Ferula sinkiangensis (Chou-AWei, Chinese Ferula): Traditional Uses, Phytoconstituents, Biosynthesis, and Pharmacological Activities
Abstract
1. Introduction
2. Research Methodology
3. Taxonomy of F. sinkiangensis [32]
| Kingdom | Plantae |
| Division | Magnoliophyta |
| Class | Magnoliopsida |
| Family | Apiaceae |
| Genus | Ferula |
| Species | sinkiangensis |
4. Traditional Uses of F. sinkiangensis
5. Phytoconstituents of F. sinkiangensis
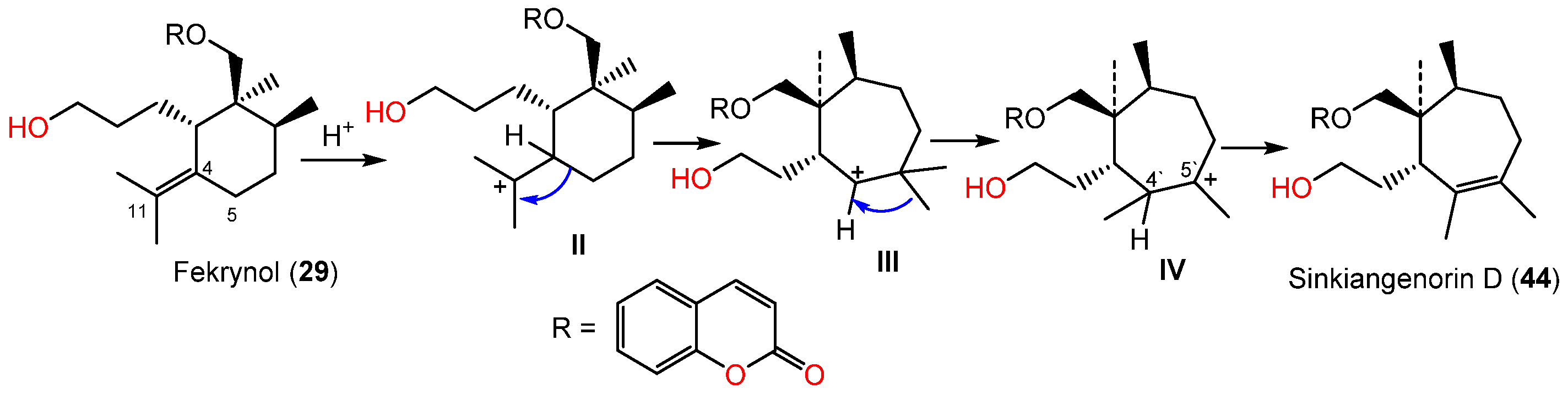
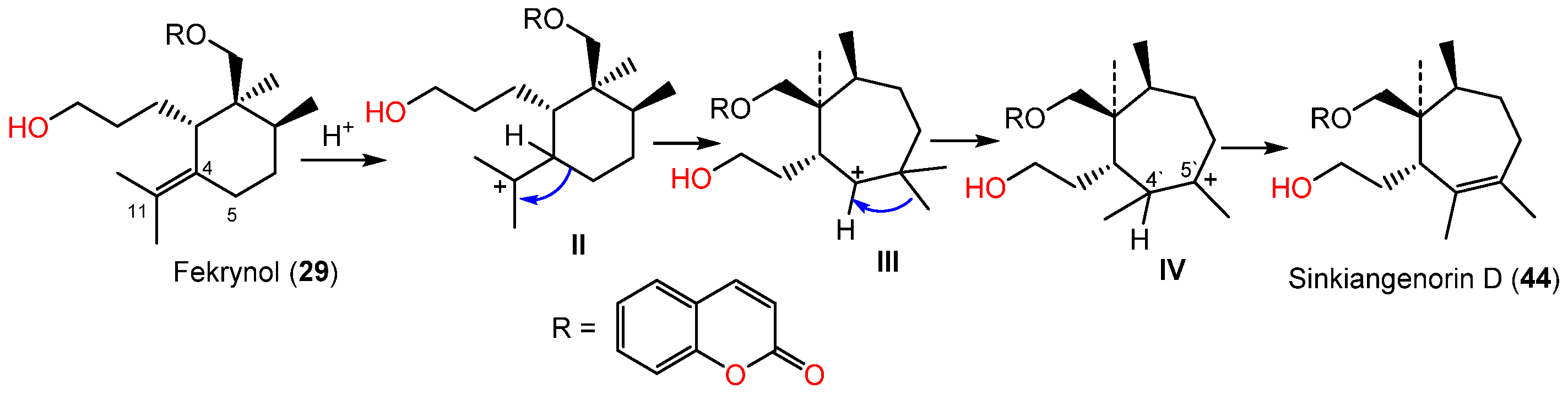
5.1. Sesquiterpene Coumarins
5.2. Sesquiterpene Chromones and Monoterpene Coumarins
5.3. Coumarins
5.4. Sesquiterpene Phenylpropanoids
5.5. Lignans
5.6. Sesquiterpenes and Monoterpenes
5.7. Sulfanes
5.8. Sterols
5.9. Phenolic Compounds and Other Metabolites
5.10. Polysaccharides
6. Biological Activities of F. sinkiangensis Extracts and Metabolites
6.1. Anti-Inflammatory and Anti-Neuroinflammatory Activity
6.2. Anticancer Activity
6.3. Antiviral, Insecticidal, and Antimicrobial Activities
6.4. Anti-Drug Addiction Activity
6.5. Protein-Tyrosine Phosphatase 1B Inhibition Activity
6.6. Antiulcer and Antioxidant Activities
6.7. Feed Attraction Activity
7. Traditional Ethnomedicinal Uses in Asian Countries
8. Conclusions
Supplementary Materials
Author Contributions
Funding
Institutional Review Board Statement
Informed Consent Statement
Data Availability Statement
Conflicts of Interest
Abbreviations
| 1D NMR | One-dimensional nuclear magnetic resonance |
| 2D NMR | Two-dimensional nuclear magnetic resonance |
| A549 | Human lung adenocarcinoma epithelial cell line |
| AGS | Human gastric carcinoma cell line |
| Bax/Bcl-2 | B-cell lymphoma protein 2 (Bcl-2)-associated X (Bax) |
| BCCAO | Bilateral common carotid artery occlusion |
| bFGF | Basic fibroblast growth factor |
| BGC-823 | Human gastric carcinoma cell line |
| n-BuOH | n-Butanol |
| BV-2 | Microglia cells |
| Caco-2 | Human colon adenocarcinoma cell line |
| Capan-2 | Human pancreatic cancer cell line |
| CCK-8 | Cell counting kit-8 |
| CD | Circular dichroism |
| Cdk2 | Cyclin dependent kinase 2 |
| CFPAC-1 | Human pancreatic cancer cell line |
| CHCl3 | Chloroform |
| CLL | Chronic lymphocytic leukemia |
| COX-2 | Cyclooxygenase-2 |
| CITES | Convention on International Trade in Endangered Species of Wild Fauna and Flora |
| DCFH-DA | 2′, 7′-Dichlorofluorescein diacetate |
| DEAE-Cellulose 52 | Diethylaminoethyl cellulose-52 |
| DPPH | 1,1-Diphenyl-2-picrylhydrazyl |
| EC50 | Half maximal effective concentration |
| ECD | Electronic circular dichroism |
| ELISA | Enzyme-linked immunosorbent assay |
| EtOH | Ethanol |
| EtOAc | Ethyl acetate |
| HR-ESIMS | High resolution electrospray ionization mass spectrometry |
| GES-1 | Human normal gastric epithelial cell line |
| GSK-3β | Glycogen synthase kinase-3β |
| H2O | Water |
| HCT-116 | Human colon cancer cell line |
| HepG2 | Human hepatocellular liver carcinoma cell line |
| HeLa | Human cervical epitheloid carcinoma cell line |
| HPLC | High-performance liquid chromatography |
| HUVECs | Human umbilical vein endothelial cell line |
| IC50 | Half-maximal inhibitory concentration |
