Abstract
Application of organic fertilizers or their combination with chemical fertilizers is a feasible practice for improving soil fertility and reducing soil degradation in agroecosystems, and these regulations are mainly mediated though soil microbial communities. Despite bacteria ranking among the most abundant and diverse groups of soil microorganisms, the effects of long-term organic fertilization (OF) and chemical–organic fertilization (COF) on soil bacterial diversity and community composition remain unclear. In this study, we conducted a meta-analysis and demonstrated that OF had no significant effect on bacterial alpha diversity. Application of chemical fertilizer and crop residue significantly decreased bacterial Richness index. Both OF and COF significantly altered bacterial community structure, with these changes being predominately attributed to shifts in soil pH. For bacterial phyla, both OF and COF significantly increased the relative abundance of Proteobacteria and Bacteroidetes, suggesting that OF and COF may cause the enrichment of copiotrophic taxa. In addition, COF significantly increased the relative abundance of Gammaproteobacteria but decreased the relative abundance of Acidobacteria. Overall, our results suggest that organic and chemical–organic fertilization can effectively maintain bacterial diversity and enhance soil fertility in agroecosystems, and the alteration of soil bacterial community structure is closely intertwined with soil pH.
1. Introduction
Optimal agricultural management practices are essential to improving soil fertility and sustaining crop productivity in agricultural ecosystems [1]. Over the past few decades, high-intensity agricultural practices, such as the long-term excessive application of chemical nitrogen (N) fertilizers, have resulted in a noticeable decline in soil quality and microbial diversity, which is a major issue for agricultural productivity and sustainability [2,3]. Therefore, the development of low-input, high-productivity agricultural nutrient management practices has become increasingly important. Organic materials (e.g., animal manure, crop residue, compost, or their combinations) (OF) or chemical-plus-organic fertilization (COF) have been proposed as alternatives to chemical fertilization due to its perceived advantages in sustainability and environmentally friendly properties [4]. Previous studies have demonstrated that the application of organic or chemical–organic fertilizers in agricultural soil can lead to benefits such as increasing soil carbon sequestration and fertility, and improving microbial functions [5,6,7]. However, the impacts of organic and chemical–organic fertilizer application on soil microbial diversity remain largely elusive.
Soil bacteria are likely the most abundant and diverse community on our planet [8,9]. Bacterial diversity (that is, taxonomic diversity, Richness, and community composition) plays a critical role in mediating a range of ecosystem processes, including organic matter decomposition, nutrients biogeochemical cycling, climate regulation, and plant growth [10,11,12,13]. Therefore, maintaining a high level of bacterial diversity in soil is essential for the health and sustainable development of agriculture. However, it is also a challenging task because soil bacterial communities are changing at an unprecedented rate due to environmental changes caused by common agricultural management practices, particularly long-term nutrient addition [14,15,16,17].
Long-term fertilization can alter soil physicochemical properties, crop productivity, and microbial activities and interactions [18,19,20]. To date, the impact of fertilization on soil microbial activities and fungal diversity has been documented [21,22]. However, studies focusing on the response of bacterial diversity and community structure remain fragmented and require a comprehensive synthesis. For instance, organic or chemical–organic fertilization may or may not increase soil bacterial diversity [23,24,25]. Long-term fertilization has also been found to change bacterial community structure and is considered to be mainly due to changes in soil pH or soil carbon and/or nutrient availability caused by fertilization [26]. Furthermore, the effect of fertilization on the relative abundance of some key bacterial phyla remains controversial and highly variable under different land use types, fertilizer regimes, and experiment conditions [27,28,29]. The large heterogeneity of these results limits our understanding of the general bacterial diversity and community structure responses to organic and chemical–organic fertilization.
Here, we performed a meta-analysis based on 86 published papers with 183 observations to evaluate the effects of organic and chemical–organic fertilization on bacterial diversity, community structure and specific bacterial phyla. The objectives of our study were to answer the following questions: (1) How does organic and chemical–organic fertilization affect soil bacterial diversity and community structure? (2) How does organic and chemical–organic fertilization affect specific bacterial phyla? (3) What factors influence bacterial diversity, community structure, and specific bacterial phyla in response to organic and chemical–organic fertilization? We hypothesize that long-term organic and chemical–organic fertilization can maintain bacterial diversity and shift community structure. In addition, organic and chemical–organic fertilization may cause the enrichment of copiotrophic bacteria through increasing C and nutrient availability.
2. Results
2.1. Response of Soil Properties to Different Fertilizer Regimes
Compared to no fertilizer control, both OF and COF significantly increased SOC (43.1% for OF and 36.7% for COF), TN (43.2% and 42.4%), TP (86.5% and 66.0%), AN (72.3% and 44.3%), AP (536.2% and 288.1%), AK (70.8% and 52.4%), and MBC (62.6% and 49.7%) content (p < 0.05) (Figure 1). COF significantly decreased soil pH (p < 0.05). Fertilizer type was an important factor that affecting the response of soil pH, SOC, TN, TP, and AP to fertilization (p < 0.05). Manure application significantly increased soil pH by 0.18, but NPK + crop residue and NPK + manure application significantly decreased soil pH on average by −0.33 and −0.19, respectively (p < 0.05) (Supplementary Figure S1).
Figure 1.
Effect of organic and chemical–organic fertilization on soil properties. Values are mean 95% confidence intervals of the percentage effects between the treatment and control. The numbers at the right side of the confidence intervals represent the sample sizes. SOC, TN, TP, AN, AP, AK and MBC represent soil organic carbon, total nitrogen, total phosphorus, available nitrogen, available phosphorus, available potassium and microbial biomass carbon, respectively. OF and COF represent organic fertilizer and chemical–organic fertilizer, respectively.
