Investigation of the Effect of the Auxin Antagonist PEO-IAA on Cannabinoid Gene Expression and Content in Cannabis sativa L. Plants under In Vitro Conditions
Abstract
1. Introduction
2. Results
2.1. Plant Material from the In Vitro Experiment
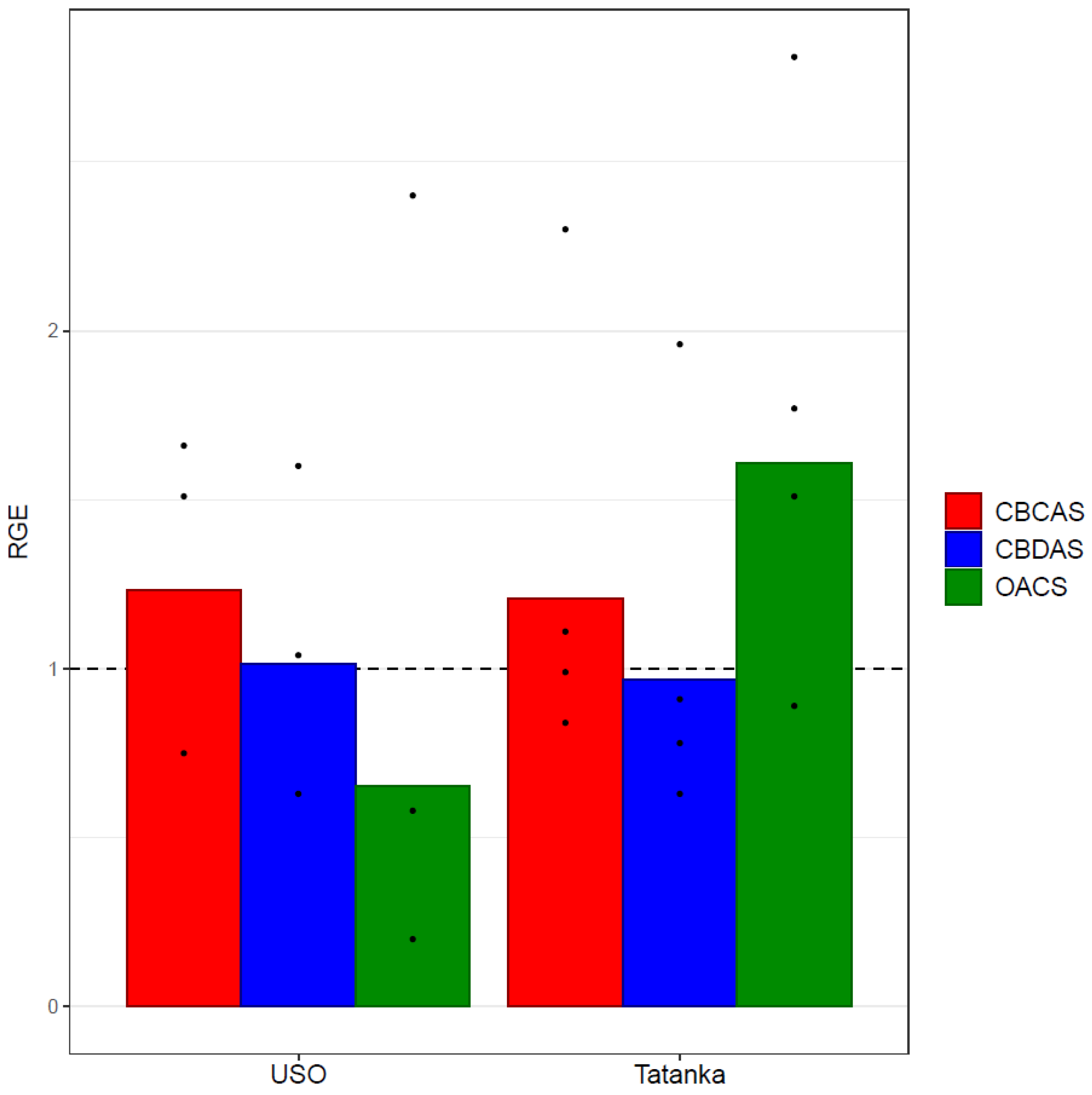
2.2. Relative Gene Expression (RGE)
2.3. Cannabinoid Content
2.4. The Effect of Gene Expression on Cannabinoid Concentration
3. Discussion
4. Materials and Methods
4.1. Plant Material—Establishment of In Vitro Cultures
4.2. The In Vitro Experiment
4.3. The RNA Isolation and Reverse Transcription to cDNA
4.4. The RT-qPCR Analysis
4.5. Phytochemical Analysis
4.6. Statistical Analyses
5. Conclusions
Author Contributions
Funding
Data Availability Statement
Acknowledgments
Conflicts of Interest
References
- McPartland, J.M.; Hegman, W.; Long, T. Cannabis in Asia: Its Center of Origin and Early Cultivation, Based on a Synthesis of Subfossil Pollen and Archaeobotanical Studies. Veg. Hist. Archaeobot. 2019, 28, 691–702. [Google Scholar] [CrossRef]
- Karche, T.; Singh, M.R. The Application of Hemp (Cannabis sativa L.) for a Green Economy: A Review. Turk. J. Bot. 2019, 43, 710–723. [Google Scholar] [CrossRef]
- Krüger, M.; van Eeden, T.; Beswa, D. Cannabis sativa Cannabinoids as Functional Ingredients in Snack Foods—Historical and Developmental Aspects. Plants 2022, 11, 3330. [Google Scholar] [CrossRef] [PubMed]
- Hesami, M.; Pepe, M.; Baiton, A.; Jones, A.M.P. Current Status and Future Prospects in Cannabinoid Production through in Vitro Culture and Synthetic Biology. Biotechnol. Adv. 2023, 62, 108074. [Google Scholar] [CrossRef] [PubMed]
- Kovalchuk, I.; Pellino, M.; Rigault, P.; van Velzen, R.; Ebersbach, J.; Ashnest, J.R.; Mau, M.; Schranz, M.E.; Alcorn, J.; Laprairie, R.B.; et al. The Genomics of Cannabis and Its Close Relatives. Annu. Rev. Plant Biol. 2020, 71, 713–739. [Google Scholar] [CrossRef]
- Hesami, M.; Pepe, M.; Alizadeh, M.; Rakei, A.; Baiton, A.; Phineas Jones, A.M. Recent Advances in Cannabis Biotechnology. Ind. Crops Prod. 2020, 158, 113026. [Google Scholar] [CrossRef]
- Small, E. Evolution and Classification of Cannabis sativa (Marijuana, Hemp) in Relation to Human Utilization. Bot. Rev. 2015, 81, 189–294. [Google Scholar] [CrossRef]
- Hammond, C.T.; Mahlberg, P.G. Morphogenesis of capitate glandular hairs of cannabis sativa (cannabaceae). Am. J. Bot. 1977, 64, 1023–1031. [Google Scholar] [CrossRef]
- Pagano, C.; Navarra, G.; Coppola, L.; Avilia, G.; Bifulco, M.; Laezza, C. Cannabinoids: Therapeutic Use in Clinical Practice. Int. J. Mol. Sci. 2022, 23, 3344. [Google Scholar] [CrossRef]
