Abstract
Landmark-based geometric morphometrics (GM) was used to examine, for the first time, spontaneous hybridization between Alnus incana (L.) Moench and Alnus rohlenae Vít, Douda and Mandák, and to assess inter- and intrapopulation variability in leaf shape, leaf size and venation in natural populations in Serbia (Western Balkans). Two geographically distant (30 km) and two close (1.2 km) populations were selected to examine hybridization. The variability in leaf shapes was assessed by canonical variate analysis and linear discriminant analysis performed on the symmetric component of variation. Covariation between the symmetric component of shape variation and the number of pairs of secondary leaf veins was investigated with partial least squares analysis. Static allometry was examined for the first time in the genus Alnus Mill. A higher proportion of A. incana leaves was classified as A. rohlenae in geographically close populations, which is in accordance with the hypothesis about spontaneous hybridization. No single leaf of A. rohlenae was classified as A. incana, indicating that putative hybrids can only be found in grey alder populations. This study demonstrates that GM is a powerful tool for species delimitation and hybrid detection in the genus Alnus and it can be used for preliminary screening in hybrid zones.
1. Introduction
Studying the occurrence of gene flow between closely related species is of fundamental importance for inferring the patterns and mechanisms of speciation and hybridization [1,2,3]. Hybridization is very important for biodiversity as it greatly contributes to the overall genetic variability in these species [4,5]. However, it makes species delimitation more challenging. Spontaneous hybrids naturally occur in sympatric populations of the genus Alnus Mill., but only between very closely related species, namely, Alnus glutinosa × A. incana, A. serrulata × A. rugosa, A. sinuate × A. crispa and A. glutinosa × A. rubra [6]. Among these, natural hybrids between A. glutinosa (L.) Gaertn. and A. incana (L.) Moench have been reported to exhibit superior growth rates due to a heterosis effect, characterized by bigger leaf size, increased protein production, improved mechanical properties of wood, better drought resistance and better resistance to Pythium rot [6,7].
Alnus glutinosa, A. incana and A. rohlenae Vít, Douda and Mandák belong to the subgenus Alnus, distinguished by stalked shoot buds and pistillate catkins closed over winter and are pollinated in late winter or early spring [8]. Species of Alnus are monecious. Inflorescences (both staminate and pistillate) are formed in autumn, and flowering occurs early in spring, before leaf formation [9,10]. Grey alder (A. incana) belongs to the circumpolar boreal floristic element and has a wide distribution in the Northern Hemisphere. It grows at higher altitudes than black alder (A. glutinosa), ranging from 500 to 1300 m a.s.l., and up to 2000 m a.s.l. in the Alps. In Serbia, grey alder is mostly found near rivers and streams in mountain spruce forests, within the region of beech, fir and spruce. It is less hygrophilous than black alder, tolerating drier terrains and avoiding stagnant water [10,11]. Alnus rohlenae is an endemic species to the Western Balkan Peninsula and closely related to A. glutinosa. It was distinguished from black alder based on ploidy level and morphological characteristics by [12]. Alnus glutinosa s. str. and A. rohlenae grow on soils that are regularly flooded or moist from springs or groundwater. In Serbia, black alder mainly grows in oak regions on plains and hilly sites, up to 700 m a.s.l. [10,11], while the distribution of A. rohlenae is associated with mountain valleys and deep canyons of the Dinaric Alps [13].
The leaf lamina of A. incana is ovate with a cuneate base and an acuminate apex. It measures 3–7 cm in width and 4–10 cm in length. The margin of the lamina is double-toothed. Leaves are glabrous and dark green on the adaxial side and pubescent and pale green on the abaxial side. The petiole is 1–3 cm long. Its venation is pinnate, with 9–15 pairs of lateral veins [9,14].
The leaf lamina of A. rohlenae is circular to circular–obovate, with a cuneate base and a rounded apex, which can be emarginated. It measures 4–8 cm in width and 5–9 cm in length. The lamina’s margin is single- or double-toothed, except at the base. The petiole is 1.5–3 cm long. Mature leaves are glabrous or pubescent, with tufts of hairs located in the vein angles on the abaxial side. The venation is pinnate, with 7–10 pairs of lateral veins. Morphologically, the leaves of A. rohlenae are very similar to A. glutinosa but can be distinguished by the presence of light hair floccules in lateral vein axils on the abaxial side. Alnus rohlenae is tetraploid (2n = 56 chromosomes), whereas both A. glutinosa and A. incana are diploids (2n = 28 chromosomes) [12].
In the zone of continuous distribution of A. glutinosa and A. incana, hybrids (A. × pubescens Tausch.) occur only sporadically, mainly due to non-overlapping flowering stages—grey alder flowers one to two weeks earlier than black alder. An increased frequency of hybridization is observed at the northern boundary of their range, as well as in years with prolonged winters and cold early springs, when the flowering periods of the two species overlap [14]. This frequency reaches 17.5% in autochthonous populations in Lithuania [15]. On the southern border of the hybrid complex range, [16] reported about 10% of hybrid individuals in the sympatric populations of A. glutinosa and A. incana. Previous studies [13,17] considered the presence of hybrids in contact zones between A. rohlenae and A. glutinosa s. str. in mixed-ploidy populations in Serbia. However, to the best of the authors’ knowledge, hybridization between A. incana and A. rohlenae has not been investigated.
Various markers have been employed to distinguish and describe hybrids between black and grey alder, including morphological [14,16,18,19,20], molecular [15,21] and chemical markers [22,23]. For detection in hybrid zones, [24] suggested a combined morphological and genetic approach. Although molecular markers, namely DNA barcoding, are widely used in plant taxa identification, they provide limited discriminatory power in taxonomically complex groups characterized by polyploidization and hybridization [25,26,27]. In these cases, researchers primarily depend on morphological markers that capture phenotypic dimensions of diversity. In recent decades, an advancement was made with the emergence of geometric morphometrics, a quantitative analysis of biological shape and size variations [28]. These analyses are a very powerful tool and particularly well-suited for studying complexes of hybridizing taxa, such as Quercus spp. [29,30,31,32,33], Acer spp. [34], Sorbus spp. [35] and Crataegus spp. [36]. A study on the detection of putative hybrids between autochthonous populations of A. glutinosa and planted A. incana was conducted using geometric morphometrics in the northern part of Belgium [20]. In this paper, we proposed a landmark-based method of geometric morphometrics to examine spontaneous hybridization between A. incana and A. rohlenae in natural populations in Serbia (Western Balkans). We hypothesized that hybrids could be found in geographically close (1.2 km) populations of A. incana and A. rohleane, namely in the populations Sastavci (SA) and Rimski most (RM). Two geographically distant (30 km) populations, Golijska reka (GR) and Prilički kiseljak (PK), were selected as control populations. Additionally, the inter- and intrapopulation variability in leaf shape, size and venation were assessed.
