The Combining Ability and Heterosis Analysis of Sweet–Waxy Corn Hybrids for Yield-Related Traits and Carotenoids
Abstract
1. Introduction
2. Results
2.1. Performance of Parents, F1 Hybrids, and Commercial Checks on Yield-Related Traits and Carotenoids
2.2. Variance Components and Heritability Estimates on Yield-Related Traits and Carotenoids
2.3. General Combining Ability (GCA) Effects on Yield-Related Traits and Carotenoids
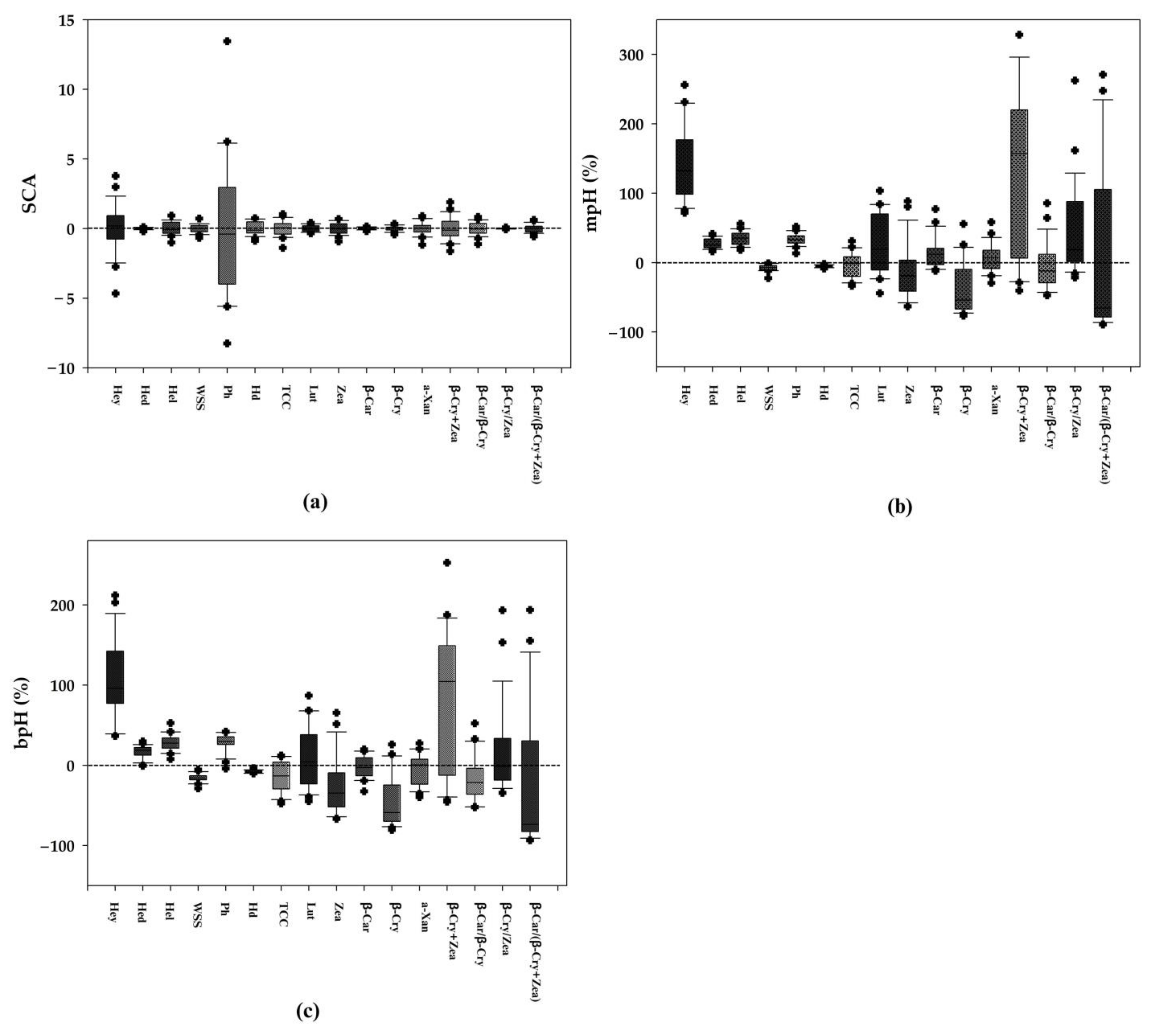
2.4. Specific Combining Ability (SCA) and Heterosis Effect on Yield-Related Traits and Carotenoids
2.5. Correlation between Yield-Related Traits of F1 Hybrids, Heterosis, and Combining Ability
3. Discussion
4. Materials and Methods
4.1. Plant Materials and Mating Design
4.2. Field Experiment
4.3. Data Collection
4.4. Sample Preparation and Carotenoid Analysis
4.5. Data Analysis
bpH = [(F1 − bp)/bp] × 100
5. Conclusions
Supplementary Materials
Author Contributions
Funding
Data Availability Statement
Acknowledgments
Conflicts of Interest
References
- Hu, Q.-P.; Xu, J.-G. Profiles of carotenoids, anthocyanins, phenolics, and antioxidant activity of selected color waxy corn grains during maturation. J. Agric. Food Chem. 2011, 59, 2026–2033. [Google Scholar] [CrossRef]
- Harakotr, B.; Suriharn, B.; Tangwongchai, R.; Scott, M.P.; Lertrat, K. Anthocyanin, phenolics and antioxidant activity changes in purple waxy corn as affected by traditional cooking. Food Chem. 2014, 164, 510–517. [Google Scholar] [CrossRef]
- Fergason, V. High amylose and waxy corns. In Specialty Corns, 2nd ed.; Hallauer, A.R., Ed.; CRC Press: Boca Raton, FL, USA; London, UK; New York, NY, USA; Washington, DC, USA, 2001; pp. 75–96. [Google Scholar]
- Simla, S.; Lertrat, K.; Suriharn, B. Combinations of multiple genes controlling endosperm characters in relation to maximum eating quality of vegetable waxy corn. Sabrao J. Breed. Genet. 2016, 48, 210–218. [Google Scholar]
- Lertrat, K.; Thongnarin, N. Novel approach to eating quality improvement in local waxy corn: Improvement of sweet taste in local waxy corn variety with mixed kernels from super sweet corn. Acta Hortic. 2008, 769, 145–150. [Google Scholar] [CrossRef]
- Lertrat, K.; Pulam, T. Breeding for increased sweetness in sweet corn. Int. J. Plant Breed. 2007, 1, 27–30. [Google Scholar]
- Simla, S.; Lertrat, K.; Suriharn, B. Carbohydrate characters of six vegetable waxy corn varieties as affected by harvest time and storage duration. Asian J. Plant Sci. 2009, 9, 463–470. [Google Scholar] [CrossRef]
- Kampas, S.; Lertrat, K.; Lomthaisong, K.; Simla, S.; Suriharn, B. Effect of location, genotype and their interactions for anthocyanins and antioxidant activities of purple waxy corn cobs. Turk. J. Field Crops 2013, 20, 15–23. [Google Scholar] [CrossRef] [PubMed]
- Harakotr, B.; Suriharn, B.; Tangwongchai, R.; Scott, M.P.; Lertrat, K. Anthocyanins and antioxidant activity in coloured waxy corn at different maturation stages. J. Funct. Foods 2014, 9, 109–118. [Google Scholar]
- Simla, S.; Boontang, S.; Harakotr, B. Anthocyanin content, total phenolic content, and antiradical capacity in different ear components of purple waxy corn at two maturation stages. Aust. J. Crop Sci. 2016, 10, 675–682. [Google Scholar] [CrossRef]
