Abstract
The AP2/ERF transcription factor ABSCISIC ACID INSENSITIVE 4 (ABI4) plays diverse roles in plant development and responses to abiotic stress. However, its potential involvement in regulating anthocyanin biosynthesis is not fully understood. In this study, three different loss-of-function abi4 alleles (abi4-1, abi4-2, and abi4-101) were employed to investigate the role of ABI4 in the regulation of anthocyanin accumulation in Arabidopsis seedlings. These abi4 mutants exhibited significantly increased anthocyanin accumulation, which was associated with elevated expression of genes involved in anthocyanin biosynthesis. HY5 (LONG HYPOCOTYL 5), a central component of photomorphogenesis, acts as a key light-regulated molecular switch. Further analysis revealed that ABI4 requires HY5 to function as a negative regulator of anthocyanin biosynthesis. Additionally, loss of ABI4 resulted in heightened light sensitivity, leading to increased light-induced chlorophyll accumulation and chloroplast development, along with upregulation of photosynthesis-related genes. Interestingly, the light-hypersensitive phenotype of abi4 mutants was partially rescued by the loss of HY5 function. Taken together, these findings demonstrate that ABI4 negatively regulates anthocyanin accumulation in Arabidopsis seedlings through a HY5-dependent light signaling pathway.
1. Introduction
Anthocyanins are a large group of plant secondary metabolites classified as flavonoids, playing essential roles in various physiological and biological processes in vascular plants. For example, anthocyanins present in vegetative tissues help protect plants from excessive light and UV radiation, while their accumulation in reproductive organs attracts pollinators and animals, facilitating pollination and seed dispersal [1,2].
The biosynthetic pathway of anthocyanins in vascular plants is well established. In the model plant Arabidopsis thaliana, anthocyanin biosynthesis is genetically regulated by two classes of genes: early biosynthetic genes (EBGs) and late biosynthetic genes (LBGs) [3,4]. The EBGs including CHS (CHALCONE SYNTHASE), CHI (CHALCONE ISOMERASE), F3H (FLAVANONE 3-HYDROXYLASE), and F3′H (FLAVONOID 3-HYDROXYLASE) participate in the common steps of the flavonoid pathway. The LBGs, such as DFR (DIHYDROFLAVONOL 4-REDUCTASE), LDOX (LEUCOANTHOCYANIDIN OXYGENASE), ANR (ANTHOCYANIDIN REDUCTASE), and UF3GT (UDP-GLUCOSE: FLAVONOID 3-O-GLUCOSYLTRANSFERASE), function in the later stages of anthocyanin biosynthesis. EBGs are primarily regulated by at least three R2R3-MYB transcription factors: MYB11, MYB12, and MYB111. In contrast, LBGs are typically regulated by the well-known MYB-bHLH-WD40 (MBW) complex [5].
Anthocyanin biosynthesis is influenced by multiple environmental and endogenous cues. Among these, light is undoubtedly the most critical factor, although other environmental stresses such as low temperature, drought, nutrient (nitrogen and phosphorus) deficiency, wounding, and pathogen infection also contribute [6]. Notably, studies have shown that the application of exogenous sugars and hormones does not induce anthocyanin biosynthesis in the absence of light, indicating that light is a prerequisite for anthocyanin accumulation [7,8]. In Arabidopsis, light signals are perceived and mediated by several types of photoreceptors, including cryptochromes, phototropins, phytochromes, and UV RESISTANCE LOCUS 8 (UVR8) [9]. Numerous downstream components of these photoreceptors have been identified, including COP1 (CONSTITUTIVE PHOTOMORPHOGENIC 1) and HY5 (LONG HYPOCOTYL 5). These two key regulators act antagonistically in controlling light-mediated seedling development. The bZIP transcription factor HY5 serves as a positive regulator of photomorphogenesis, whereas COP1 negatively regulates HY5 [10,11]. Mutations in HY5 result in a long-hypocotyl phenotype under all light conditions, suggesting that HY5 functions downstream of all photoreceptors to promote photomorphogenesis [9,12]. Beyond its central role in light signaling, HY5 also regulates the transcription of anthocyanin biosynthetic genes by directly binding to the promoters of both EBGs and LBGs [13]. In addition, HY5 modulates the expression of other transcription factors, thereby co-regulating downstream structural genes and influencing anthocyanin accumulation in Arabidopsis seedlings. For instance, transcription factors such as PAP1 (PRODUCTION OF ANTHOCYANIN PIGMENT 1), MYBD (MYB-LIKE DOMAIN), and MYBL2 (MYB-LIKE 2) are transcriptionally regulated in response to light and act downstream of HY5, functioning as either positive or negative regulators of anthocyanin biosynthesis [14,15,16].
The phytohormone abscisic acid (ABA) plays multiple roles in regulating developmental and physiological processes, including seed maturation and germination, stomatal closure, and stress adaptation [17,18]. ABI4 is a member of the plant-specific AP2/ERF transcription factor family and was initially identified as an important positive regulator in the ABA signaling cascade. Subsequent studies have shown that ABI4 is a multifunctional regulatory factor involved in lateral root development, lipid metabolism, plastid-to-nucleus retrograde signaling, and abiotic stress responses [19,20,21]. ABA biosynthesis mutants such as aba1, aba2, and aba3 exhibit reduced tolerance to drought and high-salt stress due to impaired ABA production [22]. In contrast, the ABA signaling mutant abi4 displays enhanced resistance to drought, salt, and osmotic stresses [23,24,25,26]. Anthocyanins are important for protecting plants from oxidative damage caused by environmental stressors [27,28]. While the role of ABI4 in abiotic stress responses is well documented, its potential involvement in regulating anthocyanin biosynthesis is not fully understood. In the present study, it was found that disruption of ABI4 leads to enhanced anthocyanin accumulation in Arabidopsis seedlings. Further investigation revealed that HY5 is required for ABI4’s function in regulating anthocyanin biosynthesis.
