0.058 ± 0.001 bcde | 0.376 ± 0.027 cde | 0.350 ± 0.041 bcde |
| T13 | 0.36 ± 0.007 abc | 0.12 ± 0.03 a | 0.6 ± 0.026 b | 0.49 ± 0.045 bcd | 0.367 ± 0.027 bcd | 0.130 ± 0.002 abc | 0.385 ± 0.022 abc | 0.778 ± 0.146 bc | 0.268 ± 0.044 cde | 0.055 ± 0.006 cde | 0.384 ± 0.029 bcde | 0.412 ± 0.032 ef | 0.358 ± 0.026 abc | 0.079 ± 0.001 b | 0.230 ± 0.024 de | 0.380 ± 0.062 bcd |
| T14 | 0.35 ± 0.009 abcd | 0.05 ± 0.005 cd | 0.51 ± 0.008 cd | 0.46 ± 0.014 cde | 0.333 ± 0.023 cd | 0.119 ± 0.020 bc | 0.180 ± 0.024 bcd | 0.706 ± 0.063 bcd | 0.195 ± 0.023 e | 0.030 ± 0.005 de | 0.313 ± 0.047 de | 0.412 ± 0.053 ef | 0.383 ± 0.019 ab | 0.068 ± 0.007 bc | 0.327 ± 0.022 cde | 0.355 ± 0.048 bcde |
| Main Index | Range Value | Fertilizer Effect Ordination | |||
|---|---|---|---|---|---|
| N | P | K | |||
| 2020-10 | Anisodine | 0.1832 | 0.2075 | 0.3232 | K > P > N |
| Anisodamine | 0.2532 | 0. 2436 | 0.2488 | N > K > P | |
| Scopolamine | 0.0460 | 0.0532 | 0.0261 | P > N > K | |
| Atropine | 0.1023 | 0.1956 | 0.1875 | P > K > N | |
| Aboveground production | 0.2923 | 0.6981 | 0.7065 | K > P > N | |
| Underground production | 0.2452 | 0.4541 | 0.5621 | K > P > N | |
| 2021-6 | Anisodine | 0.1220 | 0.1100 | 0.1247 | K > N > P |
| Anisodamine | 0.0301 | 0.0310 | 0.0710 | N > P > K | |
| Scopolamine | 0.1558 i | 0.0920 | 0.1642 | P > K > N | |
| Atropine | 0.1821 | 0.2540 | 0.1057 | P > K > N | |
| Aboveground production | 0.0300 | 0.0152 | 0.0262 | N > K > P | |
| Underground production | 0.0644 | 0.0300 | 0.0191 | N > P > K | |
| 2021-8 | Anisodine | 0.1796 | 0.1060 | 0.2540 | K > N > P |
| Anisodamine | 0.0560 | 0.0497 | 0.1060 | N > P > K | |
| Scopolamine | 0.1280 | 0.2788 | 0.2375 | P > K > N | |
| Atropine | 0.1371 | 0.2090 | 0.1885 | P > K > N | |
| Aboveground production | 0.0640 | 0.0510 | 0.0590 | N > K > P | |
| Underground production | 1.1880 | 0.5730 | 0.4960 | N > P > K | |
| 2021-10 | Anisodine | 0.0868 | 0.1347 | 0.2246 | K > P > N |
| Anisodamine | 0.0323 | 0.0246 | 0.0308 | N > K > P | |
| Scopolamine | 0.1630 | 0.2410 | 0.2246 | P > N > K | |
| Atropine | 0.0490 | 0.2962 | 0.1740 | P > K > N | |
| Aboveground production | 0.3943 | 0.6718 | 0.7189 | K > P > N | |
| Underground production | 0.4553 | 0.6310 | 0.7474 | K > P > N | |
| Model | Nutrient | Fertilizer Response Equation | Maximum Rate (g·Plant−1) | Maximum Production | R2 | |
|---|---|---|---|---|---|---|
| Anisodine (%) | Binary | N | y = −0.043 + 0.002 * N + 0.001 * P − (2.402 × 10−6) * N2 − (−2.772 × 10−7) * P2 − (8.537 × 10−7) * N * P | 265.153 | 0.378 | 0.92 |
| P | 597.835 | |||||
| N | y = 0.1 + 0.001 * N + 0.03 * K − (2.782 × 10−6) * N2 − (1.406 × 10−5) * K2 − (1.005 × 10−6) * N * K | 226.388 | 0.398 | 0.83 | ||
| K | 75.984 | |||||
| P | y = 0.078 + 0.0004 * N + 0.03 * K − (3.1 × 10−7) * N2 − (1.428 × 10−5) * K2 − (4.013 × 10−7) * N * K | 602.71 | 0.405 | 0.72 | ||
| K | 80.12 | |||||
