How Does Bio-Organic Fertilizer Combined with Biochar Affect Chinese Small Cabbage’s Growth and Quality on Newly Reclaimed Land?
Abstract
1. Introduction
2. Materials and Methods
2.1. Tested Soil, Biochar and Bio-Organic Fertilizer Prepartion
2.2. Experimental Site and Design
2.3. Observation and Measurement
2.4. Data Analysis and Statistics
3. Results
3.1. Growth of Chinese Small Cabbage
3.2. Dry Matter, Yield and Water Productivity
3.3. Photosynthetic Characteristics
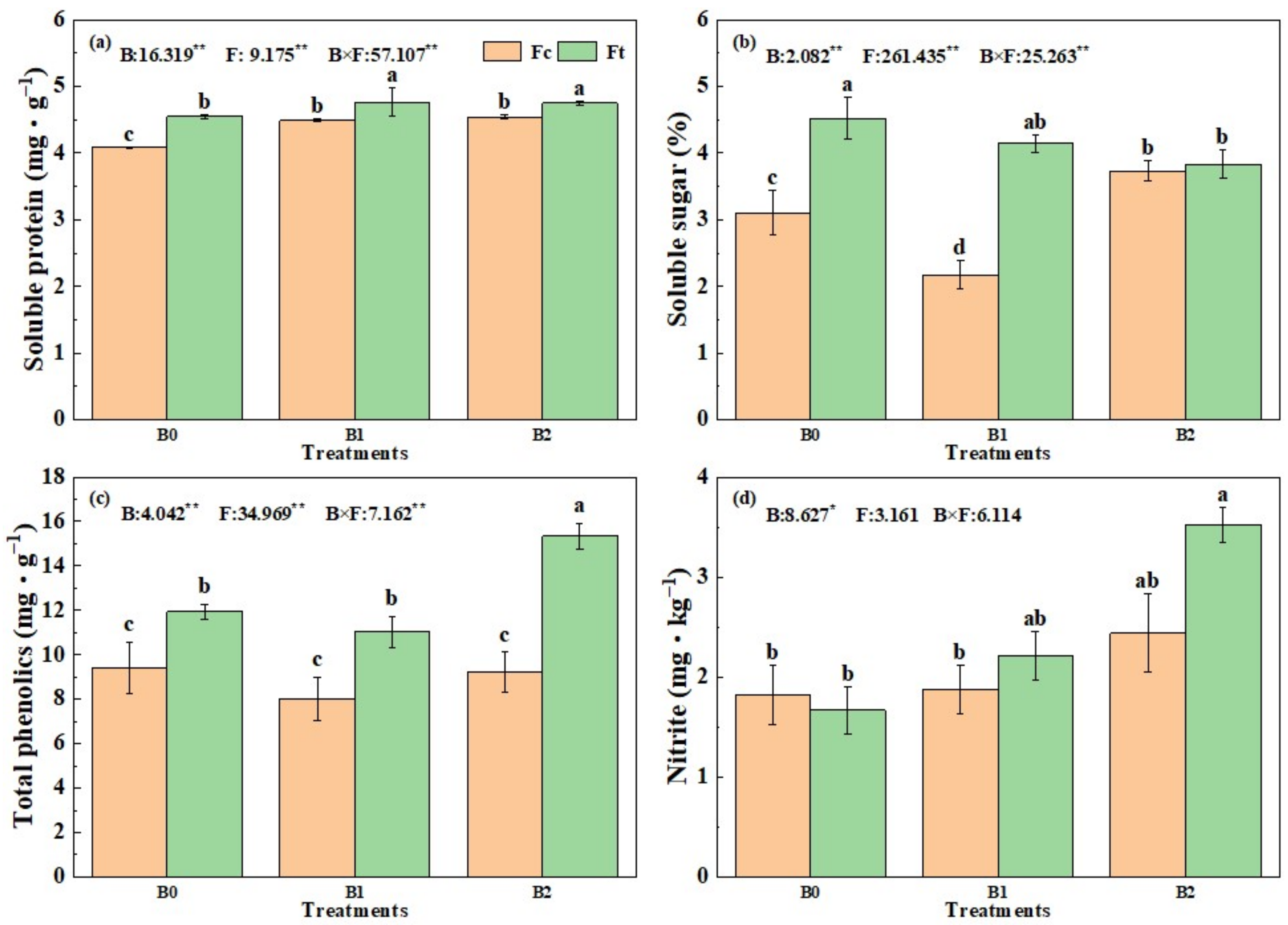
3.4. Quality of Chinese Small Cabbage
4. Discussion
4.1. Growth and Yield
4.2. Accumulated Irrigation Water Amount and Water Productivity
4.3. Photosynthesis Characteristics
4.4. Effects on Plant Quality
5. Conclusions
Author Contributions
Funding
Data Availability Statement
Conflicts of Interest
References
- Ministry of Natural Resources, People’s Republic of China. Major Data Bulletin of the Third National Land Resource Survey. Available online: https://www.mnr.gov.cn/dt/ywbb/202108/t20210826_2678340.html (accessed on 15 April 2023).