2. Results
2.1. Loss-of-Function Mutations in ABI4 Enhances Anthocyanin Accumulation in Arabidopsis Seedlings
To investigate whether ABI4 is involved in modulating anthocyanin biosynthesis in Arabidopsis, seeds of three loss-of-function abi4 mutant alleles (abi4-1, abi4-2, and abi4-101) and their corresponding wild-type (Col) were sown and grown on 1/2 MS solid medium supplemented with 2% sucrose for 4 days. Phenotypic analysis showed that the localization of accumulated anthocyanins in abi4 mutant seedlings was similar to that of the wild type. Anthocyanin pigmentation was primarily observed at the edges of cotyledons and more prominently in the upper part of hypocotyls (Figure 1A). Although disruption of ABI4 did not alter the spatial pattern of anthocyanin accumulation, the levels of anthocyanin were clearly elevated in the abi4 mutants, particularly at the cotyledon margins and the upper hypocotyl, compared to wild-type seedlings (Figure 1A). Quantitative analysis further confirmed that anthocyanin content was significantly higher in the abi4 mutants than in the wild type, consistent with visual observations (Figure 1B).
Figure 1.
Anthocyanin accumulation in wild-type, abi4-1, abi4-2, and abi4-101 mutants. (A) Representative phenotypes of wild-;-type (Col) and abi4 mutant seedlings (abi4-1, abi4-2, and abi4-101) grown on 1/2 MS medium for 4 days. Scale bar = 1 mm. (B) Anthocyanin content in wild-type (Col) and abi4 mutants (abi4-1, abi4-2, and abi4-101) grown on 1/2 MS medium for 4 days. One-way analysis of variance (ANOVA) with Duncan’s test was used to obtain significant variations. The different lowercase letters indicate significant differences among the samples at p < 0.05, n = 3.
2.2. Light Is Essential for ABI4 Function in Regulating Anthocyanin Biosynthesis
Light is a key environmental cue regulating anthocyanin accumulation in vascular plants. To determine whether ABI4’s role in regulating anthocyanin biosynthesis depends on light, we compared anthocyanin levels in wild-type and abi4 mutant seedlings grown under dark and light conditions. Under dark conditions, both wild-type and abi4 seedlings accumulated only minimal anthocyanin, with no significant differences observed among genotypes (Figure 2). However, under light conditions, anthocyanin accumulation was markedly increased in abi4 mutants compared to the wild type (Figure 2). These findings suggest that light has an important effect on anthocyanin accumulation in abi4 mutant seedlings.
Figure 2.
Anthocyanin levels in wild-type and abi4 mutant seedlings grown under dark and light conditions. (A) Representative phenotypes of wild-type (Col) and abi4 mutants (abi4-1, abi4-2, and abi4-101) grown under dark or light conditions for 4 days. Scale bar = 1 mm. (B) Anthocyanin content in wild-type (Col) and abi4 mutants grown under dark or light conditions for 4 days. One-way analysis of variance (ANOVA) with Duncan’s test was used to obtain significant variations. The different lowercase letters indicate significant differences among the samples at p < 0.05, n = 3.
2.3. ABI4 Requires the Presence of HY5 to Negatively Regulate Anthocyanin Biosynthesis
The above results indicated that loss of ABI4 function promotes anthocyanin accumulation in a light-dependent manner. HY5 (LONG HYPOCOTYL 5) is a core regulator of photomorphogenesis and acts as a light-responsive developmental switch. Previous studies have also shown that HY5 promotes anthocyanin biosynthesis by activating both structural genes and transcription factors involved in the pathway [13,14,15]. Based on this, we hypothesized that HY5 may be required for ABI4-mediated repression of anthocyanin biosynthesis. To test this, the double mutant abi4-101/hy5 was generated by crossing abi4-101 with hy5, and double homozygous lines were selected from the F2 generation. Anthocyanin levels were then measured in wild-type, single mutants (abi4-101 and hy5), and the abi4-101/hy5 double mutant. As expected, abi4-101 showed significantly higher anthocyanin levels compared to the wild type, while the hy5 mutant had much lower levels (Figure 3). However, the abi4-101/hy5 double mutant did not exhibit enhanced anthocyanin accumulation compared to the wild-type or the abi4-101 single mutant (Figure 3). These findings indicate that ABI4 requires HY5 to act as a negative regulator of anthocyanin biosynthesis.
Figure 3.
Anthocyanin accumulation in wild-type, single mutants of abi4-101 and hy5, and the abi4-101/hy5 double mutant. (A) Representative phenotypes of wild-type (Col), single mutants (abi4-101 and hy5), and the double mutant (abi4-101/hy5) grown on 1/2 MS medium for 4 days. Scale bar = 1 mm. (B) Anthocyanin content in wild-type (Col), single mutants (abi4-101 and hy5), and the double mutant (abi4-101/hy5) grown on 1/2 MS medium for 4 days. One-way analysis of variance (ANOVA) with Duncan’s test was used to obtain significant variations. The different lowercase letters indicate significant differences among the samples at p < 0.05, n = 3.