| LD50 | Lethal dose 50, |
| IL-6 | Interleukin-6 |
| IL-1β | Interleukin-1beta |
| IR | Infrared |
| IOZCAS-Spex-II | A cell strain cloned from Spodoptera exigua cell line |
| IUCN | International Union for Conservation of Nature |
| K562 | Human erythroleukemic cell line |
| IR | Infrared |
| iNOS | Inducible nitric oxide synthase |
| LPS | Lipopolysaccharide |
| MAPK | Mitogen-activated protein kinase |
| MCAO | Middle cerebral artery occlusion |
| MDCK | Madin-Darby Canine Kidney |
| MeOH | Methanol |
| MFC | Mouse forestomach cancer cell line |
| MIC | Minimum inhibitory concentrations |
| MGC-803 | Human gastric cancer cell line |
| MMP2 and MMP9 | matrix metalloproteinases |
| MS | Mass spectrometry |
| MTT | 3-(4,5-Dimethylthiazol-2-yl)-2,5-diphenyltetrazolium bromide |
| NADPH | Nicotinamide adenine dinucleotide phosphate |
| NBT | Nitrotetrazolium blue chloride |
| NLRP3 | NLR family pyrin domain containing 3 |
| NO | Nitric oxide |
| P16 | Protein regulating the cell circle |
| P27 | A key protein that regulator of cell proliferation |
| P53 | Tumor suppressor protein |
| PANC-1 | Human pancreas ductal carcinoma cell line |
| PARP | Poly (ADP-ribose) polymerase |
| PC-3 | Human prostatic-testosterone-independent cell line |
| PCR | Polymerase chain reaction |
| PTP1B | Protein tyrosine phosphatase 1B |
| qRT-PCR | Quantitative real-time polymerase chain reaction |
| RAW264.7 | Mouse macrophage cell line |
| ROS | Reactive oxygen species |
| RP-18 | Reversed-phase-18 |
| SCs | Sesquiterpene coumarins |
| SRB | Sulforhodamine B |
| SiO2 CC | Silica gel column chromatography |
| SW1990 | Human pancreatic cancer cell line |
| TCF/LEF | T-cell factor/lymphoid enhancer factor |
| TLC | Thin layer chromatography |
| TLR4 | Toll-like receptor 4 |
| TNBC | Triple-negative breast cancer |
| TNF-α | Tumor necrosis factor alpha |
| TTC | 2, 3, 5-Triphenyltetrazoliumchloride |
| UV | Ultraviolet |
| Wnt | Wingless-related integration site |
References
- Balick, M.J. Transforming Ethnobotany for the New Millennium. Ann. Mo. Bot. Gard. 1996, 83, 58–66. [Google Scholar] [CrossRef]
- Garnatje, T.; Peñuelas, J.; Vallès, J. Reaffirming ‘ethnobotanical Convergence’. Trends Plant Sci. 2017, 22, 640–641. [Google Scholar] [CrossRef] [PubMed]
- Abdul, R.B. Medicinal plants (Importants and uses). Pharm. Anal. Acta 2012, 3, e139. [Google Scholar]
- Salmerón-Manzano, E.; Garrido-Cardenas, J.A.; Manzano-Agugliaro, F. Worldwide research trends on medicinal plants. Int. J. Environ. Res. Public Health 2020, 17, 3376. [Google Scholar] [CrossRef]
- Sahebkar, A.; Iranshahi, M. Volatile constituents of the genus Ferula (Apiaceae): A review. J. Essent. Oil-Bear. Plants 2011, 14, 504–531. [Google Scholar] [CrossRef]
- Ahmadi Koulaei, S.; Hadjiakhoondi, A.; Delnavazi, M.R.; Tofighi, Z.; Ajani, Y.; Kiashi, F. Chemical composition and biological activity of Ferula aucheri essential oil. Res. J. Pharmacogn. 2020, 7, 21–31. [Google Scholar]
- Wilson, L. Spices and Flavoring Crops: Tubers and Roots. In Encyclopedia of Food and Health; Caballero, B., Finglas, P.M., Toldrá, F., Eds.; Academic Press: Cambridge, MA, USA, 2016; pp. 93–97. [Google Scholar]