- Monthony, A.S.; Page, S.R.; Hesami, M.; Jones, A.M.P. The Past, Present and Future of Cannabis sativa Tissue Culture. Plants 2021, 10, 185. [Google Scholar] [CrossRef]
- Jin, D.; Dai, K.; Xie, Z.; Chen, J. Secondary Metabolites Profiled in Cannabis Inflorescences, Leaves, Stem Barks, and Roots for Medicinal Purposes. Sci. Rep. 2020, 10, 3309. [Google Scholar] [CrossRef] [PubMed]
- Tahir, M.N.; Shahbazi, F.; Rondeau-Gagné, S.; Trant, J.F. The Biosynthesis of the Cannabinoids. J. Cannabis Res. 2021, 3, 7. [Google Scholar] [CrossRef] [PubMed]
- De Backer, B.; Maebe, K.; Verstraete, A.G.; Charlier, C. Evolution of the Content of THC and Other Major Cannabinoids in Drug-Type Cannabis Cuttings and Seedlings During Growth of Plants*: Evolution of major cannabinoids content during growth of plants. J. Forensic Sci. 2012, 57, 918–922. [Google Scholar] [CrossRef]
- Andre, C.M.; Hausman, J.-F.; Guerriero, G. Cannabis sativa: The Plant of the Thousand and One Molecules. Front. Plant Sci. 2016, 7, 19. [Google Scholar] [CrossRef] [PubMed]
- De Meijer, E.P.M.; Bagatta, M.; Carboni, A.; Crucitti, P.; Moliterni, V.M.C.; Ranalli, P.; Mandolino, G. The Inheritance of Chemical Phenotype in Cannabis sativa L. Genetics 2003, 163, 335–346. [Google Scholar] [CrossRef]
- Hurgobin, B.; Tamiru-Oli, M.; Welling, M.T.; Doblin, M.S.; Bacic, A.; Whelan, J.; Lewsey, M.G. Recent Advances in Cannabis sativa Genomics Research. New Phytol. 2021, 230, 73–89. [Google Scholar] [CrossRef]
- Lata, H.; Chandra, S.; Khan, I.; ElSohly, M.A. Thidiazuron-Induced High-Frequency Direct Shoot Organogenesis of Cannabis sativa L. In Vitr. Cell. Dev. Biol. Plant 2009, 45, 12–19. [Google Scholar] [CrossRef]
- Lata, H.; Chandra, S.; Techen, N.; Khan, I.A.; ElSohly, M.A. In Vitro Mass Propagation of Cannabis sativa L.: A Protocol Refinement Using Novel Aromatic Cytokinin Meta-Topolin and the Assessment of Eco-Physiological, Biochemical and Genetic Fidelity of Micropropagated Plants. J. Appl. Res. Med. Aromat. Plants 2016, 3, 18–26. [Google Scholar] [CrossRef]
- Cheng, C.; Zang, G.; Zhao, L.; Gao, C.; Tang, Q.; Chen, J.; Guo, X.; Peng, D.; Su, J. A Rapid Shoot Regeneration Protocol from the Cotyledons of Hemp (Cannabis sativa L.). Ind. Crops Prod. 2016, 83, 61–65. [Google Scholar] [CrossRef]
- Zarei, A.; Behdarvandi, B.; Tavakouli Dinani, E.; Maccarone, J. Cannabis sativa L. Photoautotrophic Micropropagation: A Powerful Tool for Industrial Scale in Vitro Propagation. In Vitr. Cell. Dev. Biol. Plant 2021, 57, 932–941. [Google Scholar] [CrossRef]
- Ioannidis, K.; Tomprou, I.; Mitsis, V. An Alternative In Vitro Propagation Protocol of Cannabis sativa L. (Cannabaceae) Presenting Efficient Rooting, for Commercial Production. Plants 2022, 11, 1333. [Google Scholar] [CrossRef] [PubMed]