2.4. ABI4-Mediated Negative Regulation of Photosynthetic Development Requires Functional HY5
Given that light is essential for ABI4 function, we next examined whether loss of ABI4 affects seedling sensitivity to light during early development. Since light promotes chlorophyll biosynthesis and chloroplast development during de-etiolation, we compared responses to light in etiolated wild-type and abi4 mutant seedlings. As shown in Figure 4A, cotyledons of abi4 mutant seedlings appeared slightly greener than those of wild-type seedlings after light exposure. Quantitative analysis confirmed that chlorophyll content was significantly higher in abi4 mutants compared to the wild type during de-etiolation (Figure 4B). In addition, transmission electron microscopy (TEM) analysis revealed that chloroplasts in abi4-101 had larger size, more thylakoids, and larger starch granules compared to wild-type chloroplasts (Figure 4E).
Figure 4.
Photosynthetic development of wild-type, single mutants of abi4-101 and hy5, and the abi4-101/hy5 double mutant. (A) Representative phenotypes and (B) chlorophyll content of wild-type (Col) and abi4 mutants (abi4-1, abi4-2, and abi4-101) grown in darkness for 4 days followed by continuous light exposure for 12–48 h. (C) Representative phenotypes, (D) chlorophyll content, and (E) chloroplast ultrastructure of wild-type (Col), single mutants (abi4-101 and hy5), and the double mutant (abi4-101/hy5) grown for 4 days in darkness followed by continuous expose to light for 12–48 h. One-way analysis of variance (ANOVA) with Duncan’s test was used to obtain significant variations. The different lowercase letters indicate significant differences among the samples at p < 0.05, n = 3.
To determine whether HY5 is required for ABI4-mediated regulation of photosynthetic development, we analyzed chlorophyll content and chloroplast structure in wild-type, abi4-101, hy5, and abi4-101/hy5 seedlings. Following light exposure, abi4-101 seedlings showed dark-green cotyledons, while hy5 seedlings remained pale green. The abi4-101/hy5 double mutant had an intermediate phenotype, with greener cotyledons than hy5 but less green than abi4-101 (Figure 4C). Chlorophyll quantification showed that abi4-101 accumulated more chlorophyll than the wild type, while hy5 had less. The abi4-101/hy5 double mutant had chlorophyll levels lower than abi4-101 but higher than hy5 (Figure 4D). Ultrastructural analysis of chloroplasts confirmed that hy5 seedlings had smaller chloroplasts with fewer thylakoids and smaller starch granules. While abi4-101 had well-developed thylakoid structures, the abi4-101/hy5 double mutant showed less developed thylakoids and fewer grana stacks (Figure 4E). These results collectively indicate that ABI4 negatively regulates the light-induced development of the photosynthetic apparatus, and this function is at least partially dependent on HY5.
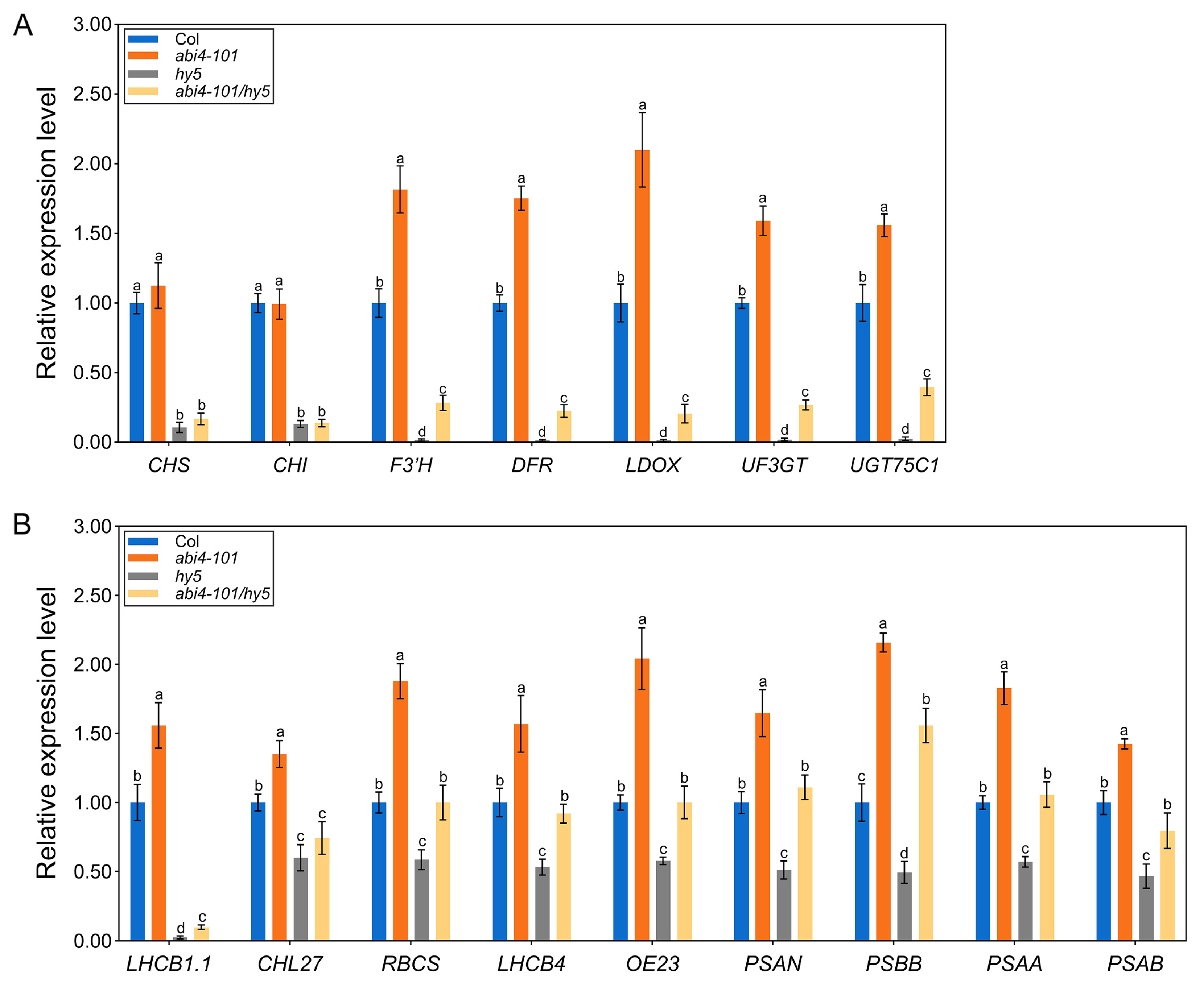
2.5. Disruption of ABI4 Alters the Expression of Genes Involved in Anthocyanin Biosynthesis and Photosynthesis
To explore the molecular basis for increased anthocyanin accumulation in abi4 mutants, we analyzed transcript levels of anthocyanin biosynthetic genes. These included early biosynthetic genes (EBGs: CHS, CHI, F3’H) and late biosynthetic genes (LBGs: DFR, LDOX, UF3GT, and UGT75C1). As shown in Figure 5A, the expression levels of F3′H, DFR, LDOX, UF3GT, and UGT75C1 were significantly upregulated in abi4-101 compared to the wild type. However, CHS and CHI levels remained unchanged. These results suggest that ABI4 mainly suppresses anthocyanin biosynthesis by repressing LBGs. In contrast, both EBGs and LBGs were significantly downregulated in the hy5 mutant, consistent with previous reports [13,14]. Furthermore, expression of all anthocyanin pathway genes was substantially lower in the abi4-101/hy5 double mutant than in the abi4-101 single mutant (Figure 5A).
