Photosynthesis Product Allocation and Yield in Sweet Potato in Response to Different Late-Season Irrigation Levels
Abstract
1. Introduction
2. Results
2.1. Effects of Irrigation Levels on the Dynamics of Dry Matter Accumulation by Sweet Potato during the Late Season
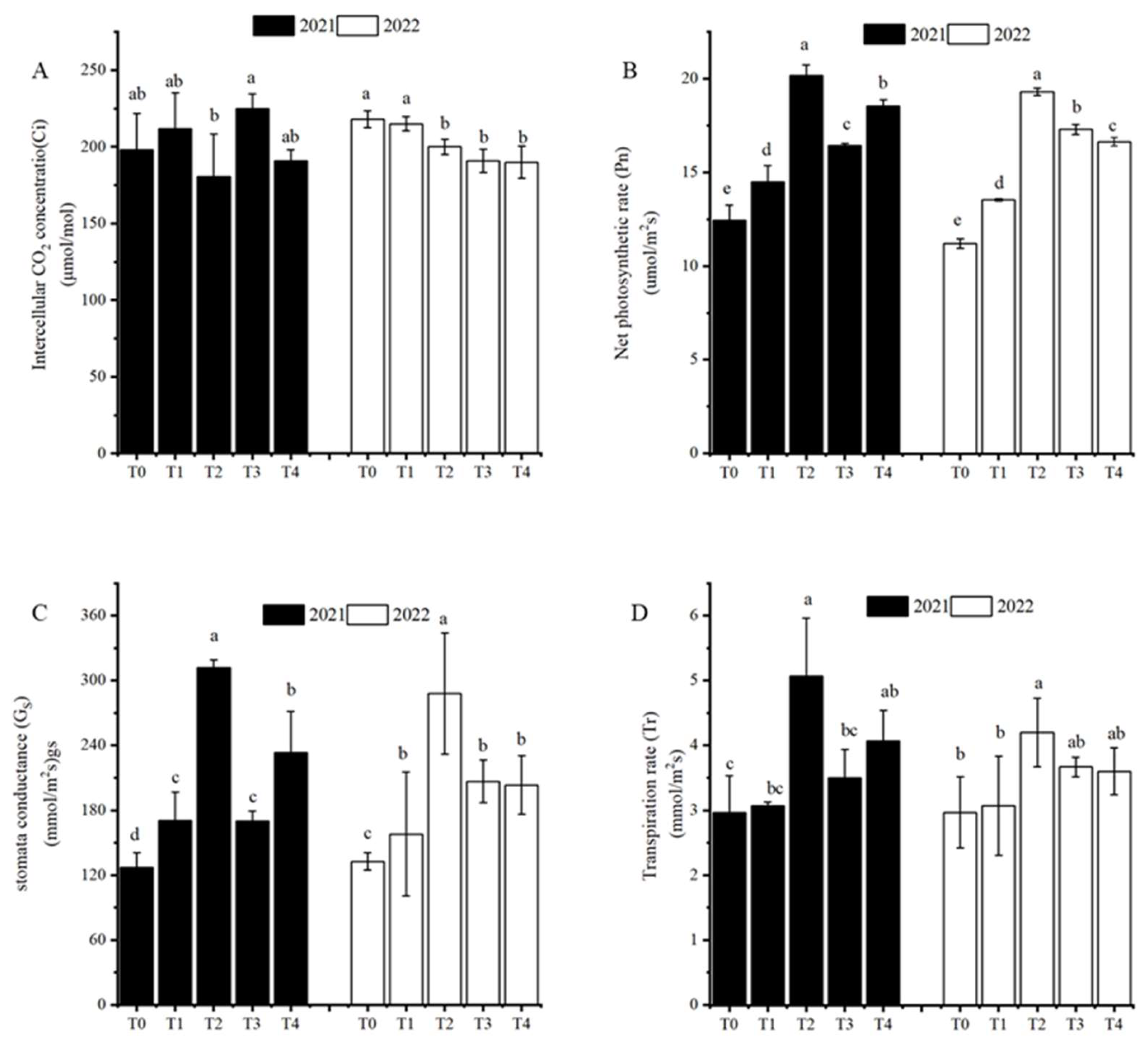
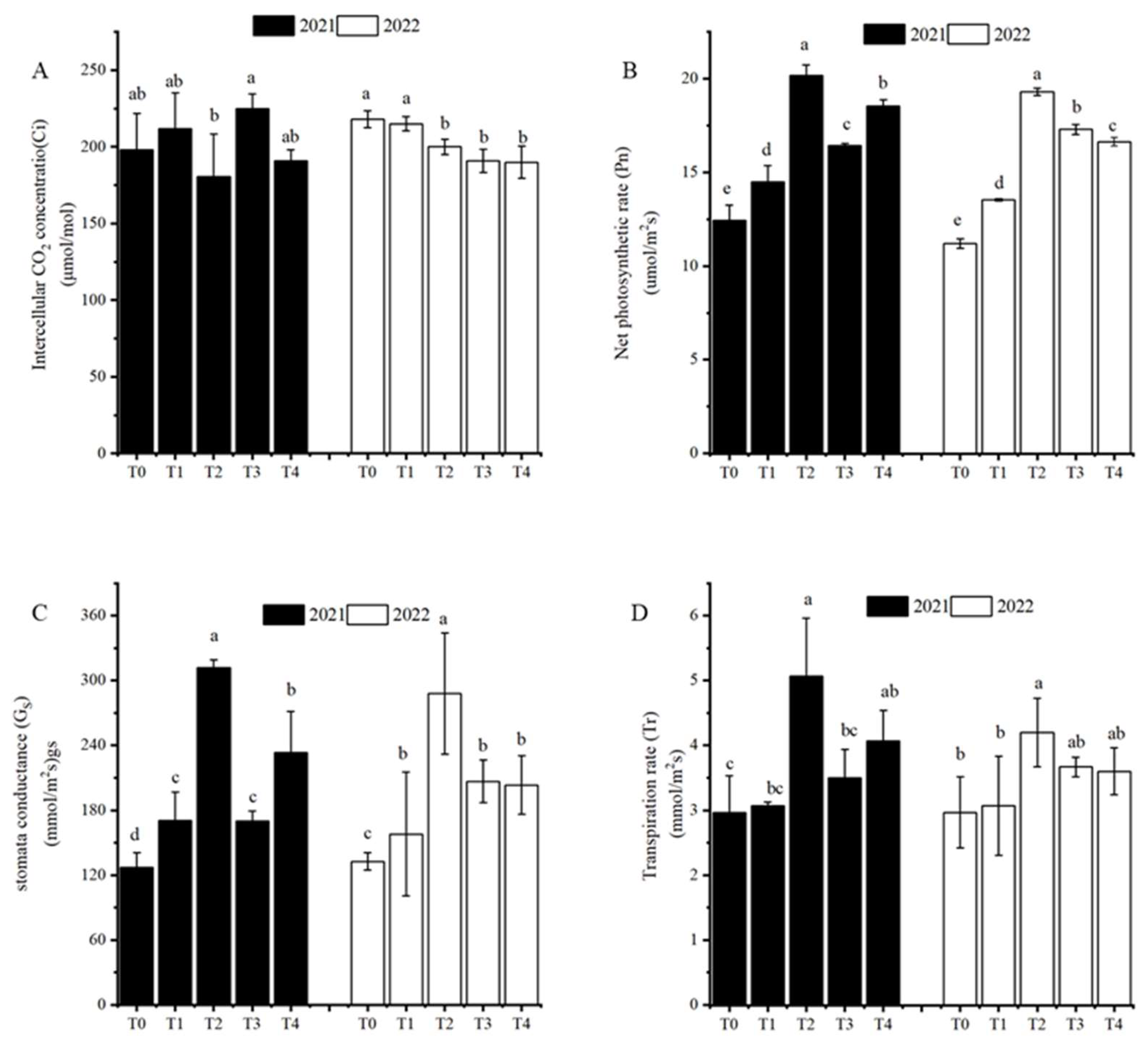
2.2. Effects of Irrigation Levels on Chlorophyll Content and Photosynthetic Parameters during Late-Season Sweet Potato Growth
2.3. Effects of Irrigation Levels on 13C Accumulation and Allocation in Late-Season Sweet Potato Growth
2.4. Effects of Irrigation Level on the Dynamics of Dry Matter Accumulation in Storage Root
2.5. Effects of Irrigation Level on the Yield and Water Use Efficiency of Sweet Potato
2.6. Effects of Late-Season Irrigation on the Economic Benefits of Sweet Potato
3. Discussion
3.1. Effects of Late-Season Irrigation on Biomass, Chlorophyll Concentrations and Photosynthetic Parameters of Sweet Potato
3.2. Effects of Late-Season Irrigation on the Relationships among 13C Allocation, Storage Root Enlargement and the Source–Sink Relationship of Sweet Potato
3.3. Effects of Late-Season Irrigation on Sweet Potato Yield and Water Use Efficiency
4. Materials and Methods
4.1. Experimental Site Description
4.2. Experimental Design and Treatments
4.3. Irrigation Treatments
4.4. Data Collection
4.4.1. Determination of Sweet Potato Biomass
4.4.2. Determination of Chlorophyll Content
4.4.3. Determination of Photosynthetic Parameters of Sweet Potato Leaves
4.4.4. Logistic Regression Equation and Parameters
4.4.5. 13C labelling of Sweet Potato Leaves and Determination of the 13C Accumulation and Allocation Ratio
4.4.6. Sweet Potato Evapotranspiration and Water Use Efficiency
4.4.7. Economic Analysis
4.5. Data Analyses
5. Conclusions
Author Contributions
Funding
Data Availability Statement
Acknowledgments
Conflicts of Interest
References
- Sonnewald, U.; Fernie, A.R. Next-generation strategies for understanding and influencing source-sink relations in crop plants. Curr. Opin. Plant Biol. 2018, 43, 63–70. [Google Scholar] [CrossRef]
- Gajanayake, B.; Reddy, K.R.; Shankle, M.W.; Arancibia, R.A. Growth, developmental, and physiological responses of two sweetpotato (Ipomoea batatas L. [Lam]) cultivars to early season soil moisture deficit. Sci. Hortic. 2014, 168, 218–228. [Google Scholar] [CrossRef]
- Reddy, A.R.; Chaitanya, K.V.; Vivekanandan, M. Drought-induced responses of photosynthesis and antioxidant metabolism in higher plants. J. Plant Physiol. 2004, 161, 1189–1202. [Google Scholar] [CrossRef] [PubMed]