- Min, Z.; Mai, Q.; Mizuno, M.; Tanaka, T.; Iinuma, M. Polysulfanes in the volatile oils of Ferula species. Planta Med. 1987, 53, 300–302. [Google Scholar]
- Gonzalez, A.G.; Barrera, J.B. Chemistry and sources of mono-and bicyclic sesquiterpenes from Ferula species. In Fortschritte Der Chemie Organischer Naturstoffe/Progress in the Chemistry of Organic Natural Products; Anonymous; Springer: Berlin/Heidelberg, Germany, 1995; pp. 1–92. [Google Scholar]
- Fan, C.; Li, X.; Zhu, J.; Song, J.; Yao, H. Endangered Uyghur medicinal plant Ferula identification through the second internal transcribed spacer. Evid. Based Complement. Altern. Med. 2015, 2015, 479879. [Google Scholar] [CrossRef]
- Nazari, Z.E.; Iranshahi, M. Biologically active sesquiterpene coumarins from Ferula species. Phytother. Res. 2011, 25, 315–323. [Google Scholar] [CrossRef]
- Iranshahi, M.; Rezaee, R.; Najafi, M.N.; Haghbin, A.; Kasaian, J. Cytotoxic Activity of the genus Ferula (Apiaceae) and its bioactive constituents. Avicenna J. Phytomed. 2018, 8, 296. [Google Scholar]
- Sattar, Z.; Iranshahi, M. Phytochemistry and pharmacology of Ferula hermonis Boiss.—A review. Drug Res. 2017, 67, 437–446. [Google Scholar] [CrossRef]
- Teng, L.; Ma, G.Z.; Li, L.; Ma, L.Y.; Xu, X.Q. Karatavicinol a, a new anti-ulcer sesquiterpene coumarin from Ferula Sinkiangensis. Chem. Nat. Compd. 2013, 49, 606–609. [Google Scholar] [CrossRef]
- Mohammadhosseini, M.; Mahdavi, B.; Shahnama, M. Chemical composition of essential oils from aerial parts of Ferula Gummosa (Apiaceae) in Jajarm Region, Iran using traditional hydrodistillation and solvent-free microwave extraction methods: A comparative approach. J. Essent. Oil-Bear. Plants 2015, 18, 1321–1328. [Google Scholar] [CrossRef]
- Kumar, A.; Kumar, S.; Ramchiary, N.; Singh, P. Role of traditional ethnobotanical knowledge and indigenous communities in achieving sustainable development goals. Sustainability 2021, 13, 3062. [Google Scholar] [CrossRef]
- Li, G.; Li, X.; Cao, L.; Shen, L.; Zhu, J.; Zhang, J.; Wang, J.; Zhang, L.; Si, J. Steroidal esters from Ferula sinkiangensis. Fitoterapia 2014, 97, 247–252. [Google Scholar] [CrossRef]
- Yan, Y.; Bao, X.; Li, Y.; Li, Q.; Cheng, Y.; Jiao, Y.; Zhang, H. Racemic Norneolignans from the resin of Ferula sinkiangensis and their Cox-2 inhibitory activity. Fitoterapia 2023, 164, 105341. [Google Scholar] [CrossRef]
- Yang, J.; Jing, S.; Li, Z.; Qin, H. Chemical constituents from roots of Ferula sinkiangensis. Zhongguo Zhong Yao Za Zhi 2007, 32, 2382–2384. [Google Scholar]
- Fan, C.; Wang, G.; Qiu, Y.; Zhao, Y.; Zhang, J.; Song, J.; Li, X. The complete chloroplast genome sequence of Ferula sinkiangensis K.M. Shen, a precious and endangered traditional Chinese medicine. Mitochondrial DNA Part B 2021, 6, 1670–1672. [Google Scholar] [CrossRef]
- IUCN Red List of Threatened Species. Available online: https://www.iucnredlist.org (accessed on 25 January 2023).
- Convention on International Trade in Endangered Species of Wild Fauna and Flora. Available online: https://www.dcceew.gov.au/environment/wildlife-trade/cites (accessed on 25 January 2023).