Figure 5.
Expression levels of the key genes involved in anthocyanin biosynthesis and photosynthesis. (A) Transcript levels of anthocyanin biosynthetic structural genes in wild-type (Col), single mutants (abi4-101 and hy5), and the double mutant (abi4-101/hy5). (B) Transcript levels of photosynthesis-related genes in the wild-type (Col), single mutants (abi4-101 and hy5), and double mutant (abi4-101/hy5). One-way analysis of variance (ANOVA) with Duncan’s test was used to obtain significant variations. The different lowercase letters indicate significant differences among the samples at p < 0.05, n = 3.
We also examined the expression of photosynthesis-related genes, including the genes that encode light harvesting chlorophyll A/B-binding protein1.1 (LHCB1.1), CHLH subunit of Mg chelatase (CHL27), a member of the rubisco small subunit (RBCS), light harvesting chlorophyll A/B-binding protein4 (LHCB4), oxygen-evolving complex 23 (OE23), a subunit of photosystem I (PSAN), photosystem II reaction center protein B (PSBB), photosystem I reaction center protein PSAA (PSAA), and D1 subunit of the photosystem I reaction center (PSAB). These genes were all more highly expressed in abi4-101 than in the wild-type and less expressed in hy5 mutant (Figure 5B). In the abi4-101/hy5 double mutant, expression levels of these genes were significantly reduced compared to abi4-101, though most remained higher than in hy5 mutant. The exception was CHL27, whose expression was similar between abi4-101/hy5 and hy5 (Figure 5B). These findings suggest that ABI4 and HY5 have antagonistic roles in regulating photosynthesis-related gene expression in Arabidopsis seedlings.
3. Discussion
ABI4 is a member of the AP2/ERF transcription factor family, originally identified as a key component of the ABA signaling pathway [19,21]. Over the past few decades, accumulating evidence has revealed that ABI4 is a multifunctional regulatory factor involved in various biological processes [20]. However, its potential involvement in regulating anthocyanin biosynthesis is not fully understood. This study aimed to investigate the function of ABI4 in the biosynthesis of anthocyanins in Arabidopsis seedlings. Using three previously identified loss-of-function abi4 mutants [25,29,30], we found that mutations in the ABI4 gene led to significantly increased anthocyanin accumulation in seedlings (Figure 1). Further gene expression analysis revealed that disruption of ABI4 enhanced the expression of late biosynthetic genes (LBGs; DFR, LDOX, UF3GT, and UGT75C1), but not early biosynthetic genes (EBGs; CHS and CHI; Figure 5A). These findings suggest that the disruption of ABI4 enhanced anthocyanin accumulation in Arabidopsis seedlings primarily through the upregulation of expression of LBGs. Interestingly, a previous study reported that transgenic Arabidopsis lines overexpressing MtABI4 showed decreased anthocyanin levels and enhanced cold tolerance [31]. Taken together, these findings suggest that ABI4 has significant negative effects on anthocyanin biosynthesis in Arabidopsis seedlings.
ABI4 regulates numerous aspects of plant growth and development in an ABA-dependent manner [20]. For example, exogenous ABA inhibits seed germination in wild-type Arabidopsis, whereas abi4 mutants show enhanced germination, indicating that ABI4 mediates ABA-induced inhibition of seed germination [21]. Previous studies have also shown that ABA promotes anthocyanin accumulation in seedlings [32,33]. Considering that all three abi4 mutant alleles are ABA-insensitive, and that our results show enhanced anthocyanin accumulation in these mutants (Figure 1), it is plausible that ABI4 regulates anthocyanin biosynthesis in an ABA-independent manner. Despite this, further studies will be needed to verify this hypothesis.
