Avenanthramides, Distinctive Hydroxycinnamoyl Conjugates of Oat, Avena sativa L.: An Update on the Biosynthesis, Chemistry, and Bioactivities
Abstract
1. Introduction
2. Avenanthramides as Distinctive Oat Phytochemicals
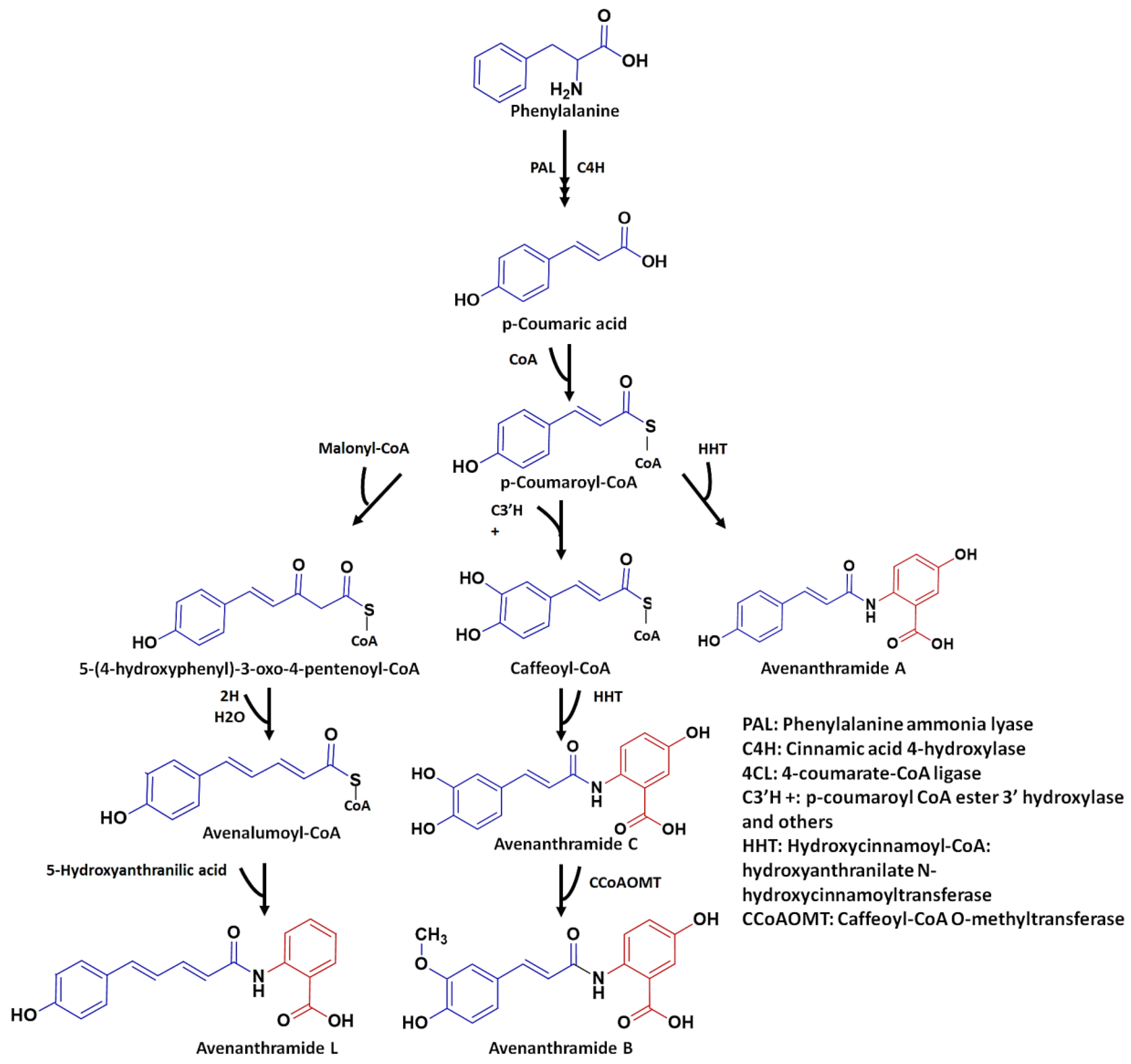
3. Biosynthesis of Avenanthramides
4. Diversity of Avenanthramide Structures and Associated Nomenclature
5. Avenanthramide Extraction and Detection
6. Post-Synthesis Alterations: Isomerisation and Dimerisation
7. In Planta Bioactivities of Avenanthramides
8. Health-Beneficial Properties of Avenanthramides
9. Biotechnological Approaches for Avenanthramide Synthesis
10. Concluding Remarks and Future Perspectives
Author Contributions
Funding
Data Availability Statement
Acknowledgments
Conflicts of Interest
References
- Méteignier, L.-V.; Nützmann, H.-W.; Papon, N.; Osbourn, A.; Courdavault, V. Emerging mechanistic insights into the regulation of specialized metabolism in plants. Nat. Plants 2023, 9, 22–30. [Google Scholar] [CrossRef] [PubMed]
- D’Auria, J.C. Acyltransferases in plants: A good time to be BAHD. Curr. Opin. Plant Biol. 2006, 9, 331–340. [Google Scholar] [CrossRef]
- Petersen, M. Hydroxycinnamoyltransferases in plant metabolism. Phytochem. Rev. 2016, 15, 699–727. [Google Scholar] [CrossRef]
- Zeiss, D.R.; Piater, L.A.; Dubery, I.A. Hydroxycinnamate amides: An intriguing combination of plant protective metabolites. Trends Plant Sci. 2021, 26, 184. [Google Scholar] [CrossRef] [PubMed]
- Bontpart, T.; Cheynier, V.; Ageorges, A.; Terrier, N. BAHD or SCPL acyltransferase? What a dilemma for acylation in the world of plant phenolic compounds. New Phytol. 2015, 208, 695–707. [Google Scholar] [CrossRef]
- Boz, H. Phenolic amides (avenanthramides) in oats—A review. Czech J. Food Sci. 2015, 33, 399–404. [Google Scholar] [CrossRef]
- Sang, S.; Chu, Y. Whole grain oats, more than just a fiber: Role of unique phytochemicals. Molec. Nutr. Food Res. 2017, 61, 1600715. [Google Scholar] [CrossRef]
- Leonova, A.; Gnutikov, I.; Loskutov, E.; Blinova, K.-E.; Gustafsson, O.; Olsson, O. Diversity of avenanthramide content in wild and cultivated oats. Proc. Appl. Bot. Genet. Breed. 2020, 181, 30–47. [Google Scholar] [CrossRef]
- Matilla, P.; Pihlava, J.-M.; Hellstrom, J. Contents of phenolic acids, alkyl- and alkenylresorcinols, and avenanthramides in commercial grain products. J. Agric. Food Chem. 2005, 53, 8290–8295. [Google Scholar] [CrossRef]
