Characterization and Role of AP2/EREBP Genes with Decreasing Expression During Leaf Development in 84K Poplar
Abstract
1. Introduction
2. Results
2.1. Transcriptomic Analysis and Gene Screening
2.2. Phylogenetic Analysis of AP2/EREBP Proteins in 84K Poplar
2.3. Conserved Domain and Motif and Gene Structure Analysis of AP2/EREBP in Poplar
2.4. Distribution of AP2/EREBP Genes on Chromosomes in 84K Poplar
2.5. Analysis of Cis-Acting Elements in AP2/EREBP Promoter Regions
2.6. Collinearity and Duplication Analysis of AP2/EREBP Genes
2.7. Analysis of the Expression Levels of 76 AP2/EREBP Genes
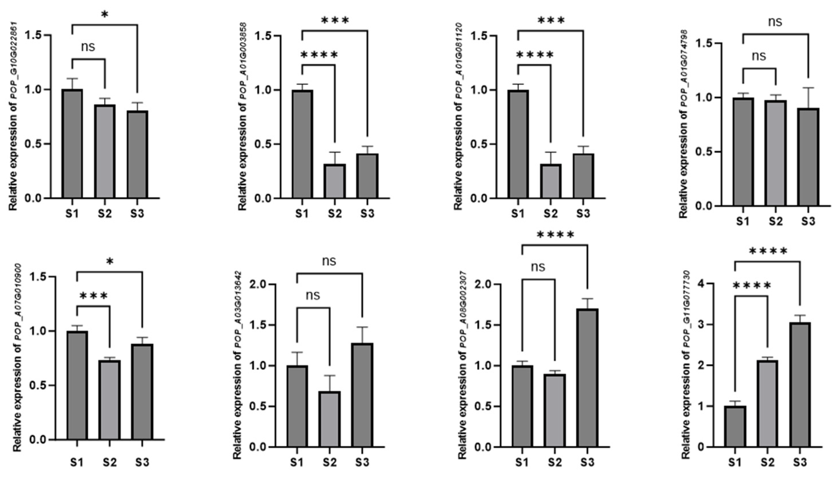
2.8. Validation of Expression Levels for Eight AP2/EREBP Genes in 84K Poplar
2.9. Subcellular Localization of Two AP2/EREBP Proteins in Tobacco
3. Discussion
4. Materials and Methods
4.1. Plant Materials and Transcriptome Analysis
4.2. Evolutionary Tree Analysis of AP2/EREBP Proteins
4.3. Prediction of AP2/EREBP Conserved Motifs
4.4. AP2/EREBP Gene Structure Analysis
4.5. AP2/EREBP Structural Domain Analysis
4.6. Chromosomal Localization of AP2/EREBP
4.7. Gene Duplication and Syntenic Analysis
4.8. Vector Construction and Transient Expression in Tobacco
4.9. RNA Extraction and Real-Time Quantitative PCR (qPCR)
5. Conclusions
Supplementary Materials
Author Contributions
Funding
Data Availability Statement
Acknowledgments
Conflicts of Interest
References
- Imran, Q.M.; Falak, N.; Hussain, A.; Mun, B.-G.; Yun, B.-W. Abiotic stress in plants; stress perception to molecular response and role of biotechnological tools in stress resistance. Agronomy 2021, 11, 1579. [Google Scholar] [CrossRef]
- Zheng, K.; Lv, M.; Qian, J.; Lian, Y.; Liu, R.; Huo, S.; Rehman, O.U.; Lin, Q.; Zhou, Z.; Liu, X.; et al. Identification and characterization of the DOF gene family in phoebe bournei and its role in abiotic stress—Drought, heat and light stress. Int. J. Mol. Sci. 2024, 25, 11147. [Google Scholar] [CrossRef] [PubMed]
- Jiao, Y.; Lau, O.S.; Deng, X.W. Light-regulated transcriptional networks in higher plants. Nat. Rev. Genet. 2007, 8, 217–230. [Google Scholar] [CrossRef] [PubMed]
- Cheng, C.; An, L.; Li, F.; Ahmad, W.; Aslam, M.; Haq, M.Z.U.; Yan, Y.; Ahmad, R.M. Wide-Range portrayal of AP2/ERF transcription factor family in Maize (Zea mays L.) development and stress responses. Genes 2023, 14, 194. [Google Scholar] [CrossRef] [PubMed]
- Riechmann, J.L.; Heard, J.; Martin, G.; Reuber, L.; Jiang, C.-Z.; Keddie, J.; Adam, L.; Pineda, O.; Ratcliffe, O.J.; Samaha, R.R.; et al. Arabidopsis transcription factors: Genome-wide comparative analysis among eukaryotes. Science 2000, 290, 2105–2110. [Google Scholar] [CrossRef]
- Feng, K.; Hou, X.-L.; Xing, G.-M.; Liu, J.-X.; Duan, A.-Q.; Xu, Z.-S.; Li, M.-Y.; Zhuang, J.; Xiong, A.-S. Advances in AP2/ERF super-family transcription factors in plant. Crit. Rev. Biotechnol. 2020, 40, 750–776. [Google Scholar] [CrossRef]