Light is a critical environmental factor that regulates anthocyanin biosynthesis, chloroplast development, and chlorophyll production. When dark-grown seedlings are exposed to light, etioplasts differentiate into mature chloroplasts, accompanied by the accumulation of photosynthetic pigments such as chlorophylls and carotenoids [34]. Given that ABI4 loss-of-function promotes anthocyanin biosynthesis in a light-dependent manner (Figure 2), we hypothesized that mutations in ABI4 may alter the response of seedlings to light-induced photosynthetic development. Several lines of evidence support this hypothesis. First, abi4 mutants accumulated more chlorophyll than the wild type when etiolated seedlings were transferred to light (Figure 4A,B). Second, disruption of ABI4 enhanced chloroplast development and upregulated photosynthesis-related genes (Figure 4E and Figure 5B). Third, we found that ABI4-mediated negative regulation of photosynthetic development requires functional HY5 (Figure 3). Light is a key environmental signal controlling cotyledon greening and seedling de-etiolation [34]. Key regulators such as COP1 and HY5 are involved in this process. While HY5 promotes de-etiolation, COP1 targets HY5 for degradation via the 26S proteasome, inhibiting photomorphogenesis [10,35]. In our study, hy5 mutant accumulated chlorophyll more slowly than the wild type upon light exposure, whereas abi4-101 mutants de-etiolated faster (Figure 4C,D). Interestingly, the enhanced de-etiolation of abi4-101 could be partially suppressed by HY5 loss (Figure 4C,D), suggesting that ABI4 and HY5 antagonistically regulate light-induced photosynthetic development in Arabidopsis.
As light is a primary regulator of anthocyanin biosynthesis, we investigated the effects of ABI4 mutation under both dark and light conditions. No significant differences in anthocyanin levels were observed between wild-type and abi4 mutants in the dark. However, under light, abi4 mutants accumulated much more anthocyanin than their wild-type counterparts (Figure 2). This confirms that the altered anthocyanin biosynthesis in abi4 mutants is light-dependent. The transcription factor HY5 acts downstream of multiple photoreceptors and plays a pivotal role in promoting photomorphogenesis [9,12]. In addition to regulating photomorphogenesis, it also regulates anthocyanin biosynthesis, nitrogen uptake, and abiotic stress responses [14,36,37,38]. It has been reported that HY5 plays a vital role in the biosynthesis of anthocyanin in various organs of plants such as leaves, stems, flowers and fruits [14,39,40,41]. In Arabidopsis, HY5 promotes anthocyanin biosynthesis by directly activating the expression of both EBGs and LBGs, and by inducing transcription factors involved in the pathway [13,14]. Given HY5’s central role in light signaling, we hypothesized that it may be involved in ABI4-regulated anthocyanin biosynthesis. Supporting this, we found that HY5 is required for the enhanced anthocyanin accumulation in abi4-101 seedlings, as abi4-101/hy5 double mutants exhibited dramatically lower anthocyanin levels compared to abi4-101 single mutants (Figure 3). Furthermore, qRT-PCR analysis showed significantly reduced expression of anthocyanin biosynthetic structural genes in the double mutant (Figure 5A). These findings suggest that ABI4 regulates anthocyanin biosynthesis through HY5-mediated light signaling. Notably, the hy5 mutation did not completely restore anthocyanin levels in the abi4-101 background to those of hy5 single mutants, indicating that ABI4 and HY5 antagonistically regulate this pathway.
4. Materials and Methods
4.1. Plant Materials and Growth Conditions
The wild-type Arabidopsis thaliana ecotype Columbia (Col) was used. The abi4 mutant alleles (abi4-1: CS8104; abi4-2: SALK_080095; and abi4-101: CS3836) and hy5 (SALK_096651C), all derived from the Col background, were obtained from the Arabidopsis Biological Resource Center. The abi4-101/hy5 double mutant was generated by crossing abi4-101 with hy5. The seeds were surface-sterilized by treatment with 75% ethanol for 30 s, followed by 1% NaClO for 10 min, and rinsed several times with sterile water. After cold stratification for 3 days at 4 °C, the seeds were germinated on 1/2 MS solid medium supplemented with 2% sucrose and grown vertically at 22 ± 1 °C under long-day conditions (16 h light/8 h dark) with a light intensity of 100 µmol m−2 s−1. To assess light sensitivity, 3-day-old dark-grown abi4 mutants were transferred to light for 12, 24, or 48 h. Whole seedlings were then collected for chlorophyll analysis.
4.2. Anthocyanin Determination
Anthocyanin levels were measured using a previously described method [42]. Four-day-old seedlings were incubated overnight at 4 °C in 600 μL of 1% HCl in methanol. The extract was then mixed with an equal volume of chloroform, followed by the addition of 400 μL of water. After centrifugation at 12,000 rpm for 15 min at 25 °C, anthocyanin content was quantified using the absorbance difference (A530 − 0.25A657) and normalized to fresh weight. One unit of anthocyanin was defined as the absorbance value in 1 mL of extraction solution.
4.3. Chlorophyll Determination
Chlorophyll content was determined using a previously reported method with minor modifications [43]. Briefly, fresh plant tissue was homogenized in 80% acetone, and the supernatant was collected after centrifugation. Absorbance at 663 and 645 nm was measured using a 722N spectrophotometer (Shanghai Yoke Instrument Co., Ltd., Shanghai, China).
4.4. Analysis of Chloroplast Ultrastructure
Cotyledons of seedlings were prepared for transmission electron microscopy (TEM) by fixation in 2.5% glutaraldehyde, followed by post-fixation in 1% osmium tetroxide. Samples were dehydrated through a graded ethanol series (30%, 50%, 70%, and 90%) and embedded in resin. Ultrathin sections were cut using an ultramicrotome, mounted on copper grids, stained with uranyl acetate and lead citrate, and examined using a JEM-2100 TEM instrument (JEOL, Tokyo, Japan).