2. Results
2.1. Leaf Shape Variations
The canonical variate analysis (CVA) of the symmetric component revealed a distinct separation of species along CV1, accounting for 93.69% of the variation (Figure 1). Leaves of A. rohlenae, characterized by their circular–obovate shape, long petiole, narrow cuneate base and retuse apex, were distributed along the negative part of the CV1 axis. Leaves of A. incana, characterized by their ovate shape, short petiole, wide-cuneate base and acuminate apex, were distributed mainly along the positive part of the CV1 axis. However, some leaves collected from A. incana trees appeared in the negative part of CV1, resembling the shape of A. rohlenae. Intermediate leaf shapes were predominantly recorded in the population SA.
Figure 1.
Canonical variate analysis of the symmetric component from 1315 Procrustes-aligned 15landmark configurations of leaves. Population abbreviations: PK—Prilički kiseljak, RM—Rimski most, GR—Golijska reka, SA—Sastavci.
Canonical variate 2, accounting for 3.77% of the variation, partially distinguished populations within species (Figure 1). The shape changes along CV2 were associated with leaf elongation and reflected integrated changes in the leaf’s major and minor axes [37]. The populations RM and SA were associated with longer and narrower leaves, whereas the populations PK and GR were characterized by leaves that were shorter and wider. Additionally, on the CVA plot, the geographically distant populations PK and GR appeared to be more separated than the populations RM and SA, where the presence of hybrids is assumed.
Pairwise comparisons showed that the differences between all populations were highly significant (Table 1). Based on the sum of interpopulation distances, population PK was the most divergent, while population RM was the least divergent.
Table 1.
Mahalanobis and Procrustes distances calculated from canonical variate analysis of the symmetric component of 1315 Procrustes-aligned 15-landmark configurations of leaves.
The linear discriminant analysis revealed that, in the geographically distant populations PK and GR, only 1.3% of leaves from four different individuals of A. incana were misclassified as A. rohlenae (Figure 2A). For the geographically close populations RM and SA, approximately 4% (i.e., 4.4% after cross-validation) of A. incana leaves were misclassified as A. rohlenae (Figure 2B, Supplementary Materials). This 4% of leaves came from nine different individuals. In addition, not a single leaf of A. rohlenae was classified as A. incana.
Figure 2.
Linear discriminant analysis of leaf shape: histograms of linear discriminant values of leaves from geographically distant populations PK and GR (A) and geographically close populations RM and SA (B). Population abbreviations: PK—Prilički kiseljak, RM—Rimski most, GR—Golijska reka, SA—Sastavci.
2.2. Secondary Leaf Vein Variations
In the studied populations, the number of pairs of secondary leaf veins (NV) ranged from 7 to 15 for A. incana, aligning with previously reported values within the natural range of species distribution (Table 2). For A. rohlenae, a wider range and a lower limit were recorded compared to [12]. The assumption that hybrids could be differentiated from parent species by an intermediate number of NV was also tested here. Leaves of A. incana that were misclassified as A. rohlenae by the linear discriminant analysis (LDA) based on shape were indeed characterized by intermediate NV, further indicating their hybrid origin (Table 3). Furthermore, significant differences in NV were recorded between species and among populations of A. incana (Table 3).
Table 2.
Literature data for number of pairs of secondary leaf veins (NV) within the natural range of species distribution.
Table 3.
Number of pairs of secondary leaf veins (NV) and leaf centroid size (CS) in studied populations (A. rohlenae: PK—Prilički kiseljak, RM—Rimski most; A. incana: GR—Golijska reka, SA—Sastavci; PH—putative hybrids in GR and SA populations).
The partial least squares (PLS) analyses were carried out to examine the relationship between leaf shape and NV for each species. The overall strength of association between blocks was significant for both species. For A. rohlenae, the correlation strength between leaf shape and NV (PLS1) was moderate (R2 = 0.48, p < 0.05), and for A. incana, it was somewhat stronger (R2 = 0.65, p < 0.001). Shape changes related to PLS1 are illustrated in Figure 3. For A. rohlenae (Figure 3A), a smaller NV was associated with a wider lamina in the lower part, a narrower lamina in the upper part, a longer petiole, and a retuse apex, whereas a larger NV was associated with a narrower lamina in the lower part, a wider lamina in the upper part, a shorter petiole, and a rounded apex. For A. incana (Figure 3B), shape changes along PLS1 coincided greatly with changes along CV2 (Figure 1): leaves with a smaller NV tended to have shorter and wider lamina, a longer petiole, and a slightly acuminate apex, while leaves with a larger NV were more elongated and narrower, with a shorter petiole and more pronounced acuminate apex.
Figure 3.
Leaf shape changes (black line) related to the number of pairs of secondary leaf veins (NV). Consensus leaf shapes (grey line) for A. rohlenae (A) and A. incana (B).
2.3. Leaf Size Variations and Allometry
Alnus species did not differ in leaf centroid size (CS) (F = 1.34, p = 0.25), but the population SA had a significantly smaller CS compared to the other populations (Table 3).