- Xie, W.; Ding, C.; Hu, H.; Dong, G.; Zhang, G.; Qian, Q.; Ren, D. Molecular events of rice AP2/ERF transcription factors. Int. J. Mol. Sci. 2022, 23, 12013. [Google Scholar] [CrossRef]
- Okamuro, J.K.; Caster, B.; Villarroel, R.; Van Montagu, M.; Jofuku, K.D. The AP2 domain of APETALA2 defines a large new family of DNA binding proteins in Arabidopsis. Proc. Natl. Acad. Sci. 1997, 94, 7076–7081. [Google Scholar] [CrossRef]
- Riechmann, J.L.; Meyerowitz, E.M. The AP2/EREBP Family of Plant Transcription Factors. Biol. Chem. 1998, 379, 633–654. [Google Scholar] [CrossRef]
- Ma, Z.; Hu, L.; Jiang, W. Understanding AP2/ERF transcription factor responses and tolerance to various abiotic stresses in plants: A comprehensive review. Int. J. Mol. Sci. 2024, 25, 893. [Google Scholar] [CrossRef]
- Licausi, F.; Ohme-Takagi, M.; Perata, P. APETALA2/Ethylene responsive factor (AP2/ERF) transcription factors: Mediators of stress responses and developmental programs. New Phytol. 2013, 199, 639–649. [Google Scholar] [CrossRef]
- Liu, C.; Zhang, T. Expansion and stress responses of the AP2/EREBP superfamily in cotton. BMC Genom. 2017, 18, 118. [Google Scholar] [CrossRef] [PubMed]
- Li, B.; Li, Q.; Mao, X.; Li, A.; Wang, J.; Chang, X.; Hao, C.; Zhang, X.; Jing, R. Two novel AP2/EREBP transcription factor genes TaPARG have pleiotropic functions on plant architecture and yield-related traits in common wheat. Front. Plant Sci. 2016, 7, 1191. [Google Scholar] [CrossRef] [PubMed]
- Maghraby, A.; Alzalaty, M. Genome-wide identification and evolutionary analysis of the AP2/EREBP, COX and LTP genes in Zea mays L. under drought stress. Sci. Rep. 2024, 14, 7610. [Google Scholar] [CrossRef] [PubMed]
- Ma, Z.; Wu, T.; Huang, K.; Jin, Y.-M.; Li, Z.; Chen, M.; Yun, S.; Zhang, H.; Yang, X.; Chen, H.; et al. A novel AP2/ERF transcription factor, OsRPH1, negatively regulates plant height in rice. Front. Plant Sci. 2020, 11, 709. [Google Scholar] [CrossRef]
- Chen, L.; Han, J.; Deng, X.; Tan, S.; Li, L.; Li, L.; Zhou, J.; Peng, H.; Yang, G.; He, G.; et al. Expansion and stress responses of AP2/EREBP superfamily in Brachypodium Distachyon. Sci. Rep. 2016, 6, 21623. [Google Scholar] [CrossRef]
- Nakano, T.; Suzuki, K.; Fujimura, T.; Shinshi, H. Genome-Wide analysis of the ERF gene family in Arabidopsis and rice. Plant Physiol. 2006, 140, 411–432. [Google Scholar] [CrossRef]
- Licausi, F.; Giorgi, F.M.; Zenoni, S.; Osti, F.; Pezzotti, M.; Perata, P. Genomic and transcriptomic analysis of the AP2/ERF superfamily in Vitis vinifera. BMC Genom. 2010, 11, 719. [Google Scholar] [CrossRef]
- Rashotte, A.M.; Mason, M.G.; Hutchison, C.E.; Ferreira, F.J.; Schaller, G.E.; Kieber, J.J. A subset of Arabidopsis AP2 transcription factors mediates cytokinin responses in concert with a two-component pathway. Proc. Natl. Acad. Sci. 2006, 103, 11081–11085. [Google Scholar] [CrossRef]