- Perrelli, A.; Goitre, l.; Salzano, A.M.; Moglia, A.; Scaloni, A.; Retta, S.F. Biological activities, health benefits, and therapeutic properties of avenanthramides: From skin protection to prevention and treatment of cerebrovascular diseases. Oxid. Med. Cell. Longev. 2018, 2018, 6015351. [Google Scholar] [CrossRef]
- Dvořáček, V.; Jágr, M.; Kotrbová Kozak, A.; Capouchová, I.; Konvalina, P.; Faměra, O.; Hlásná Čepková, P. Avenanthramides: Unique bioactive substances of oat grain in the context of cultivar, cropping system, weather conditions and other grain parameters. Plants 2021, 10, 2485. [Google Scholar] [CrossRef] [PubMed]
- Collins, F.; Mullin, W. High-performance liquid chromatographic determination of avenanthramides, n-aroylanthranilic acid alkaloids from oats. J. Chrom. A 1988, 445, 363–370. [Google Scholar] [CrossRef]
- Woolman, M.; Liu, K. Simplified analysis and expanded profiles of avenanthramides in oat grains. Foods 2022, 16, 560. [Google Scholar] [CrossRef] [PubMed]
- Wise, M.L. Avenanthramides: Chemistry and biosynthesis. In Oats Nutrition and Technology; Chu, Y.F., Ed.; John Wiley: New York, NY, USA, 2013; pp. 195–226. [Google Scholar]
- Matsukawa, T.; Isobe, T.; Ishihara, A.; Iwamura, H. Occurrence of avenanthramides and hydroxycinnamoyl-CoA:hydroxyanthranilate N-hydroxycinnamoyltransferase activity in oat seeds. Z. Naturforsch. 2000, 55, 30–36. [Google Scholar] [CrossRef]
- de Bruijn, W.J.; van Dinteren, S.; Gruppen, H.; Vincken, J.P. Mass spectrometric characterisation of avenanthramides and enhancing their production by germination of oat (Avena sativa). Food Chem. 2019, 277, 682–690. [Google Scholar] [CrossRef]
- Wise, M.L.; Sreenath, H.K.; Skadsen, R.W.; Kaeppler, H.F. Biosynthesis of avenanthramides in suspension cultures of oat (Avena sativa). Plant Cell Tissue Organ Cult. 2009, 97, 81–90. [Google Scholar] [CrossRef]
- Yuan, Z.; Yang, H.; Pan, L.; Zhao, W.; Liang, L.; Gatera, A.; Tucker, M.R.; Xu, D. Systematic identification and expression profiles of the BAHD superfamily acyltransferases in barley (Hordeum vulgare). Sci. Rep. 2022, 12, 5063. [Google Scholar] [CrossRef]
- Yang, Q.; Reinhard, K.; Schiltz, E.; Matern, U. Characterization and heterologous expression of hydroxycinnamoyl/benzoyl-CoA:anthranilate N-hydroxycinnamoyl/benzoyltransferase from elicited cell cultures of carnation, Dianthus caryophyllus L. Plant Molec. Biol. 1997, 35, 777–789. [Google Scholar] [CrossRef]
- Kruse, L.H.; Weigle, A.T.; Irfan, M.; Martínez-Gómez, J.; Chobirko, J.D.; Schaffer, J.E.; Bennett, A.A.; Specht, C.D.; Jez, J.M.; Shukla, D.; et al. Multiple routes of functional diversification of the plant BAHD acyltransferase family revealed by comparative biochemical and genomic analyses. bioRxiv 2021. [Google Scholar] [CrossRef]
