Technical and Consumer Preferences Integrated for the Development of Cassava Varieties with High Nutritional Quality Adapted to Colombian Caribbean Coast
Abstract
1. Introduction
2. Materials and Methods
2.1. Environmental Conditions
2.2. Plant Material
2.3. Experimental Design and Crop Management
2.4. Evaluation of Agronomic Traits
2.5. Evaluation of Root Quality Traits
2.6. Statistical Analysis
- = Measured random variable
- = General average
3. Results
3.1. Plant Architecture and Morphological Features
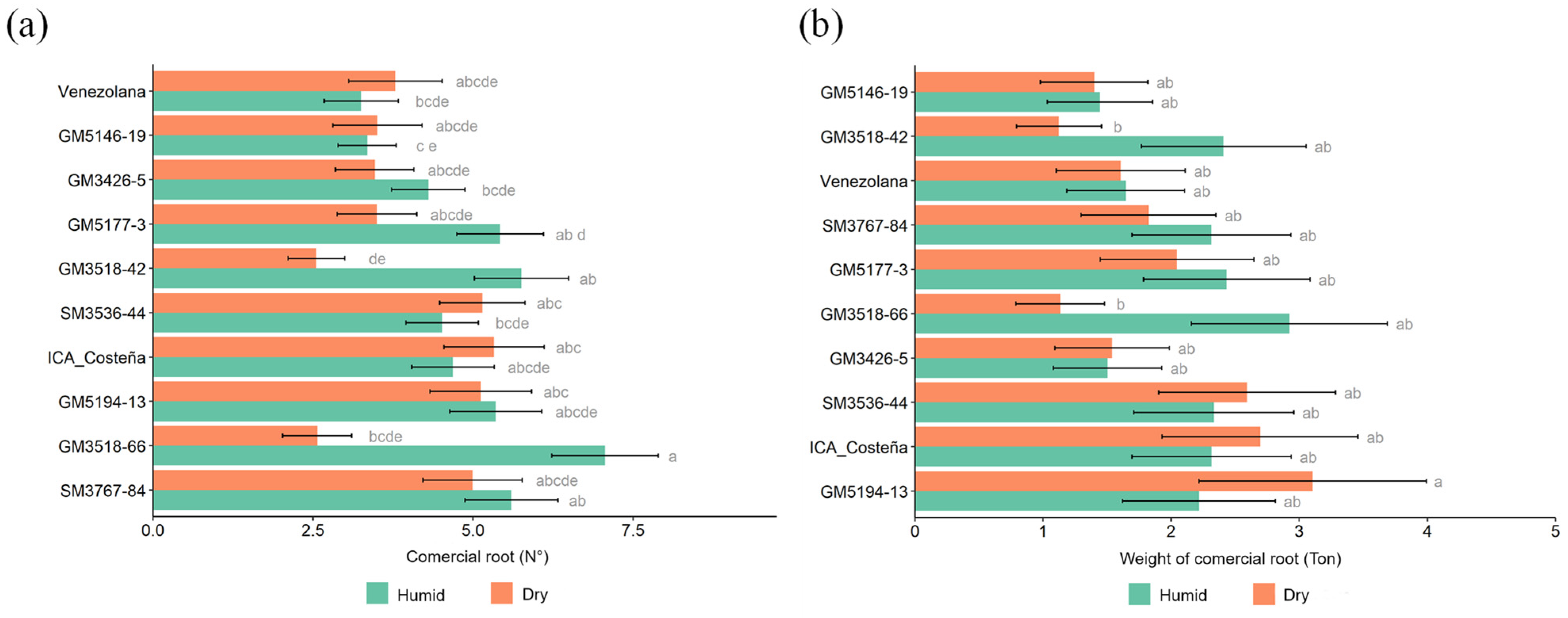
3.2. Root Yield and Dry Matter Content
3.3. Root Quality Traits
3.4. Cooking Characteristics and Consumers Acceptability
4. Discussion
4.1. Plant Architecture and Morphological Features in Evaluated Cassava Genotypes
4.2. Agronomic Performance of Evaluated Genotypes
4.3. Root Quality Characteristics and Consumers Acceptability
5. Conclusions
Author Contributions
Funding
Data Availability Statement
Acknowledgments
Conflicts of Interest
References
- Burns, A.; Gleadow, R.; Cliff, J.; Zacarias, A.; Cavagnaro, T. Cassava: The Drought, War and Famine Crop in a Changing World. Sustainability 2010, 2, 3572–3607. [Google Scholar] [CrossRef]
- Food and Agriculture Organization of the United Nations. FAOSTAT Statistical Database; FAO: Rome, Italy, 2023. [Google Scholar]
- Tran, T.; Zhang, X.; Ceballos, H.; Moreno, J.L.; Luna, J.; Escobar, A.; Morante, N.; Belalcazar, J.; Becerra, L.A.; Dufour, D. Correlation of Cooking Time with Water Absorption and Changes in Relative Density during Boiling of Cassava Roots. Int. J. Food Sci. 2021, 56, 1193–1205. [Google Scholar] [CrossRef] [PubMed]
- Nweke, F.; Nweke, F.I.; Lynam, J.K.; Spencer, D.S.C. The Cassava Transformation; Michigan State University Press: East Lansing, MI, USA, 2002. [Google Scholar]
- Parmar, A.; Sturm, B.; Hensel, O. Crops That Feed the World: Production and Improvement of Cassava for Food, Feed, and Industrial Uses. Food Secur. 2017, 9, 907–927. [Google Scholar] [CrossRef]
- Kim, D.-S.; Iida, F. Nutritional Composition of Cassava (Manihot esculenta) and Its Application to Elder-Friendly Food Based on Enzyme Treatment. Int. J. Food Prop. 2023, 26, 1311–1323. [Google Scholar] [CrossRef]
- United Nations Administrative Committee on Coordination-Subcommittee on Nutrition (UN-ACC/SCN) 6th Report on the World Nutrition Situation; UN-ACC/SCN: Geneva, Switzerland, 2009.