- Li, L.P.; Cui, W.H.; Wang, T.; Tian, S.; Xing, W.J.; Yin, L.K.; Abdusalih, N.; Jiang, Y.M. Plant Conservation Priorities of Xinjiang Region, China. IOP Conf. Ser. Earth Environ. Sci. 2017, 57, 012034. [Google Scholar] [CrossRef]
- Zhang, L.; Si, J.; Li, G.; Li, X.; Zhang, L.; Gao, L.; Huo, X.; Liu, D.; Sun, X.; Cao, L. Umbelliprenin and lariciresinol isolated from a long-term-used herb medicine Ferula sinkiangensis induce apoptosis and G0/G1 arresting in gastric cancer cells. RSC Adv. 2015, 5, 91006–91017. [Google Scholar] [CrossRef]
- Guo, T.; Zhou, D.; Yang, Y.; Zhang, X.; Chen, G.; Lin, B.; Sun, Y.; Ni, H.; Liu, J.; Hou, Y. Bioactive sesquiterpene coumarins from the resin of Ferula sinkiangensis targeted on over-activation of microglia. Bioorg. Chem. 2020, 104, 104338. [Google Scholar] [CrossRef] [PubMed]
- Chen, G.Y.; Zhao, H. Effects of Ferulic sesquiterpene on intrahepatic egg granuloma in ducklings infected with Trichobilharzia. J. Tradit. Chin. Vet. Med. 2013, 2, 013. [Google Scholar]
- Li, G. Chemical constituents from seeds of Ferula sinkiangensis. Chin. Tradit. Herb. Drugs. 2015, 24, 1730–1736. [Google Scholar]
- Mi, Y.; Jiao, K.; Xu, J.; Wei, K.; Liu, J.; Meng, Q.; Guo, T.; Zhang, X.; Zhou, D.; Qing, D. Kellerin from Ferula sinkiangensis exerts neuroprotective effects after focal cerebral ischemia in rats by inhibiting microglia-mediated inflammatory responses. J. Ethnopharmacol. 2021, 269, 113718. [Google Scholar] [CrossRef] [PubMed]
- Wang, J.; Gao, Y.; Wang, H.; Chen, L.; Cao, L.; Xu, J.; Li, X.; Zhao, Y.; Zhu, J.; Si, J. Apoptosis induction and cell cycle arrest induced by sinkiangenone B, a novel phenylpropanoid derivative from the resin of Ferula sinkiangensis KM Shen. RSC Adv. 2018, 8, 4093–4103. [Google Scholar] [CrossRef]
- Yang, J.; An, Z.; Li, Z.; Jing, S.; Qina, H. Sesquiterpene coumarins from the roots of Ferula sinkiangensis and Ferula teterrima. Chem. Pharm. Bull. 2006, 54, 1595–1598. [Google Scholar] [CrossRef]
- Zhang, H.; Lu, J.; Zhou, L.; Jiang, L.; Zhou, M. Antioxidant and antitumor effects of Ferula sinkiangensis KM Shen. Int. J. Clin. Exp. Med. 2015, 8, 20845. [Google Scholar]
- Choudhary, S.; Walia, B.; Chaudhary, G. Ferula asafetida (Hing): A review based upon its Ayurvedic and pharmacological properties. Int. J. Pharm. Sci. Rev. Res. 2021, 68, 31–39. [Google Scholar] [CrossRef]
- Li, X.; Wang, Y.; Zhu, J.; Xiao, Q. Essential oil composition analysis of three cultivars seeds of Resina Ferulae from Xinjiang, China. Pharmacogn. Mag. 2011, 7, 116. [Google Scholar] [CrossRef]
- Ghulameden, S.; Yili, A.; Zhao, H.Q.; Gao, Y.H.; Aisa, H.A. Polysaccharides from Ferula sinkiangensis and potent inhibition of protein tyrosine phosphatase 1B. Chem. Nat. Compd. 2014, 50, 515–517. [Google Scholar] [CrossRef]
- Li, Y.; Yang, B.; Zheng, S.; Cheng, Y.; Cui, H. Racemic norlignans as diastereoisomers from Ferula sinkiangensis resins with antitumor and wound-healing promotion activities. Molecules 2022, 27, 3907. [Google Scholar] [CrossRef]
- Wang, Z. Asafetida Extract as Medicine for Abstinence of Drugs. U.S. Patent 7,288,269, 30 October 2007. [Google Scholar]
- Zhu, W.; Zhang, Y.; Huang, Y.; Lu, L. Chinese Herbal Medicine for The Treatment of Drug Addiction. Int. Rev. Neurobiol. 2017, 135, 279–295. [Google Scholar]
- Xi, S.; Gong, Y. Essentials of Chinese Materia Medica and Medical Formulas: New Century Traditional Chinese Medicine; Academic Press: Cambridge, MA, USA, 2017. [Google Scholar]
- Wang, J.; Wang, H.; Zhang, M.; Li, X.; Zhao, Y.; Chen, G.; Si, J.; Jiang, L. Sesquiterpene coumarins from Ferula sinkiangensis KM Shen and their cytotoxic activities. Phytochemistry 2020, 180, 112531. [Google Scholar] [CrossRef]
- Wang, J.; Meng, X.; Zheng, Y.; Sang, C.; Wang, W.; Ma, J.; Zhao, Y.; Yang, J. (±)-Ferulasin, unusual sesquiterpene chromones from Ferula sinkiangensis. Tetrahedron 2022, 122, 132953. [Google Scholar]
- Liu, T.; Wang, L.; Zhang, L.; Jiang, H.; Zhang, Y.; Mao, L. Insecticidal, cytotoxic and anti-phytopathogenic fungal activities of chemical constituents from the aerial parts of Ferula sinkiangensis. Nat. Prod. Res. 2020, 34, 1430–1436. [Google Scholar] [CrossRef]
- Mohammadhosseini, M.; Venditti, A.; Sarker, S.D.; Nahar, L.; Akbarzadeh, A. The genus Ferula: Ethnobotany, phytochemistry and bioactivities—A review. Indust. Crops Prod. 2019, 129, 350–394. [Google Scholar] [CrossRef]
- Wang, J.; Zhao, Y.; Qiang, Y. Chemical constituents from Ferula sinkiangensis and their chemotaxonomic significance. Biochem. Syst. Ecol. 2022, 105, 104519. [Google Scholar]