2.2. Response of Bacterial Diversity and Community Structure to Different Fertilizer Regimes
Both OF and COF significantly changed bacterial community structure, but had no significant effect on the bacterial Shannon and Richness index. COF significantly increased bacterial beta-diversity (p < 0.05) (Figure 2). Fertilizer types had a significant effect on the magnitude of bacterial Richness and community structure response. Compost application significantly increased bacterial Richness (on average by 9.3%), whereas NPK + crop residue application significantly decreased bacterial Richness (−11.3%) (p < 0.05) (Figure 3). The response of bacterial community structure to both OF and COF was significantly varied with land use types (p < 0.05) (Supplementary Figure S2). Response ratios of bacterial Richness were positively correlated with soil pH changes under COF (p < 0.01) (Figure 4). Response ratios of bacterial Shannon were positively correlated with bacterial Richness under both OF and COF (p < 0.001) (Supplementary Figure S3).
Figure 2.
Effect of organic and chemical–organic fertilization on bacterial diversity and community structure. Values are mean ± 95% confidence intervals of the percentage effects between the treatment and control. The numbers at the right side of the confidence intervals represent the sample sizes.
Figure 3.
Effect of different fertilizer types on bacterial diversity and community structure. Values are mean ± 95% confidence intervals of the percentage effects between the treatment and control. The numbers at the right side of the confidence intervals represent the sample sizes.
Figure 4.
Coordinated changes between soil pH and bacterial diversity. (a) Relationship between changes in soil pH and response ratio of bacterial Shannon. (b) Relationship between changes in soil pH and response ratio of bacterial Richness.
2.3. Response of Specific Bacterial Phyla to Different Fertilizer Regimes
Both OF and COF significantly increased the relative abundance of Proteobacteria (6.5% for OF and 14.1% for COF) and Bacteroidetes (49.4% and 26.5%) (p < 0.05). COF significantly increased the relative abundance of Gammaproteobacteria (45.8%), but significantly decreased the relative abundance of Acidobacteria (11.1%) (p < 0.05) (Figure 5). Fertilizer type was an important factor in affecting the response ratio of Proteobacteria and Bacteroidetes to OF and COF (p < 0.05) (Figure 6). The responses of Proteobacteria, Betaproteobacteria, and Gammaproteobacteria to COF significantly varied with land use types (p < 0.05) (Supplementary Figure S4). Response ratios of Bacteroidetes were positively correlated with soil pH, SOC, and AP changes under OF and COF (p < 0.05). Response ratios of Proteobacteria were positively correlated with soil pH and TN changes under OF (p < 0.05). Response ratios of Proteobacteria were positively correlated with soil pH and AP changes under COF (p < 0.05) (Supplementary Figure S5).
Figure 5.
Effect of organic and chemical–organic fertilization on specific bacterial phyla. Values are mean ± 95% confidence intervals of the percentage effects between the treatment and control. The numbers at the right side of the confidence intervals represent the sample sizes.
Figure 6.
Effect of different fertilizer types on specific bacterial phyla. Values are mean ± 95% confidence intervals of the percentage effects between the treatment and control. The numbers at the right side of the confidence intervals represent the sample sizes.
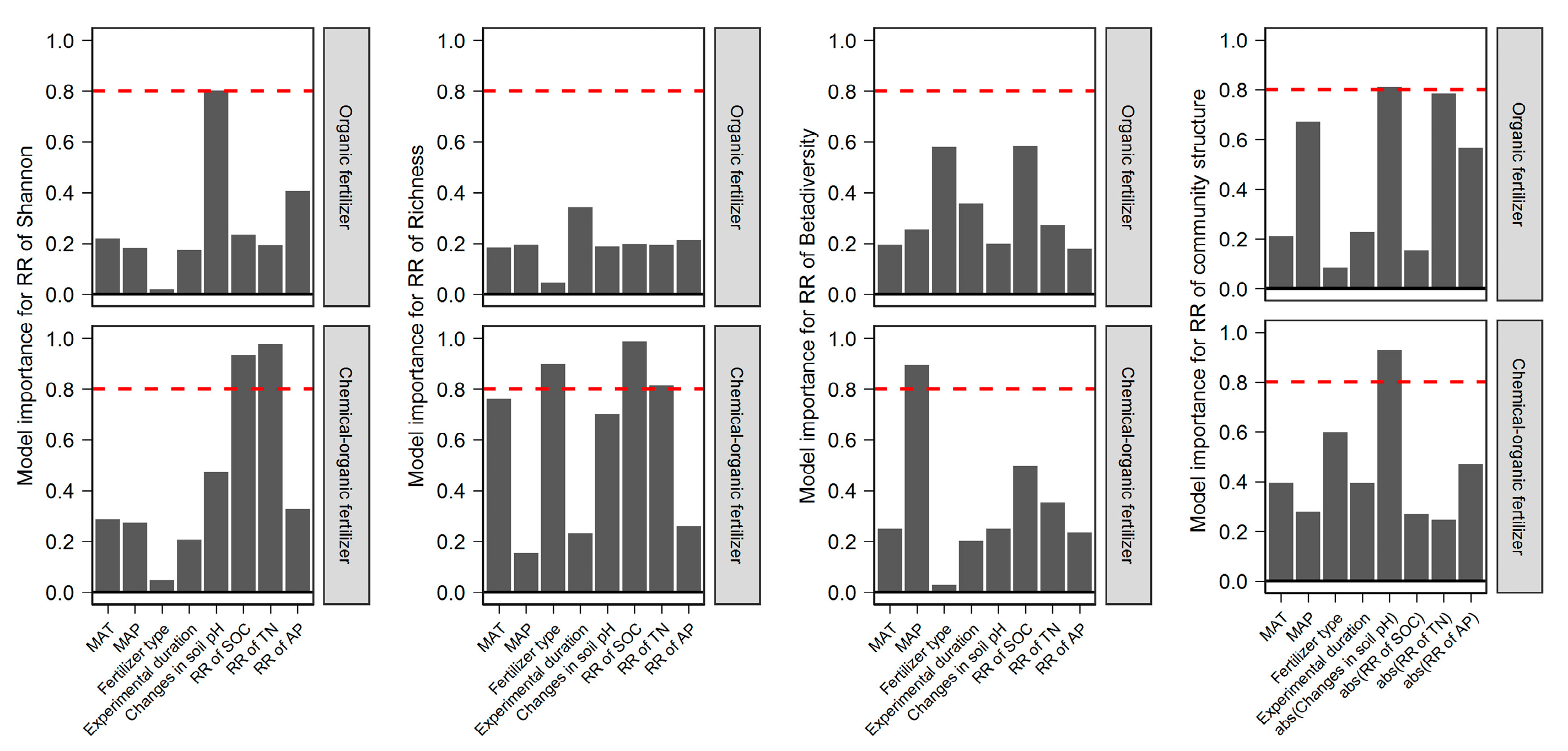
2.4. The Importance of the Predictors of Different Fertilizer Regimes Effect on Bacterial Diversity and Community Structure
The changes in SOC and TN by COF were important predictors for the response ratio of bacterial Shannon and Richness. The absolute values of changed soil pH by OF and COF was the most important predictor for the changes in bacterial community structure. Besides, the changes in soil pH by OF was most important predictor for the response ratio of bacterial Shannon (Figure 7, Supplementary Figures S7 and S8). Response ratios of Gammaproteobacteria were positively correlated with SOC, TN, TP, and AP changes under COF (p < 0.05) (Supplementary Figure S9).
Figure 7.
