Antioxidant and Antitumor Potential of Micropropagated Balkan Endemic Sideritis scardica Griseb
Abstract
:1. Introduction
2. Results
2.1. In Vitro Culture
2.1.1. Shoot Induction and Multiplication
2.1.2. In Vitro Rooting and Acclimatization
2.2. Content of Total Polyphenols, Total Flavonoids and Antioxidant Activity
2.3. Antitumor Activity
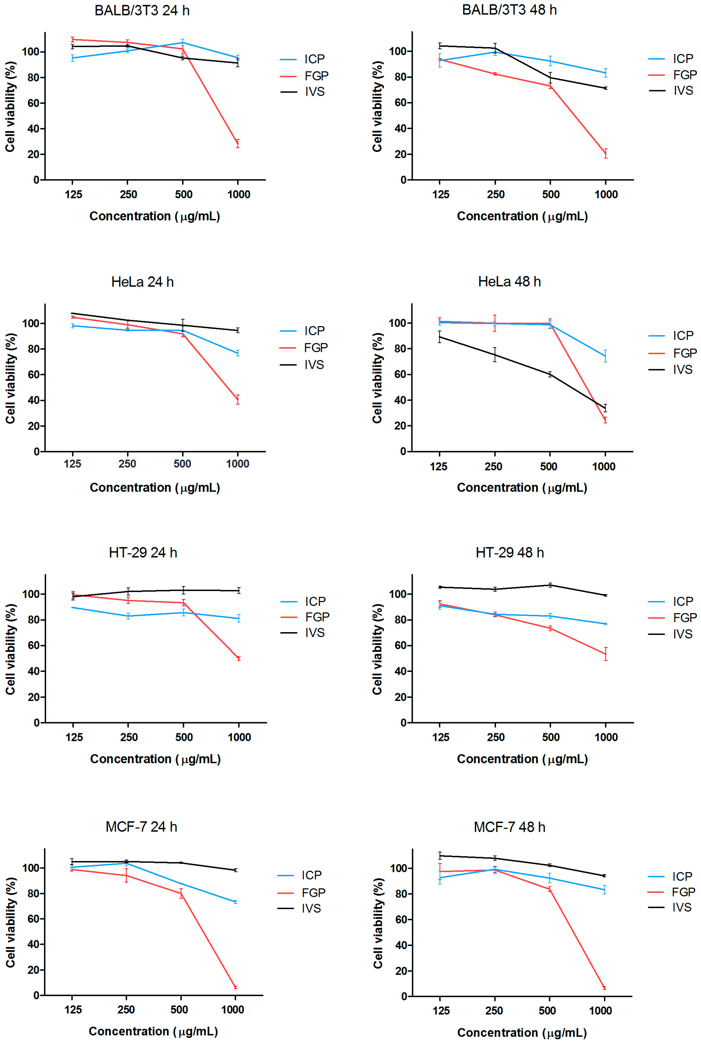
2.3.1. Cell Viability Assay
2.3.2. Cytomorphological Analysis
3. Discussion
4. Materials and Methods
4.1. In Vitro Culture
4.1.1. Initial Plant Material
4.1.2. Sterilization of Plant Material
4.1.3. Media Composition for In Vitro Micropropagation
4.1.4. In Vitro Rooting and Acclimatization of Obtained Plants
4.1.5. Conditions for In Vitro Cultures
4.2. Phytochemical Analysis
4.2.1. Extraction of Polyphenols and Flavonoids
4.2.2. Preparation of Freeze-Dried Extracts
4.2.3. Determination of Polyphenol Content
4.2.4. Determination of Flavonoid Content
4.2.5. Antioxidant Activity Assays
4.3. Antitumor Activity
4.3.1. Cell Lines
4.3.2. MTT Dye Reduction Test
4.3.3. Cytomorphological Analysis
4.4. Statistical Analysis
5. Conclusions
Supplementary Materials
Author Contributions
Funding
Informed Consent Statement
Data Availability Statement
Conflicts of Interest
References
- Radomir, A.-M.; Stan, R.; Florea, A.; Ciobotea, C.-M.; Bănuță, F.M.; Negru, M.; Neblea, M.A.; Sumedrea, D.I. Overview of the Success of In Vitro Culture for Ex Situ Conservation and Sustainable Utilization of Endemic and Subendemic Native Plants of Romania. Sustainability 2023, 15, 2581. [Google Scholar] [CrossRef]
- Chokheli, V.A.; Dmitriev, P.A.; Rajput, V.D.; Bakulin, S.D.; Azarov, A.S.; Varduni, T.V.; Stepanenko, V.V.; Tarigholizadeh, S.; Singh, R.K.; Verma, K.K.; et al. Recent Development in Micropropagation Techniques for Rare Plant Species. Plants 2020, 9, 1733. [Google Scholar] [CrossRef]
- Guerra, F.; Badilla, L.; Cautin, R.; Castro, M. Micropropagation of Citronella mucronata D. Don, a vulnerable Chilean endemic tree species. Plants 2022, 11, 2425. [Google Scholar] [CrossRef]
- García-Pérez, E.; Gutiérrez-Uribe, J.A.; García-Lara, S. Luteolin content and antioxidant activity in micropropagated plants of Poliomintha glabrescens (Gray). Plant Cell Tissue Organ Cult. 2012, 108, 521–527. [Google Scholar] [CrossRef]
- Grigoriadou, K.; Krigas, N.; Sarropoulou, V.; Papanastasi, K.; Tsoktouridis, G.; Maloupa, E. In vitro propagation of medicinal and aromatic plants: The case of selected Greek species with conservation priority. Vitr. Cell. Dev. Biol.-Plant 2019, 55, 635–646. [Google Scholar] [CrossRef]
- Bertsouklis, K.; Theodorou, P.; Aretaki, P.E. In vitro propagation of the Mount Parnitha endangered species Sideritis raeseri subsp. Attica. Horticulturae 2022, 8, 1114. [Google Scholar] [CrossRef]
