Unveiling Salt Tolerance Mechanisms and Hub Genes in Alfalfa (Medicago sativa L.) Through Transcriptomic and WGCNA Analysis
Abstract
1. Introduction
2. Results
2.1. Results of Variety Screening
2.1.1. Growth and Cold Tolerance Analysis of Different Varieties under Cold Stress
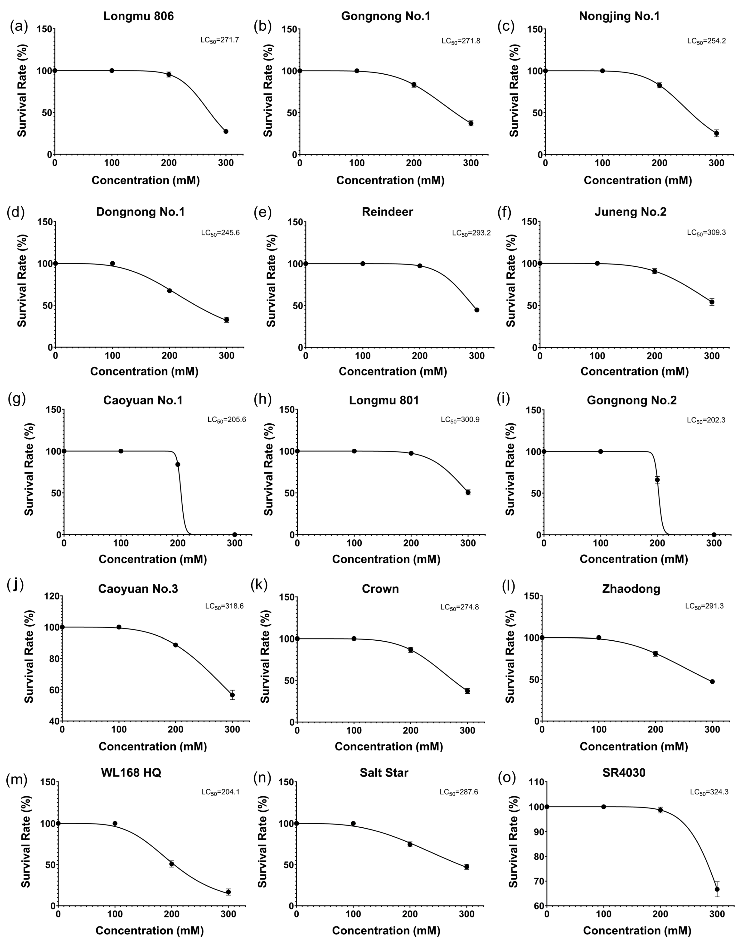
2.1.2. Analysis of the Half-Lethal Concentration Under Salt Concentrations
2.1.3. Cluster Analysis of the Half-Lethal Concentration of Alfalfa
2.2. Effects of Salt Stress on the Growth and Physiology of Alfalfa
2.2.1. Effects of Salt Stress on the Growth Indicators
2.2.2. Effects of Salt Stress on the Photosynthetic Pigments
2.2.3. Effects of Salt Stress on Oxidative Stress Markers
2.2.4. Effects of Salt Stress on Osmolytes
2.2.5. Effects of Salt Stress on Antioxidant Enzymes
2.2.6. Comprehensive Grey Correlation Analysis Based on Physiological Indicators
2.3. Transcriptomic Analysis of Different Alfalfa Varieties Under Salt Stress
2.3.1. Overview of Transcriptomic Sequencing Statistics
2.3.2. Transcriptomic Analysis of Longmu801 and WL168 Under Salt Stress
2.3.3. Analysis of DEGs Between Longmu801 and WL168
2.3.4. Results of qRT-PCR Validation
2.4. Weighted Gene Co-Expression Network Analysis
2.4.1. Sample Processing and WGCNA Module Correlation Analysis
2.4.2. Study of Modules Gene Functions and Hub Gene Screening
2.4.3. Correlation Analysis of HUB Genes
3. Discussion
3.1. Interpretation of Variety Screening Outcomes
3.2. Interpretation of Salt Stress Effects on Alfalfa Growth and Physiology
3.3. Analysis of the Transcriptional Regulatory Mechanism of Alfalfa Under Salt Stress
3.4. WGCNA-Based Hub Gene Mining and Functional Analysis
4. Materials and Methods
4.1. Preparation of Experimental Materials
4.2. Variety Screening Process
4.2.1. Cold Tolerance Screening Experiment
4.2.2. Salt Tolerance Screening Experiment
4.3. Measurement of Growth and Physiological Indicators Under Salt Stress
4.4. Transcriptomic Analysis
4.5. qRT-PCR Validation Procedure
4.6. Gene Co-Expression Network Analysis (WGCNA)
4.7. Hub Gene Correlation Analysis and Functional Study
5. Conclusions
Supplementary Materials
Author Contributions
Funding
Data Availability Statement
Acknowledgments
Conflicts of Interest
References
- Iannucci, A.; Di Fonzo, N.; Martiniello, P. Alfalfa (Medicago sativa L.) seed yield and quality under different forage management systems and irrigation treatments in a Mediterranean environment. Field Crops Res. 2002, 78, 65–74. [Google Scholar] [CrossRef]
- Mielmann, A. The utilisation of lucerne (Medicago sativa): A review. Br. Food J. 2013, 115, 590–600. [Google Scholar] [CrossRef]
- Wang, Y.; You, Z.; Ren, P. Research progress on alfalfa (Medicago sativa L.) adaptability under drought stress. Agric. Sci. Technol. 2017, 18, 219–222. [Google Scholar]
- Karayilanli, E.; Ayhan, V. Investigation of feed value of alfalfa (Medicago sativa L.) harvested at different maturity stages. Legume Res. Int. J. 2016, 39, 237–247. [Google Scholar] [CrossRef]