Model-averaged importance of the predictors of organic and chemical–organic fertilization impact on soil bacterial community. The importance is based on the sum of Akaike weights derived from the model selection using Akaike’s Information Criteria corrected for small samples. The red dotted line was a cutoff of 0.8. A cutoff of 0.8 is set to differentiate between important and non-essential predictors. Abs represents absolute value.
3. Discussion
3.1. Response of Specific Bacterial Diversity and Community Structure to Organic and Chemical–Organic Fertilization
Microbial diversity is a significant determinant of ecosystem health, as soil microorganisms play essential roles in maintaining ecosystem stability and productivity [30,31]. Despite the importance of bacterial diversity for soil fertility and plant growth, the long-term effects of organic and chemical–organic fertilization on bacterial diversity remain unclear, e.g., positive effects [23,32] or no/negative effects [19,33]. Our meta-analysis demonstrates that, compared to the no-fertilization control, OF and COF significantly altered bacterial community structure but had a negligible positive effect on the bacterial Shannon and Richness indices. Additionally, only COF showed a significant increase in increase bacterial beta diversity. These results imply that OF or COF had the potential to maintain soil bacterial diversity in agroecosystems.
At present, fertilization-induced variation of edaphic variables (e.g., pH, SOC and nutrient concentration, and moisture) associated with changes in bacterial diversity and community structure remains contradictory [26]. Model selection analysis revealed that the changes in soil pH were the most predominant predictor for bacterial Shannon in response to OF. When organic fertilizer combined with chemical fertilizer application, the changed SOC and TN were the important factors determining bacterial Shannon. Surprisingly, we observed that negative effect of SOC and positive of soil TN on bacterial alpha diversity under chemical–organic fertilization (Supplementary Figure S6). The negative effect of SOC on bacterial alpha diversity may be attributed to the high availability of a rich-C substrate under COF, triggering the competitive interaction with copiotrophic and oligotrophic bacteria in the bacterial communities. This competitive process may exclude some species from the bacterial community—resulting in a loss of bacterial diversity [34,35]. Soil pH changed by OF and COF was the most predominant predictor for bacterial community structure, which is consistent with many previous studies at local sites and global scales [11,36,37]. The explanation is that pH plays an important role in protein stability and pH homeostasis of cells and thus directly imposes a physiological constraint on soil bacterial communities. This constraint decreases the net growth of some bacterial taxa, which cannot survive when the soil pH falls outside a particular niche and thus change the results of the competition [16].
Fertilizer type plays a crucial role in influencing the activities of the soil-dwelling microorganisms [38]. A recent meta-analysis has highlighted the significant effect of the type of chemical fertilizers on the magnitude and direction of microbial diversity and community structure response [16]. In this study, our meta-analysis indicated that the influences of OF and COF on bacterial Richness and community structure vary significantly depending on the fertilizer types used. One possible explanation for these observations is the considerable heterogeneity in fertilizer properties and application rates [6,39]. These differences in fertilizer application may create unique microenvironment for soil microorganisms, leading to alterations in microbial diversity and community structure. For example, application of compost and manure alongside crop residue can mitigate soil acidification, and increases SOC and nutrient concentration. Notably, the positive relationship between the response ratios of bacterial Richness and soil pH, suggesting that long-term NPK + crop residue application may not be a feasible practice that can stably maintain bacterial Richness in global agroecosystems (Supplementary Figure S8).
