Abstract
Selenium (Se) deficiency causes various diseases in humans. Se can be obtained from fruits and vegetables. In this study, the fruit tree Cyphomandra betacea was intercropped with three Solanum sect. Solanum (Solanaceae) wild vegetables [diploid (S. photeinocarpum), tetraploid (colchicine-induced S. photeinocarpum), and hexaploid (S. nigrum)], respectively, and Se uptakes of these plants were determined by a pot experiment. Intercropping decreased the biomass, photosynthetic pigment content, and superoxide dismutase activity of C. betacea, but increased the peroxidase (POD) activity, catalase (CAT) activity, and soluble protein content of C. betacea. These indicators’ values of sect. Solanum increased after intercropping. The contents of Se increased in C. betacea and sect. Solanum after intercropping. Intercropped with diploid, tetraploid, and hexaploid increased the shoot Se contents in C. betacea by 13.73%, 17.49%, and 26.50%, respectively, relative to that of C. betacea monoculture. Intercropped with C. betacea increased the shoot Se contents in diploid, tetraploid, and hexaploid by 35.22%, 68.86%, and 74.46%, respectively, compared with their respective monoculture. The biomass and Se content of intercropped sect. Solanum showed linear relationships with the biomass and Se content of their monocultures. The biomass and Se content of intercropped C. betacea also exhibited linear relationships with that of sect. Solanum monocultures. Correlation and grey relational analyses revealed that the CAT activity, POD activity, and soluble protein content were the top three indicators closely associated with the C. betacea shoot Se content. The POD activity, soluble protein content, and translocation factor were the top three indicators closely associated with sect. Solanum shoot Se content. Therefore, intercropping can promote the Se uptake in C. betacea and sect. Solanum wild vegetables.
1. Introduction
Selenium (Se) is an essential trace element in humans. Humans obtain less than 40 μg d−1 of Se from the diet, and Se poisoning occurs after intake of concentration above 400 μg d−1 [1,2]. Se deficiency is associated with various human diseases such as heart disease, cancer, and reproductive disorders. High intake of Se in humans leads to loss of hairs and nails, and damage to the nervous and digestive systems [2]. The human body cannot synthesize Se; so, it is obtained through diet. Plant Se is the primary source of Se in humans [3,4]. Application of Se fertilization is a very common method for improving plant Se contents, but this approach is expensive with high environmental pollution risk [5]. Therefore, exploring effective and eco-friendly methods to improve Se accumulation in crops is imperative.
Intercropping can improve the rate of utilization of environmental resources by crops to some extent. Moreover, intercropping also can modulate the soil environment conditions, ultimately improving crop yield and quality to some extent [4,6]. The intercropping of maize with soybean is a typical representative of rational utilization of various resources for the production of crops [7]. Intercropping maize with legumes improved the absorption of nutrients and increased the yield of the two crops [8]. The heavy metal hyperaccumulator Thlaspi caerulescens intercropped with the non-hyperaccumulator Thlaspi arvense under heavy metal contaminated condition promoted the growth of the two plants, increased zinc (Zn) accumulation in T. caerulescens, and decreased Zn uptake in T. arvense [9]. Intercropping cadmium (Cd)-hyperaccumulator Solanum photeinocarpum or its post-grafting generations with loquat seedlings promoted the Cd accumulation and growth of the two plants [10]. In addition, intercropping of the Cd-hyperaccumulator Galinsoga parviflora with the Cd-accumulator plants Capsella bursa-pastoris, Cardamine hirsuta, and Galium aparine exhibited different effects on the Cd accumulation and growth of these plants, including promotion, inhibition, or no effects [11]. Three varieties (red, green, and black) of eggplant seedlings intercropped under Se-rich soil conditions showed increased Se accumulation and growth rate. Moreover, the three varieties exhibited increased photosynthetic pigment contents, antioxidant enzyme activities, and soluble protein contents [12]. The intercropping of three radish genotypes had various effects on their growth, physiology, and Se accumulation. Some intercropping combinations of radish promoted growth and Se accumulation of radish and improved their resistances to Se stress, whereas other intercropping combinations showed the opposite effects [13]. The intercropping of three genotypes of cherry tomato had various effects on the yield and quality of fruits, but all combinations showed increased Se contents in various organs [14]. These findings indicate that different intercropping combinations of crops may produce varying effects on their growth and Se accumulation, implying that appropriate intercropping combinations can promote Se accumulation in crops. Studies should explore suitable intercropping combinations to improve Se accumulation in crops.
Cyphomandra betacea is a self-pollinated perennial evergreen fruit tree with high edible and ornamental values, and there are only local varieties in China [15,16]. The Se accumulation capacity of C. betacea is lower than that of other Se-rich vegetables and fruits [17]. Solanum photeinocarpum and Solanum nigrum are annual to perennial Solanum sect. Solanum wild vegetables with a high Se accumulation capacity [18,19,20]. S. photeinocarpum is a diploid plant, and S. nigrum is a hexaploid plant, whereas S. nigrum is evolved from S. photeinocarpum in nature condition [21]. Intercropping C. betacea with S. photeinocarpum and S. nigrum may improve the Se accumulation capacities of these plants. Studies have not explored the effects of intercropping these plants on the Se accumulation capacities. Therefore, in this study, C. betacea was intercropped with S. photeinocarpum (diploid), colchicine-induced S. photeinocarpum (tetraploid), and S. nigrum (hexaploid), and the Se uptakes in these plants were evaluated to determine the best combination of sect. Solanum and C. betacea for improving the Se accumulation in these plants.
