Plant and Soil Microbial Diversity Co-Regulate Ecosystem Multifunctionality during Desertification in a Temperate Grassland
Abstract
:1. Introduction
2. Materials and Methods
2.1. Study Site
2.2. Sampling and Processing
2.3. Measurements of Soil Functions and Properties
2.4. Measurements of Microbial Biomass and Diversity
2.5. Statistical Analyses
3. Results
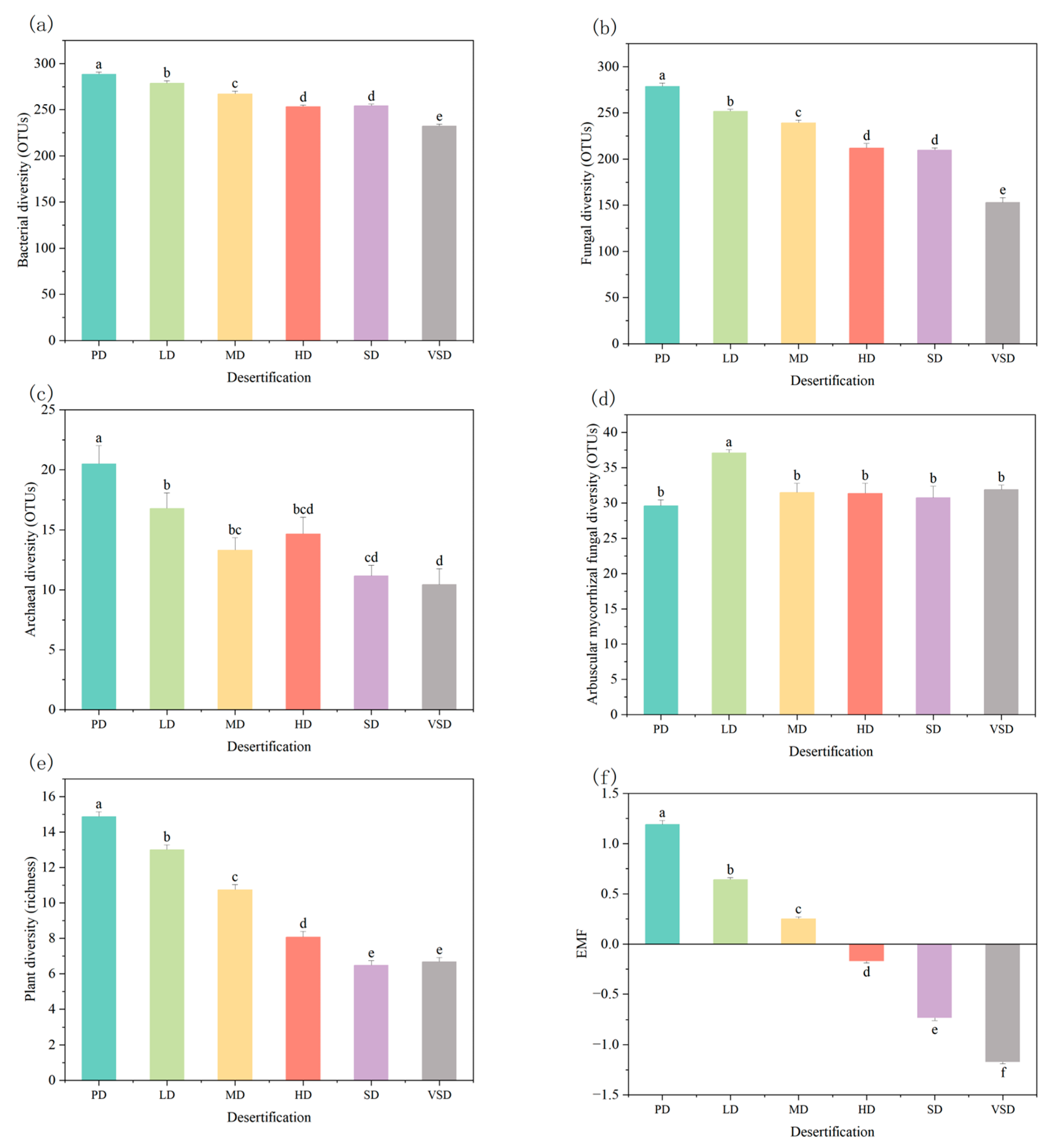
3.1. Effects of Desertification on Biodiversity and EMF
3.2. Relationships between Predictors and EMF during Desertification
3.3. Relative Importance of Biodiversity and Abiotic Factors on EMF during Desertification
4. Discussion
4.1. Impact of Desertification on Plant Diversity
4.2. Impact of Desertification on Soil Microbial Diversity
4.3. Impact of Desertification on EMF
4.4. Biodiversity Regulates EMF during Desertification
4.5. Limitations and Future Work
5. Conclusions
Supplementary Materials
Author Contributions
Funding
Data Availability Statement
Conflicts of Interest
References
- Tilman, D.; Isbell, F.; Cowles, J.M. Biodiversity and Ecosystem Functioning. Annu. Rev. Ecol. Evol. Syst. 2014, 45, 471–493. [Google Scholar] [CrossRef]
- Zhang, R.; Wang, Z.; Niu, S.; Tian, D.; Wu, Q.; Gao, X.; Schellenberg, M.P.; Han, G. Diversity of Plant and Soil Microbes Mediates the Response of Ecosystem Multifunctionality to Grazing Disturbance. Sci. Total Environ. 2021, 776, 145730. [Google Scholar] [CrossRef] [PubMed]
- Bardgett, R.D.; van der Putten, W.H. Belowground Biodiversity and Ecosystem Functioning. Nature 2014, 515, 505–511. [Google Scholar] [CrossRef]
- Hu, W.; Ran, J.; Dong, L.; Du, Q.; Ji, M.; Yao, S.; Sun, Y.; Gong, C.; Hou, Q.; Gong, H.; et al. Aridity-Driven Shift in Biodiversity–Soil Multifunctionality Relationships. Nat. Commun. 2021, 12, 5350. [Google Scholar] [CrossRef] [PubMed]