- Weng, J.-K.; Lynch, J.H.; Matos, J.O.; Dudareva, N. Adaptive mechanisms of plant specialized metabolism connecting chemistry to function. Nat. Chem. Biol. 2021, 17, 1037–1045. [Google Scholar] [CrossRef]
- Yang, Q.; Trinh, H.X.; Imai, S.; Ishihara, A.; Zhang, L.; Nakayashiki, H.; Tosa, Y.; Mayama, S. Analysis of the involvement of hydroxyanthranilate hydroxycinnamoyltransferase and caffeoyl-CoA 3-O-methyltransferase in phytoalexin biosynthesis in oat. Molec. Plant Micr. Interact. 2004, 17, 81–89. [Google Scholar] [CrossRef] [PubMed]
- Lee, S.J.; Sim, G.Y.; Kang, H.; Yeo, W.S.; Kim, B.G.; Ahn, J.H. Synthesis of avenanthramides using engineered Escherichia coli. Micr. Cell Factories 2018, 17, 46. [Google Scholar] [CrossRef] [PubMed]
- Li, Z.; Chen, Y.; Meesapyodsuk, D.; Qiu, X. The biosynthetic pathway of major avenanthramides in oat. Metabolites 2019, 9, 163. [Google Scholar] [CrossRef] [PubMed]
- Ishihara, A.; Ohtsu, Y.; Iwamura, H. Induction of biosynthetic enzymes for avenanthramides in elicitor-treated oat leaves. Planta 1999, 208, 519–527. [Google Scholar] [CrossRef]
- Collins, F.W.; McLachlan, D.C.; Blackwell, B.A. Oat phenolics: Avenalumic acid, a new group of bound phenolic acids from oat groats and hulls. Cereal Chem. 1991, 68, 184–189. [Google Scholar]
- Kamal, N.; Tsardakas Renhuldt, N.; Bentzer, J.; Gundlach, H.; Haberer, G.; Juhász, A.; Lux, T.; Bose, U.; Tye-Din, J.A.; Lang, D.; et al. The mosaic oat genome gives insights into a uniquely healthy cereal crop. Nature 2022, 606, 113. [Google Scholar] [CrossRef]
- Yang, Z.; Wang, K.; Aziz, U.; Zhao, C.; Zhang, M. Evaluation of duplicated reference genes for quantitative real-time PCR analysis in genome unknown hexaploid oat (Avena sativa L.). Plant Meth. 2020, 16, 138. [Google Scholar] [CrossRef]
- Ishihara, A.; Kojima, K.; Fujita, T.; Yamamoto, Y.; Nakajima, H. New series of avenanthramides in oat seed. Biosci. Biotech. Biochem. 2014, 78, 1975–1983. [Google Scholar] [CrossRef]
- Wu, W.; Tang, Y.; Yang, J.; Idehen, E.; Sang, S. Avenanthramide aglycones and glucosides in oat bran: Chemical profile, levels in commercial oat products, and cytotoxicity to human colon cancer cells. J. Agric. Food Chem. 2018, 66, 8005–8014. [Google Scholar] [CrossRef]
- Mayama, S.; Matsuura, H.; Iida, H.; Tani, T. The role of avenalumin in the resistance of oat to crown rust, Puccinia coronata f. sp. avenae. Physiol. Plant Pathol. 1982, 20, 189–199. [Google Scholar] [CrossRef]