2. Results
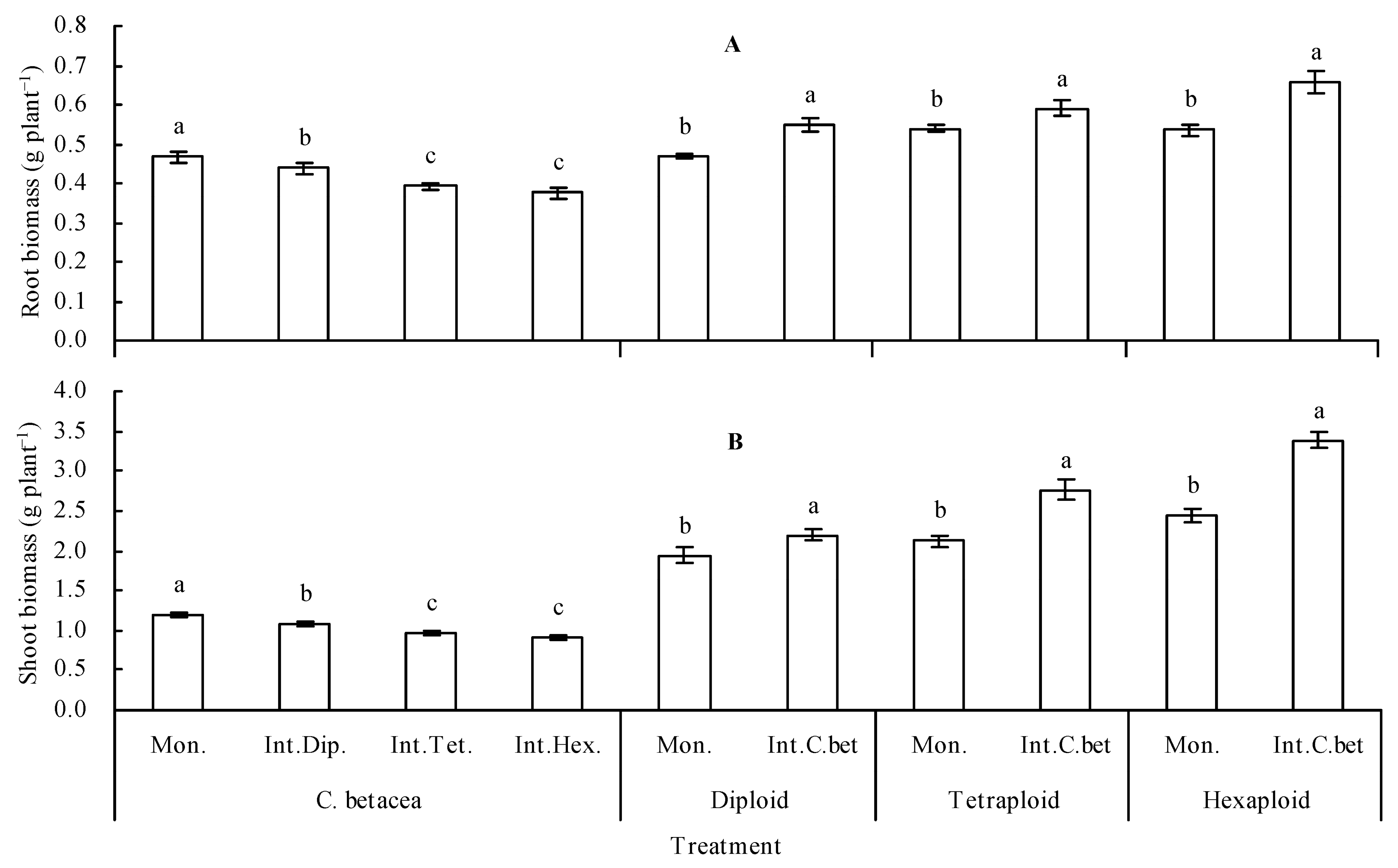
2.1. Biomass of Plants
The root and shoot biomasses of C. betacea were lower than that of diploid, tetraploid, and hexaploid. The biomass order in different ploidies was diploid < tetraploid < hexaploid (Figure 1A,B). Compared with C. betacea monoculture, intercropped with diploid, tetraploid, and hexaploid decreased the root biomass of C. betacea by 6.07%, 15.63%, and 19.23%, respectively, and decreased the shoot biomass of C. betacea by 9.30%, 20.15%, and 23.13%, respectively. The root and shoot biomasses of different ploidies in intercropping were higher than that of their respective monoculture. In addition, the root biomasses of intercropped diploid, tetraploid, and hexaploid were linearly positively correlated with the root biomasses of their respective monoculture (r = 0.704, n = 9, p = 0.034, Figure 2A). The root biomasses of intercropped C. betacea were negatively correlated with the root biomasses of monoculture diploid, tetraploid, and hexaploid (r = −0.896, n = 9, p = 0.001, Figure 2B). The shoot biomasses of intercropped diploid, tetraploid, and hexaploid were positively related to the shoot biomasses of their corresponding monoculture (r = 0.922, n = 9, p = 0.000, Figure 2C). The shoot biomasses of intercropped C. betacea were linearly negatively correlated with the shoot biomasses of monoculture diploid, tetraploid, and hexaploid (r = −0.796, n = 9, p = 0.010, Figure 2D).
Figure 1.
Biomass of plants. (A) Root biomass; (B) shoot biomass. Values are means ± SD of three replicates. Different lowercase letters indicate significant differences among the treatments (Duncan’s multiple range test, p < 0.05). Mon. = monoculture; Int.Dip. = intercropped with diploid; Int.Tet. = intercropped with tetraploid; Int.Hex. = intercropped with hexaploid; Int.C.bet = intercropped with C. betacea.

Figure 2.
Linear regression relationships of plants’ biomass. (A) Root biomasses of diploid, tetraploid, and hexaploid in intercropping plotted against their root biomasses in monoculture; (B) root biomasses of C. betacea in intercropping plotted against root biomasses of diploid, tetraploid, and hexaploid in monoculture; (C) shoot biomasses of diploid, tetraploid, and hexaploid in intercropping plotted against their shoot biomasses in monoculture; (D) shoot biomasses of C. betacea in intercropping plotted against shoot biomasses of diploid, tetraploid, and hexaploid in monoculture.
2.2. Photosynthetic Pigment Contents in Plants
Intercropped with diploid, tetraploid, and hexaploid showed lower contents of chlorophyll a, chlorophyll b, and carotenoid in C. betacea compared with the levels in C. betacea monoculture (Table 1). Notably, the chlorophyll a/b of C. betacea in intercropping was not significantly different with the level in monoculture. Intercropping showed no significant differences in the chlorophyll a and carotenoid contents in diploid relative to that of the diploid monoculture. The content of chlorophyll b in diploid was higher in intercropping, and the chlorophyll a/b of diploid was lower, compared with that of diploid monoculture. Tetraploid in intercropping showed higher contents of chlorophyll a, chlorophyll b, and carotenoid relative to that of tetraploid monoculture, whereas there was no significant difference in chlorophyll a/b between tetraploid intercropping and tetraploid monoculture. Hexaploid in intercropping exhibited higher levels of chlorophyll a and carotenoid compared with that in hexaploid monoculture. On the contrary, chlorophyll b content and chlorophyll a/b of hexaploid were not significantly different between monoculture and intercropping.
Table 1.
Photosynthetic pigment contents in plants.
2.3. Antioxidant Enzyme Activities and Soluble Protein Contents in Plants
Intercropped with diploid and tetraploid did not exhibit significant differences in SOD activity of C. betacea compared with C. betacea monoculture (Table 2). Intercropped with hexaploid showed lower SOD activity of C. betacea than that of C. betacea monoculture. Intercropped with diploid, tetraploid, and hexaploid showed higher POD activity, CAT activity, and soluble protein content of C. betacea compared with the C. betacea monoculture. Diploid intercropped with C. betacea showed higher SOD activity, POD activity, CAT activity, and soluble protein content of diploid compared with diploid monoculture. Tetraploid intercropped with C. betacea did not exhibit significant differences in SOD activity of tetraploid compared with tetraploid monoculture. However, tetraploid intercropped with C. betacea had higher POD activity, CAT activity, and soluble protein content of tetraploid relative to tetraploid monoculture. Hexaploid intercropped with C. betacea did not exhibit significant differences in SOD activity and CAT activity of hexaploid relative to hexaploid monoculture. Compared with the hexaploid monoculture, intercropped with C. betacea had higher POD activity and soluble protein content of hexaploid.
Table 2.
Antioxidant enzyme activities and soluble protein contents of plants.