- Todorova, M.; Trendafolova, A. Sideritis scardica Griseb., an endemic species of Balkan peninsula: Traditional uses, cultivation, chemical composition, biological activity. J. Ethnopharmacol. 2014, 152, 256–265. [Google Scholar] [CrossRef]
- Lakka, A.; Bozinou, E.; Makris, D.; Lalas, S. Evaluation of pulsed electric field polyphenol extraction from Vitis vinifera, Sideritis scardica and Crocus sativus. Chemengineering 2021, 5, 25. [Google Scholar] [CrossRef]
- Dina, E.; Vontzalidou, A.; Cheilari, A.; Bagatzounis, P.; Agapidou, E.; Giannenas, I.; Grigoriadou, K.; Aligiannis, N. Sustainable Use of Greek Herbs By-Products, as an Alternative Source of Biologically Active Ingredients for Innovative Products. Front. Nutr. 2022, 9, 867666. [Google Scholar] [CrossRef]
- González-Burgos, E.; Carretero, M.E.; Gomez-Serranillos, M.P. Sideritis spp.: Uses, chemical composition and pharmacological activities—A review. J. Ethnopharmacol. 2011, 135, 209–225. [Google Scholar] [CrossRef]
- Tunalier, Z.; Kosar, M.; Ozturk, N.; Baser, K.H.C.; Duman, H.; Kirimer, N. Antioxidant Properties and Phenolic Composition of Sideritis Species. Chem. Nat. Compd. 2004, 40, 206–210. [Google Scholar] [CrossRef]
- Stagos, D.; Portesis, N.; Spanou, C.; Mossialos, D.; Aligiannis, N.; Chaita, E.; Panagoulis, C.; Reri, E.; Skaltsounis, L.; Tsatsakis, A.M.; et al. Correlation of total polyphenolic content with antioxidant and antibacterial activity of 24 extracts from Greek domestic Lamiaceae species. Food Chem. Toxicol. 2012, 50, 4115–4124. [Google Scholar] [CrossRef] [PubMed]
- Danesi, F.; Saha, S.; Kroon, P.A.; Glibetić, M.; Konić-Ristić, A.; D’Antuono, L.F.; Bordoni, A. Bioactive-rich Sideritis scardica tea (mountain tea) is as potent as Camellia sinensis tea at inducing cellular antioxidant defences and preventing oxidative stress. J. Sci. Food Agric. 2013, 93, 3558–3564. [Google Scholar] [CrossRef] [PubMed]
- Karapandzova, M.; Qazimi, B.; Stefkov, G.; Bačeva, K.; Stafilov, T.; Panovska, T.K.; Kulevanova, S. Chemical characterization, mineral content and radical scavenging activity of Sideritis scardica and S. raeseri from R. Macedonia and R. Albania. NPC 2013, 8, 639–644. [Google Scholar] [CrossRef]
- Oalđe, M.; Kolarević, S.; Živković, J.; Aradski, A.A.; Marić, J.J.; Kolarević, M.K.; Đorđević, J.; Marin, P.D.; Šavikin, K.; Vuković-Gačić, B.; et al. A comprehensive assessment of the chemical composition, antioxidant, genoprotective and antigenotoxic activities of Lamiaceae species using different experimental models in vitro. Food Funct. 2021, 12, 3233–3245. [Google Scholar] [CrossRef]
- Tadić, V.M.; Djordjević, S.; Arsić, I.; Dobrić, S.; Milenković, M.; Antić-Stanković, J. Anti-inflammatory and antimicrobial activity of Sideritis scardica extracts. Planta Med. 2007, 73, P_098. [Google Scholar] [CrossRef]