- Li, Q.; Li, J.; Bao, X.; Zhang, S.; Luo, Q.; Li, K.; Jiao, Y.; Cheng, Y.; Yan, Y. Unusual sesquilignans with anti-inflammatory activities from the resin of Ferula sinkiangensis. Bioorg. Chem. 2022, 127, 105986. [Google Scholar]
- Zhang, M.; Zhu, Y.; Zhan, G.; Shu, P.; Sa, R.; Lei, L.; Xiang, M.; Xue, Y.; Luo, Z.; Wan, Q.; et al. Micranthanone A, a new diterpene with an unprecedented carbon skeleton from Rhododendron micranthum. Org. Lett. 2013, 15, 3094–3097. [Google Scholar] [CrossRef]
- Yi, X.; Li, Z.; Zheng, Q.; Sang, R.; Li, H.; Gao, G.; Qin, Q.; Zhu, N. Three new tetrahydrobenzofuran derivatives from Ferula sinkiangensis KM shen and their cytotoxic activities. Nat. Prod. Res. 2022, 1–5. [Google Scholar] [CrossRef]
- Wulamu, S.; Yimamu, H.; Abuduwaili, A.; Mutailifu, P.; Maksimov, V.V.; Gao, Y.H.; Yili, A.; Aisa, H.A. Determination of the inhibitory activity of Ferula sinkiangensis polysaccharides for protein tyrosine phosphatase 1B. Chem. Nat. Compd. 2019, 55, 235–238. [Google Scholar] [CrossRef]
- Xing, Y.; Li, N.; Zhou, D.; Chen, G.; Jiao, K.; Wang, W.; Si, Y.; Hou, Y. Sesquiterpene coumarins from Ferula sinkiangensis act as neuroinflammation inhibitors. Planta Med. 2017, 83, 135–142. [Google Scholar] [CrossRef] [PubMed]
- Zhang, W.; Mi, Y.; Jiao, K.; Xu, J.; Guo, T.; Zhou, D.; Zhang, X.; Ni, H.; Sun, Y.; Wei, K. Kellerin alleviates cognitive impairment in mice after ischemic stroke by multiple mechanisms. Phytother. Res. 2020, 34, 2258–2274. [Google Scholar] [CrossRef]
- Li, G.; Wang, J.; Li, X.; Cao, L.; Gao, L.; Lv, N.; Si, J. An unusual sesquiterpene coumarin from the seeds of Ferula sinkiangensis. J. Asian Nat. Prod. Res. 2016, 18, 891–896. [Google Scholar] [CrossRef] [PubMed]
- Li, G.; Li, X.; Cao, L.; Zhang, L.; Shen, L.; Zhu, J.; Wang, J.; Si, J. Sesquiterpene coumarins from seeds of Ferula sinkiangensis. Fitoterapia 2015, 103, 222–226. [Google Scholar] [CrossRef]
- Li, G.; Wang, J.; Li, X.; Cao, L.; Lv, N.; Chen, G.; Zhu, J.; Si, J. Two New sesquiterpene coumarins from the seeds of Ferula sinkiangensis. Phytochem. Lett. 2015, 13, 123–126. [Google Scholar] [CrossRef]
- Ziai, S.A.; Gholami, O.; Iranshahi, M.; Zamani, A.H.; Jeddi-Tehrani, M. Umbelliprenin induces apoptosis in cll cell lines. Iran. J. Pharm. Res. 2012, 11, 653. [Google Scholar]
- Gholami, O.; Jeddi-Tehrani, M.; Iranshahi, M.; Zarnani, A.H.; Ziai, S.A. Umbelliprenin from Ferula szowitsiana activates both intrinsic and extrinsic pathways of apoptosis in jurkat T-CLL cell line. Iran. J. Pharm. Res. 2013, 12, 371. [Google Scholar]
- Zhang, L.; Sun, X.; Si, J.; Li, G.; Cao, L. Umbelliprenin isolated from Ferula sinkiangensis inhibits tumor growth and migration through the disturbance of Wnt signaling pathway in gastric cancer. PLoS ONE 2019, 14, e0207169. [Google Scholar] [CrossRef]
- Florence, C.; Luo, F.; Xu, L.; Zhou, C. The economic burden of prescription opioid overdose, abuse and dependence in the United States, 2013. Med. Care 2016, 54, 901. [Google Scholar] [CrossRef]
- Kenna, G.A.; Nielsen, D.M.; Mello, P.; Schiesl, A.; Swift, R.M. Pharmacotherapy of dual substance abuse and dependence. CNS Drugs 2007, 21, 213–237. [Google Scholar] [CrossRef]
- Murphy, S.A.; Lynch, K.G.; Oslin, D.; McKay, J.R.; TenHave, T. Developing adaptive treatment strategies in substance abuse research. Drug Alcohol Depend. 2007, 88, S24–S30. [Google Scholar] [CrossRef]
- Volkow, N.D.; Jones, E.B.; Einstein, E.B.; Wargo, E.M. Prevention and treatment of opioid misuse and addiction: A review. JAMA Psychiatry 2019, 76, 208–216. [Google Scholar] [CrossRef]
- Ye, B.; Wang, S.; Zhang, L. Studies on the detoxification effects and acute toxicity of a mixture of cis-sec-butyl-1-propoenyl disulphide and trans-sec-butyl-1-propoenyl disulphide isolated from crude essential oil of Ferula sinkiangensis KM Shen, a Chinese traditional herbal medicine. Nat. Prod. Res. 2011, 25, 1161–1170. [Google Scholar]
- Xu, A.; Shang-Guan, J.; Li, Z.; Gao, Z.; Huang, Y.C.; Chen, Q. Effects of dietary asafoetida (Ferula sinkiangensis KM Shen) levels on feeding attraction activity, growth performance, healthiness, and digestive enzyme activity in juvenile Lateolabrax japonicus. Fish Physiol. Biochem. 2020, 46, 1991–2003. [Google Scholar] [CrossRef]
- Refaz, A.D.; Mohd, S.; Parvaiz, H.Q. Overview of medicinal plants spread and their uses in Asia. J. Phytopharmacol. 2017, 6, 349–351. [Google Scholar]
- Traditional Medicine: Definition; World Health Organization: Geneva, Switzerland, 2013; Available online: http://www.who.int/medicines/areas/traditional/definitions/en/ (accessed on 26 January 2023).