- Fan, J.W.; Du, Y.L.; Turner, N.C.; Wang, B.R.; Fang, Y.; Xi, Y.; Guo, X.R.; Li, F.M. Changes in root morphology and physiology to limited phosphorus and moisture in a locally-selected cultivar and an introduced cultivar of Medicago sativa L. growing in alkaline soil. Plant Soil 2015, 392, 215–226. [Google Scholar] [CrossRef]
- Liu, Z.Y.; Li, X.L.; Li, F.; Wang, Z.L.; Sun, Q.Z. Mechanisms underlying the effects of fall dormancy on the cold acclimation and winter hard-iness of Medicago sativa. Chin. J. Plant Ecol. 2015, 39, 635. [Google Scholar]
- Annicchiarico, P.; Pecetti, L.; Tava, A. Physiological and morphological traits associated with adaptation of lucerne (Medicago sativa) to severely drought-stressed and to irrigated environments. Ann. Appl. Biol. 2013, 162, 27–40. [Google Scholar] [CrossRef]
- Wang, Y.; Wang, J.; Guo, D.; Zhang, H.; Che, Y.; Li, Y.; Tian, B.; Wang, Z.; Sun, G.; Zhang, H. Physiological and comparative transcriptome analysis of leaf response and physiological adaption to saline alkali stress across pH values in alfalfa (Medicago sativa). Plant Physiol. Biochem. 2021, 167, 140–152. [Google Scholar] [CrossRef]
- de Aguilar, C.A.G.; Azcón, R.; Barea, J.M. Endomycorrhizal fungi and Rhizobium as biological fertilisers for Medicago sativa in normal cultivation. Nature 1979, 279, 325–327. [Google Scholar] [CrossRef]
- Song, Y.; Lv, J.; Ma, Z.; Dong, W. The mechanism of alfalfa (Medicago sativa L.) response to abiotic stress. Plant Growth Regul. 2019, 89, 239–249. [Google Scholar] [CrossRef]
- Guo, Z.; Zhang, T.; Chen, Z.; Niu, J.; Cui, X.; Mao, Y.; Hassan, M.U.; Kareem, H.A.; Xu, N.; Sui, X.; et al. Occurrence, distribution, and genetic diversity of alfalfa (Medicago sativa L.) viruses in four major alfalfa-producing provinces of China. Front. Microbiol. 2022, 12, 771361. [Google Scholar] [CrossRef] [PubMed]
- Sun, Q.; Liu, Q.; Tao, Y.; Xu, L. A preliminary study on alfalfa cultivation and utilization during the Han, Wei, Jin, and Southern and Northern Dynasties. Acta Prataculturae Sin. 2017, 26, 185. [Google Scholar]
- Feng, Y.; Shi, Y.; Zhao, M.; Shen, H.; Xu, L.; Luo, Y.; Liu, Y.; Xing, A.; Kang, J.; Jing, H.; et al. Yield and quality properties of alfalfa (Medicago sativa L.) and their influencing factors in China. Eur. J. Agron. 2022, 141, 126637. [Google Scholar] [CrossRef]
- Jin, J.; Wang, T.; Cheng, Y.; Wang, L.; Zhang, J.; Jing, H.; Chong, K. Current situation and prospect of forage breeding in China. Bull. Chin. Acad. Sci. 2021, 36, 660–665. [Google Scholar]
- Wang, T.; Zhong, J. Creating modern technological system for grass product processing to guarantee macroscopic food security. Bull. Chin. Acad. Sci. 2021, 36, 675–684. [Google Scholar]
- Shi, S.; Nan, L.; Smith, K.F. The current status, problems, and prospects of alfalfa (Medicago sativa L.) breeding in China. Agronomy 2017, 7, 1. [Google Scholar] [CrossRef]