- Suwarno, W.B.; Pixley, K.V.; Palacios-Rojas, N.; Kaeppler, S.M.; Babu, R. Formation of heterotic groups and understanding genetic effects in a provitamin A biofortified maize breeding program. Crop Sci. 2014, 54, 14–24. [Google Scholar] [CrossRef]
- Taleon, V.; Mugode, L.; Cabrera-Soto, L.; Palacios-Rojas, N. Carotenoid retention in biofortified maize using different post-harvest storage and packaging methods. Food Chem. 2017, 232, 60–66. [Google Scholar]
- Hart, D.J.; Scott, K.J. Development and evaluation of an HPLC method for the analysis of carotenoids in foods and measurement of the carotenoid content of vegetables and fruits commonly consumed in the UK. Food Chem. 1995, 54, 101–111. [Google Scholar] [CrossRef]
- Scott, C.E.; Eldridge, A.L. Comparison of carotenoid content in fresh, frozen and canned corn. J. Food Compos. Anal. 2005, 18, 551–559. [Google Scholar] [CrossRef]
- O’Hare, T.J.; Fanning, K.; Martin, I. Zeaxanthin biofortification of sweet-corn and factors affecting zeaxanthin accumulation and colour change. Arch. Biochem. Biophys. 2015, 572, 184–187. [Google Scholar] [CrossRef]
- Mares, J. Lutein and zeaxanthin isomers in eye health and disease. Annu. Rev. Nutr. 2016, 17, 571–602. [Google Scholar] [CrossRef] [PubMed]
- Menkir, A.; Olowolafe, M.O.; Ingelbrecht, I.; Fawole, I.; BaduApraku, B.; Vroh, B.I. Assessment of testcross performance and genetic diversity of yellow endosperm maize lines derived from adapted × exotic backcrosses. Theor. Appl. Genet. 2006, 113, 90–99. [Google Scholar]
- Fanning, K.; Martin, I.; Wong, L.; Keating, V.; Pun, S.; Hare, O.J. Screening sweetcorn for enhanced zeaxanthin concentration. J. Sci. Food Agric. 2010, 90, 91–96. [Google Scholar] [CrossRef]
- Badejo, A.A. Elevated carotenoids in staple crops: The biosynthesis, challenges and measures for target delivery. J. Genet. Eng. Biotechnol. 2018, 16, 553–556. [Google Scholar] [CrossRef]
- Katola, A.A.; Stark, A.H.; Ndolo, V.U.; Tembo, D.T.; Katundu, M.C. Provitamin A retention and sensory acceptability of landrace orange maize (MW5021) food products among school-aged children living in rural Malawi. Food Prod. Process Nutr. 2023, 5, 57. [Google Scholar] [CrossRef]
- Sunny, A.; Chakraborty, N.R.; Kumar, A.; Singh, B.K.; Paul, A.; Maman, S.; Sebastian, A.; Darko, D.A. Understanding gene action, combining ability, and heterosis to identify superior aromatic rice hybrids using artificial neural network. J. Food Qual. 2022, 2022, 16. [Google Scholar]
- Dermail, A.; Lübberstedt, T.; Suwarno, W.B.; Chankaew, S.; Lertrat, K.; Ruanjaichon, V.; Suriharn, K. Combining ability of tropical × temperate maize inducers for haploid induction rate, R1-nj seed set, and agronomic traits. Front. Plant Sci. 2023, 14, 1154905. [Google Scholar] [CrossRef]
- Azmach, G.; Gedil, M.; Spillane, C.; Menkir, K. Combining ability and heterosis for endosperm carotenoids and agronomic traits in tropical maize lines. Front. Plant Sci. 2021, 12, 13. [Google Scholar]
- Gaballah, M.M.; Attia, K.A.; Ghoneim, A.M.; Khan, N.; El-Ezz, A.F.; Yang, B.; Xiao, L.; Ibrahim, E.I.; Al-Doss, A.A. Assessment of genetic parameters and gene action associated with heterosis for enhancing yield characters in novel hybrid rice parental lines. Plants 2022, 11, 266. [Google Scholar] [PubMed]