- Ministerio de Salud y Protección Social. Encuesta Nacional de La Situación Nutricional En Colombia (ENSIN 2010); República de Colombia—MINSALUD: Bogotá, Colombia, 2011.
- Ministerio de Salud y Protección Social. Estrategia Nacional Para La Prevención y Control de Las Deficiencias de Micronutrientes En Colombia 2014–2021; República de Colombia—MINSALUD: Bogotá, Colombia, 2015.
- Organización Mundial de la Salud (OMS). Nutrición Materno-Infantil. Resumen Ejecutivo de La Serie Sobre Nutrición Materno-Infantil; Organización Mundial de la Salud: Geneva, Switzerland, 2008. [Google Scholar]
- Montagnac, J.A.; Davis, C.R.; Tanumihardjo, S.A. Nutritional Value of Cassava for Use as a Staple Food and Recent Advances for Improvement. Compr. Rev. Food Sci. Food Saf. 2009, 8, 181–194. [Google Scholar] [CrossRef]
- Pfeiffer, W.H.; McClafferty, B. HarvestPlus: Breeding Crops for Better Nutrition. Crop Sci. 2007, 47, S-88–S-105. [Google Scholar] [CrossRef]
- Talsma, E.F.; Brouwer, I.D.; Verhoef, H.; Mbera, G.N.; Mwangi, A.M.; Demir, A.Y.; Maziya-Dixon, B.; Boy, E.; Zimmermann, M.B.; Melse-Boonstra, A. Biofortified Yellow Cassava and Vitamin A Status of Kenyan Children: A Randomized Controlled Trial. Am. J. Clin. Nutr. 2016, 103, 258–267. [Google Scholar] [CrossRef]
- Asare-Marfo, D.; Birol, E.; Gonzalez, C.; Moursi, M.; Perez, S.; Schwarz, J.; Zeller, M. Prioritizing Countries for Biofortification Interventions Using Country-Level Data; International Food Policy Research Institute (IFPRI): Washington, DC, USA, 2013. [Google Scholar]
- Funes, J.; González, C.; Perez, S.; Birol, E.; Moursi, M.; Zeller, M. A Spatial Perspective to Introducing Biofortified Staple Food Crops in Colombia. In Proceedings of the 150th EAAE Seminar, Edinburgh, UK, 22–23 October 2015; p. 12. [Google Scholar]
- Meghar, K.; Tran, T.; Delgado, L.F.; Ospina, M.A.; Moreno, J.L.; Luna, J.; Londoño, L.; Dufour, D.; Davrieux, F. Hyperspectral Imaging for the Determination of Relevant Cooking Quality Traits of Boiled Cassava. J. Sci. Food Agric. 2023, 104, 4782–4792. [Google Scholar] [CrossRef]
- Nisar, N.; Li, L.; Lu, S.; Khin, N.C.; Pogson, B.J. Carotenoid Metabolism in Plants. Mol. Plant 2015, 8, 68–82. [Google Scholar] [CrossRef]
- Eggersdorfer, M.; Wyss, A. Carotenoids in Human Nutrition and Health. Arch. Biochem. Biophys. 2018, 652, 18–26. [Google Scholar] [CrossRef]
- Codex Alimentarius Commission. Code of Practice for the Reduction of Hydrocyanic Acid (HCN) in Cassava and Cassava Products; WHO: Geneva, Switzerland, 2013.