- Kitomi, Y.; Ito, H.; Hobo, T.; Aya, K.; Kitano, H.; Inukai, Y. The auxin responsive AP2/ERF transcription factor CROWN ROOTLESS5 is involved in crown root initiation in rice through the induction of OsRR1, a type-A response regulator of cytokinin signaling. Plant J. 2011, 67, 472–484. [Google Scholar] [CrossRef]
- Gu, C.; Guo, Z.-H.; Hao, P.-P.; Wang, G.-M.; Jin, Z.-M.; Zhang, S.-L. Multiple regulatory roles of AP2/ERF transcription factor in angiosperm. Bot. Stud. 2017, 58, 6. [Google Scholar] [CrossRef]
- Qi, W.; Sun, F.; Wang, Q.; Chen, M.; Huang, Y.; Feng, Y.-Q.; Luo, X.; Yang, J. Rice ethylene-response AP2/ERF factor OsEATB restricts internode elongation by down-regulating a gibberellin biosynthetic gene. Plant Physiol. 2011, 157, 216–228. [Google Scholar] [CrossRef] [PubMed]
- Krizek, B. AINTEGUMENTA and AINTEGUMENTA-LIKE6 act redundantly to regulate Arabidopsis floral growth and patterning. Plant Physiol. 2009, 150, 1916–1929. [Google Scholar] [CrossRef] [PubMed]
- Zeng, L.; Yin, Y.; You, C.; Pan, Q.; Xu, D.; Jin, T.; Zhang, B.; Ma, H. Evolution and protein interactions of AP2 proteins in brassicaceae: Evidence linking development and environmental responses. J. Integr. Plant Biol. 2015, 58, 549–563. [Google Scholar] [CrossRef] [PubMed]
- Fu, M.; Kang, H.K.; Son, S.-H.; Kim, S.-K.; Nam, K.H. A subset of Arabidopsis RAV transcription factors modulates drought and salt stress responses independent of ABA. Plant Cell Physiol. 2014, 55, 1892–1904. [Google Scholar] [CrossRef]
- Song, X.; Li, Y.; Hou, X. Genome-wide analysis of the AP2/ERF transcription factor superfamily in Chinese cabbage (Brassica rapa ssp. pekinensis). BMC Genom. 2013, 14, 573. [Google Scholar] [CrossRef]
- Aida, M.; Beis, D.; Heidstra, R.; Willemsen, V.; Blilou, I.; Galinha, C.; Nussaume, L.; Noh, Y.-S.; Amasino, R.; Scheres, B. The PLETHORA genes mediate patterning of the Arabidopsis root stem cell niche. Cell 2004, 119, 109–120. [Google Scholar] [CrossRef]
- Hirota, A.; Kato, T.; Fukaki, H.; Aida, M.; Tasaka, M. The auxin-regulaed AP2/EREBP gene PUCHIIs required for morphogenesis in the early lateral root primordium of Arabidopsis. Plant Cell 2007, 19, 2156–2168. [Google Scholar] [CrossRef]
- Yu, Y.; Yu, M.; Zhang, S.; Song, T.; Zhang, M.; Zhou, H.; Wang, Y.; Xiang, J.; Zhang, X. Transcriptomic identification of wheat AP2/ERF transcription factors and functional characterization of TaERF-6-3A in response to drought and salinity stresses. Int. J. Mol. Sci. 2022, 23, 3272. [Google Scholar] [CrossRef]
- Zhou, Y.; Chen, M.; Guo, J.; Wang, Y.; Min, D.; Jiang, Q.; Ji, H.; Huang, C.; Wei, W.; Xu, H.; et al. Overexpression of soybean DREB1 enhances drought stress tolerance of transgenic wheat in the field. J. Exp. Bot. 2020, 71, 1842–1857. [Google Scholar] [CrossRef]