3.2. Response of Specific Bacterial Phyla to Organic and Chemical–Organic Fertilization
Species composition, an important indicator of the bacterial community, is crucial for maintaining ecosystem functioning [12,40]. Previous studies have suggested that changes in soil physicochemical characteristics and substrate utilization resulting from fertilization are unlikely to uniformly impact the species composition of bacterial and fungal communities equally [14,22]. Our findings revealed that both OF and COF significantly increased the relative abundance of Proteobacteria and Bacteroidetes. Generally, Bacteroidetes and many of the dominant Proteobacteria are classified as copiotrophic taxa characterized by a fast growth rate and r-selected life strategy. These taxa thrive in conditions with elevated carbon availability and prefer to utilize more labile C substrates [41,42]. Hence, the enhancement of soil C and nutrient availability under OF and COF may stimulate the growth of these copiotrophic bacteria. Additionally, the significantly positive relationship observed between Proteobacteria and Bacteroidetes and soil pH under OF and COF suggests that the relative stable soil pH in such conditions may provide an ideal environment for the proliferation of these copiotrophic bacteria. Upon examining Proteobacteria at the class level of taxonomic resolution, we noted various responses among four classes to fertilizer addition. Specifically, only COF significantly increased the relative abundance of Gammaproteobacteria. This observation aligns with the tendency of Gammaproteobacteria to be copiotrophic taxa [42,43]. The positive correlation of Gammaproteobacteria with SOC, TN, and TP under COF further suggests that the increased availability of soil C and nutrients likely contributed to the higher relative abundance of Gammaproteobacteria (Supplementary Figure S9). We propose that further investigation is needed to explore the effects of OF and COF on bacterial community composition at more specific phylogenetic resolution levels.
Acidobacteria are typically classified as oligotrophic taxa characterized by a slower growth rate and K-selected life strategy, which are taxa that prefer soil environments with low carbon availability and may have the ability to metabolize nutrient-poor and recalcitrant C substrates [41,42,44]. Our results showed that COF significantly decreased the relative abundance of Acidobacteria, whereas this effect was not observed with OF. The significant negative correlation observed between of the RR of Acidobacteria and AP under COF suggests that an increase in AP may lead to a decrease in the relative abundance of Acidobacteria. This result is consistent with previous studies [45,46], which have found that phosphorus fertilization can decrease the relative abundance of Acidobacteria. Furthermore, the application of N fertilizer may hinder the metabolic process of Acidobacteria for C substrates that consequence inhibited the growth of Acidobacteria [43].
The RR of Proteobacteria and Bacteroidetes significantly varied with fertilizer types. The RR of Proteobacteria under COF was higher than that of OF. One possible explanation for this observation is that compared to OF, COF can more effectively improve soil microbial C use efficiency and nutrient availability [20,47]. Moreover, we found a higher increase in Bacteroidetes abundance under the application of compost, manure, and their combination with NPK fertilizer than under crop residue and NPK + crop residue application. Previous studies indicated that Bacteroidetes are important and dominant carbohydrate degraders in soil environments [9]. At the same time, compost manure and manure had relatively higher carbohydrate and nutrient contents than crop residue [6]. Therefore, the Bacteroidetes thrive under compost and manure application because of their ability to secrete diverse arrays of carbohydrate-active enzymes which target the compost or manure-derived carbohydrate in soils. In addition, the RR of Bacteroidetes under both OF and COF had a significant positive correlation with the application rate of organic fertilizer, suggesting that the increase in Bacteroidetes had a closer correlation to organic amendment, compared to other phyla (Supplementary Table S1). Apart from fertilizer types, land use types can alter the response of Proteobacteria, Betaproteobacteria, and Gammaproteobacteria to chemical–organic fertilization. We found a higher relative abundance of Proteobacteria, Betaproteobacteria, and Gammaproteobacteria abundance in upland fields than in paddy fields. This result can be attributed to the fact that upland fields have better aeration conditions, which are beneficial to the decomposition of organic materials, and then the release of nutrients consequently stimulates the growth of copiotrophic taxa [48].
4. Materials and Methods
4.1. Data Collection
An extensive literature survey was conducted through Scopus (Elsevier), Web of Science (Thomson Reuters), Google Scholar (scholar.google.com) and China National Knowledge Infrastructure databases (www.cnki.net) until March 2022 with no restriction on publication year. We performed a literature search using terms (fertiliz* OR organic amendment OR straw return OR manure OR compost) AND (bacteria*). The following criteria were used to select studies: (1) only field studies of organic or chemical–organic fertilization are selected; (2) at least one bacterial variable, including diversity (i.e., OTU (operational taxonomic units) Richness, Chao 1 and/or Shannon–Wiener index), community structure and/or specific phyla reported; (3) the duration of experiments is ≥2 years; (4) if one paper reported various independent experiments, each of them was considered as an individual study and incorporated as an independent observation into our dataset; (5) if one paper contained results from various sampling dates and soil depths, we only used the data from the latest sampling time-point and from the sample collected from the uppermost layer of soil; (6) besides the bacterial variables, soil properties including soil pH, soil organic carbon (SOC), total nitrogen (TN), total phosphorus (TP), available nitrogen (AN), available phosphorus (AP), available potassium (AK), and microbial biomass carbon (MBC) were also extracted if they appeared in studies selected in accordance with the above papers.
The location (latitude and longitude), climate factor (mean annual temperature (MAT) and mean annual precipitation (MAP)), edaphic parameters (soil pH, soil organic carbon, soil total nitrogen, clay content), land use type, fertilizer type, application rate of organic, N, P and K fertilizer, and experimental duration were collected for each site. pH-CaCl2 was used instead of pH-H2O in the paper [49]. If available nitrogen was not reported, we use the sum of ammonium nitrogen and nitrate nitrogen instead. Missing mean annual temperature (MAT) and mean annual precipitation (MAP) were extracted from the database at http://epsweb.larc.nasa.gov (accessed on 15 October 2023) using the site information. Overall, we collected 183 paired observations of organic fertilizer and synthetic fertilizer from 86 studies (Supplementary Materials dataset1).
Land use types were classified into two categories: paddy and upland. Types of fertilizer included compost, crop residue, manure, crop residue plus manure, and their combination with NPK fertilizer. The experimental duration was the range from 2 to 110 years. The application rate of organic fertilizer was the range from 0.4 to 100 Mg ha−1, respectively. Initial soil pH, organic carbon, total nitrogen, and clay content were the range from 4.5 to 8.7, 2.5 to 24.0 g kg−1, 0.14 to 2.01 g kg−1, and 2.2 to 70.0%, respectively.
