Abstract
Anthropogenic disturbance, such as nitrogen (N) fertilization and mowing, is constantly changing the function and structure of grassland ecosystems during past years and will continue to affect the sustainability of arid and semiarid grassland in the future. However, how and whether the different N addition levels and the frequency of N addition, as well as the occurrence of mowing, affect the key processes of N cycling is still unclear. We designed a field experiment with five levels of N addition (0, 2, 10, 20, and 50 g N m−2 yr−1), two types of N addition frequencies (twice a year added in June/November and monthly addition), and mowing treatment in a typical grassland of northern China. The results showed that higher N addition and mowing interactively improved net primary productivity (NPP), including aboveground and belowground biomass, while different N addition frequency had no significant effects on NPP. Different N addition levels significantly improved gross ammonification (GA) and nitrification (GN) rates, which positively correlated to aboveground net primary productivity (ANPP). However, the effect of N addition frequency was differentiated with N addition levels, the highest N addition level (50 g N m−2 yr−1) with lower frequency (twice a year) significantly increased GA and GN rates. Mowing significantly increased the GA rate but decreased the GN rate both under the highest N addition level (50 g N m−2 yr−1) and lower N addition frequency (twice a year), which could improve N turnover by stimulating plant and microbial activity. However, a long-term study of the effects of N enrichment and mowing on N turnover will be needed for understanding the mechanisms by which nutrient cycling occurs in typical grassland ecosystems under global change scenarios.
1. Introduction
Net primary productivity (NPP) in grassland is limited by available soil nitrogen (N) content [1]. The key processes of soil N turnover, including gross ammonification (GA) and gross nitrification (GN), determines soil N availability, which is mainly controlled by the decomposing of soil organic matter from the activities of soil animals and microorganisms [2,3]. Soil gross ammonification and nitrification, defined as the net ammonification and net nitrification gross plus microbial N fixation, which is an important index to characterize the capability of mineral soil supplying for plant growth and microbial reproduction, is thus considered a surrogate of N availability [4]. The conversion of soil N determines plant productivity in terrestrial ecosystems.
Global atmospheric N deposition had increased by 5 to 20 fold since the preindustrial period, with average deposition rates of 2 g m−2 yr−1 in recent years, and the deposition of reactive N will continue to increase over the next century [5,6,7] Increased N deposition greatly influences the main components of an ecosystem’s N pool (i.e., plant, soil, and microbe N pools) and aboveground net primary productivity (ANPP) [8,9] of grassland ecosystems [9,10,11]. Most studies that simulated N deposition were designed to supply N fertilization once or twice a year [12,13,14], which could not reflect the real, natural N deposition with dry or wet N deposition across the whole year. Moreover, grazing and mowing are the main land-use management mechanisms for maintaining the production and ecological functions of natural grassland ecosystems in northern China. While there were a large quantity of reports of N addition and grazing on soil N turnover by changing nutrient availability and leaching [7,15,16,17], the interactive effects between N deposition and mowing on net primary productivity and the gross N turnover and their relationship grassland ecosystems are still unclear.
The various experimental results from different individual studies were reported in grassland ecosystems that had been conducted to explore how N deposition or fertilization affects N turnover processes in grassland ecosystems, especially in soil N turnover (i.e., N ammonification, nitrification, denitrification, and immobilization) and total N pool [18,19]. Previous studies showed that N addition increased, decreased, or had no effects on soil N turnover [14,20,21,22]. These different results were caused by the N addition time, N addition duration, N types, and the amount of N addition. However, these studies focused on the effects of N input on soil net N mineralization rates, while the responses of soil’s gross N turnover to N enrichment are still limited. The growing season in most of northern natural grassland begins from late April to early May, and the peak growing period of plants is from mid-June to July, thus N addition once or twice a year could not reflect the real effects of the N deposition pattern under natural conditions.
Mowing is one of the most important management mechanisms in the grassland ecosystems of northern China that directly or indirectly affects net primary productivity by influencing microbial activity and N turnover rates [17]. Previous studies reported that mowing also strongly affected nutrient cycling processes because mowing removed aboveground biomass and decreased litter biomass [15,23], which could increase soil surface temperature and decrease soil moisture content and further affect the bacterial and fungi composition and then stimulate N turnover processes [24,25,26,27]. Some studies showed that mowing reduced root biomass and soil total N concentrations [28,29], which was likely due to the loss of N through aboveground biomass harvesting. The change in soil N concentrations would have direct or indirect effects on soil microbial N turnover and aboveground and belowground biomass. However, mowing effects in typical grassland on soil N turnover and the response mechanisms of net primary productivity with the interactions of N deposition remain unclear.
The Inner Mongolia steppe is part of a Eurasian grassland with an area of about 1.18 million km2, and it is of great importance for ecological conversation and local farmer livelihoods. We performed an experiment with different N addition levels and frequencies combined with mowing to determine their individual and potential interactive effects on net primary productivity using the soil gross N mineralization rate by the 15N pool dilution technique [30] and other N pool components (i.e., plants, soil, and microbes). The gap in knowledge of the interaction between the annual N deposition (i.e., N supply frequency in different months) and mowing effects on the net primary productivity and N turnover processes limits our ability to predict the effects of future climate change on mowing grassland ecosystems. Consequently, our study hypothesis that N input during different months of the whole year could increase plant productivity by improving soil gross N mineralization rates and by stimulating soil microbial activities and could meet the N demand of different plants at different stages.
The objectives of this study are: (i) to investigate how net primary productivity and gross N turnover respond to different levels and frequencies of N addition without or with mowing; and (ii) to definite the relationship between net primary productivity and gross N turnover under different N addition levels and frequencies under mowing treatment.
2. Results
2.1. Aboveground and Belowground Biomass
Nitrogen addition treatments, regardless of adding N levels and frequencies, significantly increased aboveground biomass (AGB) and belowground biomass (BGB) (p < 0.01). However, mowing showed no significant effects on AGB (p > 0.05) but significantly decreased BGB (p < 0.001). In addition, the levels and frequency of N addition and mowing significantly and interactively affected AGB and BGB, respectively (p < 0.01, Table 1).
Table 1.
Results (F values) of repeated measures ANOVAs testing the effects of N addition rate (N), N addition frequency (F), and mowing (M) on soil pH, AGB, BGB, gross ammonification rates (GA), and gross nitrification rates (GN).