- Niu, H. Effects of Different Fertilization on the Potato and Soil in Middle Arid Area of Ningxia. Master’s Thesis, Ningxia University, Yinchuan, China, 2015. [Google Scholar]
- Li, B. Study on Optimization, Establishment and Mechanism of Green and Efficient Planting Pattern in Jiangsu. Ph.D. Thesis, Yangzhou University, Yangzhou, China, 2022. [Google Scholar] [CrossRef]
- Li, H.; Luo, N.; Ji, C.; Li, J.; Zhang, L.; Xiao, L.; She, X.; Liu, Z.; Li, Y.; Liu, C.; et al. Liquid organic fertilizer amendment alters rhizosphere microbial community structure and co-occurrence patterns and improves sunflower yield under salinity-alkalinity stress. Microb. Ecol. 2021, 84, 1–16. [Google Scholar] [CrossRef]
- Wang, Y.; Yin, D.; Shan, G. Effects of biological organic fertilizer on quality and yield of dryland wheat. Shandong Agric. Sci. 2014, 46, 95–97, (In Chinese with English Abstract). [Google Scholar] [CrossRef]
- Suhag, M. Potential of bio fertilizers to replace chemical fertilizers. Int. Adv. Res. J. Sci. Eng. Technol. 2016, 3, 163–167. [Google Scholar]
- Kumar, S.; Diksha; Sindhu, S.S.; Kumar, R. Biofertilizers: An ecofriendly technology for nutrient recycling and environmental sustainability. Curr. Res. Microb. Sci. 2021, 3, 100094. [Google Scholar] [CrossRef]
- Wang, J.; Li, X.; Xing, S.; Ma, Z.; Tu, C. Bio-organic fertilizer promotes plant growth and yield and improves soil microbial community in continuous monoculture system of chrysanthemum morifolium cv. Chuju. Int. J. Agric. Biol. 2017, 19, 563–568. [Google Scholar] [CrossRef]
- Chen, Z.; Kamchoom, V.; Apriyono, A.; Chen, R.; Chen, C. A laboratory study of water infiltration and evaporation in biochar-amended landfill covers under extreme climate. Waste Manag. 2022, 153, 323–334. [Google Scholar] [CrossRef]
- Higashikawa, F.; Silva, C.; Carducci, C.; Jindo, K.; Kurtz, C.; De Araújo, E.; Sousa, R.; Alves, D. Effects of the application of biochar on soil fertility status, and nutrition and yield of onion grown in a no-tillage system. Arch. Agron. Soil Sci. 2023, 69, 212–227. [Google Scholar] [CrossRef]
- Xu, J. Effects of Biochar of Soil Properties of Maize and Greenhouse Gas Emissions. Master’s Thesis, Shenyang Agricultural University, Shenyang, China, 2017. [Google Scholar]
- Wang, S.; Gao, P.; Zhang, Q.; Shi, Y.; Guo, X. Application of biochar and organic fertilizer to saline-alkali soil in the Yellow River Delta: Effects on soil water, salinity, nutrients, and maize yield. Soil Use Manag. 2022, 38, 1679–1692. [Google Scholar] [CrossRef]
- Ma, L.; Huo, Q.; Tian, Q.; Xu, Y.; Hao, H.; Min, W.; Hou, Z. Continuous application of biochar increases 15N fertilizer translocation into soil organic nitrogen and crop uptake in drip-irrigated cotton field. J. Soils Sediments 2022, 23, 1204–1216. [Google Scholar] [CrossRef]
- Zhang, X.; Liao, H.; Li, C.; Wen, F.; Liu, Z.; Zhang, M.; Du, X.; Gao, F.; Liu, J.; Jin, L.; et al. Effects of simultaneous application of biochar and chemical fertilizer on the vertical migration of nitrogen and phosphorus, lettuce yield and quality and soil microbial quantity under field conditions. Acta Sci. Circumstantiae 2021, 41, 21–28. [Google Scholar] [CrossRef]
- Si, L. Effects of Biochar Combined with Fertilizer on Nutrient Use and Loss in Paddy Fields. Ph.D. Thesis, Zhejiang University, Hangzhou, China, 2018. [Google Scholar]
- Schad, P.; Huyssteen, C.; Michéli, E. World Reference Base for Soil Resources 2014. International Soil Classification System for Naming Soils and Creating Legends for Soil Maps; Organización de las Naciones Unidas para la Alimentación y la Agricultura (FAO): Rome, Italy, 2014. [Google Scholar]
- Liu, Y. Harmless treatment of sick and dead livestock and poultry. Chin. J. Tradit. Vet. Sci. 2022, 1, 85–86, (In Chinese with English abstract). [Google Scholar]
- Ministry of Agriculture, People’s Republic of China. Technical Specification for Harmless Treatment of Sick and Dead Animals. Available online: https://www.gov.cn/gongbao/content/2013/content_2547154.htm (accessed on 7 September 2023).