4.2. Meta-Analysis
The natural log of response ratio (RR) was used to evaluate the responses of soil bacterial α-diversity (i.e., Shannon and Richness), specific phyla, and soil properties to organic and chemical–organic fertilization. The RR was calculated according to the following equation:
where Xt and Xc denote the average values of selected variables in the fertilizer treatment and no fertilizer control, respectively. It is worth noting that the response of soil pH to organic and chemical–organic fertilization was represented as a change in soil pH [16].
RR = ln Xt − ln Xc
The natural log of response ratio (RR) of bacterial β-diversity and community structure was calculated according to the following equation:
where t, c, b and denote the average values of the Euclidean distances within fertilizer treatment (Dt), Euclidean distances within no fertilizer control (Dc), and Euclidean distances between no fertilizer and fertilizer treatment (Db), respectively.
The observations’ variances (ν) were calculated according to the following equation:
where Nt and Nc denote the sample size of the variable in the fertilizer treatment and no fertilizer treatment, respectively; St and Sc denote the standard deviations (SD) of the variable in the fertilization and no fertilizer control, respectively. Missing standard deviations were calculated using the average coefficient of variation of the datasets with known standard deviations [50].
In our meta-analysis, we used the random-effect model to calculate the overall natural the log of response ratio and corresponding 95% confidence intervals of variables to different fertilizer regime with a moderator of fertilizers application. Furthermore, we use the random-effect model to compare the natural log of response ratio of variables to each fertilizer regime among land use types and fertilizer types using the omnibus test (QM). In subgroup analysis, groups with less than 5 sample sizes will be removed. Since converting continuous variables into discrete groups will reduce statistical power, we used linear regression to analyze the relationship between different climatic factors (MAT and MAP), initial soil properties (pH, SOC, TN and clay content), experimental conditions (including experimental duration and organic fertilizer rate) and bacterial variables under organic and chemical–organic fertilization (Supplementary Tables S1 and S2).
4.3. Model Selection Analysis
Model selection was based on Akaike information criterion (AIC) corrected [16]. Three types of candidate predictors were included in our analysis: (1) experimental conditions, including fertilizer type and experimental duration; (2) climate factors, including mean annual temperature and mean annual precipitation; and (3) changes in edaphic variables, including changes in soil pH, the log of response ratio of soil organic carbon, total nitrogen, available nitrogen and available phosphorus. For bacterial community structure, the absolute values of changes in soil pH and the log of response ratio of soil organic carbon, total nitrogen, available nitrogen, and available phosphorus were used in the model selection analysis. All data analysis was performed in R 4.0.2 (R Core Team, 2020).
5. Conclusions
In summary, our meta-analysis demonstrates that long-term organic and chemical–organic fertilization can improve soil fertility, maintain soil bacterial biodiversity, and alter bacterial community structure in agroecosystems. Both organic and chemical–organic fertilization favor the growth of copiotrophic bacteria. Land use types and fertilizer types contributed to the variabilities of response ratio of bacterial community structure, and organic and chemical–organic fertilization shaped bacterial community structure predominately by changing the soil pH. Overall, adopting long-term organic or chemical–organic fertilization can consistently maintain soil bacterial diversity and improve soil fertility. This highlights the potential of organic or chemical–organic fertilization as a sustainable fertilizer management practice in crop production. Further research should aim to (1) reveal the response of bacterial community composition to organic and chemical–organic fertilization at finer phylogenetic resolution levels and (2) clarify the response of bacterial functional diversity and bacterial species interaction to different fertilizer management practices.
Supplementary Materials
The following supporting information can be downloaded at https://www.mdpi.com/article/10.3390/plants12223801/s1. Figure S1: Effect of different fertilizer types on soil properties; Figure S2: Response of bacterial community structure to different land use types; Figure S3: Relationship between changes in soil properties and response ratio of bacterial diversity and community structure; Figure S4: Response of specific bacterial taxa to different land use types; Figure S5: Relationship between changes in soil properties and response ratio of specific bacterial phyla; Figure S6: Weighted averages of the model coefficients across various models for the responses of bacterial community to organic and chemical compound fertilization; Figure S7: Weighted averages of the model coefficients across various models for the responses of bacterial community to organic fertilization; Figure S8: Relationship between changes in soil properties and response ratio of bacterial Richness under NPK + crop residue application; Figure S9: Relationship between changes in soil properties and response ratio of Proteobacterial subclass; Table S1: Correlation coefficients between response of specific bacterial taxa and climate factors, soil properties, and fertilizer regimes; Table S2: Correlation coefficients between response of bacterial alpha diversity and climate factors, soil properties, and fertilizer regimes. Dataset1: The original data of meta-analysis.
Author Contributions
Conceptualization, software, validation, funding acquisition, writing—original draft: X.S.; data collection, data analysis, writing—original draft: W.L. and H.H.; writing—review and editing: Q.Y., S.Z., Y.L., Z.Y., H.C., D.L., L.D. and J.S.; supervision, project administration, writing—review and editing: Z.P. All authors have read and agreed to the published version of the manuscript.
Funding
This research was Funded by the Sichuan Science and Technology Program (2020JDRC0074).
Data Availability Statement
Original data may be provided upon request.
Acknowledgments
We are grateful to the scientists whose data and work were included in our meta-analysis.
Conflicts of Interest
The authors declare no conflict of interest.