- Philippot, L.; Spor, A.; Hénault, C.; Bru, D.; Bizouard, F.; Jones, C.M.; Sarr, A.; Maron, P.-A. Loss in Microbial Diversity Affects Nitrogen Cycling in Soil. ISME J. 2013, 7, 1609–1619. [Google Scholar] [CrossRef]
- Wagg, C.; Bender, S.F.; Widmer, F.; Van Der Heijden, M.G.A. Soil Biodiversity and Soil Community Composition Determine Ecosystem Multifunctionality. Proc. Natl. Acad. Sci. USA 2014, 111, 5266–5270. [Google Scholar] [CrossRef]
- Delgado-Baquerizo, M.; Maestre, F.T.; Reich, P.B.; Jeffries, T.C.; Gaitan, J.J.; Encinar, D.; Berdugo, M.; Campbell, C.D.; Singh, B.K. Microbial Diversity Drives Multifunctionality in Terrestrial Ecosystems. Nat. Commun. 2016, 7, 10541. [Google Scholar] [CrossRef]
- Isbell, F.I.; Polley, H.W.; Wilsey, B.J. Biodiversity, Productivity and the Temporal Stability of Productivity: Patterns and Processes. Ecol. Lett. 2009, 12, 443–451. [Google Scholar] [CrossRef]
- Le Bagousse-Pinguet, Y.; Soliveres, S.; Gross, N.; Torices, R.; Berdugo, M.; Maestre, F.T. Phylogenetic, Functional, and Taxonomic Richness Have Both Positive and Negative Effects on Ecosystem Multifunctionality. Proc. Natl. Acad. Sci. USA 2019, 116, 8419–8424. [Google Scholar] [CrossRef]
- Zavaleta, E.S.; Pasari, J.R.; Hulvey, K.B.; Tilman, G.D. Sustaining Multiple Ecosystem Functions in Grassland Communities Requires Higher Biodiversity. Proc. Natl. Acad. Sci. USA 2010, 107, 1443–1446. [Google Scholar] [CrossRef]
- Ni, J. Estimating Net Primary Productivity of Grasslands from Field Biomass Measurements in Temperate Northern China. Plant Ecol. 2004, 174, 217–234. [Google Scholar] [CrossRef]
- Liu, J.; Diamond, J. China’s Environment in a Globalizing World. Nature 2005, 435, 1179–1186. [Google Scholar] [CrossRef]
- Bengtsson, J.; Bullock, J.M.; Egoh, B.; Everson, C.; Everson, T.; O’Connor, T.; O’Farrell, P.J.; Smith, H.G.; Lindborg, R. Grasslands—More Important for Ecosystem Services than You Might Think. Ecosphere 2019, 10, e02582. [Google Scholar] [CrossRef]