- Shi, J.; Lu, Q.; Zhang, G.; Wang, S.; Hou, M.; Liu, L.; Sa, D. Research progress on the effects of salt stress on the growth, development and nutritional quality of alfalfa. Grassl. Grassl. Ind. 2024, 36, 1–7. [Google Scholar]
- Song, M. Making Good Use of Reserve Arable Land Resources. Economic Daily, 10 May 2024; p. 11. [Google Scholar]
- Moose, S.P.; Mumm, R.H. Molecular plant breeding as the foundation for 21st century crop improvement. Plant Physiol. 2008, 147, 969–977. [Google Scholar] [CrossRef] [PubMed]
- Tester, M.; Langridge, P. Breeding technologies to increase crop production in a changing world. Science 2010, 327, 818–822. [Google Scholar] [CrossRef]
- Tang, L.; Cai, H.; Ji, W.; Luo, X.; Wang, Z.; Wu, J.; Wang, X.; Cui, L.; Wang, Y.; Zhu, Y.; et al. Overexpression of GsZFP1 enhances salt and drought tolerance in transgenic alfalfa (Medicago sativa L.). Plant Physiol. Biochem. 2013, 71, 22–30. [Google Scholar] [CrossRef]
- Zhang, Y.; Zhang, Y.; Wang, C.; Xiao, J.; Huang, M.; Zhuo, L.; Zhang, D. Enhancement of salt tolerance of alfalfa: Physiological and molecular responses of transgenic alfalfa plants expressing Syntrichia caninervis-derived ScABI3. Plant Physiol. Biochem. 2024, 207, 108335. [Google Scholar] [CrossRef] [PubMed]
- Zhang, Z.; Xu, P.; Duan, Z.; Lu, L.; Nan, Z.; Zhang, J. Overexpression of P5CDH from Cleistogenes songorica improves alfalfa growth performance under field drought conditions. Plant Physiol. Biochem. 2024, 209, 108551. [Google Scholar] [CrossRef] [PubMed]
- Luo, Y.; Wang, X.; Zhang, D.; Zhan, L.; Li, D.; Li, C.; Cong, C.; Cai, H. Overexpression of phosphoenolpyruvate carboxylase kinase gene MsPPCK1 from Medicago sativa L. increased alkali tolerance of alfalfa by enhancing photosynthetic efficiency and promoting nodule development. Plant Physiol. Biochem. 2024, 213, 108764. [Google Scholar] [CrossRef]
- Han, W. Current status and prospects of alfalfa industry in the high latitude cold regions of Heilongjiang Province. Grass Sci. 2020, 5, 5–8. [Google Scholar]
- Li, Z.; Zhou, B.; Ba, L. Several issues to be noted in alfalfa cultivation in Northeast my country. In Proceedings of the 7th (2017) China Alfalfa Development Conference, Jiuquan, China, 15–18 August 2017; pp. 387–392. [Google Scholar]
- Fang, L.; Liu, T.; Li, M.; Dong, X.; Han, Y.; Xu, C.; Li, S.; Zhang, J.; He, X.; Zhou, Q.; et al. MODMS: A multi-omics database for facilitating biological studies on alfalfa (Medicago sativa L.). Hortic. Res. 2024, 11, 245. [Google Scholar] [CrossRef]
- Parkash, V.; Singh, S. A review on potential plant-based water stress indicators for vegetable crops. Sustainability 2020, 12, 3945. [Google Scholar] [CrossRef]
- Jouyban, Z. The effects of salt stress on plant growth. Tech. J. Eng. Appl. Sci. 2012, 2, 7–10. [Google Scholar]
- Wang, Z.; Yang, P.; Peng, H.; Li, C.; Yue, C.; Li, W.; Jiang, X. Comprehensive evaluation of 47 tea [Camellia sinensis (L.) O. Kuntze] germplasm based on entropy weight method and grey correlation degree. Genet. Resour. Crop Evol. 2021, 68, 3257–3270. [Google Scholar] [CrossRef]