- Wasuwatthanakool, W.; Harakotr, B.; Jirakiattikul, Y.; Lomthaisong, K.; Suriharn, K. Combining ability and testcross performance for carotenoid content of S2 super sweet corn lines derived from temperate germplasm. Agriculture 2022, 12, 1561. [Google Scholar]
- Grogan, C.O.; Blessin, C.W.; Dimler, R.J.; Campbell, C.M. Parental influence on xanthophylls and carotenoids in corn. Crop Sci. 1963, 3, 213–214. [Google Scholar]
- Egesel, C.O.; Wong, J.C.; Lambert, R.J.; Rocheford, T.R. Combining ability of maize inbred for carotenoid and tocopherols. Crop Sci. 2003, 43, 818–823. [Google Scholar] [CrossRef]
- Senete, C.T.; Guimarães, P.E.O.; Paes, M.C.D.; De Souza, J.C. Diallel analysis of maize inbred lines for carotenoids and grain yield. Euphytica 2011, 182, 395–404. [Google Scholar] [CrossRef]
- Li, R.; Xiao, L.H.; Wang, J.; Lu, Y.L.; Rong, T.Z.; Pan, G.T.; Wu, Y.Q.; Tang, Q.; Lan, H.; Cao, M.J. Combining ability and parent-offspring correlation of maize (Zea may L.) grain β-carotene content with a complete diallel. J. Integr. Agric. 2013, 12, 19–26. [Google Scholar]
- Halilu, A.D.; Ado, S.G.; Aba, D.A.; Usman, I.S. Genetics of carotenoids for provitamin A biofortification in tropical-adapted maize. Crop J. 2016, 4, 313–322. [Google Scholar] [CrossRef]
- Kahriman, F.; Egesel, C.Ö.; Orhun, G.E.; Alaca, B.; Avci, F. Comparison of graphical analyses for maize genetic experiments: Application of biplots and polar plot to line x tester design. Chil. J. Agric. Res. 2016, 76, 285–293. [Google Scholar] [CrossRef]
- Owens, B.F.; Lipka, A.E.; Magallanes-Lundback, M.; Tiede, T.; Diepenbrock, C.H.; Kandianis, C.B.; Kim, E.; Cepela, J.; Mateos-Hernandez, M.; Buell, C.R.; et al. A foundation for provitamin A biofortification of maize: Genome-wide association and genomic prediction models of carotenoid levels. Genetics 2014, 198, 1699–1716. [Google Scholar] [CrossRef]
- Baseggio, M.; Murray, M.; Magallanes-Lundback, M.; Nicholas Kaczmar, N.; Chamness, J.; Buckler, E.S.; Smith, M.E.; Penna, D.D.; Tracy, W.F.; Gore, M.A. Natural variation for carotenoids in fresh kernels is controlled by uncommon variants in sweet corn. Plant Genome 2020, 13, e20008. [Google Scholar] [CrossRef]
- Dermail, A.; Fuengtee, A.; Lertrat, K.; Suwarno, W.B.; Lübberstedt, T.; Suriharn, K. Simultaneous selection of sweet-waxy corn ideotypes appealing to hybrid seed producers, growers, and consumers in Thailand. Agronomy 2022, 12, 87. [Google Scholar] [CrossRef]
- Fuengtee, A.; Dermail, A.; Simla, S.; Lertrat, K.; Sanitchon, J.; Chankaew, S.; Suriharn, B. Combining ability for carbohydrate components associated with consumer preferences in tropical sweet and waxy corn derived from exotic germplasm. Turk. J. Field Crops 2020, 25, 147–155. [Google Scholar] [CrossRef]
- Li, S.Y.; Ma, W.; Peng, J.Y.; Chen, Z.M. Study on yield loss of summer maize due to lodging at the big flare stage and grain filling stage. Sci. Agric. Sin. 2015, 19, 395–3964. [Google Scholar]
- Zurak, D.; Grbeša, D.; Duvnjak, M.; Kiš, G.; Međimurec, T.; Kljak, K. Carotenoid content and bioaccessibility in commercial maize hybrids. Agriculture 2021, 11, 586. [Google Scholar] [CrossRef]
- Saenz, E.; Borrás, L.; Gerde, J.A. Carotenoid profiles in maize genotypes with contrasting kernel hardness. J. Cereal Sci. 2021, 99, 103206. [Google Scholar] [CrossRef]