- Delporte, F.; Pretova, A.; du Jardin, P.; Watillon, B. Morpho-Histology and Genotype Dependence of in Vitro Morphogenesis in Mature Embryo Cultures of Wheat. Protoplasma 2014, 251, 1455–1470. [Google Scholar] [CrossRef] [PubMed]
- Pepe, M.; Leonardos, E.D.; Marie, T.R.J.G.; Kyne, S.T.; Hesami, M.; Jones, A.M.P.; Grodzinski, B. A Noninvasive Gas Exchange Method to Test and Model Photosynthetic Proficiency and Growth Rates of In Vitro Plant Cultures: Preliminary Implication for Cannabis sativa L. Biology 2022, 11, 729. [Google Scholar] [CrossRef]
- Pepe, M.; Hesami, M.; Small, F.; Jones, A.M.P. Comparative Analysis of Machine Learning and Evolutionary Optimization Algorithms for Precision Micropropagation of Cannabis sativa: Prediction and Validation of in Vitro Shoot Growth and Development Based on the Optimization of Light and Carbohydrate Sources. Front. Plant Sci. 2021, 12, 757869. [Google Scholar] [CrossRef] [PubMed]
- Lata, H.; Chandra, S.; Khan, I.; ElSohly, M. High Frequency Plant Regeneration from Leaf Derived Callus of High Δ9-Tetrahydrocannabinol Yielding Cannabis sativa L. Planta Med. 2010, 76, 1629–1633. [Google Scholar] [CrossRef]
- Wielgus, K.; Luwanska, A.; Lassocinski, W.; Kaczmarek, Z. Estimation of Cannabis sativa L. Tissue Culture Conditions Essential for Callus Induction and Plant Regeneration. J. Nat. Fibers 2008, 5, 199–207. [Google Scholar] [CrossRef]
- Smýkalová, I.; Vrbová, M.; Cvečková, M.; Plačková, L.; Žukauskaitė, A.; Zatloukal, M.; Hrdlička, J.; Plíhalová, L.; Doležal, K.; Griga, M. The Effects of Novel Synthetic Cytokinin Derivatives and Endogenous Cytokinins on the in Vitro Growth Responses of Hemp (Cannabis sativa L.) Explants. Plant Cell Tiss. Organ. Cult. 2019, 139, 381–394. [Google Scholar] [CrossRef]
- Hesami, M.; Baiton, A.; Alizadeh, M.; Pepe, M.; Torkamaneh, D.; Jones, A.M.P. Advances and Perspectives in Tissue Culture and Genetic Engineering of Cannabis. Int. J. Mol. Sci. 2021, 22, 5671. [Google Scholar] [CrossRef] [PubMed]
- Shiels, D.; Prestwich, B.D.; Koo, O.; Kanchiswamy, C.N.; O’Halloran, R.; Badmi, R. Hemp Genome Editing—Challenges and Opportunities. Front. Genome Ed. 2022, 4, 823486. [Google Scholar] [CrossRef] [PubMed]
- Simiyu, D.C.; Jang, J.H.; Lee, O.R. Understanding Cannabis sativa L.: Current Status of Propagation, Use, Legalization, and Haploid-Inducer-Mediated Genetic Engineering. Plants 2022, 11, 1236. [Google Scholar] [CrossRef] [PubMed]
- Leyser, O. Auxin Signaling. Plant Physiol. 2018, 176, 465–479. [Google Scholar] [CrossRef] [PubMed]
- Ishida, T.; Adachi, S.; Yoshimura, M.; Shimizu, K.; Umeda, M.; Sugimoto, K. Auxin Modulates the Transition from the Mitotic Cycle to the Endocycle in Arabidopsis. Development 2010, 137, 63–71. [Google Scholar] [CrossRef]