- Shi, X.; Ding, S.; Cong, H.; Zhang, J.; Qu, K.; Wang, X.; Han, D.; Yan, Y. Grey correlation analysis of yield-related traits of summer-sown soybean. Xinjiang Agric. Sci. 2023, 60, 1641–1652. [Google Scholar]
- Wang, N.; Xing, Y.; Wang, X. Exploring options for improving potato productivity through reducing crop yield gap in Loess Plateau of China based on grey correlation analysis. Sustainability 2019, 11, 5621. [Google Scholar] [CrossRef]
- Guo, Y.; Lan, J.; Li, C.; Tang, X.; Yu, D.; Chen, X. Analysis and evaluation of the nutritional value of wild forage resources in Medog. Feed. Res. 2024, 1, 1–13. [Google Scholar]
- Liu, J.; Wang, X.; Kong, X.; Zhang, Q.; Qu, H. Preliminary report on the production performance evaluation of 25 alfalfa varieties in Suihua area. Feed. Res. 2022, 45, 102–107. [Google Scholar] [CrossRef]
- Wen, L.; Gao, X.; Fan, Y.; Wang, B.; Li, W.; Chen, J.; Wang, Y.; Bi, S. Evaluation and screening of 28 alfalfa varieties in Xing’an League. Feed. Res. 2024, 19, 133–139. [Google Scholar] [CrossRef]
- Stephan, C.E. Methods for calculating an LC50//Aquatic toxicology and hazard evaluation. In Aquatic Toxicology and Hazard Evaluation; ASTM International: West Conshohocken, PA, USA, 1977. [Google Scholar]
- Yang, W.H.; Yong, S.H.; Park, D.J.; Ahn, S.J.; Kim, D.H.; Park, K.B.; Jin, E.J.; Choi, M.S. Efficient Cold Tolerance Evaluation of Four Species of Liliaceae Plants through Cell Death Measurement and Lethal Temperature Prediction. Horticulturae 2023, 9, 751. [Google Scholar] [CrossRef]
- Bhattarai, S.; Biswas, D.; Fu, Y.B.; Biligetu, B. Morphological, physiological, and genetic responses to salt stress in alfalfa: A review. Agronomy 2020, 10, 577. [Google Scholar] [CrossRef]
- May, L.H.; Milthorpe, F.L. Drought resistance of crop plants. Field Crop Abstr. 1962, 15, 3. [Google Scholar]
- Maximov, N.A. Internal factors of frost and drought resistance in plants. Protoplasma 1929, 7, 259–291. [Google Scholar] [CrossRef]
- Atsa’am, D.D.; Oyelere, S.S.; Balogun, O.S.; Wario, R.; Blamah, N.V. K-means cluster analysis of the West African species of cereals based on nutritional value composition. Afr. J. Food Agric. Nutr. Dev. 2021, 21, 17195–17212. [Google Scholar] [CrossRef]
- Mondal, B.; Paul Choudhury, J. A comparative study on k means and pam algorithm using physical characters of different varieties of mango in india. Int. J. Comput. Appl. 2013, 78, 21–24. [Google Scholar] [CrossRef]
- Cai, D. Introduction of High-Quality Cold-Resistant and High-Yield Alfalfa Germplasm Resources and Integrated Demonstration of Cultivation Technology; Heilongjiang Academy of Agricultural Sciences: Harbin, China, 2018. [Google Scholar]
- Rauf, S.; da Silva, J.T.; Khan, A.A.; Naveed, A. Consequences of plant breeding on genetic diversity. Int. J. Plant Breed 2010, 4, 1–21. [Google Scholar]