References
- Bai, Z.; Caspari, T.; Gonzalez, M.R.; Batjes, N.H.; Mäder, P.; Bünemann, E.K.; de Goede, R.; Brussaard, L.; Xu, M.; Ferreira, C.S.S.; et al. Effects of Agricultural Management Practices on Soil Quality: A Review of Long-Term Experiments for Europe and China. Agric. Ecosyst. Environ. 2018, 265, 1–7. [Google Scholar] [CrossRef]
- Kehoe, L.; Romero-Muñoz, A.; Polaina, E.; Estes, L.; Kreft, H.; Kuemmerle, T. Biodiversity at Risk under Future Cropland Expansion and Intensification. Nat. Ecol. Evol. 2017, 1, 1129–1135. [Google Scholar] [CrossRef]
- Wang, C.; Liu, D.; Bai, E. Decreasing Soil Microbial Diversity Is Associated with Decreasing Microbial Biomass under Nitrogen Addition. Soil Biol. Biochem. 2018, 120, 126–133. [Google Scholar] [CrossRef]
- Yu, Y.; Wu, M.; Petropoulos, E.; Zhang, J.; Nie, J.; Liao, Y.; Li, Z.; Lin, X.; Feng, Y. Responses of Paddy Soil Bacterial Community Assembly to Different Long-Term Fertilizations in Southeast China. Sci. Total Environ. 2019, 656, 625–633. [Google Scholar] [CrossRef]
- Jiang, G.; Zhang, W.; Xu, M.; Kuzyakov, Y.; Zhang, X.; Wang, J.; Di, J.; Murphy, D.V. Manure and Mineral Fertilizer Effects on Crop Yield and Soil Carbon Sequestration: A Meta-Analysis and Modeling across China. Glob. Biogeochem. Cycles 2018, 32, 1659–1672. [Google Scholar] [CrossRef]
- Luo, G.; Li, L.; Friman, V.-P.; Guo, J.; Guo, S.; Shen, Q.; Ling, N. Organic Amendments Increase Crop Yields by Improving Microbe-Mediated Soil Functioning of Agroecosystems: A Meta-Analysis. Soil Biol. Biochem. 2018, 124, 105–115. [Google Scholar] [CrossRef]
- Xia, L.; Lam, S.K.; Wolf, B.; Kiese, R.; Chen, D.; Butterbach-Bahl, K. Trade-Offs between Soil Carbon Sequestration and Reactive Nitrogen Losses under Straw Return in Global Agroecosystems. Glob. Chang. Biol. 2018, 24, 5919–5932. [Google Scholar] [CrossRef]
- Bardgett, R.D.; van der Putten, W.H. Belowground Biodiversity and Ecosystem Functioning. Nature 2014, 515, 505–511. [Google Scholar] [CrossRef]
- Larsbrink, J.; McKee, L.S. Bacteroidetes Bacteria in the Soil: Glycan Acquisition, Enzyme Secretion, and Gliding Motility. Adv. Appl. Microbiol. 2020, 110, 63–98. [Google Scholar] [CrossRef]
- Crowther, T.W.; van den Hoogen, J.; Wan, J.; Mayes, M.A.; Keiser, A.D.; Mo, L.; Averill, C.; Maynard, D.S. The Global Soil Community and Its Influence on Biogeochemistry. Science 2019, 365, eaav0550. [Google Scholar] [CrossRef]
- Delgado-Baquerizo, M.; Oliverio, A.M.; Brewer, T.E.; Benavent-González, A.; Eldridge, D.J.; Bardgett, R.D.; Maestre, F.T.; Singh, B.K.; Fierer, N. A Global Atlas of the Dominant Bacteria Found in Soil. Science 2018, 359, 320–325. [Google Scholar] [CrossRef]
- Delgado-Baquerizo, M.; Trivedi, P.; Trivedi, C.; Eldridge, D.J.; Reich, P.B.; Jeffries, T.C.; Singh, B.K. Microbial Richness and Composition Independently Drive Soil Multifunctionality. Funct. Ecol. 2017, 31, 2330–2343. [Google Scholar] [CrossRef]
- Hermans, S.M.; Buckley, H.L.; Case, B.S.; Curran-Cournane, F.; Taylor, M.; Lear, G. Bacteria as Emerging Indicators of Soil Condition. Appl. Environ. Microbiol. 2017, 83, e02826-16. [Google Scholar] [CrossRef]
- Dai, Z.; Su, W.; Chen, H.; Barberán, A.; Zhao, H.; Yu, M.; Yu, L.; Brookes, P.C.; Schadt, C.W.; Chang, S.X.; et al. Long-Term Nitrogen Fertilization Decreases Bacterial Diversity and Favors the Growth of Actinobacteria and Proteobacteria in Agro-Ecosystems across the Globe. Glob. Change Biol. 2018, 24, 3452–3461. [Google Scholar] [CrossRef]
- Kim, N.; Zabaloy, M.C.; Guan, K.; Villamil, M.B. Do Cover Crops Benefit Soil Microbiome? A Meta-Analysis of Current Research. Soil Biol. Biochem. 2020, 142, 107701. [Google Scholar] [CrossRef]
- Zhou, Z.; Wang, C.; Luo, Y. Meta-Analysis of the Impacts of Global Change Factors on Soil Microbial Diversity and Functionality. Nat. Commun. 2020, 11, 3072. [Google Scholar] [CrossRef]
- Li, Y.; Song, D.; Liang, S.; Dang, P.; Qin, X.; Liao, Y.; Siddique, K.H.M. Effect of No-Tillage on Soil Bacterial and Fungal Community Diversity: A Meta-Analysis. Soil Till. Res. 2020, 204, 104721. [Google Scholar] [CrossRef]
- Chen, J.; Guo, Q.; Liu, D.; Hu, C.; Sun, J.; Wang, X.; Liang, G.; Zhou, W. Composition, Predicted Functions, and Co-Occurrence Networks of Fungal and Bacterial Communities_Links to Soil Organic Carbon under Long-Term Fertilization in a Rice-Wheat Cropping System. Eur. J. Soil Biol. 2020, 100, 103226. [Google Scholar] [CrossRef]