- Ceballos, H.; Sánchez, T.; Chávez, A.L.; Iglesias, C.; Debouck, D.; Mafla, G.; Tohme, J. Variation in Crude Protein Content in Cassava (Manihot Esculenta Crantz) Roots. J. Food Compos. Anal. 2006, 19, 589–593. [Google Scholar] [CrossRef]
- Zhang, P.; Ma, Q.; Naconsie, M.; Wu, X.; Yang, J.; Zhou, W.; Hershey, C. Advances in Genetic Modification of Cassava. In Achieving Sustainable Cultivation of Cassava; Burleigh Dodds Science Publishing: Cambridge, UK, 2017. [Google Scholar]
- De Moura, F.F.; Palmer, A.C.; Finkelstein, J.L.; Haas, J.D.; Murray-Kolb, L.E.; Wenger, M.J.; Birol, E.; Boy, E.; Peña-Rosas, J.P. Are Biofortified Staple Food Crops Improving Vitamin A and Iron Status in Women and Children? New Evidence from Efficacy Trials. Adv. Nutr. 2014, 5, 568–570. [Google Scholar] [CrossRef]
- Saltzman, A.; Birol, E.; Oparinde, A.; Andersson, M.S.; Asare-Marfo, D.; Diressie, M.T.; Gonzalez, C.; Lividini, K.; Moursi, M.; Zeller, M. Current Evidence and Future Potential. Ann. N. Y. Acad. Sci. 2017, 1390, 104–114. [Google Scholar] [CrossRef] [PubMed]
- Bouis, H.E.; Saltzman, A. Improving Nutrition through Biofortification: A Review of Evidence from HarvestPlus, 2003 through 2016. Glob. Food Sec. 2017, 12, 49–58. [Google Scholar] [CrossRef] [PubMed]
- Delgado, L.F.; Moreta, D.E.; Morante, N.; Lenis, J.I.; Aparicio, J.S.; Londoño, L.F.; Salazar, S.M.; Tran, T.; Ospina, M.A.; Melendez, J.L.L.; et al. Assessing Realized Genetic Gains in Biofortified Cassava Breeding for over a Decade: Enhanced Nutritional Value and Agronomic Performance. Crop Sci. 2024, 64, 3242–3258. [Google Scholar] [CrossRef]
- Rosero Alpala, E.A.; Ceballos, H.; Rodriguez, E. (Eds.) Aportes y Perspectivas del Mejoramiento Genético de Yuca Para el Fortalecimiento de su Red de Valor en Colombia; Corporación Colombiana de Investigación Agropecuaria (Agrosavia): Cundinamarca, Colombia, 2023; ISBN 9789587406276. [Google Scholar]
- Ceballos, H.; Morante, N.; Sánchez, T.; Ortiz, D.; Aragón, I.; Chávez, A.L.; Pizarro, M.; Calle, F.; Dufour, D. Rapid cycling recurrent selection for increased carotenoids content in cassava roots. Crop Sci. 2013, 53, 2342–2351. [Google Scholar] [CrossRef]
- Iragaba, P.; Hamba, S.; Nuwamanya, E.; Kanaabi, M.; Nanyonjo, R.A.; Mpamire, D.; Muhumuza, N.; Khakasa, E.; Tufan, H.A.; Kawuki, R.S. Identification of Cassava Quality Attributes Preferred by Ugandan Users along the Food Chain. Int. J. Food Sci. Technol. 2021, 56, 1184–1192. [Google Scholar] [CrossRef]
- Talma, S.V.; Almeida, S.B.; Lima, R.M.P.; Vieira, H.D.; Bebert, P.A. Cooking Time and Texture of Cassava Roots. Braz. J. Food Technol. 2013, 16, 133–138. [Google Scholar] [CrossRef]
- Hongbété, F.; Mestres, C.; Akissoé, N.; Pons, B.; Hounhouigan, D.J.; Cornet, D.; Nago, C.M. Effects of Cultivar and Harvesting Conditions (Age, Season) on the Texture and Taste of Boiled Cassava Roots. Food Chem. 2011, 126, 127–133. [Google Scholar] [CrossRef]