- Coban, O.; De Deyn, G.B.; Van Der Ploeg, M. Soil Microbiota as Game-Changers in Restoration of Degraded Lands. Science 2022, 375, abe0725. [Google Scholar] [CrossRef] [PubMed]
- An, R.; Zhang, C.; Sun, M.; Wang, H.; Shen, X.; Wang, B.; Xing, F.; Huang, X.; Fan, M. Monitoring Grassland Degradation and Restoration Using a Novel Climate Use Efficiency (NCUE) Index in the Tibetan Plateau, China. Ecol. Indic. 2021, 131, 108208. [Google Scholar] [CrossRef]
- Wang, X.; Ge, Q.; Geng, X.; Wang, Z.; Gao, L.; Bryan, B.A.; Chen, S.; Su, Y.; Cai, D.; Ye, J.; et al. Unintended Consequences of Combating Desertification in China. Nat. Commun. 2023, 14, 1139. [Google Scholar] [CrossRef] [PubMed]
- Ren, H.; Eviner, V.T.; Gui, W.; Wilson, G.W.T.; Cobb, A.B.; Yang, G.; Zhang, Y.; Hu, S.; Bai, Y. Livestock Grazing Regulates Ecosystem Multifunctionality in Semi-Arid Grassland. Funct. Ecol. 2018, 32, 2790–2800. [Google Scholar] [CrossRef]
- Zirbel, C.R.; Grman, E.; Bassett, T.; Brudvig, L.A. Landscape Context Explains Ecosystem Multifunctionality in Restored Grasslands Better than Plant Diversity. Ecology 2019, 100, e02634. [Google Scholar] [CrossRef]
- Ma, L.; Zhang, C.; Xu, X.; Wang, C.; Liu, G.; Liang, C.; Zuo, X.; Wang, C.; Lv, Y.; Wang, R. Different Facets of Bacterial and Fungal Communities Drive Soil Multifunctionality in Grasslands Spanning a 3500 Km Transect. Funct. Ecol. 2022, 36, 3120–3133. [Google Scholar] [CrossRef]
- Lv, Z.; Lu, X.; Xin, X. Status and Trends of Grassland Desertification in Northern China. J. Grassl. 2005, 13, 24–27. [Google Scholar]
- GB/T 20483-2006; Land Desertification Monitoring Method. Standardization Administration of China: Beijing, China, 2006.
- Soil Enzymes—Tabatabai—1994—SSSA Series—Wiley Online Library. Available online: https://acsess.onlinelibrary.wiley.com/doi/abs/10.2136/sssabookser5.2.c37 (accessed on 18 June 2023).