- Zhao, C.X.; Guo, L.Y.; Jaleel, C.A.; Shao, H.B.; Yang, H.B. Prospectives for applying molecular and genetic methodology to improve wheat cultivars in drought environments. C. R. Biol. 2008, 331, 579–586. [Google Scholar] [CrossRef]
- Van Heerden, P.D.R.; Laurie, R. Effects of prolonged restriction in water supply on photosynthesis, shoot development and storage root yield in sweet potato. Physiol. Plant. 2008, 134, 99–109. [Google Scholar] [CrossRef]
- Gajanayake, B.; Reddy, K.R.; Shankle, M.W.; Arancibia, R.A.; Villordon, A.O. Quantifying Storage Root Initiation, Growth, and Developmental Responses of Sweetpotato to Early Season Temperature. Agron. J. 2014, 106, 1795–1804. [Google Scholar] [CrossRef]
- Kwak, S.S. Biotechnology of the sweetpotato: Ensuring global food and nutrition security in the face of climate change. Plant Cell Rep. 2019, 38, 1361–1363. [Google Scholar] [CrossRef]
- Villordon, A.; LaBonte, D.; Solis, J.; Firon, N. Characterization of Lateral Root Development at the Onset of Storage Root Initiation in ‘Beauregard’ Sweetpotato Adventitious Roots. HortScience 2012, 47, 961–968. [Google Scholar] [CrossRef]
- Li, S.; Zhao, L.; Sun, N.; Liu, Q.; Li, H. Photosynthesis product allocation and yield in sweetpotato with different irrigation levels at mid-season. Agric. Water Manag. 2021, 246, 106708. [Google Scholar] [CrossRef]
- Zhang, H.Y.; Xie, B.T.; Duan, W.X.; Dong, S.X.; Wang, B.Q.; Zhang, L.M.; Shi, C.Y. Effects of drought stress at different growth stages on photosynthetic efficiency and water consumption characteristics in Sweet potato. Appl. Ecol. 2018, 29, 1943–1950. [Google Scholar]
- Rankine, D.R.; Cohen, J.E.; Taylor, M.A.; Coy, A.D.; Simpson, L.A.; Stephenson, T.; Lawrence, J.L. Parameterizing the FAO AquaCrop Model for Rainfed and Irrigated Field-Grown Sweet Potato. Agron. J. 2015, 107, 375–387. [Google Scholar] [CrossRef]
- Zierer, W.; Rüscher, D.; Sonnewald, U.; Sonnewald, S. Tuber and Tuberous Root Development. Annu. Rev. Plant Biol. 2021, 72, 551–580. [Google Scholar] [CrossRef]
- Lewthwaite, S.L.; Triggs, C.M. Sweet potato cultivar response to prolonged drought. In Proceedings of the 42nd Agronomy Society Conference; Lincoln University: Canterbury, New Zealand, 2012. [Google Scholar]
- Ngigi, S.N.; Savenije, H.H.; Thome, J.N.; Rockström, J.; de Vries, F.P. Agro-hydrological evaluation of on-farm rainwater storage systems for supplemental irrigation in Laikipia district, Kenya. Agric. Water Manag. 2005, 73, 21–41. [Google Scholar] [CrossRef]
- Nagaz, K.; El Mokh, F.; Alva, A.K.; Masmoudi, M.M.; Ben Mechlia, N. Potato Response to Different Irrigation Regimes Using Saline Water. Irrig. Drain. 2016, 65, 654–663. [Google Scholar] [CrossRef]