- Shen, G.; Pierna, J.A.F.; Baeten, V.; Dardenne, P.; Davrieux, F.; Ceballos, H.; Dufour, D.; Yang, Z.; Han, L.; Lesnoff, M. Local Partial Least Square Based on Global PLS Scores. J. Chemom. 2019, 33, e3117. [Google Scholar] [CrossRef]
- Essers, S.A.; Bosveld, M.; Van Der Grift, R.M.; Voragen, A.G. Studies on the Quantification of Specific Cyanogens in Cassava Products and Introduction of a New Chromogen. J. Sci. Food Agric. 1993, 63, 287–296. [Google Scholar] [CrossRef]
- Martínez-Becerra, R.; Martínez-Rueda, N.; Martínez-Martínez, V. Diseño de Experimentos En Ciencias Agropecuarias y Biológicas Con SAS, SPSS, R y STATISTIX; Fondo Nacional Universitario, I.A.C.: Bogotá, Colombia, 2011. [Google Scholar]
- Littell, R.C.; Milliken, G.A.; Stroup, W.W.; Wolfinger, R.D.; Oliver, S. SAS for Mixed Models; SAS Institute Inc.: Cary, NC, USA, 2006; ISBN 9781590475003. [Google Scholar]
- Agresti, A. Categorical Data Analysis; John Wiley & Sons: Hoboken, NJ, USA, 2012; Volume 792, ISBN 978-0-470-46363-5. [Google Scholar]
- Bates, D.; Maechler, M.; Bolker, B.; Walker, S. Lme4: Linear Mixed-Effects Models Using S4 Classes; R Foundation for Statistical Computing: Vienna, Austria, 2009. [Google Scholar]
- Christensen, R.H.B. A Tutorial on Fitting Cumulative Link Mixed Models with Clmm2 from the Ordinal Package; R Foundation for Statistical Computing: Vienna, Austria, 2019. [Google Scholar]
- Bohorquez-Chaux, A.; Becerra Lopez-Lavalle, L.A.; Barrera-Enriquez, V.; Gómez-Jiménez, M.I.; Sanchez-Sarria, C.E.; Delgado, L.F.; Zhang, X.; Gimode, W. Genetic Mapping and Validation of QTL for Whitefly Resistance in Cassava (Manihot Esculenta Crantz). Theor. Appl. Genet. 2025, 138, 160. [Google Scholar] [CrossRef] [PubMed]
- Akano, A.; Dixon, A.; Mba, C.; Barrera, E.; Fregene, M. Genetic Mapping of a Dominant Gene Conferring Resistance to Cassava Mosaic Disease. Theor. Appl. Genet. 2002, 105, 521–525. [Google Scholar] [CrossRef] [PubMed]
- Ceballos, H.; Hershey, C.; Iglesias, C.; Zhang, X. Fifty Years of a Public Cassava Breeding Program: Evolution of Breeding Objectives, Methods, and Decision-Making Processes. Theor. Appl. Genet. 2021, 134, 2335–2353. [Google Scholar] [CrossRef]
- Rós, A.B.; Hirata, A.C.S.; de Araújo, H.S.; Narita, N. Crescimento, Fenologia e produtividade de cultivares de mandioca. Pesqui. Agropecuária Trop. 2011, 41, 552–558. [Google Scholar] [CrossRef]
- León, R.; Rosero, A.; García, J.-L.; Morelo, J.; Orozco, A.; Silva, G.; De la Ossa, V.; Correa, E.; Cordero, C.; Villalba, L.; et al. Multi-Trait Selection Indices for Identifying New Cassava Varieties Adapted to the Caribbean Region of Colombia. Agronomy 2021, 11, 1694. [Google Scholar] [CrossRef]
- Beyene, G.; Solomon, F.R.; Chauhan, R.D.; Gaitán-Solis, E.; Narayanan, N.; Gehan, J.; Siritunga, D.; Stevens, R.L.; Jifon, J.; Van Eck, J.; et al. Provitamin A Biofortification of Cassava Enhances Shelf Life but Reduces Dry Matter Content of Storage Roots Due to Altered Carbon Partitioning into Starch. Plant Biotechnol. J. 2018, 16, 1186–1200. [Google Scholar] [CrossRef]