- Zhang, L.; Chen, L.; Pang, S.; Zheng, Q.; Quan, S.; Liu, Y.; Xu, T.; Liu, Y.; Qi, M. Function analysis of the ERF and DREB subfamilies in tomato fruit development and ripening. Front. Plant Sci. 2022, 13, 849048. [Google Scholar] [CrossRef]
- Li, C.-W.; Su, R.-C.; Cheng, C.-P.; Sanjaya; You, S.-J.; Hsieh, T.-H.; Chao, T.-C.; Chan, M.-T. Tomato RAV transcription factor is a pivotal modulator involved in the AP2/EREBP-mediated defense pathway. Plant Physiol. 2011, 156, 213–227. [Google Scholar] [CrossRef] [PubMed]
- Kong, L.; Song, Q.; Wei, H.; Wang, Y.; Lin, M.; Sun, K.; Zhang, Y.; Yang, J.; Li, C.; Luo, K. The AP2/ERF transcription factor PtoERF15 confers drought tolerance via JA-mediated signaling in populus. New Phytol. 2023, 240, 1848–1867. [Google Scholar] [CrossRef] [PubMed]
- Meng, S.; Cao, Y.; Li, H.; Bian, Z.; Wang, D.; Lian, C.; Yin, W.; Xia, X. PeSHN1 regulates water-use efficiency and drought tolerance by modulating wax biosynthesis in poplar. Tree Physiol. 2019, 39, 1371–1386. [Google Scholar] [CrossRef] [PubMed]
- Zhang, X.; Cheng, Z.; Yao, W.; Gao, Y.; Fan, G.; Guo, Q.; Zhou, B.; Jiang, T. Overexpression of PagERF072 from poplar improves salt tolerance. Int. J. Mol. Sci. 2022, 23, 10707. [Google Scholar] [CrossRef]
- Wang, S.; Huang, J.; Wang, X.; Fan, Y.; Liu, Q.; Han, Y. PagERF16 of populus promotes lateral root proliferation and sensitizes to salt stress. Front. Plant Sci. 2021, 12, 669143. [Google Scholar] [CrossRef]
- Zou, S.; Xu, Z.; Huan, X.; Hu, J.; Zhou, L.; Jin, X.; Zhao, K.; Han, Y.; Wang, S. Transcription factor ERF016 regulates vascular structure and water metabolism to enhance drought tolerance in poplar. Plant Growth Regul. 2023, 100, 619–632. [Google Scholar] [CrossRef]
- Zhao, X.W.; Wang, Q.; Wang, D.; Guo, W.; Hu, M.X.; Liu, Y.L.; Zhou, G.K.; Chai, G.H.; Zhao, S.T.; Lu, M.Z. PagERF81 regulates lignin biosynthesis and xylem cell differentiation in poplar. J. Integr. Plant Biol. 2023, 65, 1134–1146. [Google Scholar] [CrossRef]
- Jing, Y.; Ren, Y.; Zhang, S.; Kang, X. Single-Cell transcriptome atlas of leaves at different developmental stages in Populus alba × Populus glandulosa Clone 84K. Forests 2024, 15, 512. [Google Scholar] [CrossRef]
- Tamura, K.; Stecher, G.; Kumar, S.; Battistuzzi, F.U. MEGA11: Molecular evolutionary genetics analysis version 11. Mol. Biol. Evol. 2021, 38, 3022–3027. [Google Scholar] [CrossRef]
- Shi, T.-L.; Jia, K.-H.; Bao, Y.-T.; Nie, S.; Tian, X.-C.; Yan, X.-M.; Chen, Z.-Y.; Li, Z.-C.; Zhao, S.-W.; Ma, H.-Y.; et al. High-quality genome assembly enables prediction of allele-specific gene expression in hybrid poplar. Plant Physiol. 2024, 195, 652–670. [Google Scholar] [CrossRef]