2.4. Se Content and Translocation Factor of Plants
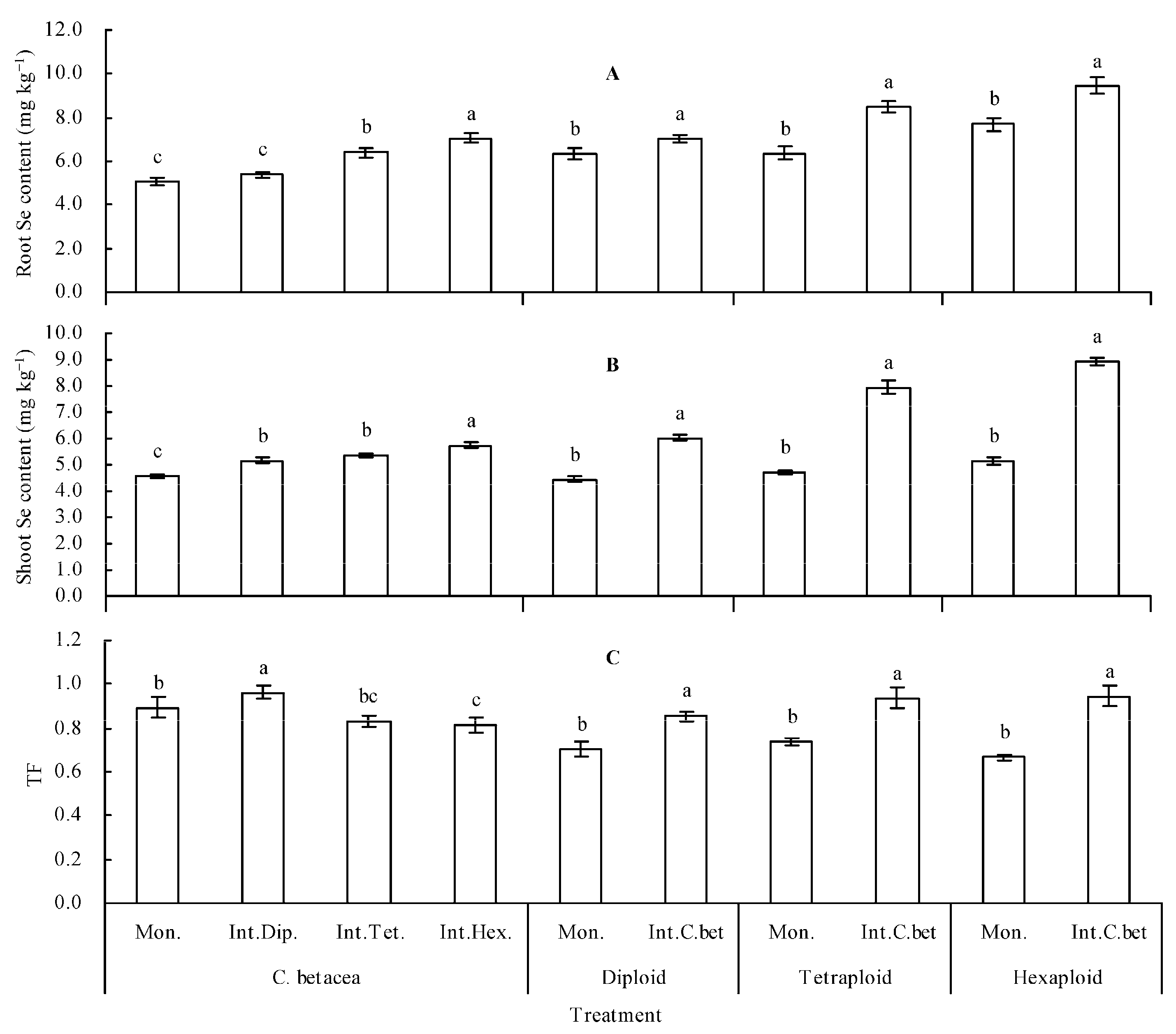
C. betacea intercropped with diploid, tetraploid, and hexaploid exhibited higher root and shoot Se contents compared with that of their respective monoculture (Figure 3A,B). Intercropped with diploid, tetraploid, and hexaploid increased the Se content in shoots of C. betacea by 13.73%, 17.49%, and 26.50%, respectively, compared with C. betacea monoculture. Intercropped with C. betacea increased the shoot Se contents in diploid, tetraploid, and hexaploid by 35.22%, 68.86%, and 74.46%, respectively, compared with their respective monoculture. In addition, the root Se contents in diploid, tetraploid, and hexaploid in intercropping were positively correlated with their root Se contents in monoculture (r = 0.760, n = 9, p = 0.018, Figure 4A). The root Se contents in C. betacea in intercropping were positively correlated with the root Se contents in diploid, tetraploid, and hexaploid in monoculture (r = 0.739, n = 9, p = 0.023, Figure 4B). The shoot Se contents in diploid, tetraploid, and hexaploid in intercropping were linearly positively correlated with their shoot Se contents in monoculture (r = 0.927, n = 9, p = 0.000, Figure 4C). The shoot Se contents in C. betacea in intercropping were linearly positively correlated with the shoot Se contents in diploid, tetraploid, and hexaploid in monoculture (r = 0.958, n = 9, p = 0.000, Figure 4D).
Figure 3.
Se content and TF of plants. (A) Root Se content; (B) shoot Se content; (C) TF (translocation factor). Values are means ± SD of three replicates. Different lowercase letters indicate significant differences among the treatments (Duncan’s multiple range test, p < 0.05). Mon. = monoculture; Int.Dip. = intercropped with diploid; Int.Tet. = intercropped with tetraploid; Int.Hex. = intercropped with hexaploid; Int.C.bet = intercropped with C. betacea.
Figure 4.
Linear regression relationships of Se contents in plants. (A) Root Se contents in diploid, tetraploid, and hexaploid in intercropping plotted against their root Se contents in monoculture; (B) root Se contents in C. betacea in intercropping plotted against root Se contents in diploid, tetraploid, and hexaploid in monoculture; (C) shoot Se contents in diploid, tetraploid, and hexaploid in intercropping plotted against their shoot Se contents in monoculture; (D) shoot Se contents in C. betacea in intercropping plotted against shoot Se contents in diploid, tetraploid, and hexaploid in monoculture.
The findings showed that intercropped with diploid had higher TF of C. betacea relative to C. betacea monoculture (Figure 3C). Intercropped with tetraploid showed no significant difference in TF of C. betacea, whereas intercropped with hexaploid had lower TF of C. betacea compared with C. betacea monoculture. Diploid, tetraploid, and hexaploid in intercropping all exhibited higher TFs compared with their TFs in monoculture.
2.5. Relationship of Different Parameters in Plants
The root biomass and shoot biomass of C. betacea were highly significantly (p < 0.01) positively correlated with the chlorophyll a content, chlorophyll b content, carotenoid content, and SOD activity (Table 3). The root biomass and shoot biomass were highly significantly (p < 0.01) negatively correlated with the POD activity, CAT activity, and soluble protein content. The root Se content and shoot Se content were highly significantly (p < 0.01) positively correlated with the POD activity, CAT activity, and soluble protein content, and were highly significantly (p < 0.01) or significantly (0.01 ≤ p < 0.05) negatively correlated with the root biomass, shoot biomass, chlorophyll a content, chlorophyll b content, carotenoid content, and SOD activity. The root Se content was highly significantly (p < 0.01) positively correlated with the shoot Se content.