- Ca, H.; Hu, X. Irrigation and Drainage Engineering; China Agriculture Press: Beijing, China, 2020. [Google Scholar]
- Li, Z. The Weeds Control of a Novel Bioorganic Fertilizer and its Effects on Agronomic Traits of Rice. Int. J. Agric. Biol. 2018, 20, 507–512. [Google Scholar] [CrossRef]
- Loh, S.K.; James, S.; Ngatiman, M.; Cheong, K.Y.; Choo, Y.M.; Lim, W.S. Enhancement of palm oil refinery waste—Spent bleaching earth (SBE) into bio organic fertilizer and their effects on crop biomass growth. Ind. Crops Prod. 2013, 49, 775–781. [Google Scholar] [CrossRef]
- Duan, C.; Li, J.; Zhang, B.; Wu, S.; Fan, J.; Feng, H.; He, J.; Siddique, K.H.M. Effect of bio-organic fertilizer derived from agricultural waste resources on soil properties and winter wheat (Triticum aestivum L.) yield in semi-humid drought-prone regions. Agric. Water Manag. 2023, 289, 108539. [Google Scholar] [CrossRef]
- Liu, S.; Zhang, P.; Wang, X.; Abdul, H.; Niu, M.; Song, S.; Fang, J.; Shangguan, L. Comparative analysis of different bio-organic fertilizers on growth and rhizosphere environment of grapevine seedlings. Sci. Hortic. 2024, 324, 112587. [Google Scholar] [CrossRef]
- Yin, W.; Yuan, Z.; Peng, Y.; Tong, H.; Yang, X. Effects of partial substitution of chemical fertilizer by biochar organic fertilizer on the growth, yield, quality and N nutrient utilization of amaranth. China Cucurbits Veg. 2023, 36, 77–83, (In Chinese with English Abstract). [Google Scholar] [CrossRef]
- Hu, J.; Yang, H.; Liu, D.; Cheng, J.; Zhang, S.; Ao, Z.; Huang, J. Effects of brewery-waste derived biochar on soil physicochemical properties and crop yield. J. Plant Nutr. Fertil. 2022, 28, 1664–1672, (In Chinese with English Abstract). [Google Scholar] [CrossRef]
- Wang, J.; Shi, D.; Huang, C.; Zhai, B.; Feng, S. Effects of common biochar and acid-modified biochar on growth and quality of spinach in coastal saline soils. Plants 2023, 12, 3232. [Google Scholar] [CrossRef] [PubMed]
- Wu, D.; Yuan, H.; Gu, W.; Feng, Z.; Sun, Y.; Xiu, L.; Zhang, W.; Chen, W. Photosynthetic physiological metabolism and yield response of continuous soybean cropping mediated by long-term application of biochar. J. Agro-Environ. Sci. 2023, 42, 37–45, (In Chinese with English Abstract). [Google Scholar] [CrossRef]
- Zhang, J. Effects of Organic Fertilizer Application on Water Consumption and Quality of Red Jujube under Drip Irrigation. Master’s Thesis, Shihezi University, Shehezi, China, 2022. [Google Scholar] [CrossRef]
- Shao, J. Study on Economic and Environmental Effects of Biological Organic Fertilizer Substituting Chemical Fertilizer on Wheat in Dryland. Master’s Thesis, Shanxi Agricultural University, Taiyuan, China, 2021. [Google Scholar] [CrossRef]
- Peng, S.; Wu, R.; Zhang, X.; Ge, Z.; Yang, N. Effects of temperature and moisture treatments on microbial characteristics of arable and grassland soil in dry-hot valley. Pratacultural Sci. 2021, 38, 2350–2362, (In Chinese with English Abstract). [Google Scholar] [CrossRef]
- Huang, C. Effects of Common Biochar and Acid-Modified Biochar on Soil Water and Salt Distribution and Spinach Growth in Tidal Flat Area. Master’s Thesis, Yangzhou University, Yangzhou, China, 2021. [Google Scholar] [CrossRef]
- Zhuang, Y. Application of Biochar Combined with Nitrogen Fertilizer in Water and Salt Regulation and Nitrogen Utilization of Ipomoea Aquatica. Master’s Thesis, Yangzhou University, Yangzhou, China, 2022. [Google Scholar] [CrossRef]
- Xue, Y.; Wu, P.; Xia, Y. Effects of different organic fertilizers on physiological characteristics and yield of Brassica pekinensis. China Cucurbits Veg. 2019, 32, 60–63, (In Chinese with English Abstract). [Google Scholar] [CrossRef]