- Huang, X.; Chen, S.; Peng, X.; Bae, E.-K.; Dai, X.; Liu, G.; Qu, G.; Ko, J.-H.; Lee, H.; Chen, S.; et al. An improved draft genome sequence of hybrid Populus alba × Populus glandulosa. J. For. Res. 2020, 32, 1663–1672. [Google Scholar] [CrossRef]
- Liu, Q.; Kasuga, M.; Sakuma, Y.; Abe, H.; Miura, S.; Yamaguchi-Shinozaki, K.; Shinozaki, K. Two transcription factors, DREB1 and DREB2, with an EREBP/AP2 DNA binding domain separate two cellular signal transduction pathways in drought- and low-temperature-responsive gene expression, respectively, in Arabidopsis. Plant Cell 1998, 10, 1391–1406. [Google Scholar] [CrossRef]
- Chen, N.; Qin, J.; Tong, S.; Wang, W.; Jiang, Y. One AP2/ERF transcription factor positively regulates pi uptake and drought tolerance in poplar. Int. J. Mol. Sci. 2022, 23, 5241. [Google Scholar] [CrossRef] [PubMed]
- Liu, J.; Zhong, H.; Cao, C.; Wang, Y.; Zhang, Q.; Wen, Q.; Zhu, H.; Li, Z. Identification of AP2/ERF transcription factors and characterization of AP2/ERF genes related to low-temperature stress response and fruit development in Luffa. Agronomy 2024, 14, 2509. [Google Scholar] [CrossRef]
- Mizoi, J.; Shinozaki, K.; Yamaguchi-Shinozaki, K. AP2/ERF family transcription factors in plant abiotic stress responses. Biochim. Et Biophys. Acta (BBA) Gene Regul. Mech. 2012, 1819, 86–96. [Google Scholar] [CrossRef] [PubMed]
- Wu, Y.; Li, X.; Zhang, J.; Zhao, H.; Tan, S.; Xu, W.; Pan, J.; Yang, F.; Pi, E. ERF subfamily transcription factors and their function in plant responses to abiotic stresses. Front. Plant Sci. 2022, 13, 1042084. [Google Scholar] [CrossRef]
- Rashid, M.; Guangyuan, H.; Guangxiao, Y.; Hussain, J.; Xu, Y. AP2/ERF transcription factor in rice: Genome-wide canvas and syntenic relationships between monocots and eudicots. Evol. Bioinform. 2012, 8, 321–355. [Google Scholar] [CrossRef]
- Zhuang, J.; Cai, B.; Peng, R.-H.; Zhu, B.; Jin, X.-F.; Xue, Y.; Gao, F.; Fu, X.-Y.; Tian, Y.-S.; Zhao, W.; et al. Genome-wide analysis of the AP2/ERF gene family in Populus trichocarpa. Biochem. Biophys. Res. Commun. 2008, 371, 468–474. [Google Scholar] [CrossRef]
- Zhuang, J.; Chen, J.-M.; Yao, Q.-H.; Xiong, F.; Sun, C.-C.; Zhou, X.-R.; Zhang, J.; Xiong, A.-S. Discovery and expression profile analysis of AP2/ERF family genes from Triticum aestivum. Mol. Biol. Rep. 2011, 38, 745–753. [Google Scholar] [CrossRef]
- Zhang, G.; Chen, M.; Chen, X.; Xu, Z.; Guan, S.; Li, L.-C.; Li, A.; Guo, J.; Mao, L.; Ma, Y. Phylogeny, gene structures, and expression patterns of the ERF gene family in soybean (Glycine max L.). J. Exp. Bot. 2008, 59, 4095–4107. [Google Scholar] [CrossRef]
- Sharoni, A.M.; Nuruzzaman, M.; Satoh, K.; Shimizu, T.; Kondoh, H.; Sasaya, T.; Choi, I.-R.; Omura, T.; Kikuchi, S. Gene Structures, classification and expression models of the AP2/EREBP transcription factor family in rice. Plant Cell Physiol. 2010, 52, 344–360. [Google Scholar] [CrossRef] [PubMed]