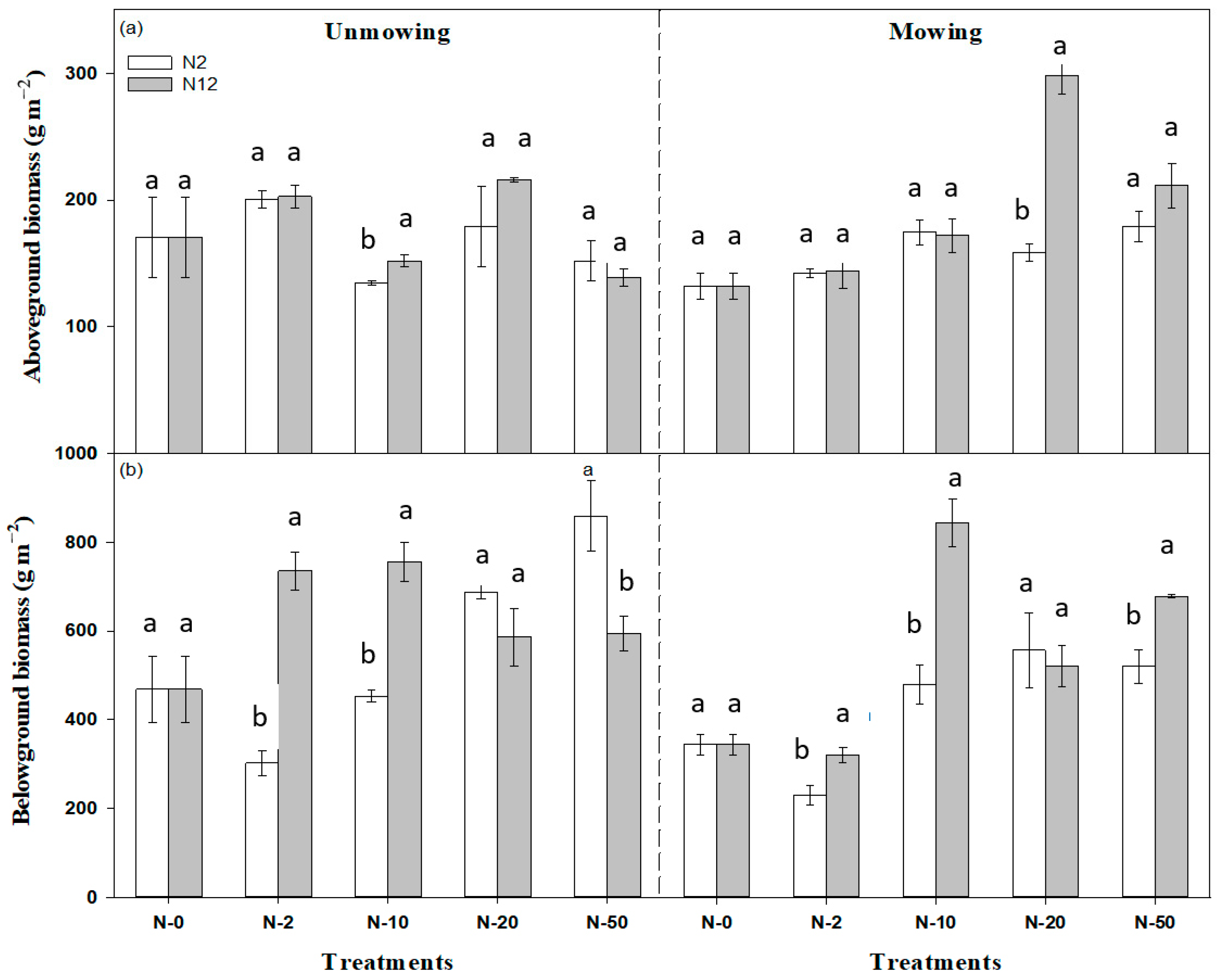
Across all N addition levels, AGB increased by 30.92% on average in un-mowing treatments (p < 0.05) and increased by 40.80% in mowing treatments (p < 0.05) at twice a year of N addition treatment (Figure 1a). Aboveground biomass also increased by 10.67% (p > 0.05) and 74.81% in un-mowing and mowing treatments (p < 0.05) at higher frequencies (monthly) of N addition, separately (Figure 1a). At the highest N addition level (N-50), the aboveground biomass tended to be higher in mowing versus un-mowing treatments, and AGB at higher N addition levels (N-20, N-50) was significantly higher in mowing than in un-mowing plots at the higher frequency of N addition (p < 0.05, Figure 1a). However, no significant effects of the lower frequency of N addition were found on AGB (Figure 1a). Belowground biomass with twice a year of N addition was significantly lower than that at 12 times within a year of N addition under relatively lower N addition levels (N-2, N-10) (p < 0.05, Figure 1b), while opposite trends were observed under relatively higher N addition levels (N-20, N-50) (Figure 1b). BGB was significantly increased by 41.46% (p < 0.05) under N addition, and it increased with increasing N addition levels at lower N addition frequency (p < 0.05).
Figure 1.
Responses of aboveground biomass (a) and belowground biomass (b) to N addition rate, N addition frequency, and mowing in the temperate steppe ecosystem studied. The data displayed are the means of four replicates ± standard errors (SE) of the mean. N2 and N12 represent 2 N additions yr−1 and 12 N additions yr−1, respectively. Different lowercase letters represent groups that are significantly different at the p < 0.05 level (Tukey’s HSD test).
2.2. Gross Ammonification and Nitrification Rates
Nitrogen addition levels and frequencies had significant effects on both gross ammonification (GA, p < 0.05) and gross nitrification rates (GN, p < 0.05), while mowing showed no significant effects on GA and GN. In addition, the interaction effects of N addition levels and frequencies on GA were significant (p < 0.001); however, the effects on GN were not significant (p > 0.05). In contrast, the interaction effects between mowing and N addition level or with N addition frequency on GN were significant (p < 0.01); however, the effects on GA were not significant (p > 0.05, Table 1).