- Ma, L.; Xu, X.; Zhang, C.; Lv, Y.; Liu, G.; Zhang, Q.; Feng, J.; Wang, R. Strong Non-growing Season N Uptake by Deciduous Trees in a Temperate Forest: A 15N Isotopic Experiment. J. Ecol. 2021, 109, 3752–3766. [Google Scholar] [CrossRef]
- Bossio, D.A.; Scow, K.M. Impacts of Carbon and Flooding on Soil Microbial Communities: Phospholipid Fatty Acid Profiles and Substrate Utilization Patterns. Microb. Ecol. 1998, 35, 265–278. [Google Scholar] [CrossRef] [PubMed]
- Yu, Y.; Zheng, L.; Zhou, Y.; Sang, W.; Zhao, J.; Liu, L.; Li, C.; Xiao, C. Changes in Soil Microbial Community Structure and Function Following Degradation in a Temperate Grassland. J. Plant Ecol. 2021, 14, 384–397. [Google Scholar] [CrossRef]
- Lemos, L.N.; Fulthorpe, R.R.; Triplett, E.W.; Roesch, L.F.W. Rethinking Microbial Diversity Analysis in the High Throughput Sequencing Era. J. Microbiol. Methods 2011, 86, 42–51. [Google Scholar] [CrossRef] [PubMed]
- Jing, X.; Sanders, N.J.; Shi, Y.; Chu, H.; Classen, A.T.; Zhao, K.; Chen, L.; Shi, Y.; Jiang, Y.; He, J.-S. The Links between Ecosystem Multifunctionality and above- and Belowground Biodiversity Are Mediated by Climate. Nat. Commun. 2015, 6, 8159. [Google Scholar] [CrossRef]
- R Core Team. R: A Language and Environment for Statistical Computing; R Foundation for Statistical Computing: Vienna, Austria, 2018; Available online: https://www.R-project.org/ (accessed on 16 February 2023).
- Random Forest—An Overview|ScienceDirect Topics. Available online: https://www.sciencedirect.com/topics/engineering/random-forest (accessed on 17 February 2023).
- Liaw, A.; Wiener, M. The R Journal: Classification and Regression by randomForest. R News 2002, 2, 18–22. [Google Scholar]
- Zhang, R.; Wang, Z.; Han, G.; Schellenberg, M.P.; Wu, Q.; Gu, C. Grazing Induced Changes in Plant Diversity Is a Critical Factor Controlling Grassland Productivity in the Desert Steppe, Northern China. Agric. Ecosyst. Environ. 2018, 265, 73–83. [Google Scholar] [CrossRef]
- Wu, G.-L.; Zhang, Z.-N.; Wang, D.; Shi, Z.-H.; Zhu, Y.-J. Interactions of Soil Water Content Heterogeneity and Species Diversity Patterns in Semi-Arid Steppes on the Loess Plateau of China. J. Hydrol. 2014, 519, 1362–1367. [Google Scholar] [CrossRef]
- Li, X.R.; Jia, X.H.; Dong, G.R. Influence of Desertification on Vegetation Pattern Variations in the Cold Semi-Arid Grasslands of Qinghai-Tibet Plateau, North-West China. J. Arid Environ. 2006, 64, 505–522. [Google Scholar] [CrossRef]
- Lei, L.; Zhang, K.; Zhang, X.; Wang, Y.; Xia, J.; Piao, S.; Hui, D.; Zhong, M.; Ru, J.; Zhou, Z.; et al. Plant Feedback Aggravates Soil Organic Carbon Loss Associated With Wind Erosion in Northwest China. J. Geophys. Res. Biogeosci. 2019, 124, 825–839. [Google Scholar] [CrossRef]
- Zheng, M.; Song, J.; Ru, J.; Zhou, Z.; Zhong, M.; Jiang, L.; Hui, D.; Wan, S. Effects of Grazing, Wind Erosion, and Dust Deposition on Plant Community Composition and Structure in a Temperate Steppe. Ecosystems 2021, 24, 403–420. [Google Scholar] [CrossRef]