- Tadić, V.; Bojović, D.; Arsić, I.; Đorđević, S.; Aksentijevic, K.; Stamenić, M.; Janković, S. Chemical and antimicrobial evaluation of supercritical and conventional Sideritis scardica Griseb., Lamiaceae extracts. Molecules 2012, 17, 2683–2703. [Google Scholar] [CrossRef]
- Köse, E.O.; Deniz, I.G.; Sarıkürkçü, C.; Aktaş, Ö.; Yavuz, M. Chemical composition, antimicrobial and antioxidant activities of the essential oils of Sideritis erythrantha Boiss. and Heldr. (var. erythrantha and var. cedretorum P.H. Davis) endemic in Turkey. Food Chem. Toxicol. 2010, 48, 2960–2965. [Google Scholar] [CrossRef]
- Tadić, V.M.; Jeremic, I.; Dobric, S.; Isakovic, A.; Markovic, I.; Trajkovic, V.; Bojovic, D.; Arsic, I. Anti-inflammatory, gastroprotective, and cytotoxic effects of Sideritis scardica extracts. Planta Med. 2012, 78, 415–427. [Google Scholar] [CrossRef] [PubMed]
- Hofrichter, J.; Krohn, M.; Schumacher, T.; Lange, C.; Feistel, B.; Walbroel, B.; Pahnke, J. Sideritis spp. extracts enhance memory and learning in Alzheimer's β-amyloidosis mouse models and aged C57Bl/6 mice. J. Alzheimer's Dis. 2016, 53, 967–980. [Google Scholar] [CrossRef]
- Deveciï, E.; Tel-Çayan, G.; Yildirim, H.; Duru, M.E. Chemical composition, antioxidant, anticholinesterase and anti-urease activities of Sideritis pisidica Boiss. Heldr. endemic to Turkey. Marmara Pharm. J. 2017, 21, 898–905. [Google Scholar] [CrossRef]
- Chalatsa, I.; Arvanitis, D.A.; Mikropoulou, E.V.; Giagini, A.; Papadopoulou-Daifoti, Z.; Aligiannis, N.; Halabalaki, M.; Tsarbopoulos, A.; Skaltsounis, L.A.; Sanoudou, D. Beneficial Effects of Sideritis scardica and Cichorium spinosum against Amyloidogenic Pathway and Tau Misprocessing in Alzheimer’s Disease Neuronal Cell Culture Models. J. Alzheimer's Dis. 2018, 64, 787–800. [Google Scholar] [CrossRef]
- Jeremic, I.; Tadic, V.; Isakovic, A.; Trajkovic, V.; Markovic, I.; Redzic, Z.; Isakovic, A. The Mechanisms of In Vitro Cytotoxicity of Mountain Tea, Sideritis scardica, against the C6 Glioma Cell Line. Planta Med. 2013, 79, 1516–1524. [Google Scholar] [CrossRef] [PubMed]
- Şimşek, E.; Uysal, T. The effects of the Sideritis ozturkii extract on the expression levels of some apoptotic genes. Curr. Perspect. Med. Aromat. Plants 2018, 1, 8–12. [Google Scholar]
- Demirelma, H.; Gelinci, E. Determination of the cytotoxic effect of human colon cancer and phenolic substance of the endemic species Sideritis ozturkii Aytac&Aksoy. Appl. Ecol. Environ. Res. 2019, 17, 7407–7419. [Google Scholar]
- Tomou, E.M.; Chatziathanasiadou, M.V.; Chatzopoulou, P.; Tzakos, A.G.; Skaltsa, H. NMR-based chemical profiling, isolation and evaluation of the cytotoxic potential of the diterpenoid siderol from cultivated Sideritis euboea Heldr. Molecules 2020, 25, 2382. [Google Scholar] [CrossRef]