- Läuchli, A.; Grattan, S.R. Plant growth and development under salinity stress. In Advances in Molecular Breeding Toward Drought and Salt Tolerant Crops; Springer: Cham, Switzerland, 2007; pp. 1–32. [Google Scholar]
- Lichtenthaler, H.K.; Rinderle, U. The role of chlorophyll fluorescence in the detection of stress conditions in plants. CRC Crit. Rev. Anal. Chem. 1988, 19 (Suppl. 1), S29–S85. [Google Scholar] [CrossRef]
- Kancheva, R.H.; Borisova, D.S.; Iliev, I.T. Chlorophyll fluorescence as a plant stress indicator. Recent Dev. Remote Sens. Space 2008, 5, 301–306. [Google Scholar]
- Qi, M.; Liu, X.; Li, Y.; Song, H.; Yin, Z.; Zhang, F.; He, Q.; Xu, Z.; Zhou, G. Photosynthetic resistance and resilience under drought, flooding and rewatering in maize plants. Photosynth. Res. 2021, 148, 1–15. [Google Scholar] [CrossRef] [PubMed]
- Sperdouli, I.; Mellidou, I.; Moustakas, M. Harnessing chlorophyll fluorescence for phenotyping analysis of wild and cultivated tomato for high photochemical efficiency under water deficit for climate change resilience. Climate 2021, 9, 154. [Google Scholar] [CrossRef]
- Khaleghi, E.; Arzani, K.; Moallemi, N.; Barzegar, M. Evaluation of chlorophyll content and chlorophyll fluorescence parameters and relationships between chlorophyll a, b and chlorophyll content index under water stress in Olea europaea cv. Dezful. Int. J. Agric. Biosyst. Eng. 2012, 6, 636–639. [Google Scholar]
- Kalaji, H.M.; Jajoo, A.; Oukarroum, A.; Brestic, M.; Zivcak, M.; Samborska, I.A.; Cetner, M.D.; Łukasik, I.; Goltsev, V.; Ladle, R.J. Chlorophyll a fluorescence as a tool to monitor physiological status of plants under abiotic stress conditions. Acta Physiol. Plant. 2016, 38, 1–11. [Google Scholar] [CrossRef]
- Sairam, R.K.; Srivastava, G.C. Water stress tolerance of wheat (Triticum aestivum L.): Variations in hydrogen peroxide accumulation and antioxidant activity in tolerant and susceptible genotypes. J. Agron. Crop Sci. 2001, 186, 63–70. [Google Scholar] [CrossRef]
- Pongprayoon, W.; Roytrakul, S.; Pichayangkura, R.; Chadchawan, S. The role of hydrogen peroxide in chitosan-induced resistance to osmotic stress in rice (Oryza sativa L.). Plant Growth Regul. 2013, 70, 159–173. [Google Scholar] [CrossRef]
- Chowdhury, S.R.; Choudhuri, M.A. Hydrogen peroxide metabolism as an index of water stress tolerance in jute. Physiol. Plant. 1985, 65, 476–480. [Google Scholar] [CrossRef]
- Jiang, J.; Zhuang, J.; Fan, Y.; Shen, B. Mapping of QTLs for leaf malondialdehyde content associated with stress tolerance in rice. Rice Sci. 2009, 16, 72–74. [Google Scholar] [CrossRef]
- Wang, J.; Li, D. Accumulation of osmotic regulating substances and reactive oxygen metabolism in plants under adverse conditions. Acta Bot. Sin. 2001, 18, 459. [Google Scholar]
- Delauney, A.J.; Verma, D.P.S. Proline biosynthesis and osmoregulation in plants. Plant J. 1993, 4, 215–223. [Google Scholar] [CrossRef]