- Zheng, J.; Huang, G.; Wang, J.; Huang, Q.; Pereira, L.S.; Xu, X.; Liu, H. Effects of water deficits on growth, yield and water productivity of drip-irrigated onion (Allium cepa L.) in an arid region of Northwest China. Irrig. Sci. 2012, 31, 995–1008. [Google Scholar] [CrossRef]
- Mattar, M.A.; Zin El-Abedin, T.K.; Alazba, A.A.; Al-Ghobari, H.M. Soil water status and growth of tomato with partial root-zone drying and deficit drip irrigation techniques. Irrig. Sci. 2020, 38, 163–176. [Google Scholar] [CrossRef]
- Thompson, P.G.; Smittle, D.A.; Hall, M.R. Relationship of Sweetpotato Yield and Quality to Amount of Irrigation. HortScience 1992, 27, 23–26. [Google Scholar] [CrossRef]
- Gajanayake, B.; Reddy, K.R. Sweetpotato Responses to Mid- and Late-Season Soil Moisture Deficits. Crop Sci. 2016, 56, 1865–1877. [Google Scholar] [CrossRef]
- Rao, R.; Li, Y. Management of Flooding Effects on Growth of Vegetable and Selected Field Crops. HortTechnology 2003, 13, 610–616. [Google Scholar] [CrossRef]
- Siqinbatu, Y.K.; Hirai, H.; Endo, R.; Shibuya, T. Effects of water contents and CO2 concentrations in soil on growth of sweet potato. Field Crop. Res. 2013, 152, 36–43. [Google Scholar] [CrossRef]
- Huang, H.; Zhou, M.; Liang, B.; Xiang, D.; Li, H. Effects of atmospheric CO2 on canopy uptake of gaseous ammonia by tomato (Lycopersicum esculentum Mill.) in polytunnel vegetable production systems. Sci. Hortic. 2022, 293, 110739. [Google Scholar] [CrossRef]
- Huan, L.; Jin-Qiang, W.; Qing, L. Photosynthesis product allocation and yield in sweet potato with spraying exogenous hormones under drought stress. J. Plant Physiol. 2020, 253, 153265. [Google Scholar] [CrossRef] [PubMed]
- Pérez-Pazos, J.V.; Rosero, A.; Martínez, R.; Pérez, J.; Morelo, J.; Araujo, H.; Burbano-Erazo, E. Influence of morpho-physiological traits on root yield in sweet potato (Ipomoea batatas Lam.) genotypes and its adaptation in a sub-humid environment. Sci. Hortic. 2021, 275, 10970. [Google Scholar] [CrossRef]
- Liu, J.; Friebe, V.M.; Frese, R.N.; Jones, M.R. Polychromatic solar energy conversion in pigment-protein chimeras that unite the two kingdoms of (bacterio)chlorophyll-based photosynthesis. Nat. Commun. 2020, 11, 1542. [Google Scholar] [CrossRef]
- Saeedipour, S.; Moradi, F. Effect of Drought at the Post-anthesis Stage on Remobilization of Carbon Reserves and Some Physiological Changes in the Flag Leaf of Two Wheat Cultivars Differing in Drought Resistance. J. Agric. Sci. 2011, 3, 81. [Google Scholar] [CrossRef]
- Igamberdiev, A.U.; Mikkelsen, T.N.; Ambus, P.; Bauwe, H.; Lea, P.J.; Gardeström, P. Photorespiration Contributes to Stomatal Regulation and Carbon Isotope Fractionation: A Study with Barley, Potato and Arabidopsis Plants Deficient in Glycine Decarboxylase. Photosynth. Res. 2004, 81, 139–152. [Google Scholar] [CrossRef]