- Żyżelewicz, D.; Kulbat-Warycha, K.; Oracz, J.; Żyżelewicz, K. Polyphenols and Other Bioactive Compounds of Sideritis Plants and Their Potential Biological Activity. Molecules 2020, 25, 3763. [Google Scholar] [CrossRef]
- Dobrikova, A.; Gospodinova, Z.; Stefanov, M.; Apostolova, E.; Krasteva, N. Phytochemical analysis and assessment of the antioxidant activity and cytotoxicity potential of hydroethanolic extract of Bulgarian Sideritis scardica. J. Chem. Technol. Metall. 2023, 58, 93–100. [Google Scholar]
- Giannakopoulou, M.; Dimitriadis, K.; Koromili, M.; Zoi, V.; Vartholomatos, E.; Galani, V.; Kyritsis, A.P.; Alexiou, G.A.; Lazari, D. Siderol Inhibits Proliferation of Glioblastoma Cells and Acts Synergistically with Temozolomide. Biomedicines 2022, 10, 3216. [Google Scholar] [CrossRef]
- Danova, K.; Markovska, Y.; Aneva, I. Physiological factors affecting polyphenolics production of in vitro cultivated Balkan endemic Sideritis scardica. Bulg. Chem. Com. 2019, 51, 113–118. [Google Scholar]
- Shtereva, L.A.; Vassilevska-Ivanova, R.D.; Kraptchev, B.V. In vitro cultures for micropropagation, mass multiplication and preservation of an endangered medicinal plant Sideritis scardica Griseb. Bot. Serbica 2015, 39, 111–120. [Google Scholar]
- Danova, K.; Stanoeva, J.P.; Aneva, I.; Alipieva, K.; Stefova, M. Plant Growth Regulators and Activated Charcoal Selectively Affect Phenylethanoid and Flavone Glycoside Accumulation in Sideritis scardica Griseb. Tissue Culture. Plants 2023, 12, 2541. [Google Scholar] [CrossRef]
- Sánchez-Gras, M.; Segura, J. In Vitro Propagation of Sideritis angustifolia Lag. J. Plant Physiol. 1987, 130, 93–99. [Google Scholar] [CrossRef]
- Sánchez-Gras, M.; Segura, J. Regeneration of Sideritis angustifolia (Labiatae) Plants from Single Cell Cultures. J. Plant Physiol. 1988, 133, 116–118. [Google Scholar] [CrossRef]
- Sanchez-Gras, M.C.; Segura, J. Micropropagation of Sideritis Species. In Biotechnology in Agriculture and Forestry, 1st ed.; Bajaj, Y.P.S., Ed.; Springer: Berlin/Heidelberg, Germany, 1997; Volume 40, pp. 343–359. [Google Scholar]
- Garcia-Granados, A.; Martinez, A.; Onorato, M.; Parra, A.; Recondo, M.; Rivas, F.; Arrebola, M.; Socorro, O. Products with biological activity obtained from in vitro micropropagated Sideritis foetens. Phytochemistry 1994, 35, 645–650. [Google Scholar] [CrossRef]
- Erdağ, B.B.; Yürekli, A.K. Callus induction and shoot regeneration of Sideritis sipylea Boiss. (Lamiaceae). Bull. Pure Appl. Sci. B 2000, 19, 41–46. [Google Scholar]
- Çördük, N.; Aki, C. Inhibition of browning problem during micropropagation of Sideritis trojana bornm., an endemic medicinal herb of Turkey. Rom. Biot. Lett. 2011, 16, 6760–6765. [Google Scholar]
- Evstatieva, L.; Bakalova, K.; Protich, N. Ecological and biological peculiarities of Sideritis scardica Griseb. Plant Sci. 1990, 27, 77–80. (In Bulgarian) [Google Scholar]