Table 3.
Correlations among the different indicators of C. betacea.
The root biomass of diploid was highly significantly (p < 0.01) or significantly (0.01 ≤ p < 0.05) positively correlated with the POD activity, CAT activity, soluble protein content, and TF (Table 4). The shoot biomass was highly significantly (p < 0.01) or significantly (0.01 ≤ p < 0.05) positively correlated with the CAT activity, soluble protein content, and TF. The root Se content was highly significantly (p < 0.01) or significantly (0.01 ≤ p < 0.05) positively correlated with the root biomass, carotenoid content, POD activity, and soluble protein content. The shoot Se content was highly significantly (p < 0.01) or significantly (0.01 ≤ p < 0.05) positively correlated with the root biomass, shoot biomass, chlorophyll b content, POD activity, CAT activity, soluble protein content, and TF, and was significantly (0.01 ≤ p < 0.05) negatively correlated with the content of chlorophyll a/b. The root Se content was highly significantly (p < 0.01) positively correlated with the shoot Se content.
Table 4.
Correlations among the different indicators of diploid.
The root biomass of tetraploid was significantly (0.01 ≤ p < 0.05) positively correlated with the chlorophyll a content, chlorophyll b content, carotenoid content, CAT activity, and soluble protein content (Table 5). The shoot biomass was highly significantly (p < 0.01) or significantly (0.01 ≤ p < 0.05) positively correlated with the chlorophyll b content, POD activity, soluble protein content, and TF. The root Se content and shoot Se content were highly significantly (p < 0.01) or significantly (0.01 ≤ p < 0.05) positively correlated with the root biomass, shoot biomass, chlorophyll a content, chlorophyll b content, carotenoid content, POD activity, CAT activity, soluble protein content, and TF. The root Se content was highly significantly (p < 0.01) positively correlated with the shoot Se content.
Table 5.
Correlations among the different indicators of tetraploid.
The root biomass of hexaploid was highly significantly (p < 0.01) or significantly (0.01 ≤ p < 0.05) positively correlated with the chlorophyll a content, SOD activity, POD activity, soluble protein content, and TF (Table 6). The shoot biomass was highly significantly (p < 0.01) positively correlated with the POD activity, soluble protein content, and TF. The root Se content was highly significantly (p < 0.01) or significantly (0.01 ≤ p < 0.05) positively correlated with the root biomass, shoot biomass, carotenoid content, POD activity, soluble protein content, and TF. The shoot Se content was highly significantly (p < 0.01) or significantly (0.01 ≤ p < 0.05) positively correlated with the root biomass, shoot biomass, chlorophyll a content, carotenoid content, POD activity, soluble protein content, and TF. The root Se content was highly significantly (p < 0.01) positively correlated with the shoot Se content.
Table 6.
Correlations among the different indicators of hexaploid.
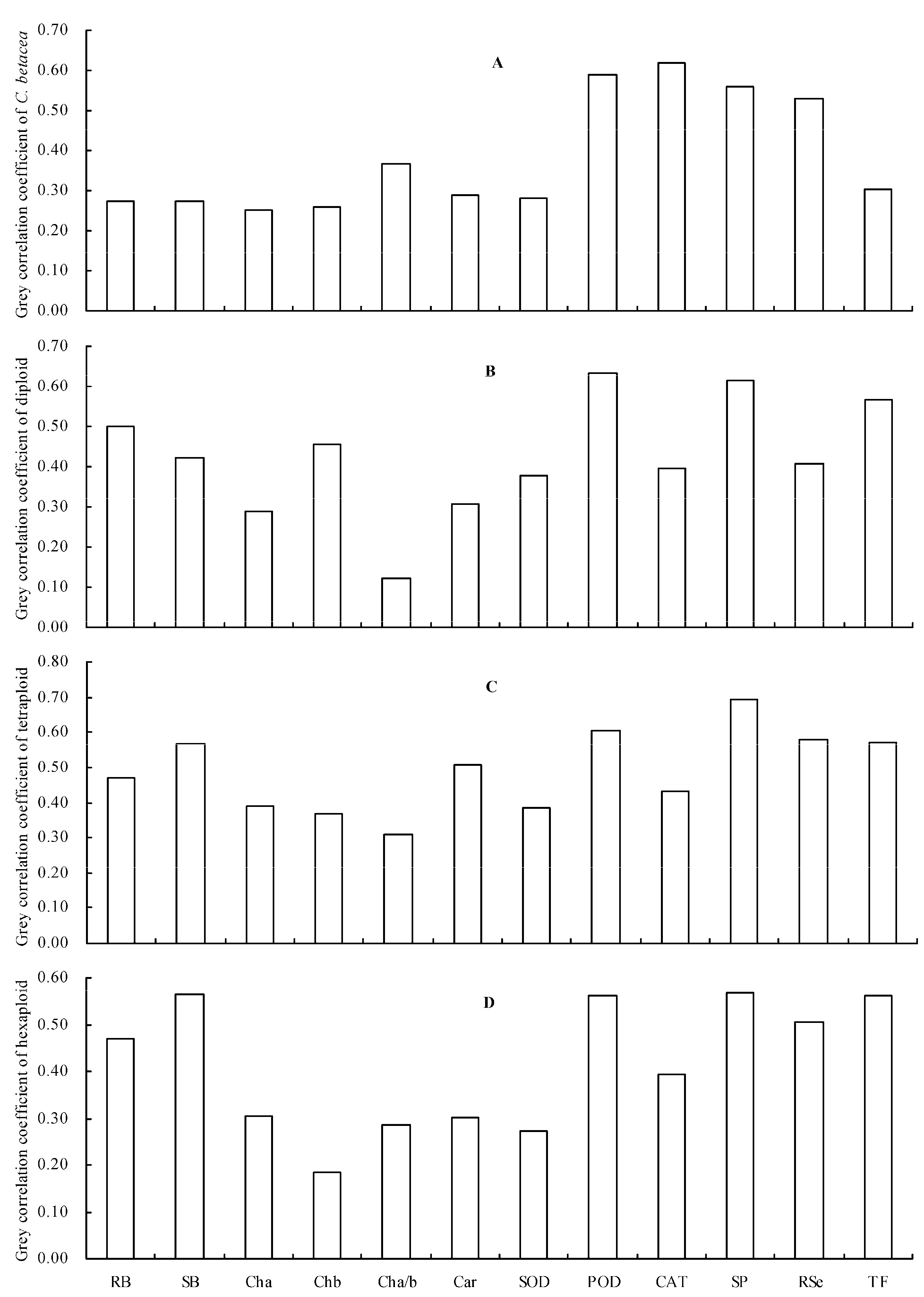
2.6. Grey Relational Analysis
The grey relationships of different indicators with the shoot Se content were evaluated and the results showed that all indicators were correlated with the shoot Se content (Figure 5). The top four indicators of C. betacea with the highest grey correlation coefficients were CAT activity, POD activity, soluble protein content, and root Se content (Figure 5A). The top four indicators with the highest grey correlation coefficients in diploid were POD activity, soluble protein content, TF, and root biomass (Figure 5B). The top four indicators for tetraploid were soluble protein content, POD activity, root Se content, and TF (Figure 5C), and the top four indicators for hexaploid were soluble protein content, shoot biomass, TF, and POD activity (Figure 5D).