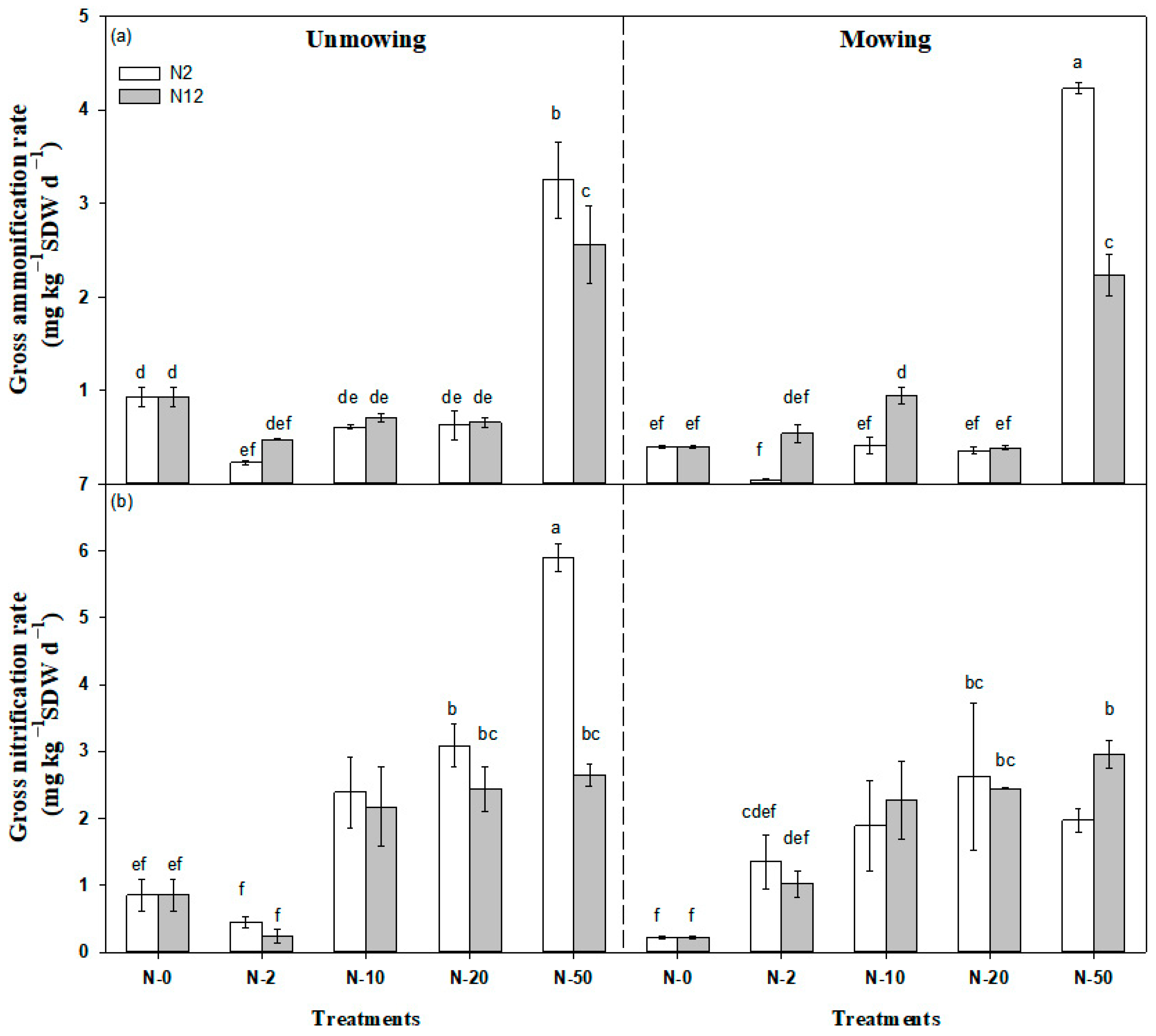
Across all the N addition levels, the highest N addition (N-50) significantly increased GA by 278.45% (p < 0.05). For the lowest addition level (N-2), GA was significantly decreased by 44.61% (p < 0.05) but was not significantly changed at higher N addition levels (N-10, N-20) with mowing (Figure 2a, Table 1). Higher N addition treatments of N-10 and N-20 significantly increased GN by 398.61% and 548.75% (p < 0.05, Figure 2b). Nitrogen addition with mowing significantly increased GN (p < 0.05, Figure 2b). However, the interactive effects between frequency of N addition and mowing on GN were not significant (p > 0.05, Figure 2b).
Figure 2.
Responses of gross ammonification rate (a) and gross nitrification rate (b) to N addition level, N addition frequency, and mowing in the temperate steppe. Values are the means of four replicates ± SE (vertical bars). N2 and N12 represent 2 N additions yr−1 and 12 N additions yr−1, respectively. Different lowercase letters represent groups that are significantly different at the p < 0.05 level (Tukey’s HSD test).
2.3. The Relationships between Net Primary Productivity and Gross N Turnover
Soil pH values were negatively correlated with soil GA (R2 = 0.63, p < 0.0001) and GN (R2 = 0.41; p < 0.01) (Figure 3a). However, GA (R2 = 0.87, p < 0.0001; R2 = 0.23, p < 0.05) and GN (R2 = 0.55, p < 0.001; R2 = 0.56, p < 0.001) (Figure 3b,c) were positively correlated with the soil NH4+-N and NO3−-N concentrations, respectively.
Figure 3.
Relationships of gross ammonification rate (GA) and gross nitrification rate (GN) with pH values (a), NH4+-N (b), NO3−-N (c).
Based on regression analyses, the SEM results indicated that the N addition directly affected N content, soil N, and GA, while it indirectly affected GN and plant biomass through modifying soil N content (Figure 4). Overall, the SEM results suggested that N addition directly affects net primary productivity by increasing inorganic and indirectly affected by increasing gross GA, GN, and the soil N pool, which were the most important factors affecting soil microbial activity.
Figure 4.
Structural equation model (SEM) analysis of the effects of N addition and mowing on net primary productivity via pathways of soil on gross ammonification rates (GA) and nitrification rates in a temperate steppe in northern China. The bold arrows indicate significant standardized path coefficients (p < 0.05).