- Amiri, S.; Mohammadi, R. Establishment of an efficient in vitro propagation protocol for Sumac (Rhus coriaria L.) and confirmation of the genetic homogeneity. Sci. Rep. 2021, 11, 173. [Google Scholar] [CrossRef]
- Evstatieva, L.; Popova, I. Factors, affecting germination and seedling development of Sideritis scardica Griseb. and S. syriaca L. In Proceedings of the an International Jubilee Conference Marking the 70th Anniversary of the Forest Research Institute, Sofia, Bulgaria, 6–7 October 1998; pp. 371–376. [Google Scholar]
- Estrelles, E.; Güemes, J.; Riera, J.; Boscaiu, M.; Ibars, A.M.; Costa, M. Seed germination behaviour in Sideritis from different Iberian habitats. Not. Bot. Horti Agrobot. Cluj-Napoca 2010, 38, 9–13. [Google Scholar]
- Yankova-Tsetkova, E.; Yurukova-Grancharova, P.; Vitkova, A. Reproductive biology of the Balkan endemic Sideritis scardica (Lamiaceae). Bot. Serbica 2013, 37, 83–87. [Google Scholar]
- El-Ashry, A.A.E.-L.; Gabr, A.M.M.; Bekheet, S.A.E.-H. Zeatin and Thidiazuron Induced Embryogenic Calli From In Vitro Leaf and Stem of Jojoba (Simmondsia chinensis). Pak. J. Biol. Sci. 2017, 20, 355–364. [Google Scholar] [CrossRef] [PubMed]
- Papafotiou, M.; Kalantzis, A. Seed Germination and in Vitro Propagation of Sideritis Athoa. Acta Hortic. 2009, 813, 471–476. [Google Scholar] [CrossRef]
- Chishimba, W.K.; Lingumbwanga, E.; Tembo, L.M.; Hang’andu, A.K. Effect of cytokinins on in vitro propagation of Uapaca kirkiana. J. Trop. For. Sci. 2000, 12, 28–36. [Google Scholar]
- Najhah, M.Y.; Jaafar, H.Z.E.; Nakasha, J.J.; Hakiman, M. Shoot multiplication and callus induction of Labisia pumila var. alata as influenced by different plant growth regulators treatments and its polyphenolic activities compared with the wild plant. Molecules 2021, 26, 3229. [Google Scholar] [CrossRef]
- Shiwani, K.; Sharma, D.; Kumar, A. Improvement of Plant Survival and Expediting Acclimatization Process. In Commercial Scale Tissue Culture for Horticulture and Plantation Crops; Gupta, S., Chaturvedi, P., Eds.; Springer: Singapore, 2022; pp. 277–291. [Google Scholar]
- Dobránszki, J. Application of naturally occurring mechanical forces in in vitro plant tissue culture and biotechnology. Plant Signal. Behav. 2021, 16, 1902656. [Google Scholar] [CrossRef]
- Murthy, H.N.; Lee, E.-J.; Paek, K.-Y. Production of secondary metabolites from cell and organ cultures: Strategies and approaches for biomass improvement and metabolite accumulation. Plant Cell Tissue Organ Cult. 2014, 118, 1–16. [Google Scholar] [CrossRef]
- Romanucci, V.; Di Fabio, G.; D’Alonzo, D.; Guaragna, A.; Scapagnini, G.; Zarrelli, A. Traditional uses, chemical composition and biological activities of Sideritis raeseri Boiss. & Heldr. J. Sci. Food Agric. 2017, 97, 373–383. [Google Scholar]