Figure 5.
Grey correlation coefficients of the different indicators with the shoot Se content. (A) C. betacea; (B) diploid; (C) tetraploid; (D) hexaploid. RB = root biomass; SB = shoot biomass; Cha = chlorophyll a content; Chb = chlorophyll b content; Cha/b = chlorophyll a/b; Car = carotenoid content; SOD = SOD activity; POD = POD activity; CAT = CAT activity; SP = soluble protein content; RSe = root Se content; TF = translocation factor.
3. Discussion
Intercropping can change the soil organic acid content, soil pH value, soil nutrient availability, and soil enzyme activity, ultimately affecting the nutrient uptake and growth of plants [22]. In addition, intercropping results in competition between plants; this may inhibit the growth of the plants [23]. Different species of intercropped eggplants exhibited an increase in the biomasses of their seedlings under Se-rich soil conditions [12], whereas intercropping of white radish with green radish resulted in an increase in the biomass of white radish and a decrease in the biomass of green radish [13]. In the current study, C. betacea intercropped with sect. Solanum showed a decrease in the biomass of C. betacea and an increase in the biomass of sect. Solanum. This result is consistent with the findings from previous studies [13,14], but different from results from other studies [9,10,12]. This finding indicates competition for growth resources between C. betacea and sect. Solanum. The biomass of sect. Solanum was higher than that of C. betacea in the present study. Sect. Solanum are herbs, and their growth rates are higher than that of the seedlings of C. betacea, a woody plant. Therefore, sect. Solanum had a faster growth than C. betacea, inhibiting the growth of C. betacea. The biomass order of sect. Solanum was diploid < tetraploid < hexaploid and intercropping of C. betacea also showed that the biomass order was diploid < tetraploid < hexaploid. This finding implies that sect. Solanum competed and inhibited the growth of C. betacea. The biomass of intercropped sect. Solanum showed a positive linear relationship with their biomass of monoculture. The biomass of intercropped C. betacea exhibited a linear negative relationship with that of the sect. Solanum monoculture. This result further indicates the growth competition between C. betacea and sect. Solanum. Further studies should be conducted to explore the competition mechanism between the two species.
The content of photosynthetic pigments in plants reflects the photosynthetic capacity [24]. Eggplant intercropped with the Cd-hyperaccumulator S. nigrum exhibited a decrease in the photosynthetic pigment content in eggplant planted in Cd-contaminated soil. Tomato intercropped with S. nigrum under the same conditions showed an increase in the photosynthetic pigment content in tomato [25]. Grape intercropped with S. nigrum planted in Cd-contaminated soil showed increased chlorophyll a and total chlorophyll contents in grape [26]. Maize intercropped with peanut and maize intercropped with soybean showed increased chlorophyll content in maize [7,27]. In the current study, intercropping of C. betacea with sect. Solanum exhibited a decrease in the photosynthetic pigment content in C. betacea and an increase in the photosynthetic pigment content in sect. Solanum. These results indicate that the competition between C. betacea and sect. Solanum inhibited synthesis of photosynthetic pigments in C. betacea and promoted the synthesis of photosynthetic pigments in sect. Solanum, which may be related to the competition for light, nutrients, and water resources.
High concentrations of Se in plants promote the production of reactive oxygen species (ROS) and induce oxidative stress in plants [28]. Plant defense mechanisms to alleviate Se stress include activating different antioxidant enzymes such as SOD, POD, and CAT [28,29]. Soluble protein is an essential osmotic regulator of plant cells and is implicated in plant stress resistance [30]. Eggplant intercropped with S. nigrum in Cd-contaminated soil showed increased antioxidant enzyme activity and soluble protein content of eggplant [31]. Lettuce intercropped with the Cd-hyperaccumulator G. parviflora exhibited increased antioxidant enzyme activity and soluble protein content of lettuce [32]. In the present study, intercropping of C. betacea with diploid and tetraploid had no significant effects on the SOD activity of C. betacea, whereas intercropping of C. betacea with hexaploid decreased SOD activity of C. betacea. Intercropping C. betacea with diploid, tetraploid, and hexaploid increased the POD activity, CAT activity, and soluble protein content of C. betacea. Intercropping sect. Solanum with C. betacea increased the antioxidant enzyme activity and soluble protein content of sect. Solanum. These results indicate that intercropping of C. betacea with sect. Solanum can improve the resistance of the two plants to Se stress, consistent with findings from previous studies [12,13,14]. Moreover, C. betacea intercropped with sect. Solanum may promote the communication of matters between two plants, resulting in the transfer of the active compounds to each other to mutually improve their resistance to Se stress [33], which needs to be further studied.
The uptake of Se by plants is modulated by various factors such as soil pH value, soil redox conditions, and soil selenium state [4]. Se has a strong metalloid property and exists in inorganic forms with different oxidation states. The different soil oxidation states modulate the various valence states of Se [34,35]. The pathway for absorption of selenite by plants is similar to the absorption pathway for phosphate. Absorption of selenite by plants mainly occurs through the roots [35,36]. On the other hand, there is an antagonism between sulphate and both selenate and selenite forms [37]. Intercropping improves the absorption of nutrients such as nitrogen, phosphorus, and potassium in maize and legumes [7,8,38,39]. Intercropping of heavy metal hyperaccumulator with non-heavy metal hyperaccumulator increases heavy metal uptake in hyperaccumulator but decreases heavy metal uptake in non-hyperaccumulator [9,40]. Intercropping of different genotypes of tomato, eggplant, and radish with themselves exhibits a decrease or increase in Se uptake [12,13,14]. In the current study, intercropping of C. betacea with sect. Solanum increased the Se uptake in the two plants, consistent with findings on the other plants planted in Cd-contaminated soil [10]. These findings are consistent with results on the uptake levels of Se in tomato, eggplant, and radish reported in previous studies [12,13,14]. The Se contents in intercropped sect. Solanum exhibited a positive linear relationship with their Se contents in monoculture. The Se content of intercropped C. betacea showed a linear negative relationship with the Se contents in sect. Solanum in monoculture. These results indicate that intercropping promoted the Se uptakes in C. betacea and sect. Solanum, further confirming the communication of matters between C. betacea and sect. Solanum, and several active compounds may be exchanged between C. betacea and sect. Solanum to improve the Se accumulation capacity of the two plants. Intercropping of C. betacea with diploid increased the TF of C. betacea, intercropping with tetraploid had no significant effect on the TF of C. betacea, whereas intercropping with hexaploid decreased the TF of C. betacea. However, intercropping of sect. Solanum with C. betacea increased the TFs of sect. Solanum. These results indicate that C. betacea intercropped with sect. Solanum had significant Se effects on sect. Solanum than C. betacea. This finding explains the higher percentage of shoot Se content in sect. Solanum than in C. betacea. Correlation and grey relational analyses revealed that CAT activity, POD activity, and soluble protein content were the top three indicators significantly associated with C. betacea shoot Se content. In contrast, POD activity, soluble protein content, and TF were the top three indicators markedly associated with sect. Solanum shoot Se content. These results further imply that intercropping promoted the Se absorption by increasing the resistance of the two plants to Se, and their action mechanisms should be explored further.