- Xie, Z.; Yang, C.; Liu, S.; Li, M.; Gu, L.; Peng, X.; Zhang, Z. Identification of AP2/ERF transcription factors in Tetrastigma hemsleyanum revealed the specific roles of ERF46 under cold stress. Front. Plant Sci. 2022, 13, 936602. [Google Scholar] [CrossRef] [PubMed]
- Xue, G.P.; Loveridge, C.W. HvDRF1 is involved in abscisic acid-mediated gene regulation in barley and produces two forms of AP2 transcriptional activators, interacting preferably with a CT-rich element. Plant J. 2004, 37, 326–339. [Google Scholar] [CrossRef] [PubMed]
- Ge, H.; Xu, J.; Hua, M.; An, W.; Wu, J.; Wang, B.; Li, P.; Fang, H. Genome-wide identification and analysis of ACP gene family in Sorghum bicolor (L.) Moench. BMC Genom. 2022, 23, 538. [Google Scholar] [CrossRef]
- Park, S.G.; Hannenhalli, S.; Choi, S.S. Conservation in first introns is positively associated with the number of exons within genes and the presence of regulatory epigenetic signals. BMC Genom. 2014, 15, 526. [Google Scholar] [CrossRef]
- Anderson, J.S.J.; Parker, R. Computational identification of cis-acting elements affecting post-transcriptional control of gene expression in Saccharomyces cerevisiae. Nucleic Acids Res. 2000, 28, 1604–1617. [Google Scholar] [CrossRef]
- Xie, Z.; Nolan, T.M.; Jiang, H.; Yin, Y. AP2/ERF transcription factor regulatory networks in hormone and abiotic stress responses in Arabidopsis. Front. Plant Sci. 2019, 10, 228. [Google Scholar] [CrossRef]
- Fan, X.-X.; Xu, Z.-G.; Liu, X.-Y.; Tang, C.-M.; Wang, L.-W.; Han, X.-l. Effects of light intensity on the growth and leaf development of young tomato plants grown under a combination of red and blue light. Sci. Hortic. 2013, 153, 50–55. [Google Scholar] [CrossRef]
- Munekage, Y.N.; Inoue, S.; Yoneda, Y.; Yokota, A. Distinct palisade tissue development processes promoted by leaf autonomous signalling and long-distance signalling in Arabidopsis thaliana. Plant Cell Environ. 2014, 38, 1116–1126. [Google Scholar] [CrossRef]
- Xiong, Y.; Jiao, Y. The diverse roles of auxin in regulating leaf development. Plants 2019, 8, 243. [Google Scholar] [CrossRef] [PubMed]
- Vogel, M.O.; Moore, M.; König, K.; Pecher, P.; Alsharafa, K.; Lee, J.; Dietz, K.-J. Fast retrograde signaling in response to high light involves metabolite export, MITOGEN-ACTIVATED PROTEIN KINASE6, and AP2/ERF transcription factors in Arabidopsis. Plant Cell 2014, 26, 1151–1165. [Google Scholar] [CrossRef] [PubMed]
- Kim, N.Y.; Jang, Y.J.; Park, O.K. AP2/ERF family transcription factors ORA59 and RAP2.3 interact in the nucleus and function together in ethylene responses. Front. Plant Sci. 2018, 9, 1675. [Google Scholar] [CrossRef] [PubMed]