- Evstatieva, L. Variation in the flavonois and tannins content of Sideritis scardica Griseb. Ann. “St. Kl. Ohridski” Fac. Biol. 2002, 90, 99–105. [Google Scholar]
- Evstatieva, L.; Alipieva, K. Conservation and Sustainable Use of Threatened Medicinal Plant Sideritis Scardica in Bulgaria. Acta Hortic. 2012, 955, 89–92. [Google Scholar] [CrossRef]
- Nikolova, M.; Petrova, M.; Zayova, E.; Vitkova, A.; Evstatieva, L. Comparative study of in vitro, ex vitro and in vivo grown plants of Arnica montana—Polyphenols and free radical scavenging activity. Acta Bot. Croat. 2013, 72, 13–22. [Google Scholar] [CrossRef]
- Alipieva, K.; Petreska, J.; Gil-Izquierdo, Á.; Stefova, M.; Evstatieva, L.; Bankova, V. Influence of the Extraction Method on the Yield of Flavonoids and Phenolics from Sideritis spp. (Pirin Mountain tea). Nat. Prod. Commun. 2010, 5, 51–54. [Google Scholar] [CrossRef] [PubMed]
- Tsibranska, I.; Tylkowski, B.; Kochanov, R.; Alipieva, K. Extraction of biologically active compounds from Sideritis ssp. L. Food Bioprod. Process. 2011, 89, 273–280. [Google Scholar] [CrossRef]
- Yanchev, N.; Petkova, N.; Ivanov, I.; Delev, D. Total Polyphenolic Content and Antioxidant Activity of Different Extracts from Sideritis scardica. Trop. J. Nat. Prod. Res. 2022, 6, 1113–1118. [Google Scholar] [CrossRef]
- Ibraliu, A.; Trendafilova, A.B.; Anđelković, B.; Qazimi, B.; Gođevac, D.; Bebeci, E.; Stefkov, G.; Zdunic, G.; Aneva, I.I.; Pasho, I.; et al. Comparative Study of Balkan Sideritis Species from Albania, Bulgaria and Macedonia. Eur. J. Med. Plants 2015, 5, 328–340. [Google Scholar] [CrossRef]
- Kratchanova, M.; Denev, P.; Ciz, M.; Lojek, A.; Mihailov, A. Evaluation of the antioxidant activity of medicinal plants containing polyphenol compounds. Comparison of two extraction systems. Acta Biochim. Pol. 2010, 57, 229–234. [Google Scholar] [CrossRef] [PubMed]
- Koleva, I.; Linssen, J.P.H.; van Beek, T.A.; Evstatieva, L.N.; Kortenska, V.; Handjieva, N. Antioxidant activity screening of extracts from Sideritis species (Labiatae) grown in Bulgaria. J. Sci. Food Agric. 2003, 83, 809–819. [Google Scholar] [CrossRef]
- Ivanova, D.; Gerova, D.; Chervenkov, T.; Yankova, T. Polyphenols and antioxidant capacity of Bulgarian medicinal plants. J. Ethnopharmacol. 2005, 96, 145–150. [Google Scholar] [CrossRef] [PubMed]
- Vassilevska-Ivanova, R.; Shtereva, L.; Stancheva, I.; Geneva, M.; Hristozkova, M. Determination of the antioxidant capacity of Sideritis scardica specimens collected at different regions in Bulgaria. Comptes Rendus L'academie Bulg. Sci. 2016, 69, 1307–1314. [Google Scholar]
- Neergheen, V.S.; Bahorun, T.; Taylor, E.W.; Jen, L.-S.; Aruoma, O.I. Targeting specific cell signaling transduction pathways by dietary and medicinal phytochemicals in cancer chemoprevention. Toxicology 2010, 278, 229–241. [Google Scholar] [CrossRef]