4. Materials and Methods
4.1. Materials
The C. betacea seeds were collected from a five-year-old fruiting tree growing at the Chengdu Campus of Sichuan Agricultural University (30°42′ N, 103°51′ E) in September 2021. The seeds were air-dried. The seeds of S. photeinocarpum (diploid) and S. nigrum (hexaploid) were obtained from the farmlands around the Chengdu Campus in June 2021. The shoot tips of the diploid seedlings at the stage of unfolded cotyledons were treated with colchicine (0.3%) for 48 h, and the tetraploid was induced. Tetraploid seeds were obtained from the diploid treated with colchicine in September 2021. Diploid, tetraploid, and hexaploid seeds were air-dried. The seeds of four plants were planted in seedling trays filled with wet perlite in February 2022. Hoagland solutions were used to irrigate the seedlings every three days after emergence.
The soil used in this experiment was collected from the farmland around the Chengdu Campus. The soil type was fluvo-aquic soil, and the basic physicochemical properties of soil samples are presented in Table 7 [41].
Table 7.
The basic chemical properties of soil.
4.2. Experimental Design
The experiment was conducted in a greenhouse at the Chengdu Campus. The soil was treated in March 2022 according to Lin et al. (2020) [42]. Soil with 3.0 kg was placed in a plastic pot (21 cm diameter and 20 cm depth), and Na2SeO3 (analytical grade) was added to the soil to obtain 5 mg kg−1 Se concentration [43]. Then, the soil was watered to maintain the soil moisture content at 80% of the field capacity for one month. In April 2022, uniform plant seedlings were transplanted in the pot. In each pot, four seedlings were planted with even distribution in all four directions. The experiment comprised seven treatments: C. betacea monoculture, diploid monoculture, tetraploid monoculture, hexaploid monoculture, C. betacea intercropped with diploid, C. betacea intercropped with tetraploid, and C. betacea intercropped with hexaploid. Four seedlings of one plant species were planted in each pot for the monoculture treatments. Two seedlings of C. betacea and two seedlings of each diploid, tetraploid, or hexaploid were planted together in each pot for the intercropping treatments. Each treatment was conducted in triplicate (three pots), and a randomized block design was used in the study. The plants were irrigated using tap water.
4.3. Determination of Indicators
To determine whether the intercropping could improve the resistances of these plants to Se, the third mature leaf of each plant from the top was collected to determine various parameters, including the contents of photosynthetic pigments (chlorophyll a, chlorophyll b, and carotenoid), activities of antioxidant enzymes [superoxide dismutase (SOD), peroxidase (POD), and catalase (CAT)], and soluble protein content following the methods reported by Lin et al. (2023) [44] and Hao et al. (2004) [45] two months after plants transplanting. Subsequently, the plants were harvested and treated as described by Li et al. (2022) [46]. The dry weights (biomass) of roots and shoots were measured using an electronic balance. The plant samples were dried, ground, and digested with nitric acid and perchloric acid. Furthermore, the digestion solutions were reduced with hydrochloric acid, and the Se concentration was determined using a hydride generation-atomic fluorescence spectrometry (AFS-9700, Beijing Haiguang Instrument Co., Ltd., Beijing, China) [46]. The translocation factor (TF, Se content in shoots/Se content in roots) was calculated as described previously [47].
4.4. Statistical Analysis
The data were analyzed using SPSS 27.0 software (IBM, Chicago, IL, USA). Data were normalized and subjected to a homogeneity test. One-way analysis of variance was then conducted for comparison of the multiple groups, followed by Duncan’s multiple range test for pairwise comparison (p < 0.05). Relationships of the biomass and Se content between the monoculture and intercropping treatments were evaluated using regression analysis. Pearson’s correlation analysis was conducted to determine the correlations among the different indicators of each plant. Grey relational analysis was performed to explore the relationships of the different indicators with the shoot Se content of each plant as described by Wang (2019) [48] and Zhang et al. (2023) [49].
5. Conclusions
Intercropping of C. betacea with sect. Solanum inhibited the growth of C. betacea and promoted the growth of sect. Solanum as indicated by decrease or increase in their biomasses and photosynthetic pigment contents. In addition, intercropping C. betacea with sect. Solanum improved their resistances to Se by increasing the levels of antioxidant enzyme activities and soluble protein contents in the two plants. Moreover, intercropping of the two plants increased the shoot Se contents in C. betacea and sect. Solanum. The biomass and Se content of intercropped sect. Solanum exhibited linear relationships with that of monoculture, and the biomass and Se content of intercropped C. betacea showed linear relationships with that of sect. Solanum monoculture. CAT activity, POD activity, and soluble protein content were the top three indicators highly associated with the shoot Se content in C. betacea. The POD activity, soluble protein content, and TF were the top three indicators significantly associated with the shoot Se contents in sect. Solanum. Further studies should be conducted under field conditions to verify these findings, and the effects of Se uptake in C. betacea fruits should be evaluated.
Author Contributions
Conceptualization, L.L.; investigation, L.L., X.X., J.W., X.W., X.L., Y.T., H.D., D.L. and H.X.; data curation, L.L. and X.X.; writing—original draft preparation, X.X.; writing—review and editing, L.L.; supervision, L.L. All authors have read and agreed to the published version of the manuscript.
Funding
This work was financially supported by the Sichuan Provincial Science and Technology Program (2022YFN0005).
Data Availability Statement
Data will be made available on genuine request.
Conflicts of Interest
The authors declare no conflict of interest.