- Král, D.; Šenkyřík, J.B.; Ondřej, V. Expression of Genes Involved in ABA and Auxin Metabolism and LEA Gene during Embryogenesis in Hemp. Plants 2022, 11, 2995. [Google Scholar] [CrossRef]
- Chapman, E.J.; Estelle, M. Mechanism of Auxin-Regulated Gene Expression in Plants. Annu. Rev. Genet. 2009, 43, 265–285. [Google Scholar] [CrossRef] [PubMed]
- Mockaitis, K.; Estelle, M. Auxin Receptors and Plant Development: A New Signaling Paradigm. Annu. Rev. Cell Dev. Biol. 2008, 24, 55–80. [Google Scholar] [CrossRef] [PubMed]
- Hasegawa, J.; Sakamoto, T.; Fujimoto, S.; Yamashita, T.; Suzuki, T.; Matsunaga, S. Auxin Decreases Chromatin Accessibility through the TIR1/AFBs Auxin Signaling Pathway in Proliferative Cells. Sci. Rep. 2018, 8, 7773. [Google Scholar] [CrossRef]
- Takato, S.; Kakei, Y.; Mitsui, M.; Ishida, Y.; Suzuki, M.; Yamazaki, C.; Hayashi, K.; Ishii, T.; Nakamura, A.; Soeno, K.; et al. Auxin Signaling through SCFTIR1/AFBs Mediates Feedback Regulation of IAA Biosynthesis. Biosci. Biotechnol. Biochem. 2017, 81, 1320–1326. [Google Scholar] [CrossRef]
- Murphy, R.; Adelberg, J. Physical Factors Increased Quantity and Quality of Micropropagated Shoots of Cannabis sativa L. in a Repeated Harvest System with Ex Vitro Rooting. In Vitr. Cell. Dev. Biol. Plant 2021, 57, 923–931. [Google Scholar] [CrossRef]
- Cabrera, J.; Díaz-Manzano, F.E.; Sanchez, M.; Rosso, M.; Melillo, T.; Goh, T.; Fukaki, H.; Cabello, S.; Hofmann, J.; Fenoll, C.; et al. A Role for LATERAL ORGAN BOUNDARIES-DOMAIN 16 during the Interaction Arabidopsis–Meloidogyne spp. Provides a Molecular Link between Lateral Root and Root-knot Nematode Feeding Site Development. New Phytol. 2014, 203, 632–645. [Google Scholar] [CrossRef]
- Murashige, T.; Skoog, F. A Revised Medium for Rapid Growth and Bio Assays with Tobacco Tissue Cultures. Physiol. Plant 1962, 15, 473–497. [Google Scholar] [CrossRef]
- Fulvio, F.; Paris, R.; Montanari, M.; Citti, C.; Cilento, V.; Bassolino, L.; Moschella, A.; Alberti, I.; Pecchioni, N.; Cannazza, G.; et al. Analysis of Sequence Variability and Transcriptional Profile of Cannabinoid Synthase Genes in Cannabis sativa L. Chemotypes with a Focus on Cannabichromenic Acid Synthase. Plants 2021, 10, 1857. [Google Scholar] [CrossRef] [PubMed]
- Van Bakel, H.; Stout, J.M.; Cote, A.G.; Tallon, C.M.; Sharpe, A.G.; Hughes, T.R.; Page, J.E. The Draft Genome and Transcriptome of Cannabis sativa. Genome Biol. 2011, 12, R102. [Google Scholar] [CrossRef] [PubMed]
- Pfaffl, M.W. A New Mathematical Model for Relative Quantification in Real-Time RT-PCR. Nucleic Acids Res. 2001, 29, e45. [Google Scholar] [CrossRef] [PubMed]