- Letunic, I.; Bork, P. Interactive tree of life (iTOL) v6: Recent updates to the phylogenetic tree display and annotation tool. Nucleic Acids Res. 2024, 52, W78–W82. [Google Scholar] [CrossRef]
- Bailey, T.L.; Johnson, J.; Grant, C.E.; Noble, W.S. The MEME Suite. Nucleic Acids Res. 2015, 43, W39–W49. [Google Scholar] [CrossRef]
- Chen, C.; Wu, Y.; Li, J.; Wang, X.; Zeng, Z.; Xu, J.; Liu, Y.; Feng, J.; Chen, H.; He, Y.; et al. TBtools-II: A “one for all, all for one” bioinformatics platform for biological big-data mining. Mol. Plant 2023, 16, 1733–1742. [Google Scholar] [CrossRef]
- Yang, M.; Derbyshire, M.K.; Yamashita, R.A.; Marchler-Bauer, A. NCBI’s conserved domain database and tools for protein domain analysis. Curr. Protoc. Bioinform. 2020, 69, e90. [Google Scholar] [CrossRef]













| Gene IDs from Transcriptome Sequencing | Gene IDs in the 84K Poplar Genome | Sequence Identity |
|---|---|---|
| Pop_A08G002307 | Pag.A08G002074 | 99.8 |
| Pop_G10G022861 | Pag.G10G000097 | 100 |
| Pop_A03G013642 | Pag.A03G000780 | 100 |
| Pop_A01G003858 | Pag.A01G001847 | 100 |
| Pop_A01G074798 | Pag.A01G001014 | 100 |
| Pop_A01G081120 | Pag.A01G004386 | 100 |
| Pop_A07G010900 | Pag.G07G001107 | 98.507 |
| Pop_A11G021713 | Pag.A11G001270 | 100 |
| Pop_A06G061616 | Pag.A06G002329 | 91.167 |
| Pop_A04G030612 | Pag.A04G001441 | 100 |
| Pop_G11G077730 | Pag.G11G000628 | 100 |
| Pop_A02G066371 | Pag.G02G001276 | 99.779 |
| Pop_G18G080285 | Pag.G18G000982 | 99.45 |
| Pop_A09G026725 | Pag.A09G000992 | 100 |
| Pop_G08G083366 | Pag.G08G000231 | 100 |
| Pop_G01G075105 | Pag.G01G004176 | 100 |
| Pop_A06G064772 | Pag.A06G001287 | 93.148 |
| Pop_A06G085714 | Pag.A06G001642 | 97.98 |
| Pop_A06G064710 | Pag.A06G001129 | 100 |
| Pop_G10G048209 | Pag.G10G001238 | 100 |
| Pop_G06G051492 | Pag.G06G001473 | 100 |
| Pop_A08G064025 | Pag.A08G001341 | 100 |
| Pop_A14G044652 | Pag.A14G000118 | 99.708 |
| Pop_A04G019568 | Pag.A04G000505 | 100 |
| Pop_G10G048256 | Pag.G10G001199 | 100 |
| Pop_G14G030518 | Pag.G14G000066 | 99.562 |
| Pop_G08G058456 | Pag.G08G001259 | 100 |
| Pop_A06G079386 | Pag.A06G001575 | 100 |
| Pop_A06G079387 | Pag.A06G001575 | 100 |
| Pop_A07G006342 | Pag.A07G002351 | 100 |
| Pop_G06G051489 | Pag.G06G001471 | 100 |
| Pop_A10G069013 | Pag.A10G001434 | 100 |
| Pop_G03G055715 | Pag.G03G001984 | 100 |
| Pop_A10G069049 | Pag.A10G001475 | 100 |
| Pop_G18G078718 | Pag.G18G000220 | 100 |
| Pop_A15G064475 | Pag.A15G001243 | 100 |
| Pop_A06G061913 | Pag.A06G002602 | 98.843 |
| Pop_G15G074700 | Pag.G15G001251 | 100 |
| Pop_A18G013018 | Pag.A18G001389 | 100 |
| Pop_G18G078566 | Pag.G18G000401 | 100 |
| Pop_A16G055344 | Pag.A16G000952 | 100 |
| Pop_A06G079383 | Pag.G06G001471 | 97.403 |
| Pop_G03G021411 | Pag.G03G000573 | 100 |
| Pop_A01G060003 | Pag.A01G001290 | 99.203 |
| Pop_G16G016155 | Pag.G16G000943 | 99.306 |
| Pop_A09G076834 | Pag.A09G001392 | 100 |
| Pop_A03G014855 | Pag.A03G000938 | 100 |