3. Discussion
3.1. Aboveground and Belowground Biomass
Our results showed that N input directly increased aboveground biomass in a semi-arid steppe ecosystem, and, on average, N addition significantly increased the aboveground and belowground biomass (AGB and BGB) in this grassland ecosystem; our results were consistent with most studies with N addition experiments [12,31,32,33]. Nitrogen regulates the plant growth and biodiversity of terrestrial ecosystems, and it often determines the net primary productivity of grassland ecosystems [14]. In addition, our results demonstrated that mowing had little effects on AGB and BGB compared with N addition, the level of N addition, or the frequency of N addition. This was due to the fact that N addition significantly changed soil nutrient availability, especially the quantity and quality of available N in the soil, which would have greatly improved the growth of plants. Moreover, mowing significantly decreased vegetation cover, which led to an increase in the surface temperature and a decrease in soil water content. As a consequence, the growth of plants might be restricted in mowing plots, even though N was added [34,35].
The highest NPP and the highest soil GA and GN were found simultaneously in higher N addition levels due to the increased plant coverage and aboveground biomass reduced soil water evapotranspiration, input more organic matter, and improved the soil’s micro-environment by improving soil microbial activity. On the other hand, increased belowground biomass could, effectively, enhance the interception and storage of precipitation [36]. Only positive correlations between GN and ANPP were found. However, we did not find significant correlations between soil GA and ANPP. Our explanation is that GN was the key process in arid and semi-arid grassland that regulated ANPP. On the other hand, ANPP in the natural environment would be affected by different biotic and abiotic factors, such as temperature, soil moisture, and soil fertility [37]. Study found that soil temperature and moisture were the main influencing factors on ANPP during the growing season in Inner Mongolia [38]. Another important reason is that the in situ gross N mineralization rate reflects the instantaneous dynamics under field conditions, and the ANPP is affected by the same external environmental conditions, thus it can establish a closer relationship between gross nitrification and ANPP.
3.2. Gross Ammonification and Nitrification Rates
In our study, the degree of the response of gross ammonification rates (GA) to N addition was lower than that of gross nitrification rates (GN) under lower levels of N addition, and GA and GN were strongly affected by the higher levels and frequencies of N addition tested, suggesting that GA and GN were closely related to the concentration of NH4+-N and NO3−-N in soils. Few studies have examined how N addition affected gross N turnover in grassland ecosystem. Our results indicated that gross N turnover responded positively to N addition, which was in agreement with numerous studies [39,40]. However, gross N mineralization does not always increase linearly with increasing N deposition levels [33,41,42], in which the rates of gross N mineralization increased up to an intermediate ambient level of N enrichment but then dropped somewhat at N-enriched conditions higher than in these systems. Differences between their results and ours are likely due to differences among the different types of ecosystem studied and environmental conditions. Walecka-Hutchison and Walworth (2007) found that gross nitrification was stimulated by the lower N addition, while it was inhibited by the higher N application, which was inconsistent with our results [43]. Such discrepancies may be caused by the differences of soil nutrient availability, microbial diversities, and soil enzyme activities [44]. In addition, we found that soil pH decreased with increasing levels of N addition, and gross N turnover rates significantly decreased with increasing soil pH. This result was inconsistent with the findings of Cheng et al. (2013) [45], in which GA and GN were positively correlated with soil pH in forests, which was likely due to the differences in the gross N turnover processes foe different ecosystem types, and the major limiting factors were different in forest and grassland ecosystems. Furthermore, many studies indicated that GA and GN were influenced by some other factors aside from soil N availability, e.g., vegetation and soil types [46,47], soil moisture [48], and other human or environmental factors [14,49,50]. However, the studies about the effects of N addition frequency on soil gross N turnover were very scarce, thus further studies are still needed.
3.3. Mowing and the Interactive Effects of N Addition and Mowing
Aboveground biomass removal could not only significantly reduce C inputs to soil but also lead to significant N loss, resulting in nutrient limitations to plants and microbes. Consistent with previous reports, we found that mowing had negligible effects on aboveground biomass, GA, and GN, even under different levels of N addition conditions. However, study found that mowing increased nitrification rates and did not affect ammonification and mineralization rates [49]. This difference between our study and theirs may be due to the possibility that the responses of GA and GN to mowing were counteracted by the level and frequency of N addition. On the other hand, mowing might also affect soil gross turnover by changing the environmental conditions (i.e., soil moisture, temperature and so on) in grassland ecosystems [51,52,53]. Another mechanism related to how plant removal might interact with soil N turnover was that the plant material with a large C:N ratio facilitated to rapid N cycling by limiting SOM input to the soil, which would maintain rapid N turnover in the microbial community in an old field in Minnesota, USA. On the other hand, mowing could decrease microbial biomass carbon and N [49], increase soil total C and N by increasing plant diversity [32,54,55], and change the compositions of soil microbial communities [8], which would directly or indirectly impact soil gross N turnover. However, few studies have evaluated the response of gross N turnover to mowing, thus, as a consequence, our knowledge of the response mechanisms involved in such relationships is very limited. Hay harvesting in grassland ecosystems may have significant and direct impacts on exogenous N input to soil microbial N transformation responses to N addition. Aboveground biomass removal by mowing or clipping would mask N fertilizer effects on soil microbial activity by reducing soil organic matter input and root exudation.
4. Materials and Methods
4.1. Study Site
The study site was located in the Xilin River Basin, a temperate steppe (116°14′ E, 43°13′ N) near the Inner Mongolia Grassland Ecosystem Research Station (IMGERS) in the Inner Mongolia Autonomous Region, China. The experimental area was about 100 ha, which had been fenced since 1999 to exclude large animal grazing. Based on a long-term observational dataset (1980–2013), the mean annual temperature (MAT) was 0.9 °C, with mean monthly temperatures ranging from −21.4 °C in January to 19.7 °C in July, and the mean annual precipitation (MAP) was about 350 mm, with approximately 70–80% happening between May and August. The soil at the site was either a Haplic Calcisol or Calcic-Orthic Aridisol, as classified by the FAO and the US soil classification system, respectively. The dominant plant species were Stipa grandis and Leymus chinensis, which together accounted for more than 60% of the total peak aboveground biomass, while the others were forbs.