- Collins, F.W. Oat phenolics: Avenanthramides, novel substituted N-cinnamoylanthranilate alkaloids from oat groats and hulls. J. Agric. Food Chem. 1989, 37, 60–66. [Google Scholar] [CrossRef]
- Dimberg, L.H.; Theander, O.; Lingnert, H. Avenanthramides—A group of phenolic antioxidants in oats. Cereal Chem. 1993, 70, 637. [Google Scholar]
- Dimberg, L.H.; Sunnerheim, K.; Sundberg, B.; Walsh, K. Stability of oat avenanthramides. Cereal Chem. 2001, 78, 278–281. [Google Scholar] [CrossRef]
- Jágr, M.; Dvořáček, V.; Hlásná Čepková, P.; Doležalová, J. Comprehensive analysis of oat avenanthramides using hybrid quadrupole-Orbitrap mass spectrometry: Possible detection of new compounds. Rapid Commun. Mass Spectrom. 2020, 34, e8718. [Google Scholar] [CrossRef] [PubMed]
- Maliarova, M.; Mrazova, V.; Havrlentova, M.; Sokol, J. Optimization of parameters for extraction of avenanthramides from oat (Avena sativa L.) grain using response surface methodology (RSM). J. Brazilian Chem. Soc. 2015, 26, 2369–2378. [Google Scholar]
- Fontes-Candia, C.; Ramos-Sanchez, V.; Chavez-Flores, D.; Salmeron, I.; Perez-Vega, S. Extraction of different phenolic groups from oats at a nonthermal pilot scale: Effect of solvent composition and cycles. J. Food Process Eng. 2018, 41, e12651. [Google Scholar] [CrossRef]
- Walters, M.; Ribeiro, A.P.L.; Hosseinian, F.; Tsopmo, A. Phenolic acids, avenanthramides, and antioxidant activity of oats defatted with hexane or supercritical fluid. J. Cereal Sci. 2018, 79, 21–26. [Google Scholar] [CrossRef]
- Xochitl, A.F.; Rosalía, R.C.; Minerva, R.G.; Mendoza-Sánchez, M.; Mora, O.; Pérez-Ramírez, I.F. Polyphenols and avenanthramides extracted from oat (Avena sativa L.) grains and sprouts modulate genes involved in glucose and lipid metabolisms in 3T3 L1 adipocytes. J. Food Biochem. 2021, 45, e13738. [Google Scholar] [CrossRef]
- Feng, Y.; Suo, D.; Guan, X.; Wang, S.; Xiao, Z.; Li, Y.; Liu, X.; Fan, X. Effect of germination on the avenanthramide content of oats and their in vitro antisensitivity activities. Molecules 2022, 27, 6167. [Google Scholar] [CrossRef]
- Taofiq, O.; González-Paramás, A.M.; Barreiro, M.F.; Ferreira, I.C. Hydroxycinnamic acids and their derivatives: Cosmeceutical significance, challenges and future perspectives, a review. Molecules 2017, 22, 281. [Google Scholar] [CrossRef]
- Ube, N.; Yabuta, Y.; Tohnooka, T.; Ueno, K.; Taketa, S.; Ishihara, A. Biosynthesis of phenylamide phytoalexins in pathogen-infected barley. Int. J. Molec. Sci. 2019, 20, 5541. [Google Scholar] [CrossRef] [PubMed]