- Verma, V.; Foulkes, M.J.; Worland, A.J.; Sylvester-Bradley, R.; Caligari, P.D.S.; Snape, J.W. Mapping quantitative trait loci for flag leaf senescence as a yield determinant in winter wheat under optimal and drought-stressed environments. Euphytica 2004, 135, 255–263. [Google Scholar] [CrossRef]
- Xu, X.; Zhang, Y.; Li, J.; Zhang, M.; Zhou, X.; Zhou, S.; Wang, Z. Optimizing single irrigation scheme to improve water use efficiency by manipulating winter wheat sink-source relationships in Northern China Plain. PLoS ONE 2018, 13, e0193895. [Google Scholar] [CrossRef]
- Gouveia, C.S.; Ganança, J.F.; Slaski, J.; Lebot, V.; de Carvalho, M.Â.P. Variation of carbon and isotope natural abundances (delta(15)N and delta(13)C) of whole-plant sweet potato (Ipomoea batatas L.) subjected to prolonged water stress. J. Plant Physiol. 2019, 243, 153052. [Google Scholar] [CrossRef]
- Ma, B.L.; Morrison, M.J.; Voldeng, H.D. Leaf Greenness and Photosynthetic Rates in Soybean. Crop Sci. 1995, 35, 1411–1414. [Google Scholar] [CrossRef]
- Haimeirong, F.; Kubota, F.; Yoshimura, Y. Estimation of Photosynthetic Activity from the Electron Transport Rate of Photosystem 2 in a Film-Sealed Leaf of Sweet Potato, Ipomoea batatas Lam. Photosynthetica 2002, 40, 337–341. [Google Scholar] [CrossRef]
- Haimeirong, F.; Kubota, F. The Effects of Drought Stress and Leaf Ageing on Leaf Photosynthesis and Electron Transport in Photosystem 2 in Sweet Potato (Ipomoea batatas Lam.) Cultivars. J. Photosynth. 2003, 41, 253–258. [Google Scholar] [CrossRef]
- Khamssi, N.N.; Najaphy, A. Comparison of photosynthetic components of wheat genotypes under rain-fed and irrigated conditions. Photochem. Photobiol. 2012, 88, 76–80. [Google Scholar] [CrossRef] [PubMed]
- White, A.C.; Rogers, A.; Rees, M.; Osborne, C.P. How can we make plants grow faster? A source–sink perspective on growth rate. J. Exp. Bot. 2016, 67, 31–45. [Google Scholar] [CrossRef] [PubMed]
- Laurie, R.N.; Laurie, S.M.; Du Plooy, C.P.; Finnie, J.F.; Van Staden, J. Yield of Drought-Stressed Sweet Potato in Relation to Canopy Cover, Stem Length and Stomatal Conductance. J. Agric. Sci. 2015, 7, 201. [Google Scholar] [CrossRef]
- Ning, Y.; Ma, H.; Zhang, H.; Wang, J.; Xu, X.; Zhang, Y. Response of Sweetpotato in Source-Sink Relationship Establishment, Expanding, and Balance to Nitrogen Application Rates. Acta Agron. Sin. 2015, 41, 432–439. [Google Scholar] [CrossRef]
- Smith, A.M.; Stitt, M. Coordination of carbon supply and plant growth. Plant Cell Environ. 2007, 30, 1126–1149. [Google Scholar] [CrossRef]