4.2. Experimental Design
Eighty experimental plots were established with a randomized complete block design in September 2008 [32]. The area of each plot was 10 m × 10 m, and there were 2 m walkways between any adjacent plots. Five levels of N addition were conducted, namely, 0, 2, 10, 20, and 50 g N m−2 yr−1 (designated as N-0, N-2, N-10, N-20, and N-50, respectively), with two types of N addition frequencies (twice a year vs. monthly). N additions began on 1 November and the first day of June for the low frequency treatments (F2) (2 N addition yr−1), or N addition was conducted on the first day of each month for the high frequency treatment (F12) (monthly, or 12 N addition yr−1), with two management regimes (un-mowing vs. mowing). Hence, there were 20 treatments (5 × 2 × 2) in total, each treatment with 4 replicates. Purified NH4NO3 (>99%) was used as the N addition treatment. Nitrogen addition was applied referring to the method of Zhang et al. (2016) [32]. Mowing treatments were carried out two times a year, with 10 cm stubble height left after mowing, on 25 June to 30 June and 25 August to 30 August in every year from 2009 to 2018.
4.3. Soil and Plant Sampling and Measurements
Plant and soil samples were collected in mid-August 2018. To investigate vegetation biomass and collect plant and soil samples, a 2 m × 0.5 m quadrat was randomly placed in each plot at least 50 cm inside the border of each plot to avoid edge effects. The aboveground biomass (AGB; g m−2) was measured by clipping all plants above the soil’s surface, oven-drying the combined clippings at 65 °C for 48 h, recording the sample’s dry weight, and then finely crushing the sample in a mill to determine the C and N content of plants. Three root cores were collected using a 7 cm diameter root auger at 10 cm intervals in the plots to a soil depth of 30 cm. These core samples were then mixed and soaked in water to remove the mineral components of the soil, and then they were treated as described above to measure the belowground biomass (BGB; g m−2). Soil samples were collected with a soil augur (3 cm in diameter), and, in each plot, three cores were taken with a 0–10 cm depth at least 50 cm apart. Soil samples were then mixed and sieved through a 2 mm mesh and stored at 4 °C for laboratory analysis of soil ammonium (NH4+-N; mg kg−1), nitrate (NO3−-N; mg kg−1), and moisture (SM%) content, as well as microbial biomass carbon and N (MBC and MBN; mg kg−1) content. Soil subsamples were air-dried for analysis of soil pH, soil C, and soil N (Csoil and Nsoil; mg kg−1). The plant, soil, and root carbon contents were determined by a H2SO4-K2Cr2O7 oxidation method [56]. The plant, soil, and root N contents were determined by using the Kjeldahl acid-digestion method with an Alpkem auto-analyser (Kjeltec TM 8200, Foss, Denmark). Soil NH4+-N and NO3−-N were analysed using a flow injection auto analyser (FLAstar 5000 Analyzer; Foss Tecator, Hillerød, Denmark), in which these substances were extracted from 10 g of fresh soil sample with 50 mL of 0.5 M K2SO4 solution. MBC and MBN were analysed with a fumigation extraction method [57]. Soil pH was determined by measuring pH of a soil–water suspension (soil:water = 1:2.5) with a pH meter (FE20-FiveEasy, Shanghai, China).
4.4. Gross Ammonification and Nitrification Rates
The 15N pool dilution technique was used to determine the gross ammonification rate (GA; mg kg−1 SDW d−1) and gross nitrification rate (GN; mg kg−1 SDW d−1) in intact soil cores, with one from each experimental plot. Soil in the cores were labelled with 15N-(NH4)2SO4 or 15N-KNO3 (30 atom% 15N enrichment and 3 mL 100 g−1 dry soil equivalent) for quantification of gross N ammonification or nitrification. A custom-made multi-injector, which consisted of 10 simultaneously operated syringes with custom-made side-port cannulas, was used to ensure homogenous labelling. Each injection was equivalent to 0.1 mL per 100 g−1 soil, and then the samples were labelled with 3 mL of 15N-enriched solution that corresponded to 2 mg N kg−1 dry soil; 3 replicate labels were made from each core. When soil was sampled, the fresh soil core was labelled immediately with the apparatus above mentioned (3 times at 0.3 cm, 1.5 cm, and 2.5 cm depth). About one hour later (t1), the first soil core was collected and extracted by a 0.5 M K2SO4 solution with a soil/solution ratio of 1:2 as described by Dannenmann et al. (2009) [58]. Forty hours after labelling (t2), the second soil core was extracted using the same procedure as at t1.
Soil extracts were frozen for further processing. The diffusion technique described by Dannenmann et al. (2006) [59] was used to collect NH4+ and NO3− on acid filter traps, which were then analysed for 15N enrichment with an isotope ratio mass spectrometer (Delta Plus XP; Thermo, New York, NY, USA) at the Institute of Botany, Chinese Academy of Sciences. Subsamples of the soil extracts were analysed to determine their NH4+ and NO3− concentrations also in laboratory of the Institute of Botany, Chinese Academy of Sciences in order to avoid bias. Gross ammonification and nitrification rates were calculated with the equation provided by Kirkham and Bartholomew (1954) [60].
4.5. Statistical Analyses
All results were presented in figures as mean ± SE (standard error). Repeated measures analysis of variance (ANOVA) for a randomized complete block design were performed, and Tukey’s HSD post hoc test was used to test for differences in the response variables between different treatments if the ANOVA revealed an overall significant difference. If p < 0.05, differences were concluded to be statistically significant. Linear regression was also performed to examine the relationships between net primary productivity and GA and GN rates with soil pH and NH4+-N + NO3−-N. All statistical tests were performed with SAS 9.0, except for regression analyses, which were performed in the SIGMAPLOT software (SIGMAPLOT 12.5 for Windows; Systat Software Inc., San Jose, CA, USA), which was also used to produce graphs. Structural equation modelling (SEM) was carried out with the software package IBM SPSS Amos 21.0.
5. Conclusions
Soil N turnover rates and availability are crucial for ecosystem net primary productivity and carbon sequestration, especially in the context of global climate change or anthropogenic disturbances. The frequency of different N addition levels and mowing had only occasional effects on those variables, which was likely due to the effects of the frequency of N addition and mowing being offset by the effects of the levels of N addition, or that interactions of these with other human or environmental factors that we did not examine occurred. Nevertheless, gross ammonification and gross nitrification rates were significantly affected by N addition frequency and mowing, especially at the highest N addition level, which will have feedback to net primary productivity and carbon sequestration. Consequently, long-term research on the response of net primary productivity regulated by N cycling to human activities or environmental variables is needed to further improve our understanding of the response mechanism of N cycling to climatic change.