- Sharma, A.; Kaur, M.; Katnoria, J.K.; Nagpal, A.K.; Sharma, M.K.A. Polyphenols in Food: Cancer Prevention and Apoptosis Induction. Curr. Med. Chem. 2018, 25, 4740–4757. [Google Scholar] [CrossRef] [PubMed]
- Abotaleb, M.; Liskova, A.; Kubatka, P.; Büsselberg, D. Therapeutic Potential of Plant Phenolic Acids in the Treatment of Cancer. Biomolecules 2020, 10, 221. [Google Scholar] [CrossRef]
- Evstatieva, L. A review of the cultivation of endangered medicinal plants in Bulgaria. Annu. Sofia Univ. “Kliment Ohridski” Fac. Biol. 2006, 97, 45–52. [Google Scholar]
- Murashige, T.; Skoog, F. A revised medium for rapid growth and bioassay with tobacco tissue culture. Physiol. Plant 1962, 15, 473–497. [Google Scholar] [CrossRef]
- Singleton, V.L.; Rossi, J.A. Colorimetry of Total Phenolics with Phosphomolybdic-Phosphotungstic Acid Reagents. Am. J. Enol. Vitic. 1965, 16, 144–158. [Google Scholar] [CrossRef]
- Chang, C.-C.; Yang, M.-H.; Wen, H.-M.; Chern, J.-C. Estimation of total flavonoid content in propolis by two complementary colometric methods. J. Food Drug Anal. 2002, 10, 3. [Google Scholar] [CrossRef]
- Ou, B.; Hampsch-Woodill, M.; Prior, R.L. Development and Validation of an Improved Oxygen Radical Absorbance Capacity Assay Using Fluorescein as the Fluorescent Probe. J. Agric. Food Chem. 2001, 49, 4619–4626. [Google Scholar] [CrossRef]
- Ou, B.; Hampsch-Woodill, M.; Flanagan, J.; Deemer, E.K.; Prior, R.L.; Huang, D. Novel Fluorometric Assay for Hydroxyl Radical Prevention Capacity Using Fluorescein as the Probe. J. Agric. Food Chem. 2002, 50, 2772–2777. [Google Scholar] [CrossRef]
- Denev, P.; Ciz, M.; Ambrozova, G.; Lojek, A.; Yanakieva, I.; Kratchanova, M. Solid-phase extraction of berries’ anthocyanins and evaluation of their antioxidative properties. Food Chem. 2010, 123, 1055–1061. [Google Scholar] [CrossRef]
- Mossman, T. Rapid colorimetric assay for cellular growth and survival: Application to proliferation and cytotoxicity assays. J. Immunol. Meth. 1983, 65, 55–63. [Google Scholar] [CrossRef]




| Plant Growth Regulators [mg/L] | New Shoot Formation [%] | Number of Shoot per Explant | Shoot Height [cm] |
|---|---|---|---|
| Z1I0.1 | 100 | 6.0 ± 0.91 c | 2.4 ± 0.92 e |
| Z2I0.1 | 80 | 11.0 ± 1.92 d | 2.0 ± 0.47 d |
| K1I0.1 | 80 | 5.1 ± 1.29 b | 0.8 ± 0.15 bc |
| B1I0.1 | 100 | 6.0 ± 1.33 c | 0.5 ± 0.11 ab |
| K1N0.1 | 60 | 4.1 ± 1.16 a | 1.1 ± 0.39 c |
| T1N0.1 | 80 | 5.0 ± 1.45 b | 0.4 ± 0.14 a |
| B1N0.1 | 100 | 3.6 ± 0.99 a | 2.3 ± 0.85 de |
| LSD | - | 0.83 | 0.33 |
| Nutrient Medium | Root Induction [%] | Number of Roots per Explants | Root Length [cm] |
|---|---|---|---|
| 1/2MS + 0.1GA3 + 0.5 IAA | 15 | 3.0 ± 0.79 a | 1.6 ± 0.52 c |
| 1/2MS + 0.6 IAA | 60 | 4.0 ± 0.97 b | 2.5 ± 0.54 d |