- Olayide, P.; Alexandersson, E.; Tzfadia, O.; Lenman, M.; Gisel, A.; Stavolone, L. Transcriptome and Metabolome Profiling Identify Factors Potentially Involved in Pro-Vitamin A Accumulation in Cassava Landraces. Plant Physiol. Biochem. 2023, 199, 107713. [Google Scholar] [CrossRef]
- Villwock, S.S.; Li, L.; Jannink, J. Carotenoid-carbohydrate Crosstalk: Evidence for Genetic and Physiological Interactions in Storage Tissues across Crop Species. New Phytol. 2024, 244, 1709–1722. [Google Scholar] [CrossRef]
- Amelework, A.B.; Bairu, M.W.; Marx, R.; Owoeye, L.; Laing, M.; Venter, S.L. On-Farm Multi-Environment Evaluation of Selected Cassava (Manihot Esculenta Crantz) Cultivars in South Africa. Plants 2022, 11, 3339. [Google Scholar] [CrossRef]
- Peprah, B.B.; Parkes, E.Y.; Manu-Aduening, J.; Kulakow, P.; van Biljon, A.; Labuschagne, M.T. Genetic Variability, Stability and Heritability for Quality and Yield Characteristics in Provitamin A Cassava Varieties. Euphytica 2020, 216, 31. [Google Scholar] [CrossRef] [PubMed]
- Albuquerque, J.A.A.; Sediyama, T.; Silva, A.A.; Sediyama, C.S.; Alves, J.M.A.; Assis Neto, F. Caracterização Morfológica e Agronômica de Clones de Mandioca Cultivados No Estado de Roraima. Rev. Bras. Ciências Agrárias Braz. J. Agric. Sci. 2009, 4, 388–394. [Google Scholar] [CrossRef]
- Villwock, S.S.; Parkes, E.Y.; Mbanjo, E.G.N.; Rabbi, I.Y.; Jannink, J.-L. Mediated Pleiotropy Drives the Negative Correlation of Total Carotenoid and Dry Matter Contents in Cassava (Manihot esculenta). Genetics 2025, 231, iyaf162. [Google Scholar] [CrossRef]
- Morante, N.; Sánchez, T.; Ceballos, H.; Calle, F.; Pérez, J.C.; Egesi, C.; Cuambe, C.E.; Escobar, A.F.; Ortiz, D.; Chávez, A.L. Tolerance to Post-Harvest Physiological Deterioration in Cassava Roots. Crop Sci. 2010, 50, 1333–1338. [Google Scholar] [CrossRef]
- Dufour, D.; Hershey, C.; Hamaker, B.R.; Lorenzen, J. Integrating End-user Preferences into Breeding Programmes for Roots, Tubers and Bananas. Int. J. Food Sci. Technol. 2021, 56, 1071–1075. [Google Scholar] [CrossRef]
- Kanaabi, M.; Namakula, F.B.; Nuwamanya, E.; Kayondo, I.S.; Muhumuza, N.; Wembabazi, E.; Iragaba, P.; Nandudu, L.; Nanyonjo, A.R.; Baguma, J.; et al. Rapid Analysis of Hydrogen Cyanide in Fresh Cassava Roots Using NIRSand Machine Learning Algorithms: Meeting End User Demand for Low Cyanogenic Cassava. Plant Genome 2024, 17, e20403. [Google Scholar] [CrossRef]
- Wheatley, C.C.; Ghuzel, G.; Zakhia, N.; Caballero, B. The Nature of the Tuber. In Encyclopedia of Food Sciences and Nutrition; Academic Press: Cambridge, MA, USA, 2003; pp. 964–969. [Google Scholar]











| N° | Landscape | Municipality | Additional Information |
|---|---|---|---|
| Humid Sub-region | |||
| 1 | Flat savanna | Cereté | Córdoba Departament. Experimental field AGROSAVIA—C.I. Turipana (km 13 Vía Montería-Cereté), N 8°50′27.47″, W 75°48′27.56″, 12 m above sea level (m.a.s.l.) |
| 2 | Hilly/Piedmont | Carmen de Bolívar | Bolivar Departament. Experimental field AGROSAVIA—Sede Carmen de Bolívar, N 9°42′50.8″, W 75°06′26.9″, 197 m.a.s.l. |