- Rosa, M.; Prado, C.; Podazza, G.; Interdonato, R.; González, J.A.; Hilal, M.; Prado, F.E. Soluble sugars: Metabolism, sensing and abiotic stress: A complex network in the life of plants. Plant Signal. Behav. 2009, 4, 388–393. [Google Scholar] [CrossRef] [PubMed]
- Feng, Z.; Yang, H.; Wang, B.; Wu, J. Physiological response to salt stress and evaluation of salt tolerance of four buckwheat varieties. J. Gansu Agric. Univ. 2019, 59, 97–103. [Google Scholar] [CrossRef]
- Rasel, M.; Tahjib-Ul-Arif, M.; Hossain, M.A.; Sayed, M.A.; Hassan, L. Discerning of rice landraces (Oryza sativa L.) for morpho-physiological, antioxidant enzyme activity, and molecular markers’ responses to induced salt stress at the seedling stage. J. Plant Growth Regul. 2020, 39, 41–59. [Google Scholar] [CrossRef]
- Quan, W.; Liu, X.; Wang, H.; Chan, Z. Physiological and transcriptional responses of contrasting alfalfa (Medicago sativa L.) varieties to salt stress. Plant Cell Tissue Organ Cult. 2016, 126, 105–115. [Google Scholar] [CrossRef]
- Cao, X. Hyperspectral Grey Correlation Local Regression Estimation Model for Soil Organic Matter Content. Master’s Thesis, Shandong Agricultural University, Taian, China, 2021. [Google Scholar] [CrossRef]
- Hu, X. Analysis of Temperature Field in Laying Hen House and Optimization of Temperature Sensor Layout. Master’s Thesis, Hebei Agricultural University, Baoding, China, 2022. [Google Scholar] [CrossRef]
- Wang, J.; Pan, L.; Xing, D.; Ding, H. Multi-objective optimization of cutting parameters for SiCp/Al composites based on energy efficiency. J. Cent. South Univ. (Sci. Technol.) 2020, 51, 1565–1574. [Google Scholar]
- Huang, L.; Yuan, Z.; Yu, J.; Zhou, T. Fundamental principles of energy consumption for gene expression. Chaos: An Interdisciplinary. J. Nonlinear Sci. 2015, 25, 123101. [Google Scholar]
- Dietrich, R.A.; Richberg, M.H.; Schmidt, R.; Dean, C.; Dangl, J.L. A novel zinc finger protein is encoded by the Arabidopsis LSD1 gene and functions as a negative regulator of plant cell death. Cell 1997, 88, 685–694. [Google Scholar] [CrossRef]
- Jorgensen, P.L.; Pedersen, P.A. Structure–function relationships of Na+, K+, ATP, or Mg2+ binding and energy transduction in Na, K-ATPase. Biochim. Biophys. Acta (BBA)-Bioenerg. 2001, 1505, 57–74. [Google Scholar] [CrossRef]
- Papavassiliou, A.G. Transcription factors. N. Engl. J. Med. 1995, 332, 45–47. [Google Scholar] [CrossRef] [PubMed]
- Vogt, T. Phenylpropanoid biosynthesis. Mol. Plant 2010, 3, 2–20. [Google Scholar] [CrossRef] [PubMed]
- Lei, Y.; Xu, Y.; Hettenhausen, C.; Lu, C.; Shen, G.; Zhang, C.; Li, J.; Song, J.; Lin, H.; Wu, J. Comparative analysis of alfalfa (Medicago sativa L.) leaf transcriptomes reveals genotype-specific salt tolerance mechanisms. BMC Plant Biol. 2018, 18, 35. [Google Scholar] [CrossRef] [PubMed]
- Lu, C.; Pu, Y.; Liu, Y.; Li, Y.; Qu, J.; Huang, H.; Dai, S. Comparative transcriptomics and weighted gene co-expression correlation network analysis (WGCNA) reveal potential regulation mechanism of carotenoid accumulation in Chrysanthemum× morifolium. Plant Physiol. Biochem. 2019, 142, 415–428. [Google Scholar] [CrossRef]