4.5. Gene Expression Analysis
Total RNA was extracted using TRI Reagent and treated with DNase I to eliminate genomic DNA. First-strand cDNA was synthesized using the GoScript™ Reverse Transcription System following the manufacturer’s instructions. Quantitative PCR (qPCR) was performed using a CFX96 Real-Time PCR System (Bio-Rad, Hercules, United States) with Hieff® qPCR SYBR® Green Master Mix (Yeasen, Shanghai, China). The thermal cycling conditions were as follows: initial denaturation at 95 °C for 2 min, followed by 40 cycles of 95 °C for 10 s and 60 °C for 30 s. Gene expression levels were calculated according to the method described in our previous study, with ACTIN2 used as the internal reference gene [44]. Primer sequences are listed in Table S1.
4.6. Identification of Mutants
The single-point mutants (abi4-1 and abi4-101) were identified by direct sequencing of genomic PCR products using gene-specific primers (Table S2). The T-DNA insertion mutants (abi4-2 and hy5) were identified by genomic PCR using specific primers (Figure S1). RT-PCR analysis was conducted with the gene-specific primers for ABI4 and HY5 (Figure S2). The β-ATP gene was used as an internal control. Sequences of primers used for PCR and RT-PCR are listed in Table S3.
4.7. Statistical Analysis
For each experiment, three independent biological replicates were conducted, and the mean ± standard deviation (SD) values were used to present the data. A one-way analysis of variance (ANOVA) was performed on the data using SPSS 25.0 (IBM, Armonk, United States) and by employing Duncan’s test at a significance level of p < 0.05. Significant differences are indicated by distinct lowercase letters.
5. Conclusions
In conclusion, this study reveals that, beyond its established roles in lateral root development, lipid metabolism, retrograde signaling, and stress response, ABI4 also plays a crucial role in regulating anthocyanin biosynthesis. Our findings demonstrate that ABI4 acts as a negative regulator of anthocyanin accumulation in a HY5-dependent manner. However, whether ABI4 directly binds to the promoters of anthocyanin biosynthetic genes remains to be determined. Future studies should aim to clarify the precise molecular mechanisms through which ABI4 regulates this process.
Supplementary Materials
The following supporting information can be downloaded at: https://www.mdpi.com/article/10.3390/plants14131905/s1, Figure S1: PCR-based identification of T-DNA insertion mutants; Figure S2: Expression analysis of ABI4 and HY5 in the T-DNA insertion mutants by RT-PCR; Table S1: Primers used for quantitative real-time PCR in this study; Table S2: Sequences of wild-type, abi4-1, and abi4-101 mutants; Table S3: Primers used for identifying mutants.
Author Contributions
Conceptualization, M.Z. and D.L.; methodology, M.Z. and Y.W.; software, M.Z., Y.W. and S.L.; validation, M.Z. and L.M.; formal analysis, M.Z., Y.W., F.Z. and H.J.; investigation, M.Z., Y.W., S.L. and L.M.; resources, Y.W. and D.L.; data curation, M.Z. and Y.W.; writing—original draft preparation, M.Z.; writing—review and editing, M.Z. and D.L.; visualization, M.Z., F.Z., H.J. and D.L.; supervision, F.Z., H.J. and D.L.; project administration, D.L.; funding acquisition, D.L. All authors have read and agreed to the published version of the manuscript.
Funding
This research was funded by National Natural Science Foundation of China (Grant number 31560077) and the Natural Science Foundation of Jiangxi Province (Grant number 20202BAB203023).
Data Availability Statement
The data supporting reported results can be found in the manuscript and Supplemental Materials.
Conflicts of Interest
The authors declare no conflict of interest.
References
- Chalker-Scott, L. Environmental significance of anthocyanins in plant stress responses. Photochem. Photobiol. 1999, 70, 1–9. [Google Scholar] [CrossRef]
- Grotewold, E. The genetics and biochemistry of floral pigments. Annu. Rev. Plant Biol. 2006, 57, 761–780. [Google Scholar] [CrossRef]
- Tanaka, Y.; Sasaki, N.; Ohmiya, A. Biosynthesis of plant pigments: Anthocyanins, betalains and carotenoids. Plant J. 2008, 54, 733–749. [Google Scholar] [CrossRef]
- Martens, S.; Preuß, A.; Matern, U. Multifunctional flavonoid dioxygenases: Flavonol and anthocyanin biosynthesis in Arabidopsis thaliana L. Phytochemistry 2010, 71, 1040–1049. [Google Scholar] [CrossRef]
- Chen, C.; Zhang, K.X.; Khurshid, M.; Li, J.B.; He, M.; Georgiev, M.I.; Zhang, X.Q.; Zhou, L.M. MYB transcription repressors regulate plant secondary metabolism. Crit. Rev. Plant Sci. 2019, 38, 159–170. [Google Scholar] [CrossRef]