- Zhu, Z.; Wang, T.; Fu, D.; Gui, Y.; Wang, J.; Cui, T. Innovative development path of ethnomedicines: An overview of ethnomedicines in China. Front. Med. 2016, 10, 166–177. [Google Scholar] [CrossRef]
- Gu, S.; Pei, J. Innovating Chinese herbal medicine: From traditional health practice to scientific drug discovery. Front. Pharmacol. 2017, 8, 381. [Google Scholar] [CrossRef]
- Astutik, S.; Pretzsch, J.; Ndzifon Kimengsi, J. Asian medicinal plants’ production and utilization potentials: A review. Sustainability 2019, 11, 5483. [Google Scholar] [CrossRef]
- Liu, B.; Guo, Z.; Bussmann, R.; Li, F.; Li, J.; Hong, L.; Long, C. Ethnobotanical approaches of traditional medicine studies in Southwest China: A literature review. J. Ethnopharmacol. 2016, 186, 343–350. [Google Scholar] [CrossRef]
- Xiong, Y.; Sui, X.; Ahmed, S.; Wang, Z.; Long, C. Ethnobotany and diversity of medicinal plants used by the Buyi in Eastern Yunnan, China. Plant Divers. 2020, 42, 401–414. [Google Scholar] [CrossRef] [PubMed]


























| Compound Name | Biological Activity | Assay, Organism or Cell Line | Biological Results | Ref. | |
|---|---|---|---|---|---|
| Compound | Positive Control | ||||
| Farnesiferol A (1) | Anticancer | MTT/HeLa | 20.0 µM (IC50) | Taxol 7.5 µM (IC50) | [39] |
| Colladonin (2) | Anticancer | MTT/AGS | 85.5 µM (IC50) | Taxol 3.5 µM (IC50) | [50] |
| Coladin (3) | Anti-neuroinflammatory | Griess reaction/NO production/LPS-activated BV-2 cells | 60.5 µM (IC50) | Minocycline 65.5 µM (IC50) | [25] |
| Farnesiferone A (5) | Anti-neuroinflammatory | Griess reaction/NO production/LPS-activated BV-2 cells | 37.88 µM (IC50) | Minocycline 37.04 µM (IC50) | [48] |
| Griess reaction/NO production/LPS-activated BV-2 cells | 37.9 µM (IC50) | Minocycline 65.5 µM (IC50) | [25] | ||
| Anticancer | MTT/HeLa | 23.0 µM (IC50) | Taxol 7.5 µM (IC50) | [39] | |
| MTT/MGC-803 | 49.0 µM (IC50) | Taxol 3.4 µM (IC50) | [39] | ||
| MTT/AGS | 32.0 µM (IC50) | Taxol 1.8 µM (IC50) | [39] | ||
| Gummosin (7) | Anti-neuroinflammatory | Griess reaction/NO production/LPS-activated BV-2 cells | 6.93 µM (IC50) | Minocycline 37.04 µM (IC50) | [48] |
| Polyanthinin (8) | Anti-neuroinflammatory | Griess reaction/NO production/LPS-activated BV-2 cells | 19.88 µM (IC50) | Minocycline 37.04 µM (IC50) | [48] |
| Griess reaction/NO production/LPS-activated BV-2 cells | 37.3 µM (IC50) | Minocycline 65.5 µM (IC50) | [25] | ||
| Anticancer | MTT/HeLa | 28.0 µM (IC50) | Taxol 7.5 µM (IC50) | [39] | |
| Anticancer | MTT/MGC-803 | 45.0 µM (IC50) | Taxol 3.4 µM (IC50) | [39] | |
| Anticancer | MTT/AGS | 24.0 µM (IC50) | Taxol 1.8 µM (IC50) | [39] | |
| Sinkiangenol E (10) | Anticancer | MTT/HeLa | 16.0 µM (IC50) | Taxol 7.5 µM (IC50) | [39] |
| Ferukrin (11) | Anti-neuroinflammatory | Griess reaction/NO production/LPS-activated BV-2 cells | 21.34 µM (IC50) | Minocycline 37.04 µM (IC50) | [48] |
| (3`S, 5`S, 8`R, 9`S, 10`R)-Kellerin (12) | Anti-neuroinflammatory | Griess reaction/NO production/LPS-activated BV-2 cells | 4.96 µM (IC50) | Minocycline 37.04 µM (IC50) | [48] |
| Anticancer | MTT/HeLa | 37.0 µM (IC50) | Taxol 7.5 µM (IC50) | [39] | |
| (3`S, 5`S, 8`R, 9`S, 10`R)-Deacetylkellerin (13) | Anti-neuroinflammatory | Griess reaction/NO production/LPS-activated BV-2 cells | 31.61 µM (IC50) | Minocycline 37.04 µM (IC50) | [48] |
| Episamarcandin (15) | Anticancer | MTT/AGS | 83.8 µM (IC50) | Taxol 3.5 µM (IC50) | [50] |
| Lehmannolol (24) | Anticancer | MTT/AGS | 26.0 µM (IC50) | Taxol 3.5 µM (IC50) | [50] |
| Anticancer | MTT/HeLa | 42.0 µM (IC50) | Taxol 7.5 µM (IC50) | [39] | |
| Lehmannolone (25) | Anticancer | MTT/HeLa | 81.1 µM (IC50) | Taxol 5.6 µM (IC50) | [50] |
| Anti-neuroinflammatory | Griess reaction/NO production/LPS-activated BV-2 cells | 93.8 µM (IC50) | Minocycline 65.5 µM (IC50) | [25] | |
| Ferusingensine H (28) | Anti-neuroinflammatory | Griess reaction/NO production/LPS-activated BV-2 cells | 18.6 µM (IC50) | Minocycline 65.5 µM (IC50) | [25] |
| Fekrynol (29) | Anti-neuroinflammatory | Griess reaction/NO production/LPS-activated BV-2 cells | 13.0 µM (IC50) | Minocycline 65.5 µM (IC50) | [25] |