- Ferreira, M.A.M.; Andrade, V.C.; Oliveira, A.J.; Ferreira, E.A.; Brito, O.G.; Silva, L.R. Physiological characterization of plant growth in sweet potato. Hortic. Bras. 2019, 37, 112–118. [Google Scholar] [CrossRef]
- Xue, J.; Zhao, Y.; Gou, L.; Shi, Z.; Yao, M.; Zhang, W. How High Plant Density of Maize Affects Basal Internode Development and Strength Formation. Crop Sci. 2016, 56, 3295–3306. [Google Scholar] [CrossRef]
- Xiangbei, D.; Lingcong, K.; Min, X.; Xinyue, Z. Split application improving sweetpotato yield by enhancing photosynthetic and sink capacity under reduced nitrogen condition. Field Crop. Res. 2019, 238, 56–63. [Google Scholar] [CrossRef]
- Keutgen, N.; Mukminah, F.; Roeb, G.W. Sink strength and photosynthetic capacity influence tuber development in sweet potato. J. Hortic. Sci. Biotechnol. 2002, 77, 106–115. [Google Scholar] [CrossRef]
- Daryanto, S.; Wang, L.; Jacinthe, P.A. Drought effects on root and tuber production: A meta-analysis. Agric. Water Manag. 2016, 176, 122–131. [Google Scholar] [CrossRef]
- Mulovhedzi, N.E.; Araya, N.A.; Mengistu, M.G.; Fessehazion, M.K.; Du Plooy, C.P.; Araya, H.T.; Van der Laan, M. Estimating evapotranspiration and determining crop coefficients of irrigated sweet potato (Ipomoea batatas) grown in a semi-arid climate. Agric. Water Manag. 2020, 233, 106099. [Google Scholar] [CrossRef]
- Shammout, M.A.W.; Qtaishat, T.; Rawabdeh, H.; Shatanawi, M. Improving Water Use Efficiency under Deficit Irrigation in the Jordan Valley. Sustainability 2018, 10, 431. [Google Scholar] [CrossRef]
- Yang, H.; Liu, H.; Zheng, J.; Huang, Q. Effects of regulated deficit irrigation on yield and water productivity of chili pepper (Capsicum annuum L.) in the arid environment of Northwest China. Irrig. Sci. 2018, 36, 61–74. [Google Scholar] [CrossRef]
- Rykaczewska, K. The Impact of High Temperature during Growing Season on Potato Cultivars with Different Response to Environmental Stresses. Am. J. Plant Sci. 2013, 4, 2386–2393. [Google Scholar] [CrossRef]
- Walworth, J.L.; Carling, D.E. Tuber initiation and development in irrigated and non-irrigated potatoes. Am. J. Potato Res. 2002, 79, 387–395. [Google Scholar] [CrossRef]
- Allen, R.G.; Pereira, L.S.; Raes, D.; Smith, M. Crop Evapotranspiration-Guidelines for Computing Crop Water Requirements; FAO: Italy, Rome, 1998. [Google Scholar]





| Year | Treatment | Shoot Biomass (g/plant) | Storage Root Biomass (g/plant) | Storage Root/Shoot | ||||||
|---|---|---|---|---|---|---|---|---|---|---|
| S1 | S2 | S3 | S1 | S2 | S3 | S1 | S2 | S3 | ||
| 2021 | T0 | 90.00 ± 2.53 d | 90.67 ± 2.53 c | 89.55 ± 1.97 d | 174.12 ± 5.72 c | 186.62 ± 4.95 d | 200.74 ± 0.39 d | 1.93 ± 0.12 ab | 2.06 ± 0.05 a | 2.24 ± 0.04 a |