- Zheng, J.; Zhang, F.; Zhang, B.; Chen, D.; Li, S.; Zhao, T.; Wang, Q.; Han, G.; Zhao, M. Biodiversity and Soil pH Regulate the Recovery of Ecosystem Multifunctionality during Secondary Succession of Abandoned Croplands in Northern China. J. Environ. Manag. 2023, 327, 116882. [Google Scholar] [CrossRef] [PubMed]
- Huang, B.; Ouyang, Z.; Zheng, H.; Zhang, H.; Wang, X. Construction of an Eco-Island: A Case Study of Chongming Island, China. Ocean Coast. Manag. 2008, 51, 575–588. [Google Scholar] [CrossRef]
- Haroon, M.F.; Hu, S.; Shi, Y.; Imelfort, M.; Keller, J.; Hugenholtz, P.; Yuan, Z.; Tyson, G.W. Anaerobic Oxidation of Methane Coupled to Nitrate Reduction in a Novel Archaeal Lineage. Nature 2013, 500, 567–570. [Google Scholar] [CrossRef]
- Wang, Z.; Jiang, S.; Struik, P.C.; Wang, H.; Jin, K.; Wu, R.; Na, R.; Mu, H.; Ta, N. Plant and Soil Responses to Grazing Intensity Drive Changes in the Soil Microbiome in a Desert Steppe. Plant Soil 2023, 491, 219–237. [Google Scholar] [CrossRef]
- Yang, N.; Wang, B.; Liu, D.; Wang, X.; Li, X.; Zhang, Y.; Xu, Y.; Peng, S.; Ge, Z.; Mao, L.; et al. Long-Term Nitrogen Deposition Alters Ectomycorrhizal Community Composition and Function in a Poplar Plantation. J. Fungi 2021, 7, 791. [Google Scholar] [CrossRef] [PubMed]
- Zong, N.; Shi, P. Soil Properties Rather than Plant Production Strongly Impact Soil Bacterial Community Diversity along a Desertification Gradient on the Tibetan Plateau. Grassl. Sci. 2020, 66, 197–206. [Google Scholar] [CrossRef]
- Dong, S.K.; Wen, L.; Li, Y.Y.; Wang, X.X.; Zhu, L.; Li, X.Y. Soil-Quality Effects of Grassland Degradation and Restoration on the Qinghai-Tibetan Plateau. Soil Sci. Soc. Am. J. 2012, 76, 2256–2264. [Google Scholar] [CrossRef]
- Hiltbrunner, D.; Schulze, S.; Hagedorn, F.; Schmidt, M.W.I.; Zimmmermann, S. Cattle Trampling Alters Soil Properties and Changes Soil Microbial Communities in a Swiss Sub-Alpine Pasture. Geoderma 2012, 170, 369–377. [Google Scholar] [CrossRef]
- Duffy, J.E.; Godwin, C.M.; Cardinale, B.J. Biodiversity Effects in the Wild Are Common and as Strong as Key Drivers of Productivity. Nature 2017, 549, 261–264. [Google Scholar] [CrossRef]
- Ma, W.; He, J.-S.; Yang, Y.; Wang, X.; Liang, C.; Anwar, M.; Zeng, H.; Fang, J.; Schmid, B. Environmental Factors Covary with Plant Diversity–Productivity Relationships among Chinese Grassland Sites. Glob. Ecol. Biogeogr. 2010, 19, 233–243. [Google Scholar] [CrossRef]
- Tilman, D.; Lehman, C. Human-Caused Environmental Change: Impacts on Plant Diversity and Evolution. Proc. Natl. Acad. Sci. USA 2001, 98, 5433–5440. [Google Scholar] [CrossRef] [PubMed]
- Handa, I.T.; Aerts, R.; Berendse, F.; Berg, M.P.; Bruder, A.; Butenschoen, O.; Chauvet, E.; Gessner, M.O.; Jabiol, J.; Makkonen, M.; et al. Consequences of Biodiversity Loss for Litter Decomposition across Biomes. Nature 2014, 509, 218–221. [Google Scholar] [CrossRef]
- Chen, C.; Chen, H.Y.H.; Chen, X.; Huang, Z. Meta-Analysis Shows Positive Effects of Plant Diversity on Microbial Biomass and Respiration. Nat. Commun. 2019, 10, 1332. [Google Scholar] [CrossRef]