Author Contributions
Formal analysis, G.L.; Data curation, H.D. and R.W.; Writing—original draft, J.Y.; Writing—review & editing, H.J.; Supervision, C.W. All authors have read and agreed to the published version of the manuscript.
Funding
This research was funded by the National Natural Science Foundation of China (U22A20576), High Level Talents Project of Shanxi Agricultural University (2021XG008), Shanxi Key Laboratory Project (202104010910017), and the Science and Technology Innovation Fund of Shanxi Agricultural University (SXBYKY2021052, SXBYKY2021053).
Data Availability Statement
The data presented in this study are available on request from the corresponding author (E-mail: wangch@ibcas.ac.cn).
Acknowledgments
We thank Yan Shen and Shuya Hu for their field and laboratory measurements.
Conflicts of Interest
The authors declare no conflict of interest.
References
- Peng, Y.F.; Chen, H.Y.H.; Yang, Y.H. Global pattern and drivers of nitrogen saturation threshold of grassland productivity. Funct. Ecol. 2020, 34, 13622. [Google Scholar] [CrossRef]
- Chapin, F.S.; Matson, P.A.; Vitousek, P.M. Principles of Terrestrial Ecosystem Ecology, 2nd ed.; Springer: New York, NY, USA, 2011. [Google Scholar]
- Yu, Y.; Zheng, L.; Zhou, Y.; Sang, W.; Zhao, J.; Liu, L.; Li, C.; Xiao, C. Changes in soil microbial community structure and function following degradation in a temperate grassland. J. Plant Ecol. 2021, 14, 384–397. [Google Scholar] [CrossRef]
- Schimel, J.P.; Bennett, J. Nitrogen mineralization: Challenges of a changing paradigm. Ecology 2004, 85, 591–602. [Google Scholar] [CrossRef]
- Galloway, J.N.; Townsend, A.R.; Erisman, J.W.; Bekunda, M.A.; Cai, Z.; Freney, J.R.; Sutton, M.A. Transformation of the nitrogen cycle: Recent Trends, Questions, and Potential Solutions. Science 2008, 320, 889–892. [Google Scholar] [CrossRef]
- Sutton, M.A.; Bleeker, A. The shape of nitrogen to come. Nature 2013, 494, 435–437. [Google Scholar] [CrossRef]
- Liu, W.; Jiang, L.; Yang, S.; Wang, Z.; Tian, R.; Peng, Z.; Chen, Y.; Zhang, X.; Kuang, J.; Ling, N.; et al. Critical transition of soil bacterial diversity and composition triggered by nitrogen enrichment. Ecology 2020, 101, e03053. [Google Scholar] [CrossRef]
- Li, Z.; Zeng, Z.; Song, Z.; Wang, F.; Tian, D.; Mi, W.; Huang, X.; Wang, J.; Song, L.; Yang, Z.; et al. Vital roles of soil microbes in driving terrestrial nitrogen immobilization. Glob. Chang. Biol. 2021, 27, 1848–1858. [Google Scholar] [CrossRef]
- Li, W.; Gan, X.; Jiang, Y.; Cao, F.; Lü, X.-T.; Ceulemans, T.; Zhao, C. Nitrogen effects on grassland biomass production and biodiversity are stronger than those of phosphorus. Environ. Pollut. 2022, 309, 119720. [Google Scholar] [CrossRef]
- Gruber, N.; Galloway, J.N. An Earth-system perspective of the global nitrogen cycle. Nature 2008, 451, 293–296. [Google Scholar] [CrossRef]
- Kuypers, M.M.M.; Marchant, H.K.; Kartal, B. The microbial nitrogen-cycling network. Nat. Rev. Microbiol. 2018, 16, 263–276. [Google Scholar] [CrossRef]
- Bustamante, M.M.; de Brito, D.Q.; Kozovits, A.R.; Luedemann, G.; de Mello, T.R.; de Siqueira Pinto, A.; Munhoz, C.B.; Takahashi, F.S. Effects of nutrient additions on plant biomass and diversity of the herbaceous-subshrub layer of a Brazilian savanna (Cerrado). Plant Ecol. 2012, 213, 795–808. [Google Scholar] [CrossRef]
- Haugwitz, M.S.; Michelsen, A. Long-term addition of fertilizer, labile carbon, and fungicide alters the biomass of plant functional groups in a subarctic-alpine community. Plant Ecol. 2011, 212, 715–726. [Google Scholar] [CrossRef]
- Liu, W.; Liu, L.; Yang, X.; Deng, M.; Wang, Z.; Wang, P.; Yang, S.; Li, P.; Peng, Z.; Yang, L.; et al. Long-term nitrogen input alters plant and soil bacterial, but not fungal beta diversity in a semiarid grassland. Glob. Chang. Biol. 2021, 27, 3939–3950. [Google Scholar] [CrossRef] [PubMed]
- Collins, S.L.; Knapp, A.K.; Briggs, J.M.; Blair, J.M.; Steinauer, E.M. Modulation of diversity by grazing and mowing in native tallgrass prairie. Science 1998, 280, 745–747. [Google Scholar] [CrossRef] [PubMed]
- Isbell, F.; Reich, P.B.; Tilman, D.; Hobbie, S.E.; Polasky, S.; Binder, S. Nutrient enrichment, biodiversity loss, and consequent declines in ecosystem productivity. Proc. Natl. Acad. Sci. USA 2013, 110, 11911–11916. [Google Scholar] [CrossRef]
- Wang, C.; Butterbachbahl, K.; Han, Y.; Wang, Q.; Zhang, L.; Han, X.; Xing, X. The effects of biomass removal and N additions on microbial N transformations and biomass at different vegetation types in an old-field ecosystem in northern China. Plant Soil 2011, 340, 397–411. [Google Scholar] [CrossRef]
- Bhatti, A.; Ahmad, J.; Qasim, M.; Riaz, M.; Cresser, M.S. Effects of anthropogenic nitrogen deposition on soil nitrogen mineralization and immobilization in grassland soil under semiarid climatic conditions. Environ. Monit. Assess. 2018, 190, 490. [Google Scholar] [CrossRef]
- Hao, T.; Zhang, Y.; Zhang, J.; Müller, C.; Li, K.; Zhang, K.; Chu, H.; Stevens, C.; Liu, X. Chronic nitrogen addition differentially affects gross nitrogen transformations in alpine and temperate grassland soils. Soil Biol. Biochem. 2020, 149, 107962. [Google Scholar] [CrossRef]