| T1 | 106.40 ± 3.15 c | 109.68 ± 3.7 b | 113.55 ± 5.28 c | 189.58 ± 9.50 bc | 211.82 ± 5.59 c | 227.57 ± 0.94 c | 1.78 ± 0.11 abc | 1.93 ± 0.02 ab | 2.00 ± 0.09 bc | |
| T2 | 113.20 ± 6.74 bc | 119.68 ± 6.74 b | 121.00 ± 4.63 bc | 228.76 ± 5.76 a | 239.27 ± 5.73 a | 257.00 ± 0.78 a | 2.02 ± 0.10 a | 2.00 ± 0.10 a | 2.12 ± 0.09 ab | |
| T3 | 123.07 ± 3.61 b | 128.35 ± 5.20 b | 130.11 ± 4.39 b | 204.50 ± 3.83 b | 227.34 ± 3.30 ab | 244.35 ± 1.11 ab | 1.66 ± 0.07 b | 1.77 ± 0.07 b | 1.88 ± 0.05 c | |
| T4 | 137.47 ± 5.15 a | 141.05 ± 2.62 a | 143.00 ± 3.24 a | 208.44 ± 3.48 b | 219.62 ± 4.47 bc | 235.73 ± 0.80 bc | 1.52 ± 0.08 c | 1.56 ± 0.06 c | 1.65 ± 0.04 d | |
| 2022 | T0 | 100.66 ± 6.45 d | 101.53 ± 4.39 c | 103.86 ± 3.41 c | 133.67 ± 9.92 b | 143.67 ± 8.57 b | 155.41 ± 3.17 c | 1.34 ± 0.18 a | 1.42 ± 0.07 a | 1.50 ± 0.04 a |
| T1 | 111.37 ± 4.63 cd | 112.30 ± 5.54 c | 114.13 ± 9.14 c | 147.63 ± 16.45 a | 159.27 ± 1.87 a | 173.57 ± 2.45 b | 1.24 ± 0.16 a | 1.42 ± 0.06 a | 1.53 ± 0.11 a | |
| T2 | 121.32 ± 11.78 bc | 125.68 ± 10.45 b | 128.82 ± 7.65 b | 149.31 ± 10.13 a | 162.15 ± 9.92 a | 178.70 ± 2.71 a | 1.16 ± 0.10 ab | 1.29 ± 0.09 ab | 1.39 ± 0.10 ab | |
| T3 | 128.56 ± 6.24 ab | 130.53 ± 8.49 ab | 134.27 ± 7.60 ab | 149.23 ± 6.64 a | 161.56 ± 5.71 a | 176.68 ± 1.48 ab | 1.08 ± 0.09 ab | 1.24 ± 0.07 bc | 1.32 ± 0.06 bc | |
| T4 | 140.80 ± 8.15 a | 142.54 ± 4.08 a | 145.20 ± 5.61 a | 151.56 ± 6.03 a | 161.77 ± 7.73 a | 174.73 ± 0.51 ab | 1.33 ± 0.11 b | 1.14 ± 0.09 c | 1.20 ± 0.05 c | |
| Year | Treatment (ETc) | Model | t1 | t2 | T | Vmean | Vmax | Wmax |
|---|---|---|---|---|---|---|---|---|
| d | d | d | g d−1 | g d−1 | g plant−1 | |||
| 2021 | T0 | Y = 205.93/(1 + 1431,594.12e−0.1232X) R2 = 0.9979 | 107 | 129 | 22 | 1.55 | 6.18 | 205.93 |
| T1 | Y = 238.60/(1 + 625,644.62e−0.1138X) R2 = 0.9983 | 109 | 133 | 24 | 1.75 | 6.56 | 238.60 | |
| T2 | Y = 280.66/(1 + 218,869.20e−0.1022X) R2 = 0.9934 | 108 | 133 | 25 | 1.97 | 7.16 | 280.66 | |
| T3 | Y = 262.62/(1 + 290,040.10e−0.1056X) R2 = 0.9986 | 107 | 132 | 25 | 1.89 | 6.89 | 262.62 | |
| T4 | Y = 252.81/(1 + 131,844.28e−0.0993X) R2 = 0.9986 | 106 | 133 | 27 | 1.79 | 6.26 | 252.81 | |
| 2022 | T0 | Y = 154.24/(1 + 342,7650.28e−0.1374X) R2 = 0.9941 | 100 | 119 | 19 | 1.23 | 5.30 | 154.13 |
| T1 | Y = 173.87/(1 + 7,382,425.82e−0.1393X) R2 = 0.9930 | 104 | 123 | 19 | 1.34 | 6.06 | 171.87 | |
| T2 | Y = 182.62/(1 + 6,612,877.62e−0.1399X) R2 = 0.9940 | 103 | 122 | 19 | 1.43 | 6.39 | 177.62 | |
| T3 | Y = 177.75/(1 + 5,899,178.32e−0.1384X) R2 = 0.9962 | 103 | 122 | 19 | 1.38 | 6.15 | 175.75 | |