| Ternary | N | y = 0.21 + 0.001 * N + 0.0002 * P + 0.001 * K − (1.809 × 10−6) * N2 − (2.4 × 10−7) * P2 − (1.175 × 10−5) * k2 − (3.299 × 10−7) * N * P + (3.16 × 10−6) * N * K + (7.881 × 10−7) * P * K | 222.807 | 0.405 | 0.91 | |
| P | 683.182 | |||||
| K | 84.900 | |||||
| Anisodamine (%) | Binary | N | y = −0.045 + 0.001 * N + 0.0001 * P − (1.099 × 10−6) * N2 − (6.83 × 10−8) * P2 − (2.108 × 10−7) * N * P | 288.727 | 0.077 | 0.85 |
| P | 948.276 | |||||
| N | y = 0.03 + 0.001 * N + 0.004 * K − (1.144 × 10−6) * N2 − (2.535 × 10−6) * K2 + (6.088 × 10−7) * N * K | 280.385 | 0.079 | 0.73 | ||
| K | 159.343 | |||||
| P | y = −0.03 + 0.0001 * N + 0.001 * K − (−6.81 × 10−8) * N2 − (2.422 × 10−6) * K2 − (4.048 × 10−7) * N * K | 874.133 | 0.089 | 0.89 | ||
| K | 109.598 | |||||
| Ternary | N | y = 0.36 + 0.0001 * N + (9.834 × 10−5) * P + (5.212 × 10−5) * K − (8.355 × 10−6) * N2 − (5.162 × 10−7) * P2 − (1.835 × 10−5) * k2 − (1.02 × 10−7) * N * P + (1.908 × 10−6) * N * K − (1.01 × 10−7) * P * K | 225.421 | 0.081 | 0.91 | |
| P | 890.069 | |||||
| K | 75.507 | |||||
| Scopolamine (%) | Binary | N | y = −0.148 + 0.003 * N + 0.001 * P − (4.151 × 10−6) * N2 − (4.329 × 10−7) * P2 − (1.353 × 10−6) * N * P | 235.692 | 0.500 | 0.81 |
| P | 679.795 | |||||
| N | y = −0.867 + 0.007 * N + 0.009 * K − (4.852 × 10−6) * N2 − (9.828 × 10−6) * K2 − (3.511 × 10−5) * N * K | 226.387 | 0.511 | 0.79 | ||
| K | 143.000 | |||||
| P | y = 0.078 + 0.0004 * N + 0.03 * K − (3.1 × 10−7) * N2 − (1.428 × 10−5) * K2 − (4.013 × 10−7) * N * K | 715.716 | 0.419 | 0.82 | ||
| K | 103.127 | |||||
| Ternary | N | y = 0.189 + 0.0003 * N + 0.002 * P + 0.003 * K − (1.021 × 10−6) * N2 − (2.387 × 10−7) * P2 − (1.478 × 10−5) * k2 + (1.887 × 10−7) * N * P − (8.205 × 10−6) * N * K − (1.133 × 10−6) * P * K | 295.638 | 0.534 | 0.86 | |
| P | 854.064 | |||||
| K | 67.135 | |||||
| Atropine (%) | Binary | N | y = 0.482−0.001 * N + 0.0001 * P + (1.06 × 10−6) * N2 − (1.06 × 10−7) * P2 + (1.438−7) * N * P | 171.690 | 0.342 | 0.78 |
| P | 486.268 | |||||
| N | y = 0.116 + 0.004 * N + 0.02 * K − (1.4 × 10−6) * N2 − (4.043 × 10−6) * K2 − (1.748 × 10−6) * N * K | 226.387 | 0.310 | 0.81 | ||
| K | 99.984 | |||||
| P | y = 0.117 + 0.0004 * N + 0.02 * K − (1.362 × 10−7) * N2 − (4.015 × 10−6) * K2 − (1.771 × 10−6) * N * K | 960.000 | 0.403 | 0.79 | ||
| K | 120.981 | |||||
| Ternary | N | y = 0.28 + 0.001 * N + 0.0002 * P + 0.02 * K − (6.642 × 10−6) * N2 − (1.896 × 10−7) * P2 − (5.634 × 10−5) * k2 + (1.344 × 10−7) * N * P + (2.404 × 10−6) * N * K − (1.773 × 10−7) * P * K | 300.214 | 0.505 | 0.85 | |
| P | 930.203 | |||||
| K | 66.782 | |||||
| Production (kg) | Binary | N | y = 0.555 − 0.001 * N + 0.0001 * P + (6.122 × 10−6) * N2 − (3.037 × 10−7) * P2 + (1.544 × 10−6) * N * P | 145.445 | 0.657 | 0.68 |
| P | 585.092 | |||||
| N | y = −0.494−0.007 * N + 0.09 * K − (8.09 × 10−6) * N2 − (1.927 × 10−5) * K2 − (2.459 × 10−5) * N * K | 162.1548 | 0.685 | 0.82 | ||
| K | 102.890 | |||||
| P | y = 0.61 + 0.002 * N + 0.1 * K − (4.78 × 10−7) * N2 − (2.103 × 10−5) * K2 − (6.88 × 10−6) * N * K | 608.9 | 0.689 | 0.72 | ||
| K | 118.32 | |||||