- Maqbool, M.A.; Aslam, M.; Khan, M.S.; Beshir, A.; Ahan, M. Evaluation of single cross yellow maize hybrids for agronomic and carotenoid traits. Int. J. Agric. Biol. 2017, 19, 1087–1098. [Google Scholar] [CrossRef]
- Chander, S.; Guo, Y.; Zhang, Y.; Li, J. Comparison of nutritional traits variability in selected eighty-seven inbreds from Chinese maize (Zea mays L.) germplasm. J. Agric. Food Chem. 2008, 56, 6506–6511. [Google Scholar] [CrossRef]
- Babu, R.; Rojas, N.P.; Gao, S.; Yan, J.; Pixley, K. Validation of the effects of molecular marker polymorphisms in LcyE and CrtRB1 on provitamin A concentrations for 26 tropical maize populations. Theor. Appl. Genet. 2013, 126, 389–399. [Google Scholar] [CrossRef]
- Maluf, W.; Miranda, J.; Ferreira, P. Broad sense heritabilities of root and vine traits in sweetpotatoes (Ipomoea batatas (L.) Lam.). Rev. Brasil. Genética Ribeirão Preto 1983, 6, 443–451. [Google Scholar]
- Edy; Takdir, A.; Numba, S.; Ibrahim, B. Heritability of agronomic characters of Srikandi Putih x local waxy corn. IOP Conf. Ser. Earth Environ. Sci. 2020, 484, 012027. [Google Scholar] [CrossRef]
- Wong, J.C.; Lambert, R.J.; Wurtzel, E.T.; Rocheford, T.R. QTL and candidate genes phytoene synthase and zeta-carotene desaturase associated with the accumulation of carotenoids in maize. Theor. Appl. Genet. 2004, 108, 349–359. [Google Scholar] [CrossRef] [PubMed]
- Muthusamy, V.; Hossain, F.; Thirunavukkarasu, N.; Saha, S.; Agrawal, P.K.; Gupta, H.S. Genetic analyses of kernel carotenoids in novel maize genotypes possessing rare allele of ß-carotene hydroxylase gene. Cereal Res. Commun. 2016, 44, 669–680. [Google Scholar] [CrossRef][Green Version]
- Mwije, A.; Mukasa, S.B.; Gibson, P.; Kyamanywa, S. Heritability analysis of putative drought adaptation traits in sweetpotato. Afr. Crop Sci. J. 2014, 22, 79–87. [Google Scholar]
- Elouafi, I.; Nachit, M.M.; Martin, L.M. Identification of a microsatellite on chromosome 7B showing a strong linkage with yellow pigment in durum wheat (Triticum turgidum L. var. durum). Hereditas 2001, 135, 255–261. [Google Scholar] [CrossRef] [PubMed]
- Clarke, F.R.; Clarke, J.M.; McCaig, T.N.; Knox, R.E.; DePauw, R.M. Inheritance of yellow pigment concentration in four durum wheat crosses. Can. J. Plant Sci. 2006, 86, 133–141. [Google Scholar]
- Hosen, M.; Rafii, M.Y.; Mazlan, N.; Jusoh, M.; Chowdhury, M.F.N.; Yusuff, O.; Ridzuan, R.; Karim, K.M.R.; Halidu, J.; Ikbal, M.F. Estimation of heterosis and combining ability for improving yield, sweetness, carotenoid and antioxidant qualities in pumpkin hybrids (Cucurbita moschata Duch. Ex Poir.). Horticulturae 2022, 8, 863. [Google Scholar] [CrossRef]
- Acquaah, G. Principles of Plant Genetics and Breeding, 3rd ed.; Wiley-Blackwell: Oxford, UK, 2020. [Google Scholar]
- Dragov, R.G. Combining ability for quantitative traits related to productivity in durum wheat. Vavilovskii Zhurnal Genet. Sel. 2022, 26, 515–523. [Google Scholar]
- Andorf, C.; Beavis, W.D.; Hufford, M.; Smith, S.; Suza, W.P.; Wang, K.; Woodhouse, M.; Yu, J.; Lübberstedt, T. Technological advances in maize breeding: Past, present and future. Theor. Appl. Genet. 2019, 132, 817–849. [Google Scholar]