- Zhu, M.; Xie, H.; Wei, X.; Dossa, K.; Yu, Y.; Hui, S.; Tang, G.; Zeng, X.; Yu, Y.; Hu, P.; et al. WGCNA analysis of salt-responsive core transcriptome identifies novel hub genes in rice. Genes 2019, 10, 719. [Google Scholar] [CrossRef]
- Meng, H.L.; Sun, P.Y.; Wang, J.R.; Sun, X.Q.; Zheng, C.Z.; Fan, T.; Chen, Q.F.; Li, H.Y. Comparative physiological, transcriptomic, and WGCNA analyses reveal the key genes and regulatory pathways associated with drought tolerance in Tartary buckwheat. Front. Plant Sci. 2022, 13, 985088. [Google Scholar] [CrossRef]
- Ali, Q.; Ahsan, M. Estimation of genetic variability and correlation analysis for quantitative traits in chickpea (Cicer arietinum L.). Int. J. Agro Vet. Med. Sci. 2012, 6, 241–249. [Google Scholar]
- Malik, H.N.; Malik, S.I.; Hussain, M.O.Z.A.M.I.L.; Chughtai, S.U.R.; Javed, H.I. Genetic correlation among various quantitative characters in maize (Zea mays L.) hybrids. J. Agric. Social. Sci. 2005, 3, 262–265. [Google Scholar]
- Diniz-Filho, J.A.F.; Soares, T.N.; Lima, J.S.; Dobrovolski, R.; Landeiro, V.L.; Telles, M.P.D.C.; Rangel, T.F.; Bini, L.M. Mantel test in population genetics. Genet. Mol. Biol. 2013, 36, 475–485. [Google Scholar] [CrossRef]
- Prysiazhniuk, L.; Starychenko, Y.; Hryniv, S.; Shytikova, Y.; Leshchuk, N.; Melnyk, S.; Kliachenko, O. The comparison analysis of software for Mantel test between DNA markers and morphological traits of plant varieties. AGROFOR Int. J. 2021, 6, 132–143. [Google Scholar] [CrossRef]
- Xiang, S.; Wang, H.; Tian, L.; Chen, Y.; Sun, W.; Zhou, Q. Effects of temperature on germination characteristics of different varieties of alfalfa seeds. Grassl. Turf 2022, 42, 74–82. [Google Scholar] [CrossRef]
- Liang, W.; He, Z.; Li, X.; Li, S.; Shi, H.; Xu, Z.; Yue, Y.; Lu, Z. Grey correlation analysis of main agronomic traits and yield of new alfalfa varieties. Feed. Res. 2022, 45, 86–89. [Google Scholar]
- Ritz, C. Toward a unified approach to dose–response modeling in ecotoxicology. Environ. Toxicol. Chem. 2010, 29, 220–229. [Google Scholar] [CrossRef] [PubMed]
- Kodinariya, T.M.; Makwana, P.R. Review on determining number of Cluster in K-Means Clustering. Int. J. 2013, 1, 90–95. [Google Scholar]
- Bao, S. Soil Agrochemical Analysis, 3rd ed.; China Agriculture Press: Beijing, China, 2000. [Google Scholar]
- Pan, R. Plant Physiology; Higher Education Press: Beijing, China, 2005. [Google Scholar]
- Long, R.; Zhang, F.; Zhang, Z.; Li, M.; Chen, L.; Wang, X.; Liu, W.; Zhang, T.; Yu, L.X.; He, F.; et al. Genome assembly of alfalfa cultivar zhongmu-4 and identification of SNPs associated with agronomic traits. Genom. Proteom. Bioinform. 2022, 20, 14–28. [Google Scholar] [CrossRef]
- Pertea, M.; Kim, D.; Pertea, G.M.; Leek, J.T.; Salzberg, S.L. Transcript-level expression analysis of RNA-seq experiments with HISAT, StringTie and Ballgown. Nat. Protoc. 2016, 11, 1650–1667. [Google Scholar] [CrossRef]