| T4 | Y = 175.37/(1 + 7,821,166.95e−0.1380X) R2 = 0.9970 | 105 | 125 | 20 | 1.34 | 6.05 | 175.37 |
| Year | Treatment | I (mm) | P (mm) | ΔS (mm) | Eta (mm) | Yield (t ha−1) | WUE (kg ha−1 mm−1) | WP (kg ha−1 mm−1) |
|---|---|---|---|---|---|---|---|---|
| 2021 | T0 | 13.50 | 418.48 | 24.02 | 456.00 | 40.14 ± 0.39 d | 88.03 ± 0.84 c | 92.93 ± 0.89 d |
| T1 | 24.40 | 418.48 | 26.31 | 469.20 | 45.50 ± 0.94 c | 96.97 ± 2.01 b | 102.73 ± 2.13 b | |
| T2 | 38.30 | 418.48 | 32.69 | 489.50 | 51.38 ± 1.62 a | 104.97 ± 1.59 a | 112.48 ± 1.70 a | |
| T3 | 46.60 | 418.48 | 39.50 | 504.60 | 48.87 ± 1.11 ab | 96.86 ± 2.20 b | 105.08 ± 2.38 bc | |
| T4 | 54.90 | 418.48 | 54.65 | 528.00 | 46.77 ± 0.80 bc | 88.57 ± 1.52 c | 98.80 ± 1.69 c | |
| 2022 | T0 | 13.50 | 465.36 | 25.94 | 504.80 | 38.86 ± 0.15 c | 76.98 ± 1.79 d | 81.15 ± 1.89 c |
| T1 | 18.50 | 465.36 | 27.87 | 511.70 | 43.41 ± 0.61 b | 84.83 ± 0.97 ab | 89.72 ± 1.03 b | |
| T2 | 24.90 | 465.36 | 31.43 | 521.70 | 46.65 ± 0.91 a | 89.42 ± 0.16 a | 95.15 ± 0.17 a | |
| T3 | 28.70 | 465.36 | 39.32 | 533.40 | 44.15 ± 0.50 ab | 82.77 ± 1.94 b | 89.36 ± 2.10 b | |
| T4 | 32.60 | 465.36 | 45.50 | 543.50 | 43.63 ± 0.08 b | 80.28 ± 0.28 c | 87.62 ± 0.30 b | |
| Significance | ||||||||
| Water(W) | ** | * | * | |||||
| Year(Y) | ** | NS | NS | |||||
| W × Y | NS | NS | NS |
| Year | Treatment | Input Value of Consumable Items ($US ha−1) | Total Input | Output Value of Consumable Items ($US ha−1) | Total Output | Output/Input | Net Income ($US ha−1) | ||||||
|---|---|---|---|---|---|---|---|---|---|---|---|---|---|
| Land Use Fee and Seedling Cost | Machinery Operating Cost | Irrigation Equipment Cost | Pesticide and Fertilizer Cost | Electricity and Water Cost | Labour Cost | ($US ha−1) | ≥150 g | <150 g | ($US ha−1) | ||||
| 2021 | T0 | 1470 | 546 | 210 | 546 | 10.40 | 697.54 | 3479.93 | 9562.77 | 10.58 | 9573.343 | 2.75 | 6093.41 |
| T1 | 1470 | 546 | 210 | 546 | 18.79 | 701.20 | 3491.99 | 10,953.7 | 9.44 | 10,963.14 | 3.14 | 7471.15 | |
| T2 | 1470 | 546 | 210 | 546 | 29.49 | 705.87 | 3507.36 | 12,066.52 | 17.44 | 12,083.95 | 3.45 | 8576.59 | |
| T3 | 1470 | 546 | 210 | 546 | 35.88 | 708.66 | 3516.54 | 11,728.80 | 10.95 | 11,739.75 | 3.34 | 8223.21 | |
| T4 | 1470 | 546 | 210 | 546 | 42.27 | 711.45 | 3525.72 | 11,233.97 | 10.27 | 11,244.24 | 3.19 | 7718.52 | |
| 2022 | T0 | 1470 | 546 | 210 | 546 | 10.40 | 697.54 | 3479.93 | 7999.79 | 85.85 | 8085.643 | 2.32 | 4605.71 |
| T1 | 1470 | 546 | 210 | 546 | 14.25 | 699.22 | 3485.46 | 9773.05 | 82.13 | 9855.172 | 2.83 | 6369.71 | |
| T2 | 1470 | 546 | 210 | 546 | 19.17 | 701.37 | 3492.54 | 11,673.70 | 68.97 | 11,742.66 | 3.36 | 8250.12 | |