- Dermail, A.; Suriharn, A.; Chankaew, S.; Sanitchon, J.; Lertrat, K. Hybrid prediction based on SSR-genetic distance, heterosis and combining ability on agronomic traits and yields in sweet and waxy corn. Sci. Hortic. 2020, 259, 108817. [Google Scholar] [CrossRef]
- Burt, A.J.; Grainger, C.M.; Shelp, B.J.; Lee, E.A. Heterosis for carotenoid concentration and profile in maize hybrids. Genome 2011, 54, 993–1004. [Google Scholar] [CrossRef] [PubMed]
- Dey, S.S.; Singh, N.; Bhatia, R.; Parkash, C.; Chandel, C. Genetic combining ability and heterosis for important vitamins and antioxidant pigments in cauliflower (Brassica oleracea var. botrytis L.). Euphytica 2014, 195, 169–181. [Google Scholar]
- Li, D.; Zhou, Z.; Lu, X.; Jiang, Y.; Li, G.; Li, J.; Wang, H.; Chen, S.; Li, X.; Würschum, T.; et al. Genetic Dissection of Hybrid Performance and Heterosis for Yield-Related Traits in Maize. Front. Plant Sci. 2021, 12, 774478. [Google Scholar] [CrossRef] [PubMed]
- Liu, W.; Zhang, Y.; He, H.; He, G.; Deng, X.W. From hybrid genomes to heterotic trait output: Challenges and opportunities. Curr. Opin. Plant Biol. 2022, 66, 102193. [Google Scholar] [CrossRef]
- Falconer, D.S.; Mackay, T.F.C. Introduction to Quantitative Genetics, 3rd ed.; Longman Scientific and Technical, Co.: New York, NY, USA, 1989. [Google Scholar]
- Yu, K.; Wang, H.; Liu, X.; Xu, C.; Li, Z.; Xu, X.; Liu, J.; Wang, Z.; Xu, Y. Large-scale analysis of combining ability and heterosis for development of hybrid maize breeding strategies using diverse germplasm resources. Front. Plant Sci. 2020, 11, 660. [Google Scholar] [CrossRef]
- Pairochteerakul, P.; Jothityangkoon, D.; Ketthaisong, D.; Simla, S.; Lertrat, K.; Suriharn, B. Seed germination in relation to total sugar and starch in endosperm mutant of sweet corn genotypes. Agronomy 2018, 8, 299. [Google Scholar] [CrossRef]
- Singh, R.K.; Chaudhary, B.D. Biometrical Methods in Quantitative Genetic Analysis; Kalyani Publishers: New Delhi, India, 1985. [Google Scholar]
- Durães, N.N.L.; Crevelari, J.A.; Vettorazzi, J.C.F.; Ferreira, J.A.; de Abreu Santana, F.; Pereira, M.G. Combining ability for traits associated with yield and quality in super sweet corn (Zea mays L. saccharata). Crop Sci. 2017, 11, 1188–1194. [Google Scholar] [CrossRef]
- Schaub, P.; Beyer, P.; Islam, S.; Rocheford, T. Maize Quick Carotenoid Extraction Protocol. Available online: http://www.cropsci.uiuc.edu/faculty/rocheford/quick_carotenoid_analysis_protocol.pdf (accessed on 20 June 2019).
- Gupta, P.; Sreelakshmi, Y.; Sharma, R. A rapid and sensitive method for determination of carotenoids in plant tissues by high performance liquid chromatography. Plant Methods 2015, 11, 5–16. [Google Scholar]
- Gomez, K.A.; Gomez, A.A. Statistical Procedures for Agricultural Research, 2nd ed.; An International Rice Research Institute Book. Co., Inc.: New York, NY, USA, 1984. [Google Scholar]
- Rodríguez, F.; Alvarado, G.; Pacheco, A.; Crossa, J.; Burgueno, J. AGD-R (Analysis of Genetic Designs with R for Windows), version 5.0; International Maize and Wheat Improvement Center: Texcoco, Mexico, 2018. [Google Scholar]
- Hallauer, A.R.; Carena, M.J.; Miranda, J.B. Quantitative Genetics in Maize Breeding; Springer: New York, NY, USA, 2010. [Google Scholar]
” represents outliers.
” represents outliers.
” represents outliers.
” represents outliers.