- Kovaka, S.; Zimin, A.V.; Pertea, G.M.; Razaghi, R.; Salzberg, S.L.; Pertea, M. Transcriptome assembly from long-read RNA-seq alignments with StringTie2. Genome Biol. 2019, 20, 278. [Google Scholar] [CrossRef]
- Pertea, M.; Pertea, G.M.; Antonescu, C.M.; Chang, T.C.; Mendell, J.T.; Salzberg, S.L. StringTie enables improved reconstruction of a transcriptome from RNA-seq reads. Nat. Biotechnol. 2015, 33, 290–295. [Google Scholar] [CrossRef]
- Wang, X.; Fu, Y.; Ban, L.; Wang, Z.; Feng, G.; Li, J.; Gao, H. Selection of reliable reference genes for quantitative real-time RT-PCR in alfalfa. Genes Genet. Syst. 2015, 90, 175–180. [Google Scholar] [CrossRef]
- Lyu, F.; Han, F.; Ge, C.; Mao, W.; Chen, L.; Hu, H.; Chen, G.; Lang, Q.; Fang, C. OmicStudio: A composable bioinformatics cloud platform with real-time feedback that can generate high-quality graphs for publication. Imeta 2023, 2, e85. [Google Scholar] [CrossRef]
- Niissalo, A. Cytoscape and Its Plugins; Department of Computer Science University of Helsinki Finland: Helsinki, Finland, 2007. [Google Scholar]
- Somers, K.M.; Jackson, D.A. Putting the Mantel test back together again. Ecology 2022, 103, e3780. [Google Scholar] [CrossRef] [PubMed]
















Disclaimer/Publisher’s Note: The statements, opinions and data contained in all publications are solely those of the individual author(s) and contributor(s) and not of MDPI and/or the editor(s). MDPI and/or the editor(s) disclaim responsibility for any injury to people or property resulting from any ideas, methods, instructions or products referred to in the content. |
© 2024 by the authors. Licensee MDPI, Basel, Switzerland. This article is an open access article distributed under the terms and conditions of the Creative Commons Attribution (CC BY) license (https://creativecommons.org/licenses/by/4.0/).
Share and Cite
Wang, F.; Wu, H.; Yang, M.; Xu, W.; Zhao, W.; Qiu, R.; Kang, N.; Cui, G. Unveiling Salt Tolerance Mechanisms and Hub Genes in Alfalfa (Medicago sativa L.) Through Transcriptomic and WGCNA Analysis. Plants 2024, 13, 3141. https://doi.org/10.3390/plants13223141
Wang F, Wu H, Yang M, Xu W, Zhao W, Qiu R, Kang N, Cui G. Unveiling Salt Tolerance Mechanisms and Hub Genes in Alfalfa (Medicago sativa L.) Through Transcriptomic and WGCNA Analysis. Plants. 2024; 13(22):3141. https://doi.org/10.3390/plants13223141
Chicago/Turabian StyleWang, Fengdan, Hanfu Wu, Mei Yang, Wen Xu, Wenjie Zhao, Rui Qiu, Ning Kang, and Guowen Cui. 2024. "Unveiling Salt Tolerance Mechanisms and Hub Genes in Alfalfa (Medicago sativa L.) Through Transcriptomic and WGCNA Analysis" Plants 13, no. 22: 3141. https://doi.org/10.3390/plants13223141
APA StyleWang, F., Wu, H., Yang, M., Xu, W., Zhao, W., Qiu, R., Kang, N., & Cui, G. (2024). Unveiling Salt Tolerance Mechanisms and Hub Genes in Alfalfa (Medicago sativa L.) Through Transcriptomic and WGCNA Analysis. Plants, 13(22), 3141. https://doi.org/10.3390/plants13223141