| Ternary | N | y = 0.277 + 0.00001 * N + (3.456 × 10−5) * P + 0.006 * K − (5.21 × 10−6) * N2 − (2.464 × 10−7) * P2 − (1.257 × 10−5) * k2 + (3.548 × 10−6) * N * P + (8.519 × 10−6) * N * K − (2.643 × 10−7) * P * K | 235.84 | 0.695 | 0.75 | |
| P | 964.28 | |||||
| K | 85.19 |
| Indicator | Value | Unit |
|---|---|---|
| Total nitrogen | 2.10 | g/kg |
| Total phosphorus | 0.88 | g/kg |
| Total potassium | 17.23 | g/kg |
| Organic matter | 18.85 | g/kg |
| PH | 7.27 | |
| Electrical conductivity | 226.67 |
| No. | Number | Fertilization Treatment | Fertilizer Rates (kg/ha2) | ||
|---|---|---|---|---|---|
| N | P | K | |||
| T1 | 1, 28, 38 | N0P0K0 | 0 | 0 | 0 |
| T2 | 2, 27, 39 | N0P2K2 | 0 | 900 | 150 |
| T3 | 3, 26, 35 | N1P2K2 | 112.5 | 900 | 150 |
| T4 | 4, 23, 40 | N2P0K2 | 225 | 0 | 150 |
| T5 | 5, 25, 37 | N2P1K2 | 225 | 450 | 150 |
| T6 | 6, 24, 36 | N2P2K2 | 225 | 900 | 150 |
| T7 | 7, 22, 31 | N2P3K2 | 225 | 1350 | 150 |
| T8 | 8, 19, 32 | N2P2K0 | 225 | 900 | 0 |
| T9 | 9, 21, 34 | N2P2K1 | 225 | 900 | 75 |
| T10 | 10, 18, 42 | N2P2K3 | 225 | 900 | 225 |
| T11 | 11, 20, 29 | N3P2K2 | 337.5 | 900 | 150 |
| T12 | 12, 17, 41 | N1P1K2 | 112.5 | 450 | 150 |
| T13 | 13, 16, 33 | N1P2K1 | 112.5 | 900 | 75 |
| T14 | 14, 15, 30 | N2P1K1 | 225 | 450 | 75 |
Disclaimer/Publisher’s Note: The statements, opinions and data contained in all publications are solely those of the individual author(s) and contributor(s) and not of MDPI and/or the editor(s). MDPI and/or the editor(s) disclaim responsibility for any injury to people or property resulting from any ideas, methods, instructions or products referred to in the content. |
© 2023 by the authors. Licensee MDPI, Basel, Switzerland. This article is an open access article distributed under the terms and conditions of the Creative Commons Attribution (CC BY) license (https://creativecommons.org/licenses/by/4.0/).
Share and Cite
Chen, K.; Ma, L.; Chen, C.; Liu, N.; Wang, B.; Bao, Y.; Liu, Z.; Zhou, G. Long-Term Impact of N, P, K Fertilizers in Different Rates on Yield and Quality of Anisodus tanguticus (Maxinowicz) Pascher. Plants 2023, 12, 2102. https://doi.org/10.3390/plants12112102
Chen K, Ma L, Chen C, Liu N, Wang B, Bao Y, Liu Z, Zhou G. Long-Term Impact of N, P, K Fertilizers in Different Rates on Yield and Quality of Anisodus tanguticus (Maxinowicz) Pascher. Plants. 2023; 12(11):2102. https://doi.org/10.3390/plants12112102
Chicago/Turabian StyleChen, Kaiyang, Lei Ma, Chen Chen, Na Liu, Bo Wang, Yuying Bao, Zhengrong Liu, and Guoying Zhou. 2023. "Long-Term Impact of N, P, K Fertilizers in Different Rates on Yield and Quality of Anisodus tanguticus (Maxinowicz) Pascher" Plants 12, no. 11: 2102. https://doi.org/10.3390/plants12112102
APA StyleChen, K., Ma, L., Chen, C., Liu, N., Wang, B., Bao, Y., Liu, Z., & Zhou, G. (2023). Long-Term Impact of N, P, K Fertilizers in Different Rates on Yield and Quality of Anisodus tanguticus (Maxinowicz) Pascher. Plants, 12(11), 2102. https://doi.org/10.3390/plants12112102