- Soman, C.; Li, D.; Wander, M.M.; Kent, A.D. Long-Term Fertilizer and Crop-Rotation Treatments Differentially Affect Soil Bacterial Community Structure. Plant Soil 2017, 413, 145–159. [Google Scholar] [CrossRef]
- Liu, J.; Liu, M.; Wu, M.; Jiang, C.; Chen, X.; Cai, Z.; Wang, B.; Zhang, J.; Zhang, T.; Li, Z. Soil pH Rather than Nutrients Drive Changes in Microbial Community Following Long-Term Fertilization in Acidic Ultisols of Southern China. J. Soils Sediments 2018, 18, 1853–1864. [Google Scholar] [CrossRef]
- Wang, J.; Zhang, G.; Yu, C. A Meta-Analysis of the Effects of Organic and Inorganic Fertilizers on the Soil Microbial Community. J. Resour. Ecol. 2020, 11, 298. [Google Scholar] [CrossRef]
- Ye, G.; Lin, Y.; Luo, J.; Di, H.J.; Lindsey, S.; Liu, D.; Fan, J.; Ding, W. Responses of Soil Fungal Diversity and Community Composition to Long-Term Fertilization: Field Experiment in an Acidic Ultisol and Literature Synthesis. Appl. Soil Ecol. 2020, 145, 103305. [Google Scholar] [CrossRef]
- Kamaa, M.; Mburu, H.; Blanchart, E.; Chibole, L.; Chotte, J.-L.; Kibunja, C.; Lesueur, D. Effects of Organic and Inorganic Fertilization on Soil Bacterial and Fungal Microbial Diversity in the Kabete Long-Term Trial, Kenya. Biol. Fertil. Soils 2011, 47, 315–321. [Google Scholar] [CrossRef]
- Xun, W.; Zhao, J.; Xue, C.; Zhang, G.; Ran, W.; Wang, B.; Shen, Q.; Zhang, R. Significant Alteration of Soil Bacterial Communities and Organic Carbon Decomposition by Different Long-Term Fertilization Management Conditions of Extremely Low-Productivity Arable Soil in South China: Bacterial Structure and Functionality Alteration. Environ. Microbiol. 2016, 18, 1907–1917. [Google Scholar] [CrossRef] [PubMed]
- Yuan, H.; Ge, T.; Zhou, P.; Liu, S.; Roberts, P.; Zhu, H.; Zou, Z.; Tong, C.; Wu, J. Soil Microbial Biomass and Bacterial and Fungal Community Structures Responses to Long-Term Fertilization in Paddy Soils. J. Soils Sediment 2013, 13, 877–886. [Google Scholar] [CrossRef]
- Ye, G.; Lin, Y.; Liu, D.; Chen, Z.; Luo, J.; Bolan, N.; Fan, J.; Ding, W. Long-Term Application of Manure over Plant Residues Mitigates Acidification, Builds Soil Organic Carbon and Shifts Prokaryotic Diversity in Acidic Ultisols. Appl. Soil Ecol. 2019, 133, 24–33. [Google Scholar] [CrossRef]
- Ge, Y.; Zhang, J.; Zhang, L.; Yang, M.; He, J. Long-Term Fertilization Regimes Affect Bacterial Community Structure and Diversity of an Agricultural Soil in Northern China. J. Soils Sediment 2008, 8, 43–50. [Google Scholar] [CrossRef]
- Wang, Y.; Ji, H.; Gao, C. Differential Responses of Soil Bacterial Taxa to Long-Term P, N, and Organic Manure Application. J. Soils Sediment 2016, 16, 1046–1058. [Google Scholar] [CrossRef]
- Yang, Y.; Wang, P.; Zeng, Z. Dynamics of Bacterial Communities in a 30-Year Fertilized Paddy Field under Different Organic–Inorganic Fertilization Strategies. Agronomy 2019, 9, 14. [Google Scholar] [CrossRef]
- Tilman, D.; Isbell, F.; Cowles, J.M. Biodiversity and Ecosystem Functioning. Annu. Rev. Ecol. Evol. Syst. 2014, 45, 471–493. [Google Scholar] [CrossRef]
- Saleem, M.; Hu, J.; Jousset, A. More Than the Sum of Its Parts: Microbiome Biodiversity as a Driver of Plant Growth and Soil Health. Annu. Rev. Ecol. Evol. Syst. 2019, 50, 145–168. [Google Scholar] [CrossRef]
- Pan, H.; Chen, M.; Feng, H.; Wei, M.; Song, F.; Lou, Y.; Cui, X.; Wang, H.; Zhuge, Y. Organic and Inorganic Fertilizers Respectively Drive Bacterial and Fungal Community Compositions in a Fluvo-Aquic Soil in Northern China. Soil Till. Res. 2020, 198, 104540. [Google Scholar] [CrossRef]
- Yu, Z.; Liu, J.; Li, Y.; Jin, J.; Liu, X.; Wang, G. Impact of Land Use, Fertilization and Seasonal Variation on the Abundance and Diversity of nirS-Type Denitrifying Bacterial Communities in a Mollisol in Northeast China. Eur. J. Soil Biol. 2018, 85, 4–11. [Google Scholar] [CrossRef]
- Liu, W.; Jiang, L.; Yang, S.; Wang, Z.; Tian, R.; Peng, Z.; Chen, Y.; Zhang, X.; Kuang, J.; Ling, N.; et al. Critical Transition of Soil Bacterial Diversity and Composition Triggered by Nitrogen Enrichment. Ecology 2020, 101, e03053. [Google Scholar] [CrossRef] [PubMed]