| Anticancer | MTT/HeLa | 35.0 µM (IC50) | Taxol 7.5 µM (IC50) | [39] | |
| MTT/MGC-803 | 49.0 µM (IC50) | Taxol 3.4 µM (IC50) | [39] | ||
| MTT/AGS | 20.0 µM (IC50) | Taxol 1.8 µM (IC50) | [39] | ||
| Fekrynol acetate (30) | Anti-neuroinflammatory | Griess reaction/NO production/LPS-activated BV-2 cells | 15.7 µM (IC50) | Minocycline 65.5 µM (IC50) | [25] |
| Anticancer | MTT/HeLa | 25.0 µM (IC50) | Taxol 7.5 µM (IC50) | [39] | |
| MTT/MGC-803 | 28.0 µM (IC50) | Taxol 3.4 µM (IC50) | [39] | ||
| (8`S, 9`S, 10`S)-Propionyl fekrynol (31) | Anti-neuroinflammatory | Griess reaction/NO production/LPS-activated BV-2 cells | 21.3 µM (IC50) | Minocycline 65.5 µM (IC50) | [25] |
| Galbanic acid (32) | Anti-neuroinflammatory | Griess reaction/NO production/LPS-activated BV-2 cells | 10.50 µM (IC50) | Minocycline 37.04 µM (IC50) | [48] |
| Anticancer | MTT/HeLa | 43.0 µM (IC50) | Taxol 7.5 µM (IC50) | [39] | |
| Methyl galbanate (33) | Anti-neuroinflammatory | Griess reaction/NO production/LPS-activated BV-2 cells | 5.95 µM (IC50) | Minocycline 37.04 µM (IC50) | [48] |
| Fekolone (34) | Anticancer | MTT/AGS | 75.4 µM (IC50) | Taxol 3.5 µM (IC50) | [50] |
| Sinkianone (35) | Anticancer | MTT/HeLa | 77.9 µM (IC50) | Taxol 5.6 µM (IC50) | [50] |
| Ferusingensine G (38) | Anti-neuroinflammatory | Griess reaction/NO production/LPS-activated BV-2 cells | 1.2 µM (IC50) | Minocycline 65.5 µM (IC50) | [25] |
| Farnesiferol B (39) | Anti-neuroinflammatory | Griess reaction/NO production/LPS-activated BV-2 cells | 45.37 µM (IC50) | Minocycline 37.04 µM (IC50) | [48] |
| Farnesiferone B (40) | Anti-neuroinflammatory | Griess reaction/NO production/LPS-activated BV-2 cells | 18.3 µM (IC50) | Minocycline 65.5 µM (IC50) | [25] |
| Farnesiferol C (41) | Anti-neuroinflammatory | Griess reaction/NO production/LPS-activated BV-2 cells | 31.43 µM (IC50) | Minocycline 37.04 µM (IC50) | [48] |
| Griess reaction/NO production/LPS-activated BV-2 cells | 22.6 µM (IC50) | Minocycline 65.5 µM (IC50) | [25] | ||
| Anticancer | MTT/HeLa | 86.9 µM (IC50) | Taxol 5.6 µM (IC50) | [50] | |
| Anticancer | MTT/AGS | 101.6 µM (IC50) | Taxol 3.5 µM (IC50) | [50] | |
| Anticancer | MTT/HeLa | 25.0 µM (IC50) | Taxol 7.5 µM (IC50) | [39] | |
| Sinkiangenorin F (42) | Anticancer | MTT/AGS | 27.1 µM (IC50) | Taxol 3.5 µM (IC50) | [51] |
| 8-O-Acetyl sinkiangenorin F (43) | Anticancer | MTT/AGS | 62.78 µM (IC50) | Taxol 3.5 µM (IC50) | [51] |
| Sinkiangenorin D (44) | Anticancer | MTT/HeLa | 20.4 µM (IC50) | Taxol 5.6 µM (IC50) | [50] |
| Anticancer | MTT/K562 | 81.1 µM (IC50) | Taxol 8.5 µM (IC50) | [50] | |
| Anticancer | MTT/AGS | 104.8 µM (IC50) | Taxol 3.5 µM (IC50) | [50] | |
| Sinkiangenorin E (45) | Anticancer | MTT/AGS | 12.7 µM (IC50) | Taxol 3.5 µM (IC50) | [52] |
| MTT/HeLa | 82.9 µM (IC50) | Taxol 5.6 µM (IC50) | [52] | ||
| Antiviral | A/Beijing/7/2009 H1N1 (BJ09/H1N1) | 4.0 µM (IC50) | - | [52] | |
| Ferusingensine F (46) | Anti-neuroinflammatory | Griess reaction/NO production/LPS-activated BV-2 cells | 29.0 µM (IC50) | Minocycline 65.5 µM (IC50) | [25] |
| Umbelliprenin (52) | Anticancer | MTT/AGS | 12.7 µM (IC50) | Taxol 3.5 µM (IC50) | [50] |
| 10R-Karatavicinol (53) | Anti-neuroinflammatory | Griess reaction/NO production/LPS-activated BV-2 cells | 47.43 µM (IC50) | Minocycline 37.04 µM (IC50) | [48] |
| 12′-Hydroxy-karatavicinol (54) | Anticancer | MTT/HeLa | 48.0 µM (IC50) | Taxol 7.5 µM (IC50) | [39] |
| Ferusingensine A (56) | Anti-neuroinflammatory | Griess reaction/NO production/LPS-activated BV-2 cells | 31.8 µM (IC50) | Minocycline 65.5 µM (IC50) | [25] |
| Ferusingensine E (60) | Anti-neuroinflammatory | Griess reaction/NO production/LPS-activated BV-2 cells | 65.4 µM (IC50) | Minocycline 65.5 µM (IC50) | [25] |
| (+)-Ferulasin 2R, 3R, 10`R (61) | Anticancer | MTT/SW1990 | 11.77 µM (IC50) | Taxol 1.70 µM (IC50) | [40] |
| Anticancer | MTT/PANC-1 | 2.24 µM (IC50) | Taxol 0.22 µM (IC50) | [40] | |
| Anticancer | MTT/CFPAC-1 | 6.12 µM (IC50) | Taxol 0.38 µM (IC50) | [40] | |
| Anticancer | MTT/Capan-2 | 8.57 µM (IC50) | Taxol 0.51 µM (IC50) | [40] | |
| (-)-Ferulasin 2S, 3S, 10`S (62) | Anticancer | MTT/PANC-1 | 0.92 µM (IC50) | Taxol 0.22 µM (IC50) | [40] |