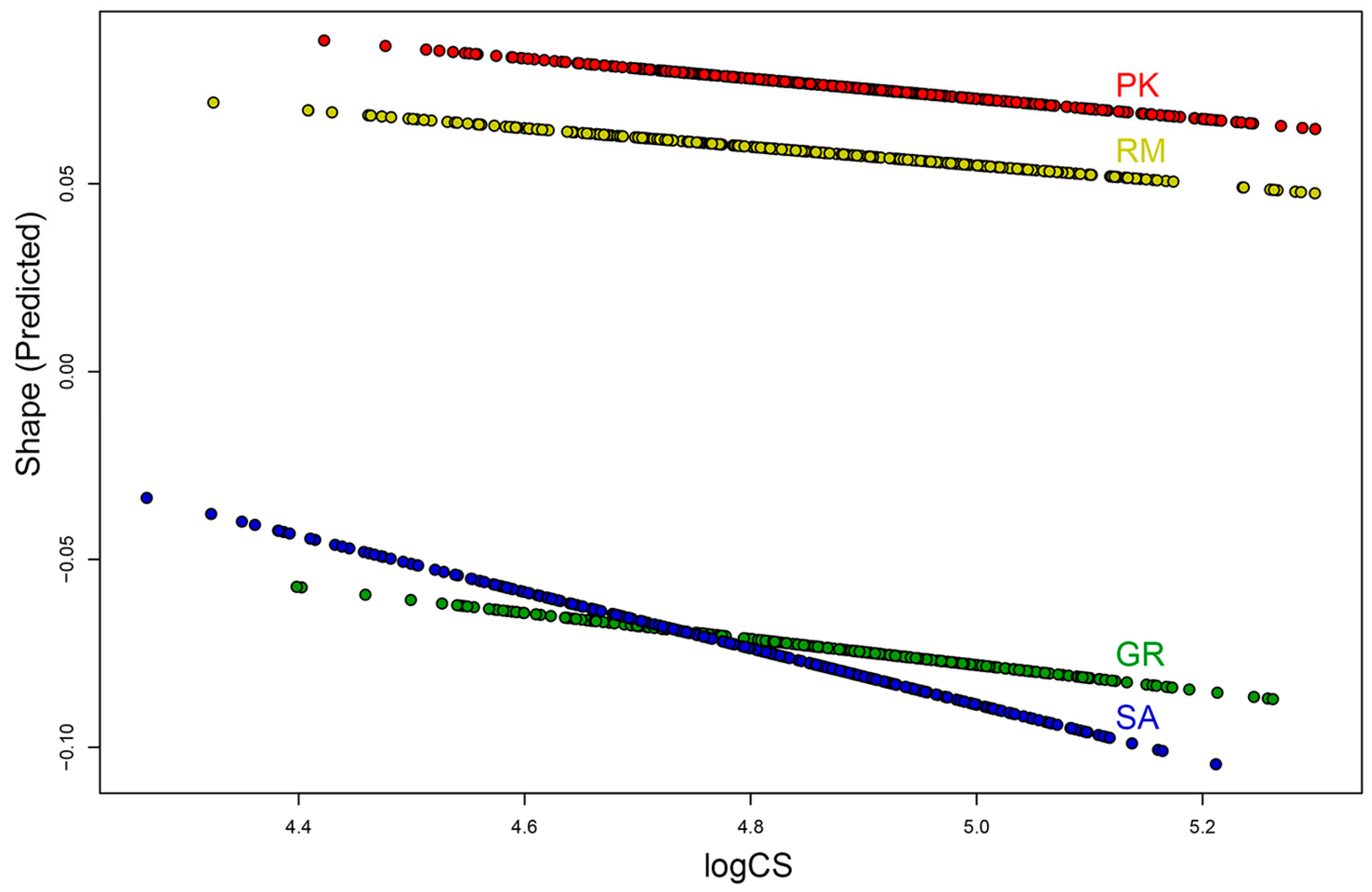
Multivariate regression of the symmetric component on CS showed that shape changes were significantly correlated with changes in size in all the studied populations (p < 0.0001). Nevertheless, allometry accounted for only a small percentage of shape changes within each population (PK—4.490%, RM—3.014%, GR—6.606%, SA—6.017%).
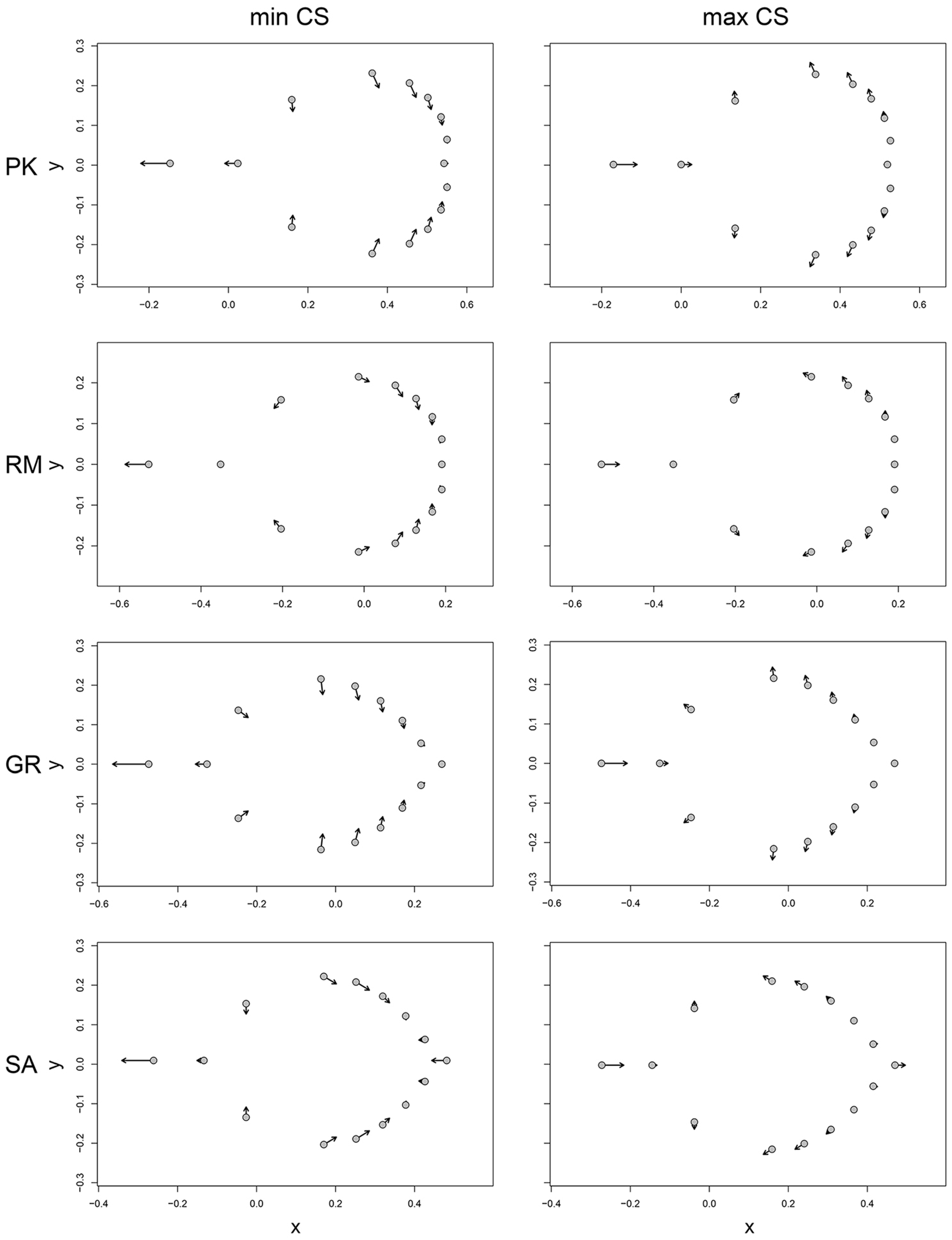
The homogeneity of slopes test revealed that the studied populations exhibited different patterns of allometry (Z = 3.877, p < 0.01): the allometric slope for the population SA was steeper compared to those of the other populations (Figure 4). There was no significant difference in slopes between the populations PK, RM and GR, indicating that the trend of shape change with size was very similar in these populations. In all populations, with an increase in size, the leaves become shorter and wider with a shorter petiole (Figure 5). Major displacements of landmarks were associated with the beginning of the petiole (landmark 1), the widest part of the leaf blade (landmark pairs 4–6 and 8–12), and for the population SA, also with the blade apex (landmark 5) (see Figure 7 for the landmark definition).