- Steyn, W.J.; Wand, S.J.E.; Holcroft, D.M.; Jacobs, G. Anthocyanins in vegetative tissues: A proposed unified function in photoprotection. New Phytol. 2002, 155, 349–361. [Google Scholar] [CrossRef]
- Guo, J.C.; Hu, X.W.; Duan, R.J. Interactive effects of cytokinins, light, and sucrose on the phenotypes and the syntheses of anthocyanins and lignins in cytokinin overproducing transgenic Arabidopsis. J. Plant Growth Regul. 2005, 24, 93–101. [Google Scholar] [CrossRef]
- Jeong, S.W.; Das, P.K.; Jeoung, S.C.; Song, J.Y.; Lee, H.K.; Kim, Y.K.; Kim, W.J.; Park, Y.I.; Yoo, S.D.; Choi, S.B.; et al. Ethylene suppression of sugar-induced anthocyanin pigmentation in Arabidopsis. Plant Physiol. 2010, 154, 1514–1531. [Google Scholar] [CrossRef]
- Chen, M.; Chory, J.; Fankhauser, C. Light signal transduction in higher plants. Annu. Rev. Genet. 2004, 38, 87–117. [Google Scholar] [CrossRef] [PubMed]
- Ang, L.H.; Chattopadhyay, S.; Wei, N.; Oyama, T.; Okada, K.; Batschauer, A.; Deng, X.W. Molecular interaction between COP1 and HY5 defines a regulatory switch for light control of Arabidopsis development. Mol. Cell 1998, 1, 213–222. [Google Scholar] [CrossRef] [PubMed]
- Hardtke, C.S.; Gohda, K.; Osterlund, M.T.; Oyama, T.; Okada, K.; Deng, X.W. HY5 stability and activity in Arabidopsis is regulated by phosphorylation in its COP1 binding domain. EMBO J. 2000, 19, 4997–5006. [Google Scholar] [CrossRef] [PubMed]
- Oyama, T.; Shimura, Y.; Okada, K. The Arabidopsis HY5 gene encodes a bZIP protein that regulates stimulus-induced development of root and hypocotyl. Genes Dev. 1997, 11, 2983–2995. [Google Scholar] [CrossRef]
- Shin, J.; Park, E.; Choi, G. PIF3 regulates anthocyanin biosynthesis in an HY5-dependent manner with both factors directly binding anthocyanin biosynthetic gene promoters in Arabidopsis. Plant J. 2007, 49, 981–994. [Google Scholar] [CrossRef] [PubMed]
- Shin, D.H.; Choi, M.G.; Kim, K.; Bang, G.; Cho, M.; Choi, S.B.; Choi, G.; Park, Y.I. HY5 regulates anthocyanin biosynthesis by inducing the transcriptional activation of the MYB75/PAP1 transcription factor in Arabidopsis. FEBS Lett. 2013, 587, 1543–1547. [Google Scholar] [CrossRef]
- Nguyen, N.H.; Jeong, C.Y.; Kang, G.H.; Yoo, S.D.; Hong, S.W.; Lee, H. MYBD employed by HY5 increases anthocyanin accumulation via repression of MYBL2 in Arabidopsis. Plant J. 2015, 84, 1192–1205. [Google Scholar] [CrossRef]
- Wang, Y.L.; Wang, Y.Q.; Song, Z.Q.; Zhang, H.Y. Repression of MYBL2 by both microRNA858a and HY5 leads to the activation of anthocyanin biosynthetic pathway in Arabidopsis. Mol. Plant 2016, 9, 1395–1405. [Google Scholar] [CrossRef] [PubMed]
- Verslues, P.E.; Zhu, J.K. New developments in abscisic acid perception and metabolism. Curr. Opin. Plant Biol. 2007, 10, 447–452. [Google Scholar] [CrossRef]
- Cutler, S.R.; Rodriguez, P.L.; Finkelstein, R.R.; Abrams, S.R. Abscisic acid: Emergence of a core signaling network. Annu. Rev. Plant Biol. 2010, 61, 651–679. [Google Scholar] [CrossRef]
- Finkelstein, R.R.; Wang, L.M.; Lynch, T.J.; Rao, S.; Goodman, H.M. The Arabidopsis abscisic acid response locus ABI4 encodes an APETALA 2 domain protein. Plant Cell 1998, 10, 1043–1054. [Google Scholar] [CrossRef]
- Wind, J.J.; Peviani, A.; Snel, B.; Hanson, J.; Smeekens, S.C. ABI4: Versatile activator and repressor. Trends Plant Sci. 2013, 18, 125–132. [Google Scholar] [CrossRef]
- Finkelstein, R.R. Mutations at two new Arabidopsis ABA response loci are similar to the abi3 mutations. Plant J. 1994, 5, 765–771. [Google Scholar] [CrossRef]
- Deinlein, U.; Stephan, A.B.; Horie, T.; Luo, W.; Xu, G.; Schroeder, J.I. Plant salt-tolerance mechanisms. Trends Plant Sci. 2014, 19, 371–379. [Google Scholar] [CrossRef]
- Yi, J.; Zhao, D.M.; Chu, J.F.; Yan, J.J.; Liu, J.S.; Wu, M.J.; Cheng, J.F.; Jiang, H.Y.; Zeng, Y.J.; Liu, D. AtDPG1 is involved in the salt stress response of Arabidopsis seedling through ABI4. Plant Sci. 2019, 287, 110–180. [Google Scholar] [CrossRef]
- Kakan, X.; Yu, Y.W.; Li, S.H.; Li, X.Y.; Huang, R.F.; Wang, J. Ascorbic acid modulation by ABI4 transcriptional repression of VTC2 in the salt tolerance of Arabidopsis. BMC Plant Biol. 2021, 21, 112. [Google Scholar] [CrossRef] [PubMed]
- Daszkowska-Golec, A.; Wojnar, W.; Rosikiewicz, M.; Szarejko, I.; Maluszynski, M.; Szweykowska-Kulinska, Z.; Jarmolowski, A. Arabidopsis suppressor mutant of abh1 shows a new face of the already known players: ABH1 (CBP80) and ABI4—In response to ABA and abiotic stresses during seed germination. Plant Mol. Biol. 2013, 81, 189–209. [Google Scholar] [CrossRef] [PubMed]