References
- Supriatin, S.; Weng, L.; Comans, R.N.J. Selenium speciation and extractability in Dutch agricultural soils. Sci. Total Environ. 2015, 532, 368–382. [Google Scholar] [CrossRef] [PubMed]
- El-Ramady, H.; Abdalla, N.; Alshaal, T.; Domokos-Szabolcsy, E.; Elhawat, N.; Prokisch, J.; Sztrik, A.; Fari, M.; El-Marsafawy, S.; Shams, M.S. Selenium in soils under climate change, implication for human health. Environ. Chem. Lett. 2014, 13, 1–19. [Google Scholar] [CrossRef]
- Rayman, M.P. Food-chain selenium and human health: Emphasis on intake. Br. J. Nutr. 2008, 100, 254–268. [Google Scholar] [CrossRef] [PubMed]
- Winkel, L.H.; Johnson, C.A.; Lenz, M.; Grundl, T.; Leupin, O.X.; Amini, M.; Charlet, L. Environmental selenium research: From microscopic processes to global understanding. Environ. Sci. Technol. 2012, 46, 571–579. [Google Scholar] [CrossRef]
- Zhang, C.M. The Regulatory Effects of Selenium Nutrition in Soil-Rice System and Cost-Effectiveness Analysis. Master’s Thesis, Southwest University, Chongqing, China, 2018. [Google Scholar]
- Garland, G.; Bünemann, E.K.; Oberson, A.; Frossard, E.; Six, J. Plant-mediated rhizospheric interactions in maize-pigeon pea intercropping enhance soil aggregation and organic phosphorus storage. Plant Soil 2017, 415, 37–55. [Google Scholar] [CrossRef]
- Fu, Z.; Zhou, L.; Chen, P.; Pang, T.; Song, C.; Wang, X.; Liu, W.; Yang, W.; Yong, T. Effects of maize-soybean relay intercropping on crop nutrient uptake and soil bacterial community. J. Integr. Agr. 2019, 18, 2006–2018. [Google Scholar] [CrossRef]
- Li, N.Y.; Li, Z.A.; Ding, Y.Z.; Zou, B.; Zhuang, P. Effects of intercropping different crops with maize on the Cd uptake by maize. J. Appl. Ecol. 2008, 19, 1369–1373. [Google Scholar]
- Whiting, S.N.; Leake, J.R.; Mcgrath, S.P.; Baker, A.J.M. Hyperaccumulation of Zn by Thlaspi caerulescens can ameliorate Zn toxicity in the rhizosphere of cocropped Thlaspi arvense. Environ. Sci. Technol. 2001, 35, 3237–3241. [Google Scholar] [CrossRef]
- Liu, Y.; Liu, Q.; Xu, X.; Xiao, Y.; Liao, M.A.; Deng, Q.; Zhang, H.; Lin, L. Effects of intercropping with Solanum photeinocarpum and its post-grafting generations on cadmium accumulation in loquat (Eriobotrya japonica). Int. J. Phytoremediat. 2022, 24, 753–762. [Google Scholar] [CrossRef]
- Lin, L.J.; Luo, L.; Yang, D.Y.; Zhang, X.; Liao, M.A.; Tang, F.Y. Effects of intercropping with accumulator on cadmium accumulation of Galinsoga parviflora. J. Soil Water Conserv. 2014, 28, 319–324. [Google Scholar]
- Pan, S.; Lu, R.; Li, H.; Lin, L.; Li, L.; Xiang, J.; Chen, L.; Tang, Y. Mutual intercropping affects selenium uptake of eggplant seedlings. Int. J. Environ. Anal. Chem. 2021, 101, 2866–2875. [Google Scholar] [CrossRef]
- Tang, F.H. Effects of Intercropping on Selenium Enrichment of Three Genotypes Radish. Master’s Thesis, Sichuan Agriculture University, Chengdu, China, 2018. [Google Scholar]
- Liang, L.; Liu, J.; Li, X.M.; Liao, J.C.; Li, H.X.; Tang, Y. Effects of intercropping with different genotypes of cherry tomato on fruit quality and selenium content. Acta Agric. Zhejiangensis 2021, 33, 1870–1878. [Google Scholar]
- Dong, Q.; Li, S.M.; Gao, S.J.; Li, Y.X.; Duan, H.C.; Zheng, X.H.; Yao, X.F.; Yu, Q. Comparison and comprehensive analysis the quality of Cyphomandra betacea from different provenance. Food Ferment. Ind. 2022, 48, 266–273. [Google Scholar]
- Zhang, Q.L.; Zhang, F.X.; Feng, Z.X.; Gong, J.H. The preliminary experimental study on introduction and cultivation of tree tomato. Shandong For. Sci. Technol. 2005, 35, 25–26. [Google Scholar]
- Lin, L.; Sun, J.; Cui, T.; Zhou, X.; Liao, M.A.; Huan, Y.; Yang, L.; Wu, C.; Xia, X.; Wang, Y.; et al. Selenium accumulation characteristics of Cyphomandra betacea (Solanum betaceum) seedlings. Physiol. Mol. Biol. Plants 2020, 26, 1375–1383. [Google Scholar] [CrossRef] [PubMed]
- Wu, C.F.; Bao, R.F.; Liao, H.P.; Liu, P.; Sun, J.; Liao, M.A.; Lin, L.J.; Ren, W. Selenium accumulation characteristics of wild vegetable Solanum photeinocarpum. J. Sichuan Agric. Univ. 2018, 36, 778–784. [Google Scholar]
- Huang, K.W.; Lin, L.J.; Liao, M.A. Study on selenium accumulation characteristics of Solanum nigrum. IOP Conf. Ser. Earth Environ. Sci. 2018, 199, 42027. [Google Scholar] [CrossRef]
- Wang, X.; Huang, Z.; Lin, L.; Liao, M. Study on selenium accumulation characteristics of Lycopersicon esculentum, Solanum melongena and Solanum nigrum. IOP Conf. Ser. Earth Environ. Sci. 2019, 310, 42065. [Google Scholar] [CrossRef]
- Xu, X.F.; Zhang, H.Y.; Yuan, Q.H.; Yan, Y. Studies on chromosome of three types of Solanum nigrum in China. Guihaia 2004, 24, 544–545. [Google Scholar]
- Liu, J.; Wen, X.S.; Lang, A.D. Progress in components and effects of plant root exudates. Food Drug 2007, 17, 63–65. [Google Scholar]
- Zheng, Y.C.; Yang, Q.; Yang, D.; Liu, Y.; Sun, Z.Z.; Wang, X.C. Effects of competition between Phragmites australis and Typha orientalis on the purification of polluted river water in a mixed-planted surface flow constructed wetland. Acta Sci. Circumstantiae 2022, 42, 156–163. [Google Scholar]
- Ashraf, M.; Harris, P.J.C. Photosynthesis under stressful environments: An overview. Photosynthetica 2013, 51, 163–190. [Google Scholar] [CrossRef]
- Hu, R.P.; Li, X.X.; Lin, L.J.; Fan, Z.H.; Chen, S.; Yang, D.S.; Chen, Q.D. Effects of intercropping with Solanum nigrum on physiological and biochemical characteristics and cadmium content of Lycopersicon esculentum and Solanum melongena. Chin. Agric. Sci. Bull. 2019, 35, 57–63. [Google Scholar]
- Hu, R.; Zhang, Z.; Lin, L.; Liao, M.A.; Tang, Y.; Liang, D.; Xia, H.; Wang, J.; Wang, X.; Lv, X.; et al. Intercropping with hyperaccumulator plants decreases the cadmium accumulation in grape seedlings. Acta Agric. Scand. Sect. B-Soil Plant Sci. 2019, 69, 304–310. [Google Scholar] [CrossRef]