- Béres, T.; Černochová, L.; Ćavar Zeljković, S.; Benická, S.; Gucký, T.; Berčák, M.; Tarkowski, P. Intralaboratory Comparison of Analytical Methods for Quantification of Major Phytocannabinoids. Anal. Bioanal. Chem. 2019, 411, 3069–3079. [Google Scholar] [CrossRef]








| ln(RGE) | USO-31 | Tatanka Pure CBD | ||||
|---|---|---|---|---|---|---|
| Biological replicate | CBCA | CBDA | OAC | CBCA | CBDA | OAC | 
| 1 | 0.412 | 0.470 | −0.545 | −0.010 | −0.248 | 0.571 | 
| 2 | −0.288 | −0.462 | 0.875 | 0.833 | 0.673 | 1.033 | 
| 3 | 0.507 | 0.039 | −1.609 | 0.104 | −0.094 | 0.412 | 
| 4 | NA | NA | NA | −0.174 | −0.462 | −0.117 | 
| p-value | 0.489 | 0.959 | 0.614 | 0.460 | 0.902 | 0.139 | 
| Treatment | Cultivar | Biological Replicate | CBDA (mg/g DW *) | CBD (mg/g DW) | CBCA (mg/g DW) | ∆9-THCA (mg/g DW) | ∆9-THC (mg/g DW) | 
|---|---|---|---|---|---|---|---|
| Control | USO-31 | 1 | 0.972 ± 0.016 | <LLOQ | 0.233 ± 0.019 | <LLOQ | ND | 
| USO-31 | 2 | 0.661 ± 0.057 | <LLOQ | 0.188 ± 0.012 | <LLOQ | ND | |
| USO-31 | 3 | 0.948 ± 0.076 | <LLOQ | 0.355 ± 0.020 | <LLOQ | ND | |
| USO-31 | 4 | 1.295 ± 0.005 | <LLOQ | 0.301 ± 0.005 | <LLOQ | ND | |
| PEO-IAA | USO-31 | 1 | 0.353 ± 0.021 | <LLOQ | 0.139 ± 0.014 | <LLOQ | ND | 
| USO-31 | 2 | 0.845 ± 0.099 | <LLOQ | 0.296 ± 0.011 | <LLOQ | ND | |
| USO-31 | 3 | 0.458 ± 0.045 | <LLOQ | 0.116 ± 0.008 | <LLOQ | ND | |
| USO-31 | 4 | 0.597 ± 0.049 | <LLOQ | 0.449 ± 0.031 | <LLOQ | ND | |
| Control | Tatanka Pure CBD | 1 | 3.439 ± 0.124 | 0.083 ± 0.007 | 0.321 ± 0.006 | 0.113 ± 0.009 | <LLOQ | 
| Tatanka Pure CBD | 2 | 2.567 ± 0.266 | 0.089 ± 0.019 | 0.305 ± 0.003 | 0.064 ± 0.004 | <LLOQ | |
| Tatanka Pure CBD | 3 | 1.701 ± 0.121 | 0.066 ± 0.008 | 0.140 ± 0.001 | 0.053 ± 0.008 | <LLOQ | |
| Tatanka Pure CBD | 4 | 3.246 ± 0.174 | 0.111 ± 0.013 | 0.242 ± 0.009 | 0.111 ± 0.012 | <LLOQ | |
| PEO-IAA | Tatanka Pure CBD | 1 | 5.164 ± 0.116 | 0.124 ± 0.015 | 0.438 ± 0.011 | 0.179 ± 0.007 | 0.009 ± 0.000 | 
| Tatanka Pure CBD | 2 | 2.763 ± 0.351 | 0.066 ± 0.012 | 0.297 ± 0.021 | 0.089 ± 0.007 | <LLOQ | |
| Tatanka Pure CBD | 3 | 2.654 ± 0.153 | 0.069 ± 0.006 | 0.286 ± 0.017 | 0.085 ± 0.003 | <LLOQ | |
| Tatanka Pure CBD | 4 | 4.319 ± 0.205 | 0.152 ± 0.012 | 0.324 ± 0.026 | 0.149 ± 0.018 | 0.009 ± 0.001 | 
| ln(RC) | USO-31 | Tatanka Pure CBD | |||
|---|---|---|---|---|---|
| Biological replicate | CBCA | CBDA | CBCA | CBDA | CBD | 
| 1 | 0.513 | 1.014 | −0.311 | −0.406 | −0.405 | 
| 2 | −0.456 | −0.246 | −0.293 | −0.285 | −0.320 | 
| 3 | 1.116 | 0.728 | 0.026 | −0.074 | −0.005 | 
| 4 | −0.400 | 0.774 | −0.715 | −0.445 | −0.042 | 
| p-value | 0.646 | 0.134 | 0.123 | 0.036 | 0.148 | 