| 3 | Flat savanna | La Unión | Sucre Departament. El Litoral Farm, Vereda El Paisaje. 8°48′13.2″ N 75°15′55.9″ W, 49 m.a.s.l. |
| Dry Sub-region | |||
| 4 | Piedmont | Agustín Codazzi | Cesar Departament. Experimental field AGROSAVIA—CI Motilonia (km 5 vía a Becerril), 10°00′01.2″ N, 73°15′22.4″ W, 131 m.a.s.l. |
| 5 | Flat savanna | Sevilla (Banana production region) | Magdalena Departament. Experimental field AGROSAVIA—C.I. Caribia. Ubicado en Sevilla, Zona Bananera (Magdalena), N 10°47′32.081″; W 74°10′15.493″, 18 m.a.s.l. |
| 6 | Flat savanna | Caracolí | Atlántico Departament. Las Torres Farm. 10°49′53,5908″ N 74°52′14,5956″ W, 15 m.a.s.l. |
| Factor | Genotype | Sub-Region | Genotypex Subregion |
|---|---|---|---|
| p values Anova analysis | |||
| Sprouting | <0.0001 | 0.012 | 0.262 |
| Plant height | <0.0001 | 0.826 | 0.018 |
| Height of 1st Branch | <0.0001 | 0.000 | <0.0001 |
| Number of branching levels | <0.0001 | 0.006 | <0.0001 |
| Number of stem cuttings/plant | <0.0001 | 0.969 | 0.005 |
| Logist regression values Chi square analysis | |||
| Vigor | 24.58 ** | 0.964 | 14.73 |
| Plant type | 117.40 *** | 0.182 | 50.53 *** |
| Loding | 75.53 *** | 4.880 | - |
| Source of Variation | Commercial Size Roots | Yield (t/ha) | Dry Matter | ||
|---|---|---|---|---|---|
| (Number/Plant) | (kg/Plant) | Total | Commercial | Content (%) | |
| Genotype (G) | 0.0001 | 0.0361 | <0.0001 | 0.07402 | <0.0001 |
| Region (R) | 0.3264 | 0.9535 | 0.3261 | 0.42872 | 0.5987 |
| GxR | 0.0073 | 0.0048 | 0.1255 | 0.06396 | 0.1709 |
| Source of Variation | Oven DMC | HCN | TCC-NIRs | TβC-NIRs |
|---|---|---|---|---|
| (%) | (μg/g fw) | (μg/g fw) | (μg/g fw) | |
| Genotype | <0.0001 | 0.0017 | <0.0001 | <0.0001 |
| Sub-region | 0.243 | 0.920 | 0.099 | 0.268 |
| GenotypexSub-region | 0.746 | 0.162 | 0.756 | 0.346 |
| Root mean square error | 2.85 | 11.52 | 1.5 | 0.94 |
| Coefficient of variation | 0.09 | 0.27 | 0.16 | 0.18 |
| Sensory Trait | Sex | Locality | Genotype | |||
|---|---|---|---|---|---|---|
| Gl | Value | Gl | Valor | Gl | Value | |
| Color | 4 | 9.33 | 8 | 69.77 *** | 36 | 44.38 |
| Taste | 4 | 8.37 | 8 | 60.77 *** | 36 | 128.52 *** |
| Texture | 4 | 9.94 | 8 | 50.31 *** | 36 | 113.66 *** |
| Shape | 4 | 5.21 | 8 | 88.94 *** | 36 | 72.98 ** |
| Trait | Location | Hedonic Score | ||||
|---|---|---|---|---|---|---|
| 1 | 2 | 3 | 4 | 5 | ||
| Color | Cereté | 0.19 | 0.07 | 0.20 | 0.22 | 0.32 |
| Codazzi | 0.18 | 0.19 | 0.30 | 0.20 | 0.14 | |
| Sevilla | 0.09 | 0.07 | 0.17 | 0.30 | 0.37 | |
| Flavor | Cereté | 0.22 | 0.17 | 0.11 | 0.22 | 0.28 |
| Codazzi | 0.17 | 0.32 | 0.14 | 0.24 | 0.13 | |
| Sevilla | 0.20 | 0.24 | 0.25 | 0.22 | 0.09 | |
| Textture | Cereté | 0.16 | 0.18 | 0.01 | 0.27 | 0.28 |
| Codazzi | 0.17 | 0.35 | 0.14 | 0.22 | 0.12 | |
| Sevilla | 0.21 | 0.24 | 0.19 | 0.22 | 0.14 | |
| Shape | Cereté | 0.05 | 0.06 | 0.18 | 0.25 | 0.46 |
| Codazzi | 0.06 | 0.14 | 0.33 | 0.25 | 0.22 | |