| Anticancer | MTT/CFPAC-1 | 19.13 µM (IC50) | Taxol 0.38 µM (IC50) | [40] | |
| Ferusinkin A (63) | Anticancer | Spectrophotometrically/IOZCAS-Spex-II | 65.38 µM (EC50) | Camptothecin 51.27 µM (EC50) | [41] |
| Diversin (64) | Anticancer | Spectrophotometrically/IOZCAS-Spex-II | 52.67 µM (EC50) | Camptothecin 51.27 µM (EC50) | [41] |
| Auraptene (65) | Anticancer | Spectrophotometrically/IOZCAS-Spex-II | 22.78 µM (EC50) | Camptothecin 51.27 µM (EC50) | [41] |
| Sinkiangenone A (69) | Anticancer | MTT/MGC-803 | 45.05 µM (IC50) | Taxol 3.35 µM (IC50) | [29] |
| Anticancer | MTT/AGS | 48.13 µM (IC50) | Taxol 1.82 µM (IC50) | [29] | |
| Anticancer | MTT/GES-1 | 32.37 µM (IC50) | Taxol 2.67 µM (IC50) | [29] | |
| Sinkiangenone B (70) | Anticancer | MTT/MGC-803 | 18.89 µM (IC50) | Taxol 3.35 µM (IC50) | [29] |
| Anticancer | MTT/AGS | 16.15 µM (IC50) | Taxol 1.82 µM (IC50) | [29] | |
| Anticancer | MTT/GES-1 | 36.73 µM (IC50) | Taxol 2.67 µM (IC50) | [29] | |
| Ferulaeone G (72) | Anticancer | MTT/MGC-803 | 35.15 µM (IC50) | Taxol 3.35 µM (IC50) | [29] |
| Anticancer | MTT/GES-1 | 35.23 µM (IC50) | Taxol 2.67 µM (IC50) | [29] | |
| Arctigenin (77) | Anticancer | MTT/AGS | 78.3 µM (IC50) | Taxol 3.5 µM (IC50) | [17] |
| Anticancer | MTT/HeLa | 105.1 µM (IC50) | Taxol 5.6 µM (IC50) | [17] | |
| Matairesinol (78) | Anticancer | MTT/AGS | 99.4 µM (IC50) | Taxol 3.5 µM (IC50) | [17] |
| Nerolidol (120) | Anticancer | Spectrophotometrically/IOZCAS-Spex-II | 14.64 µM (EC50) | Camptothecin 51.27 µM (EC50) | [41] |
| Antifungal | Microdilution/Alternaria alternata | 32.0 μg/mL (MIC) | Carbendazim 16.0 μg/mL (MIC) | [41] | |
| Microdilution/Pyricularia grisea | 16.0 μg/mL (MIC) | Carbendazim 32.0 μg/mL (MIC) | [41] | ||
| Microdilution/Botrytis cinerea | 32.0 μg/mL (MIC) | Carbendazim 32.0 μg/mL (MIC) | [41] | ||
| Guaiol (122) | Anticancer | Spectrophotometrically/IOZCAS-Spex-II | 88.92 µM (EC50) | Camptothecin 51.27 µM (EC50) | [41] |
| Coniferaldehyde (167) | Anticancer | MTT/MGC-803 | 69.65 µM (IC50) | Taxol 3.35 µM (IC50) | [29] |
| Sinkiangensis A (182) | Anticancer | MTT/AGS | 87.1 µM (IC50) | Taxol 4.69 µM (IC50) | [46] |
| Sinkiangensis B (183) | Anticancer | MTT/AGS | 72.7 µM (IC50) | Taxol 4.69 µM (IC50) | [46] |
| Sinkiangensis C (184) | Anticancer | MTT/AGS | 15.6 µM (IC50) | Taxol 4.69 µM (IC50) | [46] |
| Sinkiangenrin C (192) | Anticancerity | MTT/AGS | 36.9 µM (IC50) | Taxol 3.5 µM (IC50) | [17] |
Disclaimer/Publisher’s Note: The statements, opinions and data contained in all publications are solely those of the individual author(s) and contributor(s) and not of MDPI and/or the editor(s). MDPI and/or the editor(s) disclaim responsibility for any injury to people or property resulting from any ideas, methods, instructions or products referred to in the content. |
© 2023 by the authors. Licensee MDPI, Basel, Switzerland. This article is an open access article distributed under the terms and conditions of the Creative Commons Attribution (CC BY) license (https://creativecommons.org/licenses/by/4.0/).
Share and Cite
Khayat, M.T.; Alharbi, M.; Ghazawi, K.F.; Mohamed, G.A.; Ibrahim, S.R.M. Ferula sinkiangensis (Chou-AWei, Chinese Ferula): Traditional Uses, Phytoconstituents, Biosynthesis, and Pharmacological Activities. Plants 2023, 12, 902. https://doi.org/10.3390/plants12040902
Khayat MT, Alharbi M, Ghazawi KF, Mohamed GA, Ibrahim SRM. Ferula sinkiangensis (Chou-AWei, Chinese Ferula): Traditional Uses, Phytoconstituents, Biosynthesis, and Pharmacological Activities. Plants. 2023; 12(4):902. https://doi.org/10.3390/plants12040902
Chicago/Turabian StyleKhayat, Maan T., Majed Alharbi, Kholoud F. Ghazawi, Gamal A. Mohamed, and Sabrin R. M. Ibrahim. 2023. "Ferula sinkiangensis (Chou-AWei, Chinese Ferula): Traditional Uses, Phytoconstituents, Biosynthesis, and Pharmacological Activities" Plants 12, no. 4: 902. https://doi.org/10.3390/plants12040902
APA StyleKhayat, M. T., Alharbi, M., Ghazawi, K. F., Mohamed, G. A., & Ibrahim, S. R. M. (2023). Ferula sinkiangensis (Chou-AWei, Chinese Ferula): Traditional Uses, Phytoconstituents, Biosynthesis, and Pharmacological Activities. Plants, 12(4), 902. https://doi.org/10.3390/plants12040902