| Variable | Estimate | Std. Error | p-Value | 
|---|---|---|---|
| Intercept | 0.067 | 0.103 | 0.530 | 
| ln(RGE) | 1.551 | 0.194 | <0.001 | 
| CCBDA | 0.404 | 0.115 | 0.008 | 
| GTatanka | −0.362 | 0.119 | 0.016 | 
| Gene | Primer Sequence (5′–3′) | Amplicon Length (bp) | Efficiency (%) | Ta (°C) | 
|---|---|---|---|---|
| ACT | Fw: CCAATAGCCTTGCATTCCAT | 172 | 94.4 | 60 | 
| Rw: TCGATTGGAAAGCCGAATAC | ||||
| OAC | Fw: TCATCCTGCCCATGTTGGAT | 115 | 114.9 | 60 | 
| Rv: AAGGCAGCTTGGTCGGCTAC | ||||
| CBCAS | Fw: GCTCACGACTCACTTCAGAACTAG | 198 | 87.1 | 60 | 
| Rv: GTAGAAGATGGTTGTATCAATCCAGCTC | ||||
| CBDAS | Fw: GCAATACACACTTACTTCTCTTCAGTTTTC | 241 | 99.8 | 60 | 
| Rv: ACGTAGTCTAACTTATCTTGAAAGCAC | ||||
| THCAS | Fw: AAAACTTCCTTAAATGCTTCTCAA | 198 | 89.1 | 60 | 
| Rv: TAAAATAGTTGCTTGGATATGGGAGTT | 
| Disclaimer/Publisher’s Note: The statements, opinions and data contained in all publications are solely those of the individual author(s) and contributor(s) and not of MDPI and/or the editor(s). MDPI and/or the editor(s) disclaim responsibility for any injury to people or property resulting from any ideas, methods, instructions or products referred to in the content. | 
© 2023 by the authors. Licensee MDPI, Basel, Switzerland. This article is an open access article distributed under the terms and conditions of the Creative Commons Attribution (CC BY) license (https://creativecommons.org/licenses/by/4.0/).
Share and Cite
Šenkyřík, J.B.; Křivánková, T.; Kaczorová, D.; Štefelová, N. Investigation of the Effect of the Auxin Antagonist PEO-IAA on Cannabinoid Gene Expression and Content in Cannabis sativa L. Plants under In Vitro Conditions. Plants 2023, 12, 1664. https://doi.org/10.3390/plants12081664
Šenkyřík JB, Křivánková T, Kaczorová D, Štefelová N. Investigation of the Effect of the Auxin Antagonist PEO-IAA on Cannabinoid Gene Expression and Content in Cannabis sativa L. Plants under In Vitro Conditions. Plants. 2023; 12(8):1664. https://doi.org/10.3390/plants12081664
Chicago/Turabian StyleŠenkyřík, Josef Baltazar, Tereza Křivánková, Dominika Kaczorová, and Nikola Štefelová. 2023. "Investigation of the Effect of the Auxin Antagonist PEO-IAA on Cannabinoid Gene Expression and Content in Cannabis sativa L. Plants under In Vitro Conditions" Plants 12, no. 8: 1664. https://doi.org/10.3390/plants12081664
APA StyleŠenkyřík, J. B., Křivánková, T., Kaczorová, D., & Štefelová, N. (2023). Investigation of the Effect of the Auxin Antagonist PEO-IAA on Cannabinoid Gene Expression and Content in Cannabis sativa L. Plants under In Vitro Conditions. Plants, 12(8), 1664. https://doi.org/10.3390/plants12081664
 
        





 
       