- Ishihara, A. Defense mechanisms involving secondary metabolism in the grass family. J. Pest. Sci. 2021, 46, 382–392. [Google Scholar] [CrossRef] [PubMed]
- Okazaki, Y.; Ishizuka, A.; Ishihara, A.; Nishioka, T.; Iwamura, H. New dimeric compounds of avenanthramide phytoalexin in oats. J. Org. Chem. 2007, 72, 3830–3839. [Google Scholar] [CrossRef] [PubMed]
- Okazaki, Y.; Isobe, T.; Iwata, Y.; Matsukawa, T.; Matsuda, F.; Miyagawa, H.; Ishihara, A.; Nishioka, T.; Iwamura, H. Metabolism of avenanthramide phytoalexins in oats. Plant Cell 2004, 39, 560–572. [Google Scholar] [CrossRef] [PubMed]
- Schendel, R.R. Phenol content in sprouted grains. In Sprouted Grains: Nutritional Value, Production, and Applications; Feng, H., Nemzer, B., Devries, J.W., Eds.; Woodhead Publishing, Elsevier: Cambridge, MA, USA, 2019; pp. 248–315. [Google Scholar] [CrossRef]
- Wise, M.L. Effect of chemical systemic acquired resistance elicitors on avenanthramide biosynthesis in oat (Avena sativa). J. Agric. Food Chem. 2011, 59, 7028–7038. [Google Scholar] [CrossRef]
- Shakeel, Q.; Raheel, M.; Bajwa, R.T.; Rashid, I.; Raza, H.Y.; Saleem, S.R. Etiology and Management of Economically Significant Diseases of Avena sativa. In Sustainable Winter Fodder; CRC Press: Boca Raton, FL, USA, 2021; pp. 131–163. [Google Scholar] [CrossRef]
- Desmedt, W.; Mangelinckx, S.; Kyndt, T.; Vanholme, B. A phytochemical perspective on plant defense against nematodes. Front. Plant Sci. 2020, 11, 602079. [Google Scholar] [CrossRef]
- Pretorius, C.J.; Tugizimana, F.; Steenkamp, P.A.; Piater, L.A.; Dubery, I.A. Metabolomics for biomarker discovery: Key signatory metabolic profiles for the identification and discrimination of oat cultivars. Metabolites 2021, 11, 165. [Google Scholar] [CrossRef]
- Pretorius, C.J.; Tugizimana, F.; Steenkamp, P.A.; Piater, L.A.; Dubery, I.A. Metabolomic characterisation of discriminatory metabolites involved in halo blight disease in oat cultivars caused by Pseudomonas syringae pv. coronafaciens. Metabolites 2022, 12, 248. [Google Scholar] [CrossRef]
- Ramaroson, M.-L.; Koutouan, C.; Helesbeux, J.-J.; Le Clerc, V.; Hamama, L.; Geoffriau, E.; Briard, M. Role of phenylpropanoids and flavonoids in plant resistance to pests and diseases. Molecules 2022, 27, 8371. [Google Scholar] [CrossRef]
- Shahidi, F.; Chandrasekara, A. Hydroxycinnamates and their in vitro and in vivo antioxidant activities. Phytochem. Rev. 2010, 9, 147–170. [Google Scholar] [CrossRef]
- Xue, Y.; Teng, Y.; Chen, M.; Li, Z.; Wang, G. Antioxidant activity and mechanism of avenanthramides: Double H+/e− processes and role of the catechol, guaiacyl, and carboxyl groups. J. Agric. Food Chem. 2021, 69, 7178–7189. [Google Scholar] [CrossRef] [PubMed]