| SOV | df | Hey | Hed | Hel | WSS | Ph | Hd |
|---|---|---|---|---|---|---|---|
| Envi. (E) | 1 | 166.01 ** | 1.84 ** | 5.12 ** | 0.37 ** | 3974 ** | 5228 ** |
| Hybrid | 23 | 26.65 ** | 0.19 ** | 4.54 ** | 1.33 ** | 1256 ** | 0.56 ** |
| Hybrid × E | 23 | 15.55 ** | 0.02 | 1.50 ** | 0.95 ** | 125 ** | 0.19 ** |
| GCAmale | 2 | 30.35 ** | 1.49 ** | 17.51 ** | 0.72 * | 10,256 ** | 2.39 ** |
| GCAfemale | 7 | 21.23 ** | 0.13 ** | 12.43 ** | 2.29 ** | 727 ** | 0.55 ** |
| SCA | 14 | 29.38 ** | 0.31 ** | 2.40 ** | 0.93 ** | 234 ** | 0.31 ** |
| GCAmale × E | 2 | 23.98 ** | 0.04 * | 1.80 * | 6.02 ** | 301 ** | 0.19 ** |
| GCAfemale × E | 7 | 11.71 ** | 0.03 * | 0.98 * | 0.42 * | 188 ** | 0.39 ** |
| SCA × E | 14 | 16.26 ** | 0.19 ** | 1.71 ** | 0.49 ** | 104 ** | 0.19 ** |
| Pooled error | 92 | 0.39 | 9.95 × 10−3 | 0.40 | 0.12 | 44 | 1.15 × 10−3 |
| σ2A | 0.01 | 0.77 | 0.63 | 0.72 | 0.77 | 0.34 | |
| σ2D | 0.99 | 0.23 | 0.37 | 0.23 | 0.23 | 0.66 | |
| h2ns | 0.01 | 0.72 | 0.52 | 0.77 | 0.71 | 0.26 |
| SOV | df | TCC | Lut | Zea | β-Car | β-Cry | α-Xan | β-Cry + Zea | β-Car/β-Cry | β-Cry/Zea | β-Car/(β-Cry + Zea) |
|---|---|---|---|---|---|---|---|---|---|---|---|
| Envi. (E) | 1 | 13.13 ** | 5.12 ** | 3.60 ** | 4 × 10−3 ** | 6.63 × 10−3 ** | 17.33 ** | 3.35 ** | 5.05 ** | 0.84 ** | 0.07 ** |
| Hybrid | 23 | 48.67 ** | 4.54 ** | 8.60 ** | 0.25 ** | 0.56 ** | 7.65 ** | 11.13 ** | 16.57 ** | 1.45 ** | 0.05 ** |
| Hybrid × E | 23 | 2.53 ** | 0.64 ** | 1.24 ** | 0.07 ** | 0.19 ** | 1.66 ** | 1.75 ** | 4.98 ** | 0.45 ** | 9.24 × 10−3 ** |
| GCAmale | 2 | 8.29 ** | 41.50 ** | 69.94 ** | 1.53 ** | 2.39 ** | 64.99 ** | 90.09 ** | 123.97 ** | 6.24 ** | 0.36 ** |
| GCAfemale | 7 | 7.41 ** | 2.10 ** | 4.92 ** | 0.23 ** | 0.55 ** | 2.26 ** | 6.49 ** | 5.83 ** | 1.42 ** | 0.04 ** |
| SCA | 14 | 2.95 ** | 0.49 ** | 1.68 ** | 0.07 ** | 0.31 ** | 2.16 ** | 2.17 ** | 6.60 ** | 0.79 ** | 7.52 × 10−3 ** |
| GCAmale × E | 2 | 0.42 ** | 0.67 ** | 0.07 ** | 0.05 ** | 0.19 ** | 0.53 ** | 0.19 ** | 7.83 ** | 1.56 ** | 0.01 ** |
| GCAfemale × E | 7 | 2.29 ** | 0.84 ** | 0.96 ** | 0.03 ** | 0.39 ** | 1.60 ** | 1.27 ** | 6.15 ** | 0.47 ** | 0.01 ** |
| SCA × E | 14 | 2.95 ** | 0.55 ** | 1.55 ** | 0.07 ** | 0.19 ** | 1.86 ** | 2.21 ** | 0.98 ** | 0.29 ** | 0.01 ** |
| Pooled | 92 | 7.55 × 10−3 | 3.62 × 10−3 | 2.51 × 10−3 | 4.66 × 10−4 | 1.15 × 10−3 | 8.07 × 10−3 | 3.78 × 10−3 | 0.03 | 1.46 × 10−3 | 8.69 × 10−3 |
| σ2A | 0.53 | 0.84 | 0.72 | 0.60 | 0.34 | 0.61 | 0.72 | 0.49 | 0.34 | 0.77 | |
| σ2D | 0.47 | 0.16 | 0.28 | 0.40 | 0.66 | 0.39 | 0.28 | 0.51 | 0.64 | 0.23 | |
| h2ns | 0.41 | 0.72 | 0.62 | 0.49 | 0.26 | 0.50 | 0.62 | 0.37 | 0.27 | 0.63 |
| Parent | Hey | Hed | Hel | WSS | Ph | Hd |
|---|---|---|---|---|---|---|
| ILS1 | −0.28 | −0.07 * | −0.35 | 0.19 * | 2.93 | −0.16 |
| ILS2 | 1.06 ** | −0.14 ** | 0.00 | 0.56 ** | 2.37 | 0.03 |
| ILS3 | −0.25 | 0.03 | −0.27 | −0.48 ** | −7.02 ** | 1.56 ** |
| ILS4 | 1.29 ** | −0.02 | 1.23 | 0.10 | 13.23 ** | −0.50 * |
| ILS5 | 0.22 | −0.06 * | 0.99 ** | 0.16 * | −3.46 | 1.42 ** |