Figure 4.
Static allometry in studied populations (A. rohlenae: PK—Prilički kiseljak, RM—Rimski most; A. incana: GR—Golijska reka, SA—Sastavci).
Figure 5.
Predicted shapes at minimum and maximum centroid sizes in the studied populations (PK—Prilički kiseljak, RM—Rimski most, GR—Golijska reka, SA—Sastavci). Shape changes are exaggerated two-fold for better visibility.
For A. rohlenae, a weak positive correlation between NV and CS was determined in the population PK (R2 = 0.113, p < 0.05). In the case of A. incana, positive correlations between NV and CS were recorded in both populations: GR (R2 = 0.286, p < 0.001) and SA (R2 = 0.316, p < 0.001).
3. Discussion
3.1. Hybrids in Studied Populations
Considering various leaf morphological traits, hybrids between black and grey alder overlap with one or both parents or hold an intermediate position and appear to be closer to A. incana [14,16,18]. Multivariate analysis of leaf morphological traits has shown that hybrids have an intermediate position and are closer to A. incana [14,15,19,20]. It was reported by [39] that the germination of a hybrid seed was only successful when A. incana was the maternal parent. When A. glutinosa was the maternal parent, the seed was sterile. Molecular marker analysis confirmed the predominance of A. incana alleles in A. × pubescens [15,21], indicating that hybrids tend to backcross to A. incana. In the studied populations in Serbia, A. incana was also identified as the mother species, because putative hybrids were found only in A. incana populations. Multivariate analyses of leaf shape supported our hypothesis regarding hybridization in geographically close populations: approximately 4% of A. incana leaves in the population SA were misclassified as A. rohlenae. This 4% of leaves belonged to nine different individuals. Given the small percentage of misclassified leaves, we assume that hybrids are primarily characterized by intermediate leaf shapes. However, a minor number of A. incana leaves (four to be exact) were also misclassified as A. rohlenae in the distant, control population GR, indicating that multivariate analyses of leaf shape cannot exclusively distinguish hybrids as well as some individuals with certain forms of phenotypic plasticity. Nevertheless, this method can be used as a preliminary screening tool for hybrids.
Previous studies featuring the determination of the ploidy level have not confirmed the existence of hybrids between A. incana and A. rohlenae. In mixed-ploidy populations in Serbia, [13] identified triploids and suggested that these are the result of a number of ongoing processes [17]. They proposed that the triploid origin can be the outcome of hybridization between diploid A. glutinosa s. str. and tetraploid A. rohlenae. However, they did not explore the possibility of hybridization between diploid A. incana and tetraploid A. rohlenae.
3.2. Inter- and Intrapopulation Variability in Leaf Traits
Venation patterns and venation densities are variable traits influenced on an ontogenetic and evolutionary level by climatic and environmental parameters (e.g., temperature, water conditions, illumination, wind speed, nutrient status) [40,41]. Vein plasticity is expressed within canopies and across environments for a given species, reflecting the gas and water exchange characteristics between the leaves and the atmosphere [41,42]. Venation density is strongly positively correlated with the hydraulic conductivity of leaves [43]. Leaves acclimated to higher irradiance, temperatures, nutrient supplies and lower water supply exhibit vein traits associated with increased leaf hydraulic conductance and greater drought tolerance [42]. The findings of [41] imply that, compared to other leaf traits, the density of major veins (first- and second-order veins) is less sensitive to environment changes. This suggests that, at least to some degree, it is genetically determined for Quercus variabilis Blume. In Alnus species, NV displays less variability at the intrapopulation level and more variability at the interpopulation level with respect to other traits (e.g., leaf length, leaf width, leaf area, perimeter and petiole length) [19,38]. Given these observations and the results from this study, NV appears to be a more conservative trait than leaf shape. This, together with the intermediate NV observed in putative hybrids, suggests that it is genetically determined to a great extent. Our findings further indicate that NV is not only species-specific but also population-specific for A. incana. Venation density may (e.g., Acer monspessulanum L.) or may not (e.g., Quercus petraea (Matt.) Liebl.) vary with leaf size [40], depending on the plant species. In the studied populations of A. incana, NV increases with increasing CS. This could be explained by biomechanical and physiological considerations: larger leaves typically require a relatively larger investment in the midrib and an extensive vein network to transport resources [37,44].
Leaf size is considered one of the most variable traits for many plant species [45,46,47], including Alnus spp. [19,38]. It is responsive to a range of biotic and abiotic factors. Ref. [7] reported that the leaf surface of hybrids is larger than that of the parental trees due to a heterosis effect. However, in our study, putative hybrids tended to have smaller leaves, showing no evidence of heterosis. Smaller leaves were also recorded in one population of A. incana (SA). Furthermore, the allometric slope for the population SA was steeper, suggesting a higher rate of shape change relative to size in this population. Static allometries arise in response to variations in genetic or environmental regulators of size [48]. In the population SA, the narrower and longer leaf shapes with higher NV and smaller CS likely represent a response to an increased evaporative demand in the stressful environment. Many studies have linked smaller leaf sizes to lower annual precipitation and humidity levels [49,50,51]. However, according to the hydro-thermal coefficient (Table 4), all the studied populations grow in conditions with sufficient water supply, essential for the genus Alnus. More likely, the cause of the leaf size reduction in the population SA is the prolonged period of inundation in that area. The reduction in leaf transpiration surface enables plants to maintain high photosynthetic activity under flood stress conditions, as shown for Senna reticulata (Willd.) H.S. Irwin and Barneby [52], Populus angustifolia E. James and P. × jackii Sarg. [53].