- Spencer, J.; Soycan, G.; Corona, G.; Johnson, J.; Chu, Y.; Shewry, P.; Lovegrove, A. Chronic vascular effects of oat phenolic acids and avenanthramides in pre-or stage 1 hypertensive adults. Curr. Dev. Nutr. 2020, 4, 478. [Google Scholar] [CrossRef]
- Zhouyao, H.; Malunga, L.N.; Chu, Y.F.; Eck, P.; Ames, N.; Thandapilly, S.J. The inhibition of intestinal glucose absorption by oat-derived avenanthramides. J. Food Biochem. 2022, 46, e14324. [Google Scholar] [CrossRef]
- Thies, F.; Masson, L.F.; Boffetta, P.; Kris-Etherton, P. Oats and bowel disease: A systematic literature review. Br. J. Nutr. 2014, 112 (Suppl. S2), S31–S43. [Google Scholar] [CrossRef] [PubMed]
- Turrini, E.; Maffei, F.; Milelli, A.; Calcabrini, C.; Fimognari, C. Overview of the anticancer profile of avenanthramides from oat. Int. J. Molec. Sci. 2019, 20, 4536. [Google Scholar] [CrossRef]
- Zhang, Y.; Ni, T.; Zhang, D.; Liu, H.; Wang, J.; Sun, B. Consumption of avenanthramides extracted from oats reduces weight gain, oxidative stress, inflammation and regulates intestinal microflora in high fat diet-induced mice. J. Funct. Foods 2020, 65, 103774. [Google Scholar] [CrossRef]
- Gilissen, L.J.; Van der Meer, I.M.; Smulders, M.J. Why oats are safe and healthy for celiac disease patients. Med. Sci. 2016, 4, 21. [Google Scholar] [CrossRef]
- Sur, R.; Nigam, A.; Grote, D.; Liebel, F.; Southall, M.D. Avenanthramides, polyphenols from oats, exhibit anti-inflammatory and anti-itch activity. Arch. Derm. Res. 2008, 300, 569–574. [Google Scholar] [CrossRef]
- Darakhshan, S.; Pour, A.B. Tranilast: A review of its therapeutic applications. Pharm. Res. 2015, 91, 15–28. [Google Scholar] [CrossRef]
- Lopatin, U. Drugs in the pipeline for HBV. Clin. Liver Dis. 2019, 23, 535–555. [Google Scholar] [CrossRef]
- Prasher, P.; Sharma, M. Medicinal chemistry of anthranilic acid derivatives: A mini review. Drug Dev. Res. 2021, 82, 945–958. [Google Scholar] [CrossRef] [PubMed]
- Nomura, T.; Ogita, S.; Kato, Y. Rational metabolic-flow switching for the production of exogenous secondary metabolites in bamboo suspension cells. Sci. Rep. 2018, 8, 13203. [Google Scholar] [CrossRef] [PubMed]
- Eudes, A.; Juminaga, D.; Baidoo, E.E.; Collins, F.W.; Keasling, J.D.; Loqué, D. Production of hydroxycinnamoyl anthranilates from glucose in Escherichia coli. Micr. Cell Factories 2013, 12, 62. [Google Scholar] [CrossRef] [PubMed]



| Collins [32] Nomenclature | Dimberg [33] Nomenclature | n | R1 | R2 | R3 |