| ILS6 | −1.62 ** | 0.06 * | −0.33 | −0.49 ** | −0.90 | −0.88 ** |
| ILS7 | 0.91 ** | 0.11 ** | 0.15 | −0.16 | −1.85 | −0.25 |
| ILS8 | −1.34 ** | 0.08 * | −1.42 ** | 0.11 | −5.29 * | −1.22 ** |
| ILW1 | 0.63 * | 0.09 * | 0.66 ** | 0.14 | 15.55 ** | 0.51 * |
| ILW2 | −0.89 ** | −0.20 ** | −0.13 | −0.09 | −13.46 ** | −0.53 * |
| ILW3 | 0.27 | 0.12 ** | −0.53 * | −0.05 | −2.09 | 0.02 |
| Parent | TCC | Lut | Zea | β-Car | β-Cry | α-Xan | β-Cry + Zea | β-Car/β-Cry | β-Cry/Zea | β-Car/(β-Cry + Zea) |
|---|---|---|---|---|---|---|---|---|---|---|
| ILS1 | 0.22 | −0.40 * | 0.41 * | 0.01 | −0.13 * | 0.01 | 0.42 | 0.35 | −0.04 * | −0.21 * |
| ILS2 | 0.52 * | −0.34 * | 0.59 ** | 0.07 * | −0.12 * | 0.25 | 0.66 ** | 0.09 | −0.05 ** | −0.26 ** |
| ILS3 | −0.05 | 0.37 * | −0.56 * | −0.03 | 0.29 ** | −0.20 | −0.59 * | −0.42 | 0.06 ** | 0.48 ** |
| ILS4 | −0.61 ** | 0.16 | −0.48 * | −0.06 * | −0.03 | −0.32 | −0.54 * | −0.28 | 0.05 ** | 0.13 |
| ILS5 | −0.70 ** | 0.38 * | −0.68 ** | −0.13 ** | 0.16 ** | −0.30 | −0.81 ** | −0.90 ** | 0.05 ** | 0.27 ** |
| ILS6 | 0.50 * | 0.16 | −0.06 | 0.08 * | 0.14 * | 0.10 | 0.03 | 0.40 | 0.01 | 0.06 |
| ILS7 | 0.91 * | 0.12 | 0.59 ** | 0.19 ** | −0.15 ** | 0.71 ** | 0.78 ** | 0.93 ** | −0.03 * | −0.28 ** |
| ILS8 | −0.79 ** | −0.45 ** | 0.19 | −0.14 ** | −0.16 ** | −0.26 | 0.05 | −0.17 | −0.04 * | −0.19 * |
| ILW1 | 0.95 ** | −0.29 * | 1.37 ** | 0.17 ** | −0.16 ** | 1.08 ** | 1.54 * | 1.47 ** | −0.10 ** | −0.28 ** |
| ILW2 | 0.10 | 1.04 ** | −0.89 ** | −0.19 ** | 0.25 ** | 0.15 | −1.08 ** | −1.71 ** | 0.06 ** | 0.41 ** |
| ILW3 | −1.06 ** | −0.75 ** | −0.48 * | 0.02 | −0.09 | −1.23 ** | −0.46 * | 0.24 | 0.04 * | −0.13 |
| Traits | mpH-bpH | mpH-GCAsum | mpH-SCA | bpH-GCAsum | bpH-SCA | F1-GCAsum | F1-SCA | F1-mpH | F1-bpH |
|---|---|---|---|---|---|---|---|---|---|
| Hey | 0.913 ** | −0.167 | 0.395 | −0.162 | 0.312 | 0.580 * | 0.815 ** | 0.225 | 0.160 |
| Hed | 0.751 ** | 0.389 | −0.040 | 0.245 | 0.016 | 0.932 ** | 0.160 | 0.461 * | 0.298 |
| Hel | 0.856 ** | 0.353 | 0.328 | −0.002 | 0.155 | 0.900 ** | 0.437 * | 0.459 * | 0.065 |
| WSS | 0.770 ** | 0.320 | 0.520 ** | 0.310 | 0.449 * | 0.757 ** | 0.656 ** | 0.583 * | 0.528 * |
| Ph | 0.866 ** | 0.385 | 0.413 * | 0.004 | 0.291 | 0.941 ** | 0.337 | 0.501 * | 0.102 |
| Hd | 0.846 ** | 0.736 ** | 0.484 * | 0.595 * | 0.454 * | 0.913 ** | 0.409 * | 0.868 ** | 0.728 ** |
| TCC | 0.937 ** | 0.597 * | 0.506 * | 0.693 ** | 0.384 | 0.885 ** | 0.467 * | 0.764 ** | 0.792 ** |
| Lut | 0.960 ** | 0.882 ** | 0.262 | 0.908 ** | 0.299 | 0.967 ** | 0.253 | 0.920 ** | 0.955 ** |
| Zea | 0.941 ** | 0.876 ** | 0.377 | 0.894 ** | 0.349 | 0.936 ** | 0.343 | 0.953 ** | 0.959 ** |
| β-Car | 0.809 ** | 0.324 | 0.380 | 0.296 | 0.295 | 0.935 ** | 0.417 * | 0.449 * | 0.400 * |
| β-Cry | 0.992 ** | 0.810 ** | 0.552 * | 0.781 ** | 0.542 * | 0.817 ** | 0.569 * | 0.984 ** | 0.955 ** |
| α-Xan | 0.935 ** | 0.657 ** | 0.560 * | 0.674 ** | 0.427 * | 0.910 ** | 0.412 * | 0.848 ** | 0.792 ** |
| β-Cry+Zea | 0.964 ** | 0.836 ** | 0.312 | 0.839 ** | 0.299 | 0.940 ** | 0.344 | 0.918 ** | 0.891 ** |