| Genotype | Contrasted with | Flavor | Texture | External Shape | |||
|---|---|---|---|---|---|---|---|
| Estimator | p-Value | Estimator | p-Value | Estimator | p-Value | ||
| GM3426-5 | ICA-Costeña | 10.206 | 0.1335 | 11.181 | 0.0879 | 0.63299 | 0.8250 |
| Venezolana | 0.2432 | 10.000 | −0.3035 | 0.9996 | −139.704 | 0.0723 | |
| GM3518-42 | −11.217 | 0.0021 | −12.810 | 0.0002 | −0.34355 | 0.9633 | |
| GM3518-66 | −0.7914 | 0.1118 | −11.061 | 0.0026 | −0.27431 | 0.9927 | |
| GM5146-19 | −21.115 | <0.0001 | −20.884 | <0.0001 | −0.72039 | 0.3072 | |
| GM5177-3 | −21.688 | <0.0001 | −21.518 | <0.0001 | −0.35477 | 0.9606 | |
| GM5194-13 | −0.8262 | 0.1308 | −0.7732 | 0.2170 | 0.31922 | 0.9858 | |
| SM3536-44 | −0.5553 | 0.6018 | −0.5118 | 0.6911 | −0.77110 | 0.1492 | |
| SM3767-84 | −16.508 | <0.0001 | −14.855 | <0.0001 | −0.35148 | 0.9744 | |
Disclaimer/Publisher’s Note: The statements, opinions and data contained in all publications are solely those of the individual author(s) and contributor(s) and not of MDPI and/or the editor(s). MDPI and/or the editor(s) disclaim responsibility for any injury to people or property resulting from any ideas, methods, instructions or products referred to in the content. |
© 2025 by the authors. Licensee MDPI, Basel, Switzerland. This article is an open access article distributed under the terms and conditions of the Creative Commons Attribution (CC BY) license (https://creativecommons.org/licenses/by/4.0/).
Share and Cite
Rosero, A.; Ceballos, H.; León, R.; García, J.; Orozco, A.; Silva, G.; Montes, M.; Martínez, R.; Cordero, C.; de la Ossa, V.; et al. Technical and Consumer Preferences Integrated for the Development of Cassava Varieties with High Nutritional Quality Adapted to Colombian Caribbean Coast. Plants 2025, 14, 3238. https://doi.org/10.3390/plants14213238
Rosero A, Ceballos H, León R, García J, Orozco A, Silva G, Montes M, Martínez R, Cordero C, de la Ossa V, et al. Technical and Consumer Preferences Integrated for the Development of Cassava Varieties with High Nutritional Quality Adapted to Colombian Caribbean Coast. Plants. 2025; 14(21):3238. https://doi.org/10.3390/plants14213238
Chicago/Turabian StyleRosero, Amparo, Hernán Ceballos, Rommel León, Jorge García, Alfonso Orozco, Gabriel Silva, Martha Montes, Remberto Martínez, Carina Cordero, Victor de la Ossa, and et al. 2025. "Technical and Consumer Preferences Integrated for the Development of Cassava Varieties with High Nutritional Quality Adapted to Colombian Caribbean Coast" Plants 14, no. 21: 3238. https://doi.org/10.3390/plants14213238
APA StyleRosero, A., Ceballos, H., León, R., García, J., Orozco, A., Silva, G., Montes, M., Martínez, R., Cordero, C., de la Ossa, V., Gallego-Castillo, S., Lenis, J. I., Salazar, S., Belalcazar, J., & Barragán-Hernández, W. (2025). Technical and Consumer Preferences Integrated for the Development of Cassava Varieties with High Nutritional Quality Adapted to Colombian Caribbean Coast. Plants, 14(21), 3238. https://doi.org/10.3390/plants14213238