Table 4.
Geographic location, sample size and basic climatic characteristics of the studied populations (PK—Prilički kiseljak, RM—Rimski most, GR—Golijska reka, SA—Sastavci).
4. Materials and Methods
4.1. Plant Material
The studied populations of Alnus spp. are located on Golija Mountain (Golija-Studenica Biosphere Reserve, UNESCO). Plant material was collected in autumn 2017 from mature trees of similar age according to [55]. Two populations of A. rohlenae were previously classified as A. glutinosa s. str. [56], due to a lack of data on A. rohlenae’s exact distribution. Morphologically, the two species are very similar, making determination without estimating ploidy level challenging. Following the publication on the exact distribution of the tetraploid A. rohlenae [13] and the private consultation with Professor Dr. Dmitar Lakušić from the University of Belgrade, these populations were correctly reclassified. The sample size and geographic locations of the studied populations are described in Table 4 and Figure 6.
Figure 6.
Geographical locations of the studied populations in the Moravica River basin.
Voucher specimens have been deposited in the Herbarium of the Department of Ecology at the Institute for Biological Research, University of Belgrade, Serbia.
4.2. Digitalization of Leaves
A total of 1315 leaves were sampled from the middle part of the branches. A priori assumptions about a hybrid origin were not made in order to reduce subjectivity. Analyzing several leaves from the same individual is considered the best method for establishing hybridization, because it is known that a single branch can exhibit leaf shapes characteristic of both species [14,19], as well as variable intermediate shapes [18,20,21]. Each leaf was scanned with the abaxial surface facing up with an Epson Perfection V370 scanner at 600 dpi resolution. The scanned images were used to obtain 2D landmark configurations. In our previous study [56], we developed a landmark configuration to describe the leaf shape of Alnus species (Figure 7). The digitalization of specimens was carried out in tpsUtil version 1.70 ([57], downloaded on 9 September 2016) and tpsDig version 2.26 ([58], downloaded on 9 September 2016).
Figure 7.
Landmark configurations (1–7) and semi-landmarks (8–15) of A. incana (A) and A. rohleane (B). Note: modified from [56].
In addition, the number of pairs of secondary leaf veins (NV) was measured for each leaf. Previous studies based on the traditional morphometric approach have identified NV as the most distinctive feature of hybrids, noting that it varies within a very narrow, intermediate range [7,14,18,19,20]. This trait was used to compare with the results obtained from shape and size analysis.
4.3. Assessment of Measurement Error
Measurement error can be quantified using Procrustes ANOVA [59,60,61]. To estimate the measurement error associated with digitalization, a pilot study was carried out with 400 specimens (5 trees per population, 10 leaves per tree and 2 replicates per leaf). A full Procrustes fit and Procrustes ANOVA were performed for each population separately in MorphoJ ([62], 2011, downloaded on 27 March 2017). The results showed that for each population, the digitizing error was small relative to the smallest level of variation (individual-by-side interaction) (Table 5). Therefore, for the original dataset of 1315 specimens, replicate digitalization was not necessary.
Table 5.
Procrustes ANOVA for shape and size in a pilot study of 50 leaves in studied populations (PK—Prilički kiseljak, RM—Rimski most, GR—Golijska reka, SA—Sastavci).
Fluctuating asymmetry, estimated by the individual-by-side interaction, was significant in all the studied populations. Fluctuating asymmetry represents the difference of each individual’s asymmetry from the average asymmetry in the whole population and reflects the combined effects of phenotypic plasticity and developmental instability [63]. Given that this study’s subject is interspecific hybridization, we focused on the symmetric component of variation, which reflects genetic variation and phenotypic plasticity.
4.4. Data Analysis
The full Procrustes fit of 1315 leaf configurations from pooled populations was performed in MorphoJ [62], taking into account that leaves have object symmetry. The main trends in shape variation were captured by the symmetric component of variation, which accounted for 80.77%.
Inter- and intraspecific variability in leaf shapes were assessed by canonical variate analysis (CVA) performed on the covariance matrix of the symmetric component. The delimitation of the species was further assessed with linear discriminant analysis (LDA).
Differences between species and populations in NV and centroid size (CS) were assessed with nested ANOVA in Minitab 17 statistical Software (2010, Minitab Inc., State College, PA, USA). Individual trees were assigned as random factors and nested in populations (fixed factors). The Pearson product–moment correlation coefficient was used to examine the relationship between NV and CS.
Partial least squares (PLS) analysis was used to investigate the covariation between the symmetric component of shape variation as block 1 and NV as block 2. Prior to analysis, data were averaged per tree and NV values were square root-transformed.
CVA, LDA and PLS analysis were carried out in MorphoJ.
Static allometry was examined with the multivariate regression of the symmetric component of shape variation on CS for every population separately. The homogeneity of allometric slopes between populations was tested using the R-package GEOMORPH (version 3.0.5, [64]) in R statistical software (version 3.2.3., downloaded on 30 January 2016) with the ‘procD.allometry’ function. Allometric slopes are displayed using a predicted shape regression which calculates the predicted values of a regression of shape on size and plots the first principal component scores of these predicted values as an allometric trend [65].
5. Conclusions
This study, utilizing landmark-based geometric morphometrics, expands the knowledge about the natural variation in leaf shape, leaf size and number of secondary leaf veins in Alnus species and provides the first insight into A. incana and A. rohlenae hybridization. The presented approach also uncovered subtle differences in leaf traits among populations within species, which could be attributed to genetic and/or environmental factors. Patterns of leaf allometry in Alnus populations seem to be good indicators of environmental heterogeneity. The plasticity in allometry has been scarcely studied within plant taxa, and further research is needed to clarify its role in the ecology of species.
Supplementary Materials
The following supporting information can be downloaded at: https://www.mdpi.com/article/10.3390/plants13070993/s1, Figure S1: Histograms of cross-validation scores of leaves from geographically distant populations PK and GR (A), and geographically close populations RM and SA (B). Population abbreviations: PK—Prilički kiseljak, RM—Rimski most, GR—Golijska reka, SA—Sastavci. Figure S2: Variation of leaf forms of Alnus incana (A), putative hybrids (B), and A. rohlenae (C).
Author Contributions
Conceptualization, M.M. and Z.P.; methodology, M.M.; analysis, M.M. and V.V.; writing—original draft, M.M. and V.V.; writing—review and editing, M.M. and Z.P.; supervision, Z.P. All authors have read and agreed to the published version of the manuscript.