| 1/2MS + 0.8 IAA | 15 | 4.0 ± 0.85 b | 1.8 ± 0.48 c |
| 1/2MS + 1.0 IAA | 15 | 3.0 ± 072 a | 1.3 ± 0.44 b |
| 1/2MS + 1.5 IAA | 50 | 3.0 ± 0.85 a | 0.8 ± 0.23 a |
| LSD | - | 0.53 | 0.28 |
| Sample | Total Polyphenols, mg GAE/100g DW | Total Flavonoids, mg RE/100g DW | ORAC, µmol TE/g DW | HORAC, µmol GAE/g DW |
|---|---|---|---|---|
| ICP | 3563.5 ± 52.8 b | 927.9 ± 23.4 b | 939.9 ± 52.4 b | 268.2 ± 5.3 b |
| FGP | 3929.1 ± 112.2 c | 1024.3 ± 31.1 c | 1211.6 ± 27.3 c | 307.7 ± 4.5 c |
| IVS | 2404.6 ± 30.7 a | 359.1 ± 14.2 a | 821.1 ± 19.6 a | 198.6 ± 5.6 a |
| LSD | 147 | 23 | 72 | 204 |
| IC50 µg/mL | Balb/c 3T3 | HeLa | HT-29 | MCF-7 | ||||
|---|---|---|---|---|---|---|---|---|
| 24 h | 48 h | 24 h | 48 h | 24 h | 48 h | 24 h | 48 h | |
| ICP | >1000 | >1000 | >1000 | >1000 | >1000 | >1000 | 709.1 | 719.2 |
| FGP | 957.1 | 648.3 | 910.7 | 907.5 | >1000 | >1000 | 633.5 | 652.0 |
| IVS | >1000 | >1000 | >1000 | 629.2 | >1000 | >1000 | >1000 | >1000 |
Disclaimer/Publisher’s Note: The statements, opinions and data contained in all publications are solely those of the individual author(s) and contributor(s) and not of MDPI and/or the editor(s). MDPI and/or the editor(s) disclaim responsibility for any injury to people or property resulting from any ideas, methods, instructions or products referred to in the content. |
© 2023 by the authors. Licensee MDPI, Basel, Switzerland. This article is an open access article distributed under the terms and conditions of the Creative Commons Attribution (CC BY) license (https://creativecommons.org/licenses/by/4.0/).
Share and Cite
Tasheva, K.; Georgieva, A.; Denev, P.; Dimitrova, L.; Dimitrova, M.; Misheva, S.; Petkova-Kirova, P.; Lazarova, M.; Petrova, M. Antioxidant and Antitumor Potential of Micropropagated Balkan Endemic Sideritis scardica Griseb. Plants 2023, 12, 3924. https://doi.org/10.3390/plants12233924
Tasheva K, Georgieva A, Denev P, Dimitrova L, Dimitrova M, Misheva S, Petkova-Kirova P, Lazarova M, Petrova M. Antioxidant and Antitumor Potential of Micropropagated Balkan Endemic Sideritis scardica Griseb. Plants. 2023; 12(23):3924. https://doi.org/10.3390/plants12233924
Chicago/Turabian StyleTasheva, Krasimira, Ani Georgieva, Petko Denev, Lyudmila Dimitrova, Margarita Dimitrova, Svetlana Misheva, Polina Petkova-Kirova, Maria Lazarova, and Maria Petrova. 2023. "Antioxidant and Antitumor Potential of Micropropagated Balkan Endemic Sideritis scardica Griseb" Plants 12, no. 23: 3924. https://doi.org/10.3390/plants12233924
APA StyleTasheva, K., Georgieva, A., Denev, P., Dimitrova, L., Dimitrova, M., Misheva, S., Petkova-Kirova, P., Lazarova, M., & Petrova, M. (2023). Antioxidant and Antitumor Potential of Micropropagated Balkan Endemic Sideritis scardica Griseb. Plants, 12(23), 3924. https://doi.org/10.3390/plants12233924