|---|---|---|---|---|---|
| A | 2p | 1 | H | OH | H |
| B | 2f | 1 | H | OH | OCH3 |
| C * | 2c | 1 | H | OH | OH |
| L | 1pd | 2 | H | H | H |
| D | 1p | 1 | H | H | H |
| F | 1c | 1 | H | H | OH |
| E | 1f | 1 | H | H | OCH3 |
| N | 1cd | 2 | H | H | OH |
| M | 1fd | 2 | H | H | OCH3 |
| O | 2pd | 2 | H | OH | H |
| Q | 2cd | 2 | H | OH | OH |
| P | 2fd | 2 | H | OH | OCH3 |
| X | 3p | 1 | OCH3 | OH | H |
| Z | 3c | 1 | OCH3 | OH | OH |
| Y | 3f | 1 | OCH3 | OH | OCH3 |
| U | 3pd | 2 | OCH3 | OH | H |
| W | 3cd | 2 | OCH3 | OH | OH |
| V | 3fd | 2 | OCH3 | OH | OCH3 |
| G | 4p | 1 | OH | H | H |
| K | 4c | 1 | OH | H | OH |
| H | 4f | 1 | OH | H | OCH3 |
| R | 4pd | 2 | OH | H | H |
| T | 4cd | 2 | OH | H | OH |
| S | 4fd | 2 | OH | H | OCH3 |
| AA | 5p | 1 | OH | OH | H |
| BB | 5f | 1 | OH | OH | OCH3 |
| CC | 5c | 1 | OH | OH | OH |
| OO | 5pd | 2 | OH | OH | H |
| 5cd | 2 | OH | OH | OH | |
| PP | 5fd | 2 | OH | OH | OCH3 |
Disclaimer/Publisher’s Note: The statements, opinions and data contained in all publications are solely those of the individual author(s) and contributor(s) and not of MDPI and/or the editor(s). MDPI and/or the editor(s) disclaim responsibility for any injury to people or property resulting from any ideas, methods, instructions or products referred to in the content. |
© 2023 by the authors. Licensee MDPI, Basel, Switzerland. This article is an open access article distributed under the terms and conditions of the Creative Commons Attribution (CC BY) license (https://creativecommons.org/licenses/by/4.0/).
Share and Cite
Pretorius, C.J.; Dubery, I.A. Avenanthramides, Distinctive Hydroxycinnamoyl Conjugates of Oat, Avena sativa L.: An Update on the Biosynthesis, Chemistry, and Bioactivities. Plants 2023, 12, 1388. https://doi.org/10.3390/plants12061388
Pretorius CJ, Dubery IA. Avenanthramides, Distinctive Hydroxycinnamoyl Conjugates of Oat, Avena sativa L.: An Update on the Biosynthesis, Chemistry, and Bioactivities. Plants. 2023; 12(6):1388. https://doi.org/10.3390/plants12061388
Chicago/Turabian StylePretorius, Chanel J., and Ian A. Dubery. 2023. "Avenanthramides, Distinctive Hydroxycinnamoyl Conjugates of Oat, Avena sativa L.: An Update on the Biosynthesis, Chemistry, and Bioactivities" Plants 12, no. 6: 1388. https://doi.org/10.3390/plants12061388
APA StylePretorius, C. J., & Dubery, I. A. (2023). Avenanthramides, Distinctive Hydroxycinnamoyl Conjugates of Oat, Avena sativa L.: An Update on the Biosynthesis, Chemistry, and Bioactivities. Plants, 12(6), 1388. https://doi.org/10.3390/plants12061388