Funding
This research was funded by the Ministry of Science, Technological Development and Innovation of the Republic of Serbia under contract number 451-03-66/2024-03/200007.
Data Availability Statement
The datasets generated and/or analyzed during the study are available from the corresponding author upon reasonable request.
Acknowledgments
We are thankful to our retired college, Srđan Bojović, for his contribution in the conceptualization of this research and in the field work. We are thankful to Dmitar Lakušić from the Faculty of Biology, University of Belgrade, for his help in the determination of Alnus rohlenae.
Conflicts of Interest
The authors declare no conflicts of interest.
References
- Duminil, J.; Di Michele, M. Plant species delimitation: A comparison of morphological and molecular markers. Plant Biosyst. 2009, 143, 528–542. [Google Scholar] [CrossRef]
- Gompert, Z.; Buerkle, C.A. What, if anything, are hybrids: Enduring truths and challenges associated with population structure and gene flow. Evol. Appl. 2016, 9, 909–923. [Google Scholar] [CrossRef] [PubMed]
- Bock, D.G.; Cai, Z.; Elphinstone, C.; González-Segovia, E.; Hirabayashi, K.; Huang, K.; Keais, G.L.; Kim, A.; Owens, G.L.; Rieseberg, L.H. Genomics of plant speciation. Plant Commun. 2023, 4, 100599. [Google Scholar] [CrossRef]
- López-Caamal, A.; Tovar-Sánchez, E. Genetic, morphological, and chemical patterns of plant hybridization. Rev. Chil. Hist. Nat. 2014, 87, 16. [Google Scholar] [CrossRef]
- Taylor, S.A.; Larson, E.L. Insights from genomes into the evolutionary importance and prevalence of hybridization in nature. Nat. Ecol. Evol. 2019, 3, 170–177. [Google Scholar] [CrossRef] [PubMed]
- Vanden Heuvel, B.D. “Alnus”. In Wild Crop Relatives: Genomic and Breeding Resources, Forest Trees; Kole, C., Ed.; Springer: Berlin/Heidelberg, Germany, 2011; pp. 1–14. [Google Scholar] [CrossRef]
- Mejnartowicz, L. Evidence for long-term heterosis phenomenon in the Alnus incana × glutinosa F1 hybrids. Silvae Genet. 1999, 48, 100–103. [Google Scholar]
- Furlow, J. The systematics of the American species of Alnus (Betulaceae). Rhodora 1979, 81, 1–121. [Google Scholar]
- Jovanović, B. “Rod Alnus Mill” [Genus Alnus Mill]. In Flora SR Srbije Volume 2 [Flora of Serbia Volume 2]; Josifović, M., Ed.; Srpska Akademija Nauka i Umetnosti: Belgrade, Serbia, 1970; pp. 102–105. [Google Scholar]
- Jovanović, B. Dendrologija [Dendrology]; Šumarski Fakultet: Belgrade, Serbia, 2007; p. 536. [Google Scholar]
- Jovanović, B.; Mišić, V.; Dinić, A.; Diklić, N.; Vukićević, E. Vegetacija Srbije II, Šumske zajednice 1 [Vegetation of Serbia II, Forest Communities 1]; Srpska Akademija Nauka i Umetnosti: Belgrade, Serbia, 1997; p. 474. [Google Scholar]
- Vít, P.; Douda, J.; Krak, K.; Havrdová, A.; Mandák, B. Two new polyploid species closely related to Alnus glutinosa in Europe and North Africa—An analysis based on morphometry, karyology, flow cytometry and microsatellites. Taxon 2017, 66, 567–583. [Google Scholar] [CrossRef]
- Šmíd, J.; Vít, P.; Douda, J.; Krak, K.; Mandák, B. Distribution, hybridisation and morphological variation in Alnus rohlenae (Betulaceae) an endemic species of the Balkan Peninsula. Eur. J. For. Res. 2022, 141, 641–648. [Google Scholar] [CrossRef]
- Banaev, E.V.; Bažant, V. Study of natural hybridization between Alnus incana (L.) Moench. and Alnus glutinosa (L.) Gaertn. J. For. Sci. 2007, 53, 66–73. [Google Scholar] [CrossRef]
- Jurkšienė, G.; Tamošaitis, S.; Kavaliauskas, D.; Buchovska, J.; Danusevičius, D.; Baliuckas, V. Identification of Alnus glutinosa L. and A. incana (L.) Moench. hybrids in natural forests using nuclear DNA microsatellite and morphometric markers. Forests 2021, 12, 1504. [Google Scholar] [CrossRef]
- Bašić, N.; Selimović, E.; Pustahija, F. Morphological identification of nothospecies Alnus × pubescens Tausch. and their new localities in Central Bosnia. Work. Fac. For. Sarajevo 2014, 44, 15–24. [Google Scholar] [CrossRef]
- Šmíd, J.; Douda, J.; Krak, K.; Mandák, B. Analyses of hybrid viability across a hybrid zone between two Alnus species using microsatellites and cpDNA markers. Genes 2020, 11, 770. [Google Scholar] [CrossRef] [PubMed]
- Parnell, J.A.N. Variation and hybridisation of Alnus Miller in Ireland. Watsonia 1994, 20, 67–70. [Google Scholar]
- Poljak, I.; Idžojtić, M.; Šapić, I.; Vukelić, J.; Zebec, M. Varijabilnost populacija bijele (Alnus incana/L./Moench) i crne johe (A. glutinosa/L./Gaertn.) na području Mure i Drave prema morfološkim obilježjima listova [Population variability of grey (Alnus incana/L./Moench) and black alder (A. glutinosa/L./Geartn.) in the Mura and Drava region according to the leaf morphology]. Šumarski List 2014, 164, 7–17. [Google Scholar]
- Vander Mijnsbrugge, K. Morphological dissection of leaf, bud and infructescence traits of the interfertile native A. glutinosa and non-native A. incana in Flanders (northern part of Belgium). Trees—Struct. Funct. 2015, 29, 1661–1672. [Google Scholar] [CrossRef]
- Voronova, A.; Lazdina, D.; Korica, A.; Veinberga, I.; Liepins, K.; Rungis, D. Evaluation of allelic content in an experimental alder (Alnus spp.) plantation. Acta Biol. Univ. Daugavp. 2015, 15, 227–240. [Google Scholar]
- Vidaković, V.; Novaković, M.; Popović, Z.; Janković, M.; Matić, R.; Tešević, V.; Bojović, S. Significance of diarylheptanoids for chemotaxonomical distinguishing between Alnus glutinosa and Alnus incana. Holzforschung 2017, 72, 9–16. [Google Scholar] [CrossRef]