- Zhu, Y.; An, G.; Li, W.; Liu, J.; Sun, D. Effects of different bio-organic fertilizers on photosynthetic characteristics, yield and quality of watermelon. China Cucurbits Veg. 2020, 33, 29–32, (In Chinese with English Abstract). [Google Scholar] [CrossRef]
- Zhan, S.; Song, M.; Li, Z.; Ma, H. Effects of different straw biochars on soil water infiltration and evaporation. J. Soil Water Conserv. 2021, 35, 294–300, (In Chinese with English Abstract). [Google Scholar] [CrossRef]
- Fan, S.; Li, Z.; Xu, Q.; Sun, Q.; Lu, Y. Effects of mixed application of biochar, EM bacteria organic fertilizer and chemical fertilizer on soil fertility, tree growth and fruit quality in peach orchard. Soil Fertil. Sci. China 2022, 11, 77–82. [Google Scholar] [CrossRef]
- Liang, S. Study on the Effect of Mineral Organic Fertilizer on the Quality of Three Leafy Vegetables. Master’s Thesis, Chengdu University of Technology, Chengdu, China, 2021. [Google Scholar] [CrossRef]








| Treatments | Biochar Addition Rate (t·ha−1) | Fertilizer Types |
|---|---|---|
| B0Fc (CK) | 0 | compound fertilizer |
| B0Ft | 0 | bio-organic fertilizer |
| B1Fc | 6.85 | compound fertilizer |
| B1Ft | 6.85 | bio-organic fertilizer |
| B2Fc | 13.7 | compound fertilizer |
| B2Ft | 13.7 | bio-organic fertilizer |
| Treatments | Total Irrigation Water Amount (mm) | ET (mm) | Yield (t·ha−1) | WP (kg·m−3) |
|---|---|---|---|---|
| B0Fc | 110.36 ± 11.41 c | 118.72 ± 7.39 b | 23.86 ± 0.96 c | 16.45 ± 3.68 c |
| B1Fc | 116.90 ± 10.45 bc | 137.51 ± 10.24 ab | 28.32 ± 1.21 b | 20.51 ± 3.00 b |
| B2Fc | 120.48 ± 16.41 b | 143.79 ± 18.99 ab | 29.41 ± 5.02 b | 20.06 ± 1.25 b |
| B0Ft | 138.78 ± 5.46 ab | 152.83 ± 4.57 a | 24.81 ± 3.32 c | 16.20 ± 1.83 c |
| B1Ft | 141.23 ± 5.18 a | 155.86 ± 6.85 a | 37.93 ± 4.46 a | 26.67 ± 4.43 a |
| B2Ft | 139.40 ± 11.07 ab | 151.09 ± 11.86 a | 33.67 ± 3.59 ab | 22.29 ± 1.74 ab |
Disclaimer/Publisher’s Note: The statements, opinions and data contained in all publications are solely those of the individual author(s) and contributor(s) and not of MDPI and/or the editor(s). MDPI and/or the editor(s) disclaim responsibility for any injury to people or property resulting from any ideas, methods, instructions or products referred to in the content. |
© 2024 by the authors. Licensee MDPI, Basel, Switzerland. This article is an open access article distributed under the terms and conditions of the Creative Commons Attribution (CC BY) license (https://creativecommons.org/licenses/by/4.0/).
Share and Cite
Wang, J.; Zhai, B.; Shi, D.; Chen, A.; Liu, C. How Does Bio-Organic Fertilizer Combined with Biochar Affect Chinese Small Cabbage’s Growth and Quality on Newly Reclaimed Land? Plants 2024, 13, 598. https://doi.org/10.3390/plants13050598
Wang J, Zhai B, Shi D, Chen A, Liu C. How Does Bio-Organic Fertilizer Combined with Biochar Affect Chinese Small Cabbage’s Growth and Quality on Newly Reclaimed Land? Plants. 2024; 13(5):598. https://doi.org/10.3390/plants13050598
Chicago/Turabian StyleWang, Juan, Biyu Zhai, Danyi Shi, Anquan Chen, and Chuncheng Liu. 2024. "How Does Bio-Organic Fertilizer Combined with Biochar Affect Chinese Small Cabbage’s Growth and Quality on Newly Reclaimed Land?" Plants 13, no. 5: 598. https://doi.org/10.3390/plants13050598
APA StyleWang, J., Zhai, B., Shi, D., Chen, A., & Liu, C. (2024). How Does Bio-Organic Fertilizer Combined with Biochar Affect Chinese Small Cabbage’s Growth and Quality on Newly Reclaimed Land? Plants, 13(5), 598. https://doi.org/10.3390/plants13050598