- Luo, G.; Rensing, C.; Chen, H.; Liu, M.; Wang, M.; Guo, S.; Ling, N.; Shen, Q. Deciphering the Associations between Soil Microbial Diversity and Ecosystem Multifunctionality Driven by Long-Term Fertilization Management. Funct. Ecol. 2018, 32, 1103–1116. [Google Scholar] [CrossRef]
- Chamizo, S.; Cantón, Y.; Miralles, I.; Domingo, F. Biological Soil Crust Development Affects Physicochemical Characteristics of Soil Surface in Semiarid Ecosystems. Soil Biol. Biochem. 2012, 49, 96–105. [Google Scholar] [CrossRef]
- Megyes, M.; Borsodi, A.K.; Árendás, T.; Márialigeti, K. Variations in the Diversity of Soil Bacterial and Archaeal Communities in Response to Different Long-Term Fertilization Regimes in Maize Fields. Appl. Soil Ecol. 2021, 168, 104120. [Google Scholar] [CrossRef]
- Yang, C.; Sun, J. Impact of Soil Degradation on Plant Communities in an Overgrazed Tibetan Alpine Meadow. J. Arid Environ. 2021, 193, 104586. [Google Scholar] [CrossRef]
- Boeddinghaus, R.S.; Marhan, S.; Berner, D.; Boch, S.; Fischer, M.; Hölzel, N.; Kattge, J.; Klaus, V.H.; Kleinebecker, T.; Oelmann, Y.; et al. Plant Functional Trait Shifts Explain Concurrent Changes in the Structure and Function of Grassland Soil Microbial Communities. J. Ecol. 2019, 107, 2197–2210. [Google Scholar] [CrossRef]





Disclaimer/Publisher’s Note: The statements, opinions and data contained in all publications are solely those of the individual author(s) and contributor(s) and not of MDPI and/or the editor(s). MDPI and/or the editor(s) disclaim responsibility for any injury to people or property resulting from any ideas, methods, instructions or products referred to in the content. |
© 2023 by the authors. Licensee MDPI, Basel, Switzerland. This article is an open access article distributed under the terms and conditions of the Creative Commons Attribution (CC BY) license (https://creativecommons.org/licenses/by/4.0/).
Share and Cite
Zhang, Y.; Gao, X.; Yuan, Y.; Hou, L.; Dang, Z.; Ma, L. Plant and Soil Microbial Diversity Co-Regulate Ecosystem Multifunctionality during Desertification in a Temperate Grassland. Plants 2023, 12, 3743. https://doi.org/10.3390/plants12213743
Zhang Y, Gao X, Yuan Y, Hou L, Dang Z, Ma L. Plant and Soil Microbial Diversity Co-Regulate Ecosystem Multifunctionality during Desertification in a Temperate Grassland. Plants. 2023; 12(21):3743. https://doi.org/10.3390/plants12213743
Chicago/Turabian StyleZhang, Yeming, Xiuli Gao, Ye Yuan, Lei Hou, Zhenhua Dang, and Linna Ma. 2023. "Plant and Soil Microbial Diversity Co-Regulate Ecosystem Multifunctionality during Desertification in a Temperate Grassland" Plants 12, no. 21: 3743. https://doi.org/10.3390/plants12213743
APA StyleZhang, Y., Gao, X., Yuan, Y., Hou, L., Dang, Z., & Ma, L. (2023). Plant and Soil Microbial Diversity Co-Regulate Ecosystem Multifunctionality during Desertification in a Temperate Grassland. Plants, 12(21), 3743. https://doi.org/10.3390/plants12213743