- Jurkšienė, G.; Sirgedaitė-Šėžienė, V.; Juškauskaitė, A.; Baliuckas, V. Identification of Alnus incana (L.) Moenx. × Alnus glutinosa (L.) Gaertn. hybrids using metabolic compounds as chemotaxonomic markers. Forests 2023, 14, 150. [Google Scholar] [CrossRef]
- Abbott, R.J. Plant speciation across environmental gradients and the occurrence and nature of hybrid zones. J. Syst. Evol. 2017, 55, 238–258. [Google Scholar] [CrossRef]
- Federici, S.; Galimberti, A.; Bartolucci, F.; Bruni, I.; De Mattia, F.; Cortis, P.; Labra, M. DNA barcoding to analyse taxonomically complex groups in plants: The case of Thymus (Lamiaceae). Bot. J. Linn. Soc. 2013, 171, 687–699. [Google Scholar] [CrossRef]
- Wang, X.; Gussarova, G.; Ruhsam, M.; de Vere, N.; Metherell, C.; Hollingsworth, P.M.; Twyford, A.D. DNA barcoding a taxonomically complex hemiparasitic genus reveals deep divergence between ploidy levels but lack of species-level resolution. AoB Plants 2018, 10, ply026. [Google Scholar] [CrossRef] [PubMed]
- Percy, D.M.; Argus, G.W.; Cronk, Q.C.; Fazekas, A.J.; Kesanakurti, P.R.; Burgess, K.S.; Husband, B.C.; Newmaster, S.G.; Barrett, S.C.H.; Graham, S.W. Understanding the spectacular failure of DNA barcoding in willows (Salix): Does this result from a trans-specific selective sweep? Mol. Ecol. 2014, 23, 4737–4756. [Google Scholar] [CrossRef] [PubMed]
- Viscosi, V.; Cardini, A. Leaf morphology, taxonomy and geometric morphometrics: A simplified protocol for beginners. PLoS ONE 2011, 6, e25630. [Google Scholar] [CrossRef] [PubMed]
- Jensen, R.J.; Hokanson, S.C.; Isebrands, J.G.; Hancock, J.F. Morphometric variation in oaks of the Apostle Islands in Wisconsin: Evidence of hybridization between Quercus rubra and Q. ellipsoidalis (Fagaceae). Am. J. Bot. 1993, 80, 1358–1366. [Google Scholar] [CrossRef]
- Viscosi, V.; Lepais, O.; Gerber, S.; Fortini, P. Leaf morphological analyses in four European oak species (Quercus) and their hybrids: A comparison of traditional and geometric morphometric methods. Plant Biosyst. 2009, 143, 564–574. [Google Scholar] [CrossRef]
- Viscosi, V. Geometric morphometrics and leaf phenotypic plasticity: Assessing fluctuating asymmetry and allometry in European white oaks (Quercus). Bot. J. Linn. Soc. 2015, 179, 335–348. [Google Scholar] [CrossRef]
- De Heredia, U.L.; Duro-García, M.J.; Soto, Á. Leaf morphology of progenies in Q. suber, Q. ilex, and their hybrids using multivariate and geometric morphometric analysis. IForest 2018, 11, 90–98. [Google Scholar] [CrossRef]
- Liu, Y.; Li, Y.; Song, J.; Zhang, R.; Yan, Y.; Wang, Y.; Du, F.K. Geometric morphometric analyses of leaf shapes in two sympatric Chinese oaks: Quercus dentata Thunberg and Quercus aliena Blume (Fagaceae). Ann. For. Sci. 2018, 75, 90. [Google Scholar] [CrossRef]
- Jensen, R.J.; Ciofani, K.M.; Miramontes, L.C. Lines, outlines, and landmarks: Morphometric analyses of leaves of Acer rubrum, Acer saccharinum (Aceraceae) and their hybrid. Taxon 2002, 51, 475. [Google Scholar] [CrossRef]
- Vít, P.; Lepší, M.; Lepší, P. There is no diploid apomict among Czech Sorbus species: A biosystematic revision of S. eximia and discovery of S. barrandienica. Preslia 2012, 84, 71–96. [Google Scholar]
- Piedra-Malagón, E.M.; Albarrán-Lara, A.L.; Rull, J.; Piñero, D.; Sosa, V. Using multiple sources of characters to delimit species in the genus Crataegus (Rosaceae): The case of the Crataegus rosei complex. Syst. Biodivers. 2016, 14, 244–260. [Google Scholar] [CrossRef]
- Niinemets, Ü.; Portsmuth, A.; Tobias, M. Leaf shape and venation pattern alter the support investments within leaf lamina in temperate species: A neglected source of leaf physiological differentiation? Funct. Ecol. 2007, 21, 28–40. [Google Scholar] [CrossRef]
- Krauze-Michalska, E.; Boratyńska, K. European geography of Alnus incana leaf variation. Plant Biosyst.—Int. J. Deal. Asp. Plant Biol. 2013, 147, 601–610. [Google Scholar] [CrossRef]
- Kundzins, A.V. Study of the Genus Alnus in Latvian SSR. Ph.D. Thesis, Latvian Agricultural Academy, Elgava, Latvia, 1969. [Google Scholar]
- Uhl, D.; Mosbrugger, V. Leaf venation density as a climate and environmental proxy: A critical review and new data. Palaeogeogr. Palaeoclimatol. Palaeoecol. 1999, 149, 15–26. [Google Scholar] [CrossRef]
- Zhu, Y.; Kang, H.; Xie, Q.; Wang, Z.; Yin, S.; Liu, C. Pattern of leaf vein density and climate relationship of Quercus variabilis populations remains unchanged with environmental changes. Trees—Struct. Funct. 2012, 26, 597–607. [Google Scholar] [CrossRef]
- Sack, L.; Scoffoni, C. Leaf venation: Structure, function, development, evolution, ecology and applications in the past, present and future. New Phytol. 2013, 490, 983–1000. [Google Scholar] [CrossRef] [PubMed]
- Brodribb, T.J.; Feild, T.S.; Jordan, G.J. Leaf maximum photosynthetic rate and venation are linked by hydraulics. Plant Physiol. 2007, 144, 1890–1898. [Google Scholar] [CrossRef] [PubMed]
- Xu, F.; Guo, W.; Xu, W.; Wei, Y.; Wang, R. Leaf morphology correlates with water and light availability: What consequences for simple and compound leaves. Prog. Nat. Sci. 2009, 19, 1789–1798. [Google Scholar] [CrossRef]