- Brenner, R.E.; Boone, R.D.; Ruess, R.W. Nitrogen additions to pristine, high-latitude, forest ecosystems: Consequences for soil nitrogen transformations and retention in mid and late succession. Biogeochemistry 2005, 72, 257–282. [Google Scholar] [CrossRef]
- Kowaljow, E.; Mazzarino, M.J. Soil restoration in semiarid Patagonia: Chemical and biological response to different compost quality. Soil Biol. Biochem. 2007, 39, 1580–1588. [Google Scholar] [CrossRef]
- Song, L.; Li, Z.; Niu, S. Global soil gross nitrogen transformation under increasing nitrogen deposition. Glob. Biogeochem. Cycles 2020, 35, e2020GB006711. [Google Scholar] [CrossRef]
- Giese, M.; Brueck, H.; Gao, Y.Z.; Lin, S.; Steffens, M.; Kögel-Knabner, I.; Glindemann, T.; Susenbeth, A.; Taube, F.; Butterbach-Bahl, K.; et al. N balance and cycling of Inner Mongolia typical steppe: A comprehensive case study of grazing effects. Ecol. Monogr. 2013, 83, 195–219. [Google Scholar] [CrossRef]
- Baptist, F.; Secher-Fromell, H.; Viard-Cretat, F.; Aranjuelo, I.; Clement, J.C.; Creme, A.; Desclos, M.; Laine, P.; Nogués, S.; Lavorel, S. Carbohydrate and nitrogen stores in Festuca paniculata under mowing explain dominance in subalpine grasslands. Plant Biol. 2013, 15, 395–404. [Google Scholar] [CrossRef] [PubMed]
- Ma, L.; Guo, C.; Xin, X.; Yuan, S.; Wang, R.Z. Effects of belowground litter addition, increased precipitation and clipping on soil carbon and nitrogen mineralization in a temperate steppe. Biogeosciences 2013, 10, 7361–7372. [Google Scholar] [CrossRef]
- Gao, Y.; Sun, S.; Xing, F.; Mu, X.; Bai, Y. Nitrogen addition interacted with salinity-alkalinity to modify plant diversity, microbial PLFAs and soil coupled elements: A 5-year experiment. Appl. Soil Ecol. 2019, 137, 78–86. [Google Scholar] [CrossRef]
- Sharma, N.; Kumar, S. Gross nitrogen transformation rates in semiarid tropical soils under different salinity and vegetation conditions. Ecosphere 2020, 11, e03034. [Google Scholar] [CrossRef]
- Kitchen, D.J.; Blair, J.M.; Callaham, M.A. Annual fire and mowing alter biomass, depth distribution, and C and N content of roots and soil in tallgrass prairie. Plant Soil 2009, 323, 235–247. [Google Scholar] [CrossRef]
- Turner, C.L.; Seastedt, T.R.; Dyer, M.I. Maximization of aboveground grassland production: The role of defoliation frequency, intensity, and history. Ecol. Appl. 1993, 3, 175–186. [Google Scholar] [CrossRef]
- Müller, C.; Stevens, R.J.; Laughlin, R.J. A 15N tracing model to analyse N transformations in old grassland soil. Soil Biol. Biochem. 2004, 36, 619–632. [Google Scholar] [CrossRef]
- Kim, M.K.; Henry, H.A.L. Net ecosystem CO2 exchange and plant biomass responses to warming and N addition in a grass-dominated system during two years of net CO2 efflux. Plant Soil 2013, 371, 409–421. [Google Scholar] [CrossRef]
- Zhang, Y.; Loreau, M.; Lu, X.; He, N.; Zhang, G.; Han, X. Nitrogen enrichment weakens ecosystem stability through decreased species asynchrony and population stability in a temperate grassland. Glob. Chang. Biol. 2016, 22, 1445–1455. [Google Scholar] [CrossRef] [PubMed]
- Bardgett, R.D.; Wardle, D.A.; Yeates, G.W. Linking above-ground and below-ground interactions: How plant responses to foliar herbivory influence soil organisms. Soil Biol. Biochem. 1998, 30, 1867–1878. [Google Scholar] [CrossRef]
- Tix, D.; Hebberger, J.A.; Charvat, I. Influence of aboveground biomass removal on nitrogen mineralization in a restored tallgrass prairie. Restor. Ecol. 2006, 14, 561–568. [Google Scholar] [CrossRef]
- Meng, Z.J.; Gao, Y.; Yu, Y.; Wang, J.R.; Qin, Q.C.; Yan, Y.G. Influence of vegetation coverage on soil moisture in desert grassland. Water Sav. Irrig. 2009, 3, 9–11. [Google Scholar]
- Ma, F.; Zhang, F.; Quan, Q.; Wang, J.; Chen, W.; Wang, B.; Zhou, Q.; Niu, S. Alleviation of light limitation increases plant diversity and ecosystem carbon sequestration under nitrogen enrichment in an alpine meadow. Agric. For. Meteorol. 2021, 298–299, 108269. [Google Scholar] [CrossRef]
- Ma, Y.H.; Yang, Y.H.; He, J.S.; Zeng, H.; Fang, J.Y. Biomass of temperate grassland in Inner Mongolia and its relationship with environmental factors. Sci. China Life Sci. 2008, 38, 84–92. [Google Scholar]
- Barnard, R.L.; Leadley, P.W.; Hungate, B.A. Global change, nitrification, and denitrification: A review. Glob. Biogeochem. Cycles 2005, 19, 1007. [Google Scholar] [CrossRef]
- Niboyet, A.; Barthes, L.; Hungate, B.A.; Le Roux, X.; Bloor, J.M.; Ambroise, A.; Fontaine, S.; Price, P.M.; Leadley, P.W. Responses of soil nitrogen cycling to the interactive effects of elevated CO2 and inorganic N supply. Plant Soil 2010, 327, 35–47. [Google Scholar] [CrossRef]
- Corre, M.D.; Beese, F.; Brumme, R. Soil nitrogen cycle in high nitrogen deposition forest: Changes under nitrogen saturation and liming. Ecol. Appl. 2003, 13, 287–298. [Google Scholar] [CrossRef]