| β-Car/β-Cry | 0.954 ** | 0.699 ** | 0.500 * | 0.754 ** | 0.545 * | 0.870 ** | 0.492 * | 0.855 ** | 0.925 ** |
| β-Cry/Zea | 0.955 ** | 0.389 | 0.214 | 0.336 | 0.196 | 0.949 ** | 0.303 | 0.454 * | 0.395 * |
| β-Car/(β-Cry + Zea) | 0.964 ** | 0.690 ** | 0.301 | 0.552 * | 0.271 | 0.802 ** | 0.574 * | 0.758 ** | 0.608 ** |
| Inbred Line 1/ | Pedigree | Genotype | Source of Ancestor | Relative Carotenoid Content (μg/g of FW) 2/ |
|---|---|---|---|---|
| ILS1 | Hibrix-53//KV/Delectable-BC1-22-1-4-3-1-1 | sh2sh2wxwx | Thai/Vietnam/USA | 5.21 |
| ILS2 | Hibrix-53//KV/Delectable-BC1-65-5-1-3-1-1 | sh2sh2wxwx | Thai/Vietnam/USA | 3.97 |
| ILS3 | Hibrix-53//KV/Delectable-BC1-34-1-3-4-6-1 | sh2sh2wxwx | Thai/Vietnam/USA | 8.01 |
| ILS4 | Hibrix-53//KV/Delectable-BC1-2-1-1-5-3-1 | sh2sh2wxwx | Thai/Vietnam/USA | 5.75 |
| ILS5 | Hibrix-53//KV/Delectable-BC1-5-5-3-9-7-1 | sh2sh2wxwx | Thai/Vietnam/USA | 8.61 |
| ILS6 | Hibrix-53//KV/Delectable-BC1-17-4-1-9-1-1 | sh2sh2wxwx | Thai/Vietnam/USA | 6.04 |
| ILS7 | Hibrix-53//KV/Delectable-BC1-17-4-2-8-5-1 | sh2sh2wxwx | Thai/Vietnam/USA | 8.11 |
| ILS8 | 22-7 | sh2sh2wxwx | Thai (Sweet × Waxy corn) | 4.99 |
| ILW1 | 13A-5 | Sh2Sh2wxwx | Thai composite #1-5 | 8.15 |
| ILW2 | KV3473-2-2 | Sh2Sh2wxwx | Thai/USA | 5.02 |
| ILW3 | 301-6 | Sh2Sh2wxwx | Thai (Sweet × Waxy corn) | 4.10 |
| Check 1 | Super sweet corn | sh2sh2WxWx | - | |
| Check 2 | Sweet–waxy corn | Sh2sh2wxwx | - |
Disclaimer/Publisher’s Note: The statements, opinions and data contained in all publications are solely those of the individual author(s) and contributor(s) and not of MDPI and/or the editor(s). MDPI and/or the editor(s) disclaim responsibility for any injury to people or property resulting from any ideas, methods, instructions or products referred to in the content. |
© 2024 by the authors. Licensee MDPI, Basel, Switzerland. This article is an open access article distributed under the terms and conditions of the Creative Commons Attribution (CC BY) license (https://creativecommons.org/licenses/by/4.0/).
Share and Cite
Prai-anun, K.; Jirakiattikul, Y.; Suriharn, K.; Harakotr, B. The Combining Ability and Heterosis Analysis of Sweet–Waxy Corn Hybrids for Yield-Related Traits and Carotenoids. Plants 2024, 13, 296. https://doi.org/10.3390/plants13020296
Prai-anun K, Jirakiattikul Y, Suriharn K, Harakotr B. The Combining Ability and Heterosis Analysis of Sweet–Waxy Corn Hybrids for Yield-Related Traits and Carotenoids. Plants. 2024; 13(2):296. https://doi.org/10.3390/plants13020296
Chicago/Turabian StylePrai-anun, Kanyarat, Yaowapha Jirakiattikul, Khundej Suriharn, and Bhornchai Harakotr. 2024. "The Combining Ability and Heterosis Analysis of Sweet–Waxy Corn Hybrids for Yield-Related Traits and Carotenoids" Plants 13, no. 2: 296. https://doi.org/10.3390/plants13020296
APA StylePrai-anun, K., Jirakiattikul, Y., Suriharn, K., & Harakotr, B. (2024). The Combining Ability and Heterosis Analysis of Sweet–Waxy Corn Hybrids for Yield-Related Traits and Carotenoids. Plants, 13(2), 296. https://doi.org/10.3390/plants13020296