- Givnish, T.J. Comparative studies of leaf form: Assessing the relative roles of selective pressures and phylogenetic constraints. New Phytol. 1987, 106, 131–160. [Google Scholar] [CrossRef]
- Stojnić, S.; Orlović, S.; Miljković, D.; Von Wuehlisch, G. Intra- and interprovenance variations in leaf morphometric traits in European beech (Fagus sylvatica L.). Arch. Biol. Sci. 2016, 68, 781–788. [Google Scholar] [CrossRef]
- Navarro-Cerrillo, R.M.; Ruiz Gómez, F.J.; Cabrera-Puerto, R.J.; Sánchez-Cuesta, R.; Palacios Rodriguez, G.; Quero Pérez, J.L. Growth and physiological sapling responses of eleven Quercus ilex ecotypes under identical environmental conditions. For. Ecol. Manage. 2018, 415–416, 58–69. [Google Scholar] [CrossRef]
- Shingleton, A.W.; Estep, C.M.; Driscoll, M.V.; Dworkin, I. Many ways to be small: Different environmental regulators of size generate distinct scaling relationships in Drosophila melanogaster. Proc. R. Soc. B Biol. Sci. 2009, 276, 2625–2633. [Google Scholar] [CrossRef] [PubMed]
- Cordell, S.; Goldstein, G.; Mueller-Dombois, D.; Webb, D.; Vitousek, P.M. Physiological and morphological variation in Metrosideros polymorpha, a dominant Hawaiian tree species, along an altitudinal gradient: The role of phenotypic plasticity. Oecologia 1998, 113, 188–196. [Google Scholar] [CrossRef]
- Toivonen, J.M.; Horna, V.; Kessler, M.; Ruokolainen, K.; Hertel, D. Interspecific variation in functional traits in relation to species climatic niche optima in Andean Polylepis (Rosaceae) tree species: Evidence for climatic adaptations. Funct. Plant Biol. 2014, 41, 301–312. [Google Scholar] [CrossRef] [PubMed]
- Wright, I.J.; Dong, N.; Maire, V.; Prentice, I.C.; Westoby, M.; Díaz, S.; Gallagher, R.V.; Jacobs, B.F.; Kooyman, R.; Law, E.A.; et al. Global climatic drivers of leaf size. Science 2017, 357, 917–921. [Google Scholar] [CrossRef]
- Parolin, P. Seasonal changes of specific leaf mass and leaf size in trees of Amazonian floodplains. Phyt.—Ann. Rei Bot. 2002, 42, 169–185. [Google Scholar]
- Rood, S.B.; Nielsen, J.L.; Shenton, L.; Gill, K.M.; Letts, M.G. Effects of flooding on leaf development, transpiration, and photosynthesis in narrowleaf cottonwood, a willow-like poplar. Photosynth. Res. 2010, 104, 31–39. [Google Scholar] [CrossRef] [PubMed]
- Vukovic, A.; Vujadinovic, M. Study on Climate Change in the Western Balkans Region, Regional Cooperation Council. 2018. Available online: https://www.rcc.int/pubs/62/study-on-climate-change-in-the-western-balkans-region (accessed on 20 March 2024).
- Cornelissen, J.H.C.; Lavorel, S.; Garnier, E.; Diaz, S.; Buchmann, N.; Gurvich, D.E.; Reich, P.B.; Ter Steege, H.; Morgan, H.D.; Van Der Heijden, M.G.A.; et al. A handbook of protocols for standardised and easy measurement of plant functional traits worldwide. Aust. J. Bot. 2003, 51, 335–380. [Google Scholar] [CrossRef]
- Vidaković, V.; Stefanović, M.; Novaković, M.; Jadranin, M.; Popović, Z.; Matić, R.; Tešević, V.; Bojović, S. Inter- and intraspecific variability of selected diarylheptanoid compounds and leaf morphometric traits in Alnus glutinosa and Alnus incana. Holzforschung 2018, 72, 1031–1041. [Google Scholar] [CrossRef]
- Rohlf, J. tpsUtil (Computer Program), Version 1.70; Stony Brook University: New York, NY, USA, 2016. [Google Scholar]
- Rohlf, J. tpsDig2 (Computer Program), Version 2.26; Stony Brook University: New York, NY, USA, 2016. [Google Scholar]
- Klingenberg, C.P.; McIntyre, G.S. Geometric morphometrics of developmental instability: Analyzing patterns of fluctuating asymmetry with Procrustes methods. Evolution 1998, 52, 1363. [Google Scholar] [CrossRef] [PubMed]
- Klingenberg, C.P.; Barluenga, M.; Meyer, A. Shape analysis of symmetric structures: Quantifying variation among individuals and asymmetry. Evolution 2002, 56, 1909–1920. [Google Scholar] [CrossRef] [PubMed]
- Klingenberg, C.P. Analyzing fluctuating asymmetry with geometric morphometrics: Concepts, methods, and applications. Symmetry 2015, 7, 843–934. [Google Scholar] [CrossRef]
- Klingenberg, MorphoJ: An integrated software package for geometric morphometrics. Mol. Ecol. Resour. 2011, 11, 353–357. [CrossRef] [PubMed]
- Klingenberg, C.P.; Duttke, S.; Whelan, S.; Kim, M. Developmental plasticity, morphological variation and evolvability: A multilevel analysis of morphometric integration in the shape of compound leaves. J. Evol. Biol. 2012, 25, 115–129. [Google Scholar] [CrossRef] [PubMed]
- Adams, D.C.; Otárola-Castillo, E. Geomorph: An R package for the collection and analysis of geometric morphometric shape data. Methods Ecol. Evol. 2013, 4, 393–399. [Google Scholar] [CrossRef]
- Adams, D.C.; Nistri, A. Ontogenetic convergence and evolution of foot morphology in European cave salamanders (Family: Plethodontidae). BMC Evol. Biol. 2010, 10, 216. [Google Scholar] [CrossRef]
Disclaimer/Publisher’s Note: The statements, opinions and data contained in all publications are solely those of the individual author(s) and contributor(s) and not of MDPI and/or the editor(s). MDPI and/or the editor(s) disclaim responsibility for any injury to people or property resulting from any ideas, methods, instructions or products referred to in the content. |
© 2024 by the authors. Licensee MDPI, Basel, Switzerland. This article is an open access article distributed under the terms and conditions of the Creative Commons Attribution (CC BY) license (https://creativecommons.org/licenses/by/4.0/).