- Ratzke, C.; Barrere, J.; Gore, J. Strength of Species Interactions Determines Biodiversity and Stability in Microbial Communities. Nat. Ecol. Evol. 2020, 4, 376–383. [Google Scholar] [CrossRef] [PubMed]
- Karimi, B.; Terrat, S.; Dequiedt, S.; Saby, N.P.A.; Horrigue, W.; Lelièvre, M.; Nowak, V.; Jolivet, C.; Arrouays, D.; Wincker, P.; et al. Biogeography of Soil Bacteria and Archaea across France. Sci. Adv. 2018, 4, eaat1808. [Google Scholar] [CrossRef]
- Tripathi, B.M.; Stegen, J.C.; Kim, M.; Dong, K.; Adams, J.M.; Lee, Y.K. Soil pH Mediates the Balance between Stochastic and Deterministic Assembly of Bacteria. ISME J. 2018, 12, 1072–1083. [Google Scholar] [CrossRef]
- Sun, R.; Zhang, X.-X.; Guo, X.; Wang, D.; Chu, H. Bacterial Diversity in Soils Subjected to Long-Term Chemical Fertilization Can Be More Stably Maintained with the Addition of Livestock Manure than Wheat Straw. Soil Biol. Biochem. 2015, 88, 9–18. [Google Scholar] [CrossRef]
- Bao, Y.; Feng, Y.; Stegen, J.C.; Wu, M.; Chen, R.; Liu, W.; Zhang, J.; Li, Z.; Lin, X. Straw Chemistry Links the Assembly of Bacterial Communities to Decomposition in Paddy Soils. Soil Biol. Biochem. 2020, 148, 107866. [Google Scholar] [CrossRef]
- Bell, T.; Newman, J.A.; Silverman, B.W.; Turner, S.L.; Lilley, A.K. The Contribution of Species Richness and Composition to Bacterial Services. Nature 2005, 436, 1157–1160. [Google Scholar] [CrossRef]
- Fierer, N. Embracing the Unknown: Disentangling the Complexities of the Soil Microbiome. Nat. Rev. Microbiol. 2017, 15, 579–590. [Google Scholar] [CrossRef] [PubMed]
- Ho, A.; Lonardo, D.P.D.; Bodelier, P.L.E. Revisiting Life Strategy Concepts in Environmental Microbial Ecology. FEMS Microbiol. Ecol. 2017, 93, fix006. [Google Scholar] [CrossRef] [PubMed]
- Liu, H.; Huang, X.; Tan, W.; Di, H.; Xu, J.; Li, Y. High Manure Load Reduces Bacterial Diversity and Network Complexity in a Paddy Soil under Crop Rotations. Soil Ecol. Lett. 2020, 2, 104–119. [Google Scholar] [CrossRef]
- Jones, R.T.; Robeson, M.S.; Lauber, C.L.; Hamady, M.; Knight, R.; Fierer, N. A Comprehensive Survey of Soil Acidobacterial Diversity Using Pyrosequencing and Clone Library Analyses. ISME J. 2009, 3, 442–453. [Google Scholar] [CrossRef] [PubMed]
- Samaddar, S.; Chatterjee, P.; Truu, J.; Anandham, R.; Kim, S.; Sa, T. Long-Term Phosphorus Limitation Changes the Bacterial Community Structure and Functioning in Paddy Soils. Appl. Soil Ecol. 2019, 134, 111–115. [Google Scholar] [CrossRef]
- Tan, H.; Barret, M.; Mooij, M.J.; Rice, O.; Morrissey, J.P.; Dobson, A.; Griffiths, B.; O’Gara, F. Long-Term Phosphorus Fertilisation Increased the Diversity of the Total Bacterial Community and the phoD Phosphorus Mineraliser Group in Pasture Soils. Biol. Fertil. Soils 2013, 49, 661–672. [Google Scholar] [CrossRef]
- Spohn, M.; Pötsch, E.M.; Eichorst, S.A.; Woebken, D.; Wanek, W.; Richter, A. Soil Microbial Carbon Use Efficiency and Biomass Turnover in a Long-Term Fertilization Experiment in a Temperate Grassland. Soil Biol. Biochem. 2016, 97, 168–175. [Google Scholar] [CrossRef]
- Shu, X.; He, J.; Zhou, Z.; Xia, L.; Hu, Y.; Zhang, Y.; Zhang, Y.; Luo, Y.; Chu, H.; Liu, W.; et al. Organic Amendments Enhance Soil Microbial Diversity, Microbial Functionality and Crop Yields: A Meta-Analysis. Sci. Total Environ. 2022, 829, 154627. [Google Scholar] [CrossRef]
- Biederman, L.A.; Harpole, W.S. Biochar and Its Effects on Plant Productivity and Nutrient Cycling: A Meta-Analysis. GCB Bioenergy 2013, 5, 202–214. [Google Scholar] [CrossRef]
- Geisseler, D.; Linquist, B.A.; Lazicki, P.A. Effect of Fertilization on Soil Microorganisms in Paddy Rice Systems–A Meta-Analysis. Soil Biol. Biochem. 2017, 115, 452–460. [Google Scholar] [CrossRef]
Disclaimer/Publisher’s Note: The statements, opinions and data contained in all publications are solely those of the individual author(s) and contributor(s) and not of MDPI and/or the editor(s). MDPI and/or the editor(s) disclaim responsibility for any injury to people or property resulting from any ideas, methods, instructions or products referred to in the content. |
© 2023 by the authors. Licensee MDPI, Basel, Switzerland. This article is an open access article distributed under the terms and conditions of the Creative Commons Attribution (CC BY) license (https://creativecommons.org/licenses/by/4.0/).