| Pop_A14G044864 | Pag.A14G000933 | 100 |
| Pop_G10G006048 | Pag.G10G002382 | 96.287 |
| Pop_G14G078016 | Pag.G14G000872 | 100 |
| Pop_G03G055651 | Pag.G03G002044 | 100 |
| Pop_A16G055309 | Pag.A16G000918 | 99.309 |
| Pop_A03G019968 | Pag.A03G000384 | 99.15 |
| Pop_A02G012673 | Pag.A02G000657 | 100 |
| Pop_G08G007463 | Pag.G08G002278 | 98.761 |
| Pop_G01G016521 | Pag.G01G002018 | 100 |
| Pop_G03G013809 | Pag.G03G001578 | 100 |
| Pop_G03G010483 | Pag.G03G000707 | 100 |
| Pop_A03G050644 | Pag.G03G000707 | 97.037 |
| Pop_G15G034120 | Pag.G15G000130 | 100 |
| Pop_A12G074013 | Pag.A12G001139 | 100 |
| Pop_G03G013900 | Pag.G03G001816 | 100 |
| Pop_A08G006762 | Pag.A08G002372 | 98.759 |
| Pop_A03G049768 | Pag.A03G002081 | 100 |
| Pop_A01G032318 | Pag.A01G001025 | 100 |
| Pop_G14G044390 | Pag.G14G000416 | 100 |
| Pop_A14G000235 | Pag.A14G000466 | 100 |
| Pop_G12G050880 | Pag.G12G000428 | 100 |
| Pop_A03G050081 | Pag.A03G001577 | 100 |
| Pop_A01G059787 | Pag.A01G001128 | 100 |
| Pop_A01G003802 | Pag.A01G001905 | 100 |
| Pop_A06G063210 | Pag.A06G000405 | 100 |
| Pop_A06G053401 | Pag.A06G000772 | 100 |
| Pop_A02G012335 | Pag.A02G001010 | 86.174 |
| Pop_UnG069776 | Pag.A04G001882 | 72.125 |
| Pop_A06G089378 | Pag.G10G001738 | 56.643 |
Disclaimer/Publisher’s Note: The statements, opinions and data contained in all publications are solely those of the individual author(s) and contributor(s) and not of MDPI and/or the editor(s). MDPI and/or the editor(s) disclaim responsibility for any injury to people or property resulting from any ideas, methods, instructions or products referred to in the content. |
© 2025 by the authors. Licensee MDPI, Basel, Switzerland. This article is an open access article distributed under the terms and conditions of the Creative Commons Attribution (CC BY) license (https://creativecommons.org/licenses/by/4.0/).
Share and Cite
Wang, S.; Liu, N.; Si, J.; Zhang, S.; Liu, X. Characterization and Role of AP2/EREBP Genes with Decreasing Expression During Leaf Development in 84K Poplar. Plants 2025, 14, 2842. https://doi.org/10.3390/plants14182842
Wang S, Liu N, Si J, Zhang S, Liu X. Characterization and Role of AP2/EREBP Genes with Decreasing Expression During Leaf Development in 84K Poplar. Plants. 2025; 14(18):2842. https://doi.org/10.3390/plants14182842
Chicago/Turabian StyleWang, Sanjiao, Nan Liu, Jingna Si, Sihan Zhang, and Xiaomin Liu. 2025. "Characterization and Role of AP2/EREBP Genes with Decreasing Expression During Leaf Development in 84K Poplar" Plants 14, no. 18: 2842. https://doi.org/10.3390/plants14182842
APA StyleWang, S., Liu, N., Si, J., Zhang, S., & Liu, X. (2025). Characterization and Role of AP2/EREBP Genes with Decreasing Expression During Leaf Development in 84K Poplar. Plants, 14(18), 2842. https://doi.org/10.3390/plants14182842