- Jiao, N.; Yang, M.; Ning, T.; Yin, F.; Xu, G.; Fu, G.; Li, Y. Effects of maize-peanut intercropping and phosphate fertilizer on photosynthetic characteristics and yield of intercropped peanut plants. Chin. J. Plant Ecol. 2013, 37, 1010–1017. [Google Scholar] [CrossRef]
- Natasha; Shahid, M.; Niazi, N.K.; Khalid, S.; Murtaza, B.; Bibi, I.; Rashid, M.I. A critical review of selenium biogeochemical behavior in soil-plant system with an inference to human health. Environ. Pollut. 2018, 234, 915–934. [Google Scholar] [CrossRef]
- He, B.; Ye, H.B.; Yang, X.E. Effects of Pb on chlorophyll contents and antioxidant enzyme activity in leaf for Pb-accumulating and non-accumulating ecotypes of Sedum Alfredii (Hance). J. Agro-Environ. Sci. 2003, 22, 274–278. [Google Scholar]
- Liang, Y.R.; Hu, X.H.; Zhang, Y.L.; Liu, X.P. Progress on physiological function research of plant peroxidase. J. Inn. Mong. Agric. Univ. 2003, 24, 110–113. [Google Scholar]
- Tang, Y.; He, J.; Yu, X.N.; Xie, Y.D.; Lin, L.J.; Sun, G.C.; Li, H.X.; Liao, M.A.; Liang, D.; Xia, H.; et al. Intercropping with Solanum nigrum and Solanum photeinocarpum from two ecoclimatic regions promotes growth and reduces cadmium uptake of eggplant seedlings. Pedosphere 2017, 27, 638–644. [Google Scholar] [CrossRef]
- Huang, K.W.; Lin, L.J.; Shi, J.; Ma, Q.Q.; Li, K.Q.; Liao, M.A. Effect of intercropping with grafting offspring of Galinsoga parviflora on cadmium accumulation of lettuce. Soils 2020, 52, 127–133. [Google Scholar]
- Li, C.J.; Ma, W.; Zhang, F.S. Rhizosphere talk and its impacts on plant growth. J. Plant Nutr. Fertil. 2008, 14, 178–183. [Google Scholar]
- Nakamaru, Y.; Tagami, K.; Uchida, S. Distribution coefficient of selenium in Japanese agricultural soils. Chemosphere 2005, 58, 1347–1354. [Google Scholar] [CrossRef]
- Elrashidi, M.A.; Adriano, D.C.; Workman, S.M.; Lindsay, W.L. Chemical equilibria of selenium in soils: A theoretical development. Soil Sci. 1987, 144, 141–152. [Google Scholar] [CrossRef]
- Zhang, L.; Hu, B.; Li, W.; Che, R.; Deng, K.; Li, H.; Yu, F.; Ling, H.; Li, Y.; Chu, C. OsPT2, a phosphate transporter, is involved in the active uptake of selenite in rice. New Phytol. 2014, 201, 1183–1191. [Google Scholar] [CrossRef] [PubMed]
- Pratley, J.E.; McFarlane, J.D. The effect of sulphate on the selenium content of pasture plants. Aust. J. Exp. Agric. Anim. Husb. 1974, 14, 533–538. [Google Scholar] [CrossRef]
- Longchamp, M.; Angeli, N.; Castrec-Rouelle, M. Selenium uptake in Zea mays supplied with selenate or selenite under hydroponic conditions. Plant Soil 2013, 362, 107–117. [Google Scholar] [CrossRef]
- Inal, A.; Gunes, A.; Zhang, F.; Cakmak, I. Peanut/maize intercropping induced changes in rhizosphere and nutrient concentrations in shoots. Plant Physiol. Biochem. 2007, 45, 350–356. [Google Scholar] [CrossRef] [PubMed]
- Jiang, C.A.; Wu, Q.T.; Wu, S.H.; Long, X.X. Effect of co-cropping Sedum alfredii with different plants on metal uptake. China Environ. Sci. 2009, 29, 985–990. [Google Scholar]
- Liu, Y.; Li, H.; Xiao, Y.; Xu, X.; Lin, L.; Liao, M.A.; Wang, J.; Lv, X. Exogenous melatonin treatments promote the growth and nutrient uptake of peach (Prunus davidiana) seedlings. J. Plant. Nutr. 2022, 45, 2292–2302. [Google Scholar] [CrossRef]
- Lin, L.; Wu, C.; Jiang, W.; Liao, M.A.; Tang, Y.; Wang, J.; Lv, X.; Liang, D.; Xia, H.; Wang, X.; et al. Grafting increases cadmium accumulation in the post-grafting generations of the potential cadmium-hyperaccumulator Solanum photeinocarpum. Chem. Ecol. 2020, 36, 685–704. [Google Scholar] [CrossRef]
- Lin, L.; Wang, J.; Liao, M.; Hu, R.; Deng, Q.; Wang, Z.; Wang, X.; Tang, Y. Artemisia argyi water extract promotes selenium uptake of peach seedlings. Front. Plant Sci. 2022, 13, 1014454. [Google Scholar] [CrossRef] [PubMed]
- Lin, L.; Li, Z.; Wang, J.; Liang, D.; Xia, H.; Lv, X.; Tang, Y.; Wang, X.; Deng, Q.; Liao, M. 24-epibrassinolide promotes selenium uptake in grapevine under selenium stress. Sci. Hortic. 2023, 308, 111564. [Google Scholar] [CrossRef]
- Hao, Z.B.; Cang, J.; Xu, Z. Plant Physiology Experiment; Harbin Institute of Technology Press: Harbin, China, 2004. [Google Scholar]
- Li, Z.; Fan, R.; Peng, X.; Shu, J.; Liu, L.; Wang, J.; Lin, L. Salicylic acid alleviates selenium stress and promotes selenium uptake of grapevine. Physiol. Mol. Biol. Plants 2022, 28, 625–635. [Google Scholar] [CrossRef] [PubMed]
- Rastmanesh, F.; Moore, F.; Keshavarzi, B. Speciation and phytoavailability of heavy metals in contaminated soils in Sarcheshmeh area, Kerman Province, Iran. Bull. Environ. Contam. Toxicol. 2010, 85, 515–519. [Google Scholar] [CrossRef] [PubMed]
- Wang, X. Application of grey relation analysis theory to choose high reliability of the network node. J. Phys. Conf. Ser. 2019, 1237, 32056. [Google Scholar] [CrossRef]
- Zhang, R.; Huang, Y.; Liu, Y.; Liu, Q.; Zhang, L.; Li, Z.; Xu, Y.; Lin, L.; Wang, L. Effects of mutual intercropping on cadmium accumulation of Solanum photeinocarpum Nakamura et Odashima and its post-grafting generations. Int. J. Phytoremediat. 2023, 25, 350–358. [Google Scholar] [CrossRef]
Disclaimer/Publisher’s Note: The statements, opinions and data contained in all publications are solely those of the individual author(s) and contributor(s) and not of MDPI and/or the editor(s). MDPI and/or the editor(s) disclaim responsibility for any injury to people or property resulting from any ideas, methods, instructions or products referred to in the content. |
© 2023 by the authors. Licensee MDPI, Basel, Switzerland. This article is an open access article distributed under the terms and conditions of the Creative Commons Attribution (CC BY) license (https://creativecommons.org/licenses/by/4.0/).