- Gao, W.; Yang, H.; Kou, L.; Li, S. Effects of nitrogen deposition and fertilization on N transformations in forest soils: A review. J. Soils Sediments 2015, 15, 863–879. [Google Scholar] [CrossRef]
- Tietema, A. Microbial carbon and nitrogen dynamics in coniferous forest floor material collected along a European nitrogen deposition gradient. For. Ecol. Manag. 1998, 101, 29–36. [Google Scholar] [CrossRef]
- Walecka-Hutchison, C.M.; Walworth, J.L. Evaluating the effects of gross nitrogen mineralization, immobilization, and nitrification on nitrogen fertilizer availability in soil experimentally contaminated with diesel. Biodegradation 2007, 18, 133–144. [Google Scholar] [CrossRef] [PubMed]
- Gan, D.Y.; Zeng, H.; Zhu, B. The rhizosphere effect on soil gross nitrogen mineralization: A meta-analysis. Soil Ecol. Lett. 2022, 42, 144–154. [Google Scholar] [CrossRef]
- Cheng, Y.; Wang, J.; Mary, B.; Zhang, J.B.; Cai, Z.C.; Chang, S.X. Soil pH has contrasting effects on gross and net nitrogen mineralizations in adjacent forest and grassland soils in central Alberta, Canada. Soil Biol. Biochem. 2013, 57, 848–857. [Google Scholar] [CrossRef]
- Gerschlauer, F.; Dannenmann, M.; Kuhnel, A.; Meier, R.; Kolar, A.; Butterbachbahl, K.; Kiese, R. Gross nitrogen turnover of natural and managed tropical ecosystems at Mt. Kilimanjaro, Tanzania. Ecosystems 2016, 19, 1271–1288. [Google Scholar] [CrossRef]
- Xu, Y.; Xu, Z. Effects of land use change on soil gross nitrogen transformation rates in subtropical acid soils of Southwest China. Environ. Sci. Pollut. Res. 2015, 22, 10850–10860. [Google Scholar] [CrossRef]
- Chen, Y.; Borken, W.; Stange, C.F.; Matzner, E. Effects of decreasing water potential on gross ammonification and nitrification in an acid coniferous forest soil. Soil Biol. Biochem. 2011, 43, 333–338. [Google Scholar] [CrossRef]
- Wang, C.; Butterbach-Bahl, K.; He, N.; Wang, Q.; Xing, X.; Han, X. Nitrogen addition and mowing affect microbial nitrogen transformations in a C4 grassland in northern China. Eur. J. Soil Sci. 2015, 66, 485–495. [Google Scholar] [CrossRef]
- West, J.B.; Hobbie, S.E.; Reich, P.B. Effects of plant species diversity, atmospheric CO2, and N addition on gross rates of inorganic N release from soil organic matter. Glob. Chang. Biol. 2006, 12, 1400–1408. [Google Scholar] [CrossRef]
- Bremer, D.J.; Ham, J.M.; Owensby, C.E.; Knapp, A.K. Responses of soil respiration to clipping and grazing in a tallgrass prairie. J. Environ. Qual. 1998, 27, 1539–1548. [Google Scholar] [CrossRef]
- Han, Y.; Zhang, Z.; Wang, C.; Jiang, F.; Xia, J. Effects of mowing and nitrogen addition on soil respiration in three patches in an oldfield grassland in Inner Mongolia. J. Plant Ecol. 2011, 5, 219–228. [Google Scholar] [CrossRef]
- Hang, Y.; Feng, J.; Loreau, M.; He, N.; Han, X.; Jiang, L. Nitrogen addition does not reduce the role of spatial asyn-chrony in stabilising grassland communities. Ecol. Lett. 2019, 22, 563–571. [Google Scholar]
- Cong, W.; Van Ruijven, J.; Mommer, L.; De Deyn, G.B.; Berendse, F.; Hoffland, E. Plant species richness promotes soil carbon and nitrogen stocks in grasslands without legumes. J. Ecol. 2014, 102, 1163–1170. [Google Scholar] [CrossRef]
- Fornara, D.A.; Tilman, D. Plant functional composition influences rates of soil carbon and nitrogen accumulation. J. Ecol. 2008, 96, 314–322. [Google Scholar] [CrossRef]
- Lü, X.T.; Lü, F.M.; Zhou, L.S.; Han, X.; Han, X.G. Stoichiometric response of dominant grasses to fire and mowing in a semi-arid grassland. J. Arid Environ. 2012, 78, 154–160. [Google Scholar] [CrossRef]
- Vance, E.D.; Brookes, P.C.; Jenkinson, D.S. An extraction method for measuring soil microbial biomass C. Soil Biol. Biochem. 1987, 19, 703–707. [Google Scholar] [CrossRef]
- Dannenmann, M.; Gasche, R.; Ledebuhr, A.; Papen, H. Effects of forest management on soil N cycling in beech forests stocking on calcareous soils. Plant Soil 2006, 287, 279–300. [Google Scholar] [CrossRef]
- Dannenmann, M.; Simon, J.; Gasche, R.; Holst, J.; Naumann, P.S.; Kögel-Knabner, I.; Knicker, H.; Mayer, H.; Schloter, M.; Pena, R.; et al. Tree girdling provides insight on the role of labile carbon in nitrogen partitioning between soil microorganisms and adult European beech. Soil Biol. Biochem. 2009, 41, 1622–1631. [Google Scholar] [CrossRef]
- Kirkham, D.; Bartholomew, W.V. Equations for following nutrient transformations in soil, utilizing tracer data. Soil Sci. Soc. Am. J. 1954, 19, 189–192. [Google Scholar] [CrossRef]
Disclaimer/Publisher’s Note: The statements, opinions and data contained in all publications are solely those of the individual author(s) and contributor(s) and not of MDPI and/or the editor(s). MDPI and/or the editor(s) disclaim responsibility for any injury to people or property resulting from any ideas, methods, instructions or products referred to in the content. |
© 2023 by the authors. Licensee MDPI, Basel, Switzerland. This article is an open access article distributed under the terms and conditions of the Creative Commons Attribution (CC BY) license (https://creativecommons.org/licenses/by/4.0/).