- Baek, D.; Shin, G.; Kim, M.C.; Shen, M.; Lee, S.Y.; Yun, D.J. Histone deacetylase HDA9 with ABI4 contributes to abscisic acid homeostasis in drought stress response. Front. Plant Sci. 2020, 11, 143. [Google Scholar] [CrossRef]
- Dabravolski, S.A.; Isayenkov, S.V. The role of anthocyanins in plant tolerance to drought and salt stresses. Plants 2023, 12, 2558. [Google Scholar] [CrossRef]
- Li, Z.; Ahammed, G.J. Plant stress response and adaptation via anthocyanins: A review. Plant Stress 2023, 10, 100230. [Google Scholar] [CrossRef]
- Kakizaki, T.; Matsumura, H.; Nakayama, K.; Che, F.S.; Terauchi, R.; Inaba, T. Coordination of plastid protein import and nuclear gene expression by plastid-to-nucleus retrograde signaling. Plant Physiol. 2009, 151, 1339–1353. [Google Scholar] [CrossRef]
- Laby, R.J.; Kincaid, M.S.; Kim, D.; Gibson, S.I. The Arabidopsis sugar-insensitive mutants sis4 and sis5 are defective in abscisic acid synthesis and response. Plant J. 2000, 23, 587–596. [Google Scholar] [CrossRef]
- Li, Y.; Wang, M.; Guo, T.; Li, S.; Teng, K.; Dong, D.; Liu, Z.; Jia, C.; Chao, Y.; Han, L. Overexpression of abscisic acid-insensitive gene ABI4 from Medicago truncatula, which could interact with ABA2, improved plant cold tolerance mediated by ABA signaling. Front. Plant Sci. 2022, 13, 982715. [Google Scholar] [CrossRef] [PubMed]
- Loreti, E.; Povero, G.; Novi, G.; Solfanelli, C.; Alpi, A.; Perata, P. Gibberellins, jasmonate and abscisic acid modulate the sucrose-induced expression of anthocyanin biosynthetic genes in Arabidopsis. New Phytol. 2008, 179, 1004–1016. [Google Scholar] [CrossRef]
- Chen, J.J.; Mei, S.; Hu, Y.R. Abscisic acid induces anthocyanin synthesis in Arabidopsis thaliana seedlings. Guihaia 2020, 40, 1169–1180. [Google Scholar]
- Waters, M.T.; Langdale, J.A. The making of a chloroplast. EMBO J. 2009, 28, 2861–2873. [Google Scholar] [CrossRef] [PubMed]
- Osterlund, M.T.; Hardtke, C.S.; Wei, N.; Deng, X.W. Targeted destabilization of HY5 during light-regulated development of Arabidopsis. Nature 2000, 405, 462–466. [Google Scholar] [CrossRef]
- Casal, J.J. Photoreceptor signaling networks in plant responses to shade. Annu. Rev. Plant Biol. 2013, 64, 403–427. [Google Scholar] [CrossRef]
- Chen, X.B.; Yao, Q.F.; Gao, X.H.; Jiang, C.F.; Harberd, N.P.; Fu, X.D. Shoot-to-root mobile transcription factor HY5 coordinates plant carbon and nitrogen acquisition. Curr. Biol. 2016, 26, 640–646. [Google Scholar] [CrossRef]
- Gangappa, S.N.; Botto, J.F. The multifaceted roles of HY5 in plant growth and development. Mol. Plant 2016, 9, 1353–1365. [Google Scholar] [CrossRef]
- Jiang, M.M.; Ren, L.; Lian, H.L.; Liu, Y.; Chen, H.Y. Novel insight into themechanism underlying light-controlled anthocyanin accumulation in eggplant (Solanum melongena L.). Plant Sci. 2016, 249, 46–58. [Google Scholar] [CrossRef]
- Liu, C.C.; Chi, C.; Jin, L.J.; Zhu, J.H.; Yu, J.Q.; Zhou, Y.H. The bZip transcription factor HY5 mediates CRY1a-induced anthocyanin biosynthesis in tomato. Plant Cell Environ. 2018, 41, 1762–1775. [Google Scholar] [CrossRef]
- Xing, Y.F.; Sun, W.J.; Sun, Y.Y.; Li, J.L.; Zhang, J.; Wu, T.; Song, T.T.; Yao, Y.C.; Tian, J. MPK6-mediated HY5 phosphorylation regulates light-induced anthocyanin accumulation in apple fruit. Plant Biotechnol. J. 2023, 21, 283–301. [Google Scholar] [CrossRef] [PubMed]
- Chory, J.; Peto, C.; Feinbaum, R.; Pratt, L.; Ausubel, F. Arabidopsis thaliana mutant that develops as a light-grown plant in the absence of light. Cell 1989, 58, 991–999. [Google Scholar] [CrossRef] [PubMed]
- Lichtenthaler, H.K.; Wellburn, A.R. Determination of total carotenoids and chlorophylls a and b of leaf extracts in different solvents. Biochem. Soc. Trans. 1983, 11, 591–592. [Google Scholar] [CrossRef]
- Zhao, D.; Zheng, Y.; Yang, L.; Yao, Z.; Cheng, J.; Zhang, F.; Jiang, H.; Liu, D. The transcription factor AtGLK1 acts upstream of MYBL2 to genetically regulate sucrose-induced anthocyanin biosynthesis in Arabidopsis. BMC Plant Biol. 2021, 21, 242. [Google Scholar] [CrossRef]
Disclaimer/Publisher’s Note: The statements, opinions and data contained in all publications are solely those of the individual author(s) and contributor(s) and not of MDPI and/or the editor(s). MDPI and/or the editor(s) disclaim responsibility for any injury to people or property resulting from any ideas, methods, instructions or products referred to in the content. |
© 2025 by the authors. Licensee MDPI, Basel, Switzerland. This article is an open access article distributed under the terms and conditions of the Creative Commons Attribution (CC BY) license (https://creativecommons.org/licenses/by/4.0/).