| T3 | 1470 | 546 | 210 | 546 | 22.10 | 702.64 | 3496.74 | 10,958.03 | 66.75 | 11,024.78 | 3.15 | 7528.04 | |
| T4 | 1470 | 546 | 210 | 546 | 25.10 | 703.95 | 3501.06 | 10,858.63 | 65.48 | 10,924.11 | 3.12 | 7423.06 | |
| Growth Stages | Duration (days) | (Kc) Adjusted | Water Applied (mm) | |||||
|---|---|---|---|---|---|---|---|---|
| T0 | T1 | T2 | T3 | T4 | ||||
| 2021 | 20 May–27 October | |||||||
| Planting | 1 | 13.50 | 13.50 | 13.50 | 13.50 | 13.50 | ||
| initial | 41 | 0.50 | 81.50 | 81.50 | 81.50 | 81.50 | 81.50 | |
| Mid-season | 51 | 1.15 | 165.70 | 165.70 | 165.70 | 165.70 | 165.70 | |
| Late season | 67 | 0.65 | 0.60 | 172.20 | 181.18 | 196.10 | 204.37 | 212.64 |
| Seasonal | 160 | 431.98 | 442.90 | 456.80 | 465.07 | 473.34 | ||
| 2022 | 25 May–23 October | |||||||
| Planting | 1 | 13.50 | 13.50 | 13.50 | 13.50 | 13.50 | ||
| initial | 40 | 0.50 | 105.60 | 105.6 | 105.60 | 105.60 | 105.60 | |
| Mid-season | 50 | 1.15 | 206.00 | 206.00 | 206.00 | 206.00 | 206.00 | |
| Late-season | 59 | 0.65 | 0.63 | 153.76 | 158.79 | 165.19 | 169.00 | 172.81 |
| Seasonal | 150 | 478.86 | 483.89 | 490.29 | 494.10 | 497.91 | ||
Disclaimer/Publisher’s Note: The statements, opinions and data contained in all publications are solely those of the individual author(s) and contributor(s) and not of MDPI and/or the editor(s). MDPI and/or the editor(s) disclaim responsibility for any injury to people or property resulting from any ideas, methods, instructions or products referred to in the content. |
© 2023 by the authors. Licensee MDPI, Basel, Switzerland. This article is an open access article distributed under the terms and conditions of the Creative Commons Attribution (CC BY) license (https://creativecommons.org/licenses/by/4.0/).
Share and Cite
Zhou, M.; Sun, Y.; Wang, S.; Liu, Q.; Li, H. Photosynthesis Product Allocation and Yield in Sweet Potato in Response to Different Late-Season Irrigation Levels. Plants 2023, 12, 1780. https://doi.org/10.3390/plants12091780
Zhou M, Sun Y, Wang S, Liu Q, Li H. Photosynthesis Product Allocation and Yield in Sweet Potato in Response to Different Late-Season Irrigation Levels. Plants. 2023; 12(9):1780. https://doi.org/10.3390/plants12091780
Chicago/Turabian StyleZhou, Mingjing, Yiming Sun, Shaoxia Wang, Qing Liu, and Huan Li. 2023. "Photosynthesis Product Allocation and Yield in Sweet Potato in Response to Different Late-Season Irrigation Levels" Plants 12, no. 9: 1780. https://doi.org/10.3390/plants12091780
APA StyleZhou, M., Sun, Y., Wang, S., Liu, Q., & Li, H. (2023). Photosynthesis Product Allocation and Yield in Sweet Potato in Response to Different Late-Season Irrigation Levels. Plants, 12(9), 1780. https://doi.org/10.3390/plants12091780